The perceived occupational and environmental health challenges arising from the exposure of cement dust pollution on Bua cement factory workers were investigated in this study to establish if there is any significance of cement dust exposure on workers’ health. The study was designed as a cross-sectional type of research that adopted a purposive group based strategy for sampling. 110 cement factory workers with a minimum of two years’ work experience were selected for the study. 90 respondents were randomly selected from a community situated at about 21km away from the factory and used as control. Structured questionnaire was used for data collection and SPSS statistical package was used to analyze the data. Inferential statistics was used to test the hypotheses at p <0.05, ascertain correlation of the variables and authenticate the analysed results. The result revealed that 15 types of ailment were reported among the sampled respondents with factory workers recording higher percentage occurrence of ailments than respondents from the control. Factory workers were more susceptible to the itemized ailments recorded when compared to respondents from control. Significant difference in the prevalence of perceived health ailments between factory workers and control was established. Workers from storage and transportation section were revealed to have higher percentage (77.3%) compliance level on the use of safety gadgets during work hours than workers from other sections. Also, a significant relationship between the perceived health risks associated with cement dust exposure and the health of factory workers was established. The researchers made reasonable recommendations to forestall further health complications that might arise from working on a cement production factory.
Keywords: Cement, dust, pollution, Factory, workers, Community, Questionnaire, Bua, Edo, State.
Received: 27 November 2019 / Revised: 30 December 2019 / Accepted: 3 February 2020/ Published: 25 February 2020
This study contributes to the existing literature on occupational exposure and perceived effects of cement dust pollution on factory workers. It also provides in depth findings of the associated health effects arising from cement production on workers in Nigeria precisely.
The cement industry has been recognized as one of the most inevitable giants to the development of infrastructure of any nation. The industry has well been reported to be among the largest leading manufacturing industries with a production process that consists of grinding, drying and mixing of limestone as well as additives like bauxite ore and iron into a powder form called “raw meal” (Rampuri, 2017). Cement is a major component for building infrastructure and construction works. It is an important construction material used for the development of infrastructure, and key to economic growth of any developed and developing society (Nkhama, 2017). Several researchers in other parts of the world have reported that Portland cement is the third most widely used commodity worldwide and next to electricity generation (energy) after water (Chipindu, 2009). The infrastructural development of any sovereign since the beginning of the 20th and 21st centuries is driven by the demand for cement production (Neghab., Abdullah, Kumar, & Sadeghi, 2010; Shiravan, 2014). The demand for cement is directly proportional to the economic growth of any nation and the growing economies of many developed and developing countries are striving for rapid infrastructural development, hence the resulting increase in cement production (Nkhama, 2017; Shiravan, 2014). Available statistics has it that global cement production grew to approximately 4.18 billion metric tons (Bmt) in 2016 when compared to 4.08 (Bmt) in 2014 (Abdul-Wahab, 2006; Mwaiselage, Bråtveit, Moen, & Mashalla, 2004; Nkhama, 2017).
Despite the inevitable role of the industry towards infrastructural development; its resultant environmental and health impacts beginning from the processing of raw materials to production stage cannot be compared. The production of cement is an inherent dusty operation resulting in ambient air pollution that exposes factory workers and residents of communities situated near the factory to various environmental and health issues (Abrons, Petersen, Sanderson, Engelberg, & Harber, 1998). Research scholars around the world have asserted that cement production contribute to total global particulate emissions (Abou-Taleb, Musaiger, & Abdelmoneim, 1995; Adak, Adak, & Purohit, 2007; Neghab & Choobineh, 2007; Rampuri, 2017). Particulate materials released during cement production otherwise known as cement dust is a mixture of Silicon, Calcium, Sodium and Potassium as well as heavy metals like Zinc, Cadmium, Aluminium, Lead, Chromium and Iron which in excess are hazardous and deleterious to human health and the environment (Baby et al., 2008; Gbadebo & Bankole, 2007; Kumar et al., 2008). The pulverized materials when released into the atmosphere constitute a major source of air pollution and travels significant distances downwind, crossing state lines and creating region-wide health challenges (Mirzaee, Kebriaei, Hashemi, Sadeghi, & Shahrakipour, 2008). These effects have greater impacts on communities disproportionately exposed to the health and environmental risks and most especially to the vulnerable populations, including children (El Badri & Saeed, 2008).
Several research works on the potential adverse health effects from exposure to cement dust have been published around the world. Studies are available on the functionality of human lung against cement dust, but majority of these studies were carried out by researchers without considering long term duration-response effect between years of exposure and respiratory function impairment (Sultan, Al-Drees, Al Masri, Al Rouq, & Azeem, 2013; Zeleke, Moen, & Bråtveit, 2010). Sultan et al. (2013) worked on lung function impairment resulting from occupational respiratory problem like cement dust. The effects of cement dust exposure on lung and liver functions in occupationally exposed individuals in Nigeria was documented from several studies by Alakija, Iyawe, Jarikre, and Chiwuzie (1990); Gbadebo and Bankole (2007) and Ogunbileje, Akinosun, Arinola, and Akinduti (2010). Human exposure to emitted particulates and particulate-bound metals dispersed into the atmosphere from cement factory was reported by Al-Neaimi, Gomes, and Lloyd (2001). Kakooei et al. (2012) researched on occupational exposure to cement dust in Iran using 2,700 cement factory workers. The deposition of cement dust in the respiratory tract of cement factory workers was reported by Mwaiselage et al. (2004). They affirmed that cement dust leads to increased pH values in workers which irritate the exposed mucous membranes and impair respiration.
