Index

Abstract

Ileum motility, gastric ulceration and secretion were studied in thirty albino rats in the administration of the ethanolic extract of cola nut. The acute toxicity study in 27 mice showed the LD50 of 1118.03mg/kg established through 100% mortality in group with 5000mg/kg and 0% mortality with 1000mg/kg. Three orthodox drugs for ulcer treatment: cimetidine ranitidine and omeprazole were used in the study to compare motility, gastric ulceration and secretion with cola-nut. The motility of the ileum expressed as basal height of contraction was significantly higher (P <0.05) in groups administered with low, medium and high dosages of the extract compared with control groups using distilled water and atropine. However, there was a significant decrease ((P <0.05) in the ileum motility in the group administered with medium dose, extract of omeprazole than in cimetidine and ranitidine. Motility was significantly (P <0.05) higher in groups administrated with the extract plus ranitidine and cimetidine than groups administered with the medium extract dose and omeprazole. Gastric acid output was increased in the group administered with a high dose of the extract of cola nut and was significant (P <0.05) among the groups. Gastric ulceration was significantly higher (P <0.05) in the groups administered with the extract than in the omeprazole, cimetidine and ranitidine control groups. It is concluded that cola nut is very ulcerogenic i.e. it can lead to ulcer in its consumption and should be avoided particularly in gastric ulcer patients.

Keywords: Cola nut, Ileum motility, Secretions, Gastric ulcer.

Received: 8 January 2019 / Revised: 13 February 2019 / Accepted: 18 March 2019/ Published: 3 May 2019

Contribution/ Originality

This study has added to existing literature in ileum motility. The study uses a modified method used in the study. A new approach was originated by the use of kola nut. The investigation is new Logical analysis; ileum motility enhancement by kola nut. It offers a primary contribution on the positives and negatives of kola nut consumption. It documents the roles of kola nut in GIT.


1. INTRODUCTION

Cola nut also known as cola nitida is found mostly in Africa. The stimulant in cola nut is caffeine [1] which has the tendency to stimulate the nervous system, the heart and muscles [2]. It can also impact on acetylcholine and lead to the release of gastric hydrochloric acid; [3]. It is an evergreen tree plant with the leaves, flowers and bears fruits or seed within the pods which when ripe it will split to show the seeds. The seeds could be white, reddish-grey or brown. The seeds are edible but bitter. It is used as appetite suppressant, and for the treatment of migraine headache and indigestion [4]. The barks, seeds and leaves, are used in the treatment of dysentery, cough, vomiting and inflammation [5] .

It is used in welcoming visitors and as gesture of peace traditionally, Hatasaka and Goldstain [6] in the South Eastern part of Nigeria e.g. Igbos, but mostly consumed by the Northerners. The nutrients contents include; 9.5% of protein, fat; 1.4%, 4.5% sugar, starch 7.0%, water; 13.5% [7] carbohydrate; 28.5%.

The seeds are used as a flavouring agent in coca-cola drinks, Jayoola [8] . However, the bitterness of the seed is not reflected in the taste of coca-cola which would have ameliorated the sweetness and acted as an antidiabetic agent as in its bitter leaf form. Cola nut is also used as a source of alkaloids in pharmaceutical preparations [9]. These preparations may be a stimulating agent which the cola is said to possess to counter the effect of fatigue. Cola nut is said to possess antibiotic properties [10],  [11]. The bark extract of the cola nut plant is said to possess inhibiting properties to luteinizing hormone (LH) and the tendency of regulating gonadotropin release [11]. It means that the bark extract may be a template for reproduction biology and fertility evaluation. Actions of histamine cholinergic agonistic, pentagastric and gastrin are associated with cola-nut due to its caffeine content which could cause gastrointestinal ulcers [12].

The caffeine content of cola-nut may be more than that of coffee. Coffee beverages are incriminated in causing gastric ulcers, with respect to gastrin and histamine interactions, as per Jimmy and Egesie [13]. Such interactions prompted this study which was mainly to observe any relationship between cola nut intake, gastric ulceration, motility and ulcer healing. If cola nut is involved in wound healing it could be used as such in ulcer treatment i.e. as an antibiotic but its caffeine content would act negatively against such achievement by increasing the release of hydrochloric acid with a gastrin - histamine interaction.

Motility or movement in the gastric intestinal system enhances the mixing of food, gastric emptying and absorption. Motility in the small intestine is very important due to its role in the absorption of nutrients via propulsional movement [14]. The basis of such movement is based on the myogenic electrical activities of smooth muscles which are regulated by hormonal and nervous system mechanisms [15]. The movement is a contraction of muscle which occurs rhythmically and is determined by the frequency of the slow waves, a function of spike potentials necessary for muscle contraction.

Gastrointestinal ulcers occur due to breaks in the mucosal barrier due to the increased  presence of acid,  a bacterial infection eg helicobacter pylori [16] non-steroidal anti-inflammatory drugs NSAIDS, or diet according to  Jimmy and Odeh [17]. The prevalence of gastrointestinal ulcer due to helico-bacter pylori is said to be decreased according to Brown [18]. The organism mechanism of causing ulcer is very evasive and could cause more morbidity. The infection occurs with the increase of the enzyme (urease) which converts urea to ammonia, neutralizing the acid content of the stomach and creating a conducive environment for helicobacter pylori’s survival and excretion [19]. In addition, it inflames stomach mucosal walls which is associated with hyperchlorhydriaas it inhibits hydrogen potassium ATPase according to Saha, et al. [20] and activates the calcifossin gene-related peptide sensory neurons that leads to the secretion of somatostatin which will inhibit acid production according to Kitay, et al. [21].

Intake of nonsteroidal anti-inflammatory drugs (NSAIDs) e.g ibuprofen can lead to gastrointestinal ulcers. The nonsteroidal anti-inflammatory drugs act by blocking cyclooxygenase 1 (COX-1) which is for the production of prostaglandin necessary for gastrointestinal mucosal protection according to Drini [22]. Nonsteroidal anti-inflammatory drugs also inhibit mucus secretion and render the gastrointestinal tract prone to acid penetration according to Matsui, et al. [23]. Stress is associated with gastrointestinal ulcers as the central nervous system has an impact on acetylcholine and acid release according to Fink [24].

The frequency of gastric ulcers today is also due to the increased intake of a certain diet with certain foods and habits: Lipton tea and coffee [17] alcohol and smoking [25], [26].

Basic drugs for the treatment of gastric ulcer include cimetidine and ranitidine which are H2 inhibitors. There is also proton pump inhibition with omeprazole which is the most effective of all the antiulcerogenic drugs due to its inhibition of hydrogen ion in the formation of hydrochloric acid [27]. However, there is no complete cure for this disease and there are relapses due to inefficacy of the drugs and non-compliance.

2. MATERIALS AND METHODS

A total of thirty male and female albino wistar rats and twenty seven male and female mice were used for the study. The animals were kept in the animal house of the Faculty of Basic Medical Sciences, at the University of Uyo, in Akwa Ibom State, Nigeria. The animals were fed with sterile water and pellets and maintained according to the regulation of the Institute of Animal and Ethical Committees (IAEC) Helsinki, 1964.

Preparation of Extract of Cola Nut: Cola-nut or cola nitida was identified by Prof (Mrs.) Margaret Bassey, a taxanomist in the Department of Botany and Ecological Studies and University of Uyo. The extraction was done in the Department of Pharmacognosy, University of Uyo, according to the methods of Evans and Evans [28]. Cola nuts weighing 50g were used for the study. The cola nuts were chopped into smaller pieces air, dried, pulverized and extracted with 60% ethanol before the extract was left for 72 hours and then filtered. The filtrate was concentrated to dryness using evaporators and the resultant extract weighed 79.8g and was stored at -40C for use.

Ulcer Inducement: The rats were fasted for 24 hours before being induced with 0.5ml of 99% ethanol orally using a canula. The animals were observed for ulceration 4 hours after the administration. The stomach was then removed using scissors and opened along the greater curvature to expose the mucosa. The ulceration portions were then counted according to the methods of Bary, et al. [29]: 0 = no lesion, 1 = mucosal edema and petechiae, 2 = 1- 5 small lesion, 3 = more than 5 small lesions or one intermediate lesion, 4 = 2 or more intermediate lesion, and 5= perforated ulcers.    The ulcer index was calculated as the total ulcer score / the number of animals ulcerated.