In spite of the robust availability of literature on cement dust exposure to factory workers in other parts of the world; there is paucity of published research on the environmental and health impacts of exposure to emissions from cement factory on workers and communities residing close to these factories in Nigeria. Nigeria has been reported to be rich in solid minerals with statistics affirming the nation as the highest producer of cement in West Africa with over twelve cement factories sited across the country (Ogunbileje et al., 2010). There is an assumption that cement workers are from the lower socio-economic class and are often hired without the pre-requisite and needed trainings to work in cement factories and thereby deployed to work sites without proper protective gargets (Al-Neaimi et al., 2001; Chukwu & Ubosi, 2016; Meo, 2004). Also assumed is that cement factory workers in Nigeria are deficient in knowledge on the occupational hazards arising from working in highly dusty and polluted environment which is of serious concern. Based on the above, this study intend to fill the gap by evaluating the occupational exposure and perceived effects of Portland cement dust pollution on cement factory workers in Nigeria.
1.1. Study Area
This study was carried out to investigate the occupational exposure and perceived health effects of cement dust pollution on workers of a cement factory located at Afookpella in Edo State, Nigeria. The factory is situated at the outskirt of Afookpella along Abuja-Okene expressway in Edo State with a combined installed production capacity of 3.5 million MT. It is the major cement factory servicing the south-south geopolitical zone in Nigeria. The community where the factory is located is bounded to Okugbe, Iddo, Kominio, Awuyemi, Imiegele, Imekuri and Oku communities. The area consists of low land forest habitat, montane habitat and savannah habitat. Its footprint straddles Etsako East and Akoko Edo Local Government Areas. Geographically, it lies at latitude 7016i N and longitude 6020i E (see Figure 1). The area usually experiences two geographic seasons; from March to October being the wet season with the area experiencing heavy precipitation at its climax from August to October whereas the months of November to February covers the dry season. Within this period maximum temperature has been reported to be at about 340C (Ebiagwai, 2016). The speed of wind in this area has been reported to range from 2-9 m/s during the harmattan season and up to 13 m/s during the rainy season. The factory was established as a State Government Production Company in 1964 and later on, privatized to a private organization in 2008. A community with the same socioeconomic profile similar to Afookpella as possible; situated at about 21km from the factory and study area was selected as control for comparison.
Figure-1. Map of Okpella showing the cement factory.
Source: Ebiagwai (2016).
1.2. Research Methodology
This study is a cross-sectional type of research carried out to evaluate the perceived effects of cement dust exposure on factory workers. 110 cement factory workers were selected in a purposive group based strategy for exposed respondents. These selected workers cut across five sections of the production and packaging processes. Namely; raw material crushing and processing, milling and packing of raw materials, storage and transportation, clinker production, cement milling and blending sections. These categories of workers were selected because of the various degree of exposure to cement particulates. Only workers with minimum of two years exposure were selected. In the same manner, 90 respondents from the community used as control were randomly selected for the study. The researchers made sure that their socioeconomic and age background matched those of cement workers. The instrument for data collection was structured in line with the American Thoracic Society’s Questionnaire on Respiratory Symptoms. The socio-demographic data of the selected respondents were elicited by interview administered structure questionnaire covering history of employment, socioeconomic status, level of education, work experience, use and nonuse of personal protective gadgets. Information on respondents’ wellness and diseases suffered in the past were also obtained as well as their life styles, using the British Medical Research Council questionnaire guide. Database for the study was designed and statistical package for social sciences (version 21) was used to analyze the field data. Inferential statistics such as analysis of variance (ANOVA), Pearson Product Moment Correlation (PPMC) and t-test was used to test the hypotheses at p <0.05, ascertain the correlation of the variables and authenticate the analysed results.
The analysis of results in this section of the study, entails evaluating the occupational exposure and perceived effects of cement dust pollution on factory workers in Bua Cement Factory, Edo State, Nigeria. Table 1 depicts the demographic characteristics of the study respondents. Table 2 summarizes the perceived health challenges suffered by the respondents as a result of exposure to cement dust. Furthermore, details of all the multivariate analyses carried out in the study are shown in Figures 2, 3 and 4. Table 3 presents the paired t-test result for differences in the prevalence of perceived health ailments between factory workers and control. Figure 5 is a representation on percentage compliance of factory workers in the use of safety gadgets during work hours; whereas Tables 4 and 5 present the result for tests of the various statistical hypotheses in the study.
The instrument for data collection was used to obtain information from a total of 200 respondents for the study; factory workers sampled were 110 whereas 90 respondents were sampled from the community used as control for the study. The demographic data of the respondents were examined and analysed according to their age range, gender, marital status, education, employment history and other socio-economic details. 22 respondents per section and in total five sections from the cement factory were sampled and studied. The details from the demographic data revealed that for age range, factory workers were in this order: 14(12.7%) were 18-30 years, 39(35.5%) were 31-40 years of age, 45(40.9%) were 41-50 years whereas 12(10.9%) of the respondents were within the age range of 50 and above. More so, respondents from the control community were 22(24.4%) for 18-30 years, 29(32.3%) were 31-40 years, 18(20%) were 41-50 years whereas the other 21(23.3%) were above 50 years. For gender, 95(86.4%) of the sampled factory workers were male and 15(13.6%) were female. The control had 57(63.3%) male and 33(36.7%) female. This implies that male gender had a higher percentage ratio in this study than the female counterparts.
Analysis on marital status of the respondents revealed that 42(38.2%) of factory workers