Acute Toxicity: This was carried out according to the methods of Lorke [30] with a total of 27 mice. 1g of the extract dissolved in 10ml of sterile water was used as a stock solution in 100mg/ml. The test was done in two phases.

In phase one, three groups with three mice in each group was used i. The first three animals was given 5000mg/kg of the extract, the second group had 3000mg/kg and the third group was given 1000mg/kg as per their body weight and the administration was intraperitoneal. The animals were observed for 24 hours after the administration for signs of toxicity. A 100% mortality was recorded in the group with 5000mg/kg and in the second group administered with 3000mg/kg. But zero mortality was recorded in the third group with 1000mg/kg of the extract. In the second phase of the toxicity test, the mice were divided into six groups with three in each group. The animals were given the extract as follows: group 1 - 1250mg/kg, group 2 - 1,500mg/kg, group 3 - 1750mg/kg, group 4 - 2000mg/kg, group 5 - 2250mg/kg and group 6 - 2500mg/kg. The administration was done intraperitoneally and based on their body weight. The animals were observed for 24 hours after administration and all of them died. The observation here shows that cola nut at high consumption rates is very toxic to the body.

LD50 was then calculated based on the obtained results as follows:

Where A = maximum dosage that produces 0% mortality
B   = Minimum dosage that produces 100% mortality

Therefore LD50    = AXB  √1000 x 1250
= 1118.03mg/kg

For low medium and high dosages, 10% 20% and 30% of 111.80mg/kg,  223.61mg/kg  and 335.41mg/kg respectively.

Administration of Extract and Drugs: A total of 24 male and female matured albino rats divided into eight groups with three in each group were used for the study.

Group 1: The control group, without ulcers, given sterile water orally using a canula.
Group 2: Group was induced with ulcers.
Group 3: This group was given a low dose of the extract.
Group 4: This group was given a medium dose of the extract
Group 5: This group was given a high dose of the extract.
Group 6: This group was given a medium dose of extract and omeprazole.
Group 7: This group was given the extract and ranitidine
Group 8: This group was given the extract and cimetidine.

The extract and drugs were administered orally using a canula and by-passing the esophagus [31].

The ranitidine, cimetidine and omeprazole were given based on the body weight of the animals in comparison to the average weight of a human.

Drugs Administration: Cimetidine was administered at a dosage of 400mg/kg and ranitidine at a dosage of 300mg/kg. These drugs are H2 blockers or inhibitors. Omeprazole which is a proton pump inhibitor was administered to the rats per their body weight at a dosage of 20mg/kg.

Tissue Isolation, Preparation, Motility Study [32]: The animals were anaesthetized with chloroform. An incision was made at the linea alba to expose the small intestine. The ileum was cut into a three cm long section. It was placed in Tyrode solution and the tissues were continually aerated using an aeration machine for a continual supply of oxygen. The isolated tissue was attached at one end to the aerating fix support in the tissue bath and the other end was attached to the writing lever of a kymorgraph with the aid of a thread and needle.

The tissue was bathed with Tyrode solution and allowed to equilibrate for about thirty minutes. At fifteen minute intervals the bath solution was flushed out and replaced. The tissue bath was kept between 35 and 370C. The kymograph was used in measuring the motility of the isolated tissue. The drum was set at rotating velocity of 0.01 revolutions per second and was equilibrated with the 0.1mg of atropine and the results recorded for fourteen days as per the mean basal weight of contraction with kymographic tracing.

Gastric Secretion: The method of Silverton and Baker [33]  was used. The stomach of each chloroform anaesthesized rat was incised and opened. The stomach content was rinsed with five millilitres of distilled water, filtered and then titrated against 0.02M of NaoH using  phenol red. The acid output was calculated based on this formula:    K.X(mmol)/y.

Where:   X            =  Average titre
K            = Concentration of sodium hydroxide
Y            =  Volume of diluting fluid

3. RESULTS

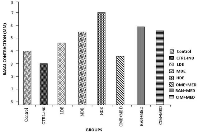
The effect of cola nitida on muscle contraction and motility was compared with cimetidine, ranitidine and omeprazole. The mean height of contraction was as follows:, , , , , for group 1 normal control (4.0+0.06), group 2 the control with induced ulcers (2.9+ 0.08), group 3 administered with a low dose of the extract (4.8+ 0.06), group 4 administered with a medium dose of the extract (5.6+ 0.07), group 5 administered with a high dose of the extract (7.2+ 0.21), group 6 administered with a medium dose of the extract and omeprazole (4.2+ 0.11), group 7 administered with a medium dose of the extract and ranitidine (6.4+ 0.07) and group 8 administered with a high dose of the extract and cimetidine (6.2 +0.07) respectively.

The basal height of contraction was significantly (P <0.05) higher in group 3, 4 and 5 administered with low, medium and high doses as compared with the group 1 normal control. There was also a significant (P<0.05) decrease in the contractile height in group 6, (the medium dose with omeprazole group) as compared to group 7 and 8 (administered with medium dose and ranitidine and high dose of extract with cimetidine) as can be seen in Figures 1, 2, and 3.

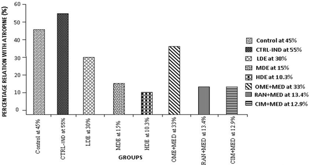
The percentage of relaxation of the isolated rat ileum following the atropine administration were as follows: group one -45.0+0.03, group two- 55.0+ 0.03, group three - 30.0+ 0.03, group four -15.0+ 0.19, group five - 10.3+ 0.17, group six - 33.0+ 0.06, group seven - 13.4+ 0.08 and group eight - 12.9+ 0.05.

The acid output, 1.13+ 0.06 in the group without ulcers was significantly lower (P<0.05) than those in groups 2, 3, 4, 5, 6, 7 and 8. It was 2.58+ 0.05 in group two, 2.70+ 0.12 in group three, 2.95+ 0.06 in group four, 3.20+ 0.06 in group five, 0.95+ 0.06 in group six, 2.30+ 0.07 in group seven and 2.30+ 0.07 in group eight. Acid output was significantly (P<0.05) lower in group six with omeprazole administration than all other groups. The acid output 3.20+ 0.06 was significantly higher (P<0.05) in group five which was administered with a high dose of the cola-nut extract. This means that cola nut triggers increase acid concentration and high contractile motility.

The ulcer scores were significantly different (P<0.05) with group one and two generating results of 0.00+ 0.00, and 3.00+ 0.58 respectively, group three 3.25+0.48, groupfour 3.50+ 0.50, group five 3.75+0.48, group six 0.25+ 0.25, group seven 0.50+ 0.29 and group eight 1.00+ 0.41. It was lower significantly in group six compared to all other groups. This further confirms the efficacy of omeprazole than the other two drugs cimetidine and ranitidine and can be seen in Figures 3 and 4.

Figure-1. Effect of Cola Nitida on Motility.

Source: From kymographic tracing above.

Figure-2. Mean basal height of contraction in different experimental groups

Values are mean + SEM., n=3 for control and control induced with ulcer, and n=4 in the rest of the groups.p<0.05.

Figure-3. Percentage relaxation in rats administered with Atropine in different experimental groups.

Values are mean + SEM., n=3 for control and control induced with ulcer, and n=4 in the rest of the groups. P<0.05.

Figure-4. Acid output in mmols of the experimental groups.

Values are mean + SEM., n=3 for control and control induced with ulcer, and n=4 in the rest of the groups. P<0.05.

4. DISCUSSION

The study has shown the effect of cola nut extract on the ileum, ulcer count and gastric acidity. Generally, the cola nut has shown dose-dependent increases in the gastric acidity, ulcer count and motility of the ileum. The basal height of the contraction was observed as being high in groups administered with a high dose of cola nitida and is related to the active ingredient of the cola nut being methylxanthine. This substance is reported to potentiate the actions of cholinergic agonist which increase motility according to Schmidt [12]. Also involved is tannin as stated in Tyler, et al. [34] which with its stringent activities on the gastrointestinal tract mucosa could cause motility. Its other properties can lead to gastric irritation, nausea and vomiting. Steroidal saponins also share in these properties but it is however associated with gastric lesions according to Ikeda, et al. [35].

This confirms that cola nut indeed causes gastric ulcers besides its high secretory properties i.e. the high acid output observed in the study. Motility was higher in the groups of animals administered with medium doses of the cola nut extract with ranitidine and cimetidine than those with the extract and omeprazole. This means that omeprazole decreases the motility of the ileum induced by the cola nut extract more effectively than the two H2 blockers. It also means that cimetidine and ranitidine increase motility which may increase ulceration.
However, decreases in motility could result in decreased absorption of ingested food and hence malabsorption according to Benini, et al. [36]. It also means that in peptic ulcer treatment with omeprazole, patients may also witness malnourishment. Also the ranitidine and cimetidine related increases of motility has confirmed their classification as H2 receptor antagonists [37].

Atropine inhibited the extract induced contraction in the study. Atropine is a muscarinic receptor blocker and it blocked the calcium ions mobilization that was necessary for the excitation and contraction coupling process [38] and the effect of the extract on gastric secretion was dose dependent i.e high doses triggered high secretion. The alkaloid content of the extract is incriminated in this reaction. There is evidence that cyclic AMP is involved in such secretion according to Tende, et al. [39] . Cola nut is said to have fat burning properties that will stimulate gastric juices [4].

Gastric ulcer scores were higher in the groups administered with the cola nut extract that also had high acid output. This means that the ulcer scores are the result of high acid output that eroded the mucosa. The study has shown that the consumption of cola nut will lead to gastric ulcers and increases in hydrochloric acid and continuous ulceration with its inherent increased motility properties.

5. CONCLUSION

It is observed in the study that gastric ulcer patients may suffer malnourishment in omeprazole therapy. Indulging in the consumption of cola nut may lead to gastric ulcers and disorders of motility.

Funding: This study received no specific financial support.   
Competing Interests: The authors declare that they have no competing interests. 
Contributors/Acknowledgement: All authors contributed equally to the conception and design of the study.

REFERENCES

[1]          R. W. D. Nickolls and W. F. Daniel, "The discovery that kolanut contains Caffeine," Pharmaceutical Journal (England), vol. 236, pp. 401-402, 1986.

[2]          L. O. Chukwu, W. O. Odiete, and L. S. Briggs, "Basal metabolic regulatory responses and rhythmic activity of mammalian heart to aqueous kola nut extracts," African Journal of Biotechnology, vol. 5, pp. 484-486, 2006.

[3]          A. C. Guyton and J. E. Hall, Textbook of medical physiology, 10th ed. Philadelphia: W. B. Saunders, 2006.

[4]          C. O. Esimone, M. U. Adikwu, C. S. Nworu, F. B. Okoye, and D. C. Odimegwu, "Adaptogenic potentials of camellia sinensis leaves, garcinia kola and kola nitida seeds," Scientific Research and Essays, vol. 2, pp. 232-237, 2007.

[5]          D. R. Wilson, "What is kolanut? Retrieved from https://www.healthline.com/health/kola-nut, " 2017.

[6]          H. Hatasaka and M. Goldstain, "Kolanut as a symbol and its effect on central nervous system," J. Sep., vol. 257, pp. 2133-2136, 2001.

[7]          J. W. Purseglove, Tropical crops cotyledons: Longman, 1977.

[8]          O. C. Jayoola, "Preliminary studies on the use of kolanut for soft drink production," Journal of Food Technology in Africa, vol. 6, pp. 25-26, 2001. Available at: https://doi.org/10.4314/jfta.v6i1.19280.

[9]          M. A. Pietro, "Health benefits of Kola nut. Available: https://www.medicalnewstoday.com/articles/319626.php, " 2017.

[10]        R. U. B. Ebana, B. E. Madunagu, E. D. Ekpe, and I. N. Otung, "Microbiological exploitation of cardiac glycosides and alkaloids from Garcinia kola, Borreria ocymoides, Kola nitida and Citrus aurantifolia," Journal of Applied Bacteriology, vol. 71, pp. 398-401, 1991. Available at: https://doi.org/10.1111/j.1365-2672.1991.tb03807.x.

[11]        T. Benie, C. Tahiri, J. Duval, and M. Thieulant, "Natural substances regulating fertility. Effect of plant extracts in the Ivory Coast pharmacopoeia on the release of LH by hypophyseal cells in culture," Proceedings of Meetings of the Society of Biology and its Subsidiaries, vol. 181, pp. 163-167, 1987.

[12]        B. Schmidt, "Methylxanthine therapy for apnea of prematurity: Evaluation of treatment benefits and risks at age 5 years in the international Caffeine for Apnea of Prematurity (CAP) trial," Neonatology, vol. 88, pp. 208-213, 2005. Available at: https://doi.org/10.1159/000087584.

[13]        E. O. Jimmy and U. G. Egesie "Gastrin, histamin, prostaglandins; indicators for assessing efficacy of cimetidine, omeprazole and ranitidine in gastric ulcer treatment," Journal of Medical Sciences Janaki, Japan, vol. 5, pp. 5-12, 2018.

[14]        M. F. Otterson and M. G. Sarr, "Normal physiology of small intestinal motility," Surgical Clinics of North America, vol. 73, pp. 1173-1192, 1993. Available at: https://doi.org/10.1016/s0039-6109(16)46186-4.

[15]        G. H. Bell, D. Emslie, and C. R. Paterson, Textbook of physiology, 10th ed.: Churchil Livingstone, Amazon Books, 1980.

[16]        B. A. Salih, M. F. Abasiyanik, N. Bayyurt, and E. Sander, "H pylori infection and other risk factors associated with peptic ulcers in Turkish patients: A retrospective study," World Journal of Gastroenterology, vol. 13, pp. 3245-3248, 2007. Available at: https://doi.org/10.3748/wjg.v13.i23.3245.

[17]        E. O. Jimmy and S. O. Odeh, "Lipton tea and coffee complicate pathogenesis of its induced gastric ulcer wit fluctuations in amylase and protein levels," Journal of Cellular and Molecular Physiology, vol. 2, pp. 1-6, 2017. Available at: https://doi.org/10.25177/jcmp.1.2.1.

[18]        L. Brown, "Helicobacter pylori: Epidemiology and routes of transmission " Epidemiology Review, vol. 22, pp. 283-97, 2000. Available at: https://doi.org/10.1093/oxfordjournals.epirev.a018040.

[19]        L. Olbe, L. Fändriks, A. Hamlet, A.-M. Svennerholm, and A.-C. Thoreson, "Mechanisms involved in Helicobacter pylori induced duodenal ulcer disease: An overview," World Journal of Gastroenterology, vol. 6, pp. 619-623, 2000. Available at: https://doi.org/10.3748/wjg.v6.i5.619.

[20]        A. Saha, C. E. Hammond, C. Beeson, R. M. Peek, and A. J. Smolka, "Helicobacter pylori represses proton pump expression and inhibits acid secretion in human gastric mucosa," Gut, vol. 59, pp. 874-881, 2010. Available at: https://doi.org/10.1136/gut.2009.194795.

[21]        A. M. Kitay, A. Link, and J. P. Geibel, "Activation of secretagogue independent gastric acid secretion via endothelial nitric oxide synthase stimulation in rats," Cellular Physiology and Biochemistry, vol. 44, pp. 1606-1615, 2017. Available at: https://doi.org/10.1159/000485755.

[22]        M. Drini, "Peptic ulcer disease and non-steroidal anti-inflammatory drugs," Australian Prescriber, vol. 40, pp. 91-93, 2017. Available at: https://doi.org/10.18773/austprescr.2017.037.

[23]        H. Matsui, O. Shimokawa, T. Kaneko, Y. Nagano, K. Rai, and I. Hyodo, "The pathophysiology of non-steroidal anti-inflammatory drug (NSAID)-induced mucosal injuries in stomach and small intestine," Journal of Clinical Biochemistry and Nutrition, vol. 48, pp. 107-111, 2011. Available at: https://doi.org/10.3164/jcbn.10-79.

[24]        G. Fink, "Stress controversies: Post traumatic stress disorder, hippocampal volume, gastroduodenal ulceration," Journal of Endocrinology, vol. 23, pp. 107-17, 2011. Available at: https://doi.org/10.1111/j.1365-2826.2010.02089.x.

[25]        S. Halder, G. Locke III, C. Schleck, A. Zinsmeister, and N. Talley, "Influence of alcohol consumption on IBS and dyspepsia," Neurogastroenterology & Motility, vol. 18, pp. 1001-1008, 2006. Available at: https://doi.org/10.1111/j.1365-2982.2006.00815.x.

[26]        L. Li, R. Chan, L. Lu, J. Shen, L. Zhang, W. Wu, L. Wang, T. Hu, M. Li, and C. Cho, "Cigarette smoking and gastrointestinal diseases: The causal relationship and underlying molecular mechanisms," International Journal of Molecular Medicine, vol. 34, pp. 372-380, 2014. Available at: https://doi.org/10.3892/ijmm.2014.1786.

[27]        C. S. Mansfield and T. Hyndman, "Gastric cytoprotective agents," ed: Elsevier Saunders, 2013.

[28]        W. C. Evans and P. Evans, Textbook of  pharmacognosy, 5th ed. Bailliere, Tindall, Churchil,,  Livingstone, Livingstone, W B Saunders, Edinburg, London, New York, Philadelphia, St Lousis, Sydney, Toronto 2002, 1996.

[29]        C. N. Bary, M. Proutan, and K. G. Lloyd, "Sulphasalamino and Phci 2A inhibit the formation of ethanol and phenylbutazome induced rat gastric ulcers: Lack of involvement o endogenous prostaglandins," British Journal of Pharmacology, vol. 93, pp. 405-472, 1988.

[30]        D. Lorke, "A new approach to practical acute toxicity testing," Archives of Toxicology vol. 54, pp. 275-287, 1983. Available at: https://doi.org/10.1007/bf01234480.

[31]        G. Robert, "Gastric cytoprotective property of prostaglandins," Gastrenterol, vol. 77, pp. 762-769, 1979.

[32]        N. S. Udombon, U. Egesie, N. S. Solomon, M. Ekpo, and E. O. Jimmy, Ekpenyong CE. In Textbook of practical physiology, 2nd ed. Nigeria: Jiano Media, 2013.

[33]        R. E. Silverton and F. S. Baker, Introduction to medical laboratory technology. London, 1983.

[34]        V. E. Tyler, L. R. Brady, and J. E. Robbers, Pharmacognosy, 9th ed. USA: Lead and Febiger, 1981.

[35]        I. Ikeda, K. Tanaka, M. Sugano, G. Vahouny, and L. Gallo, "Inhibition of cholesterol absorption in rats by plant sterols," Journal of Lipid Research, vol. 29, pp. 1573-1582, 1988.

[36]        L. Benini, G. Castellani, E. Bardelli, C. Sembenini, M. T. Brentegani, S. Caliari, and I. Vantini, "Omeprazole causes delay in gastric emptying of digestible meals," Digestive Diseases and Sciences, vol. 41, pp. 469-474, 2006.

[37]        E. Jimmy, J. G. Akpan, and H. O. C. Mbagwu, "Cimetidine, Omeprazole and ranitidine in ulcer induced rat ileum motility invitro studies," World Journal of Medicine and Medical Science, vol. 3, pp. 1-6, 2015.

[38]        K. Olson, 40 calcium channel antagonists poisoning and drug overdose, 6th ed.: McGraw-Hill Medical, 2011.

[39]        J. Tende, I. Ezekiel, S. Dare, A. Okpanachi, S. Kemuma, and A. Goji, "Study of the effect of aqueous extract of kolanut (Cola nitida) on gastric acid secretion and ulcer in white wistar rats," British Journal of Pharmacology and Toxicology, vol. 2, pp. 132-134, 2011.

Views and opinions expressed in this article are the views and opinions of the author(s), Journal of Diseases shall not be responsible or answerable for any loss, damage or liability etc. caused in relation to/arising out of the use of the content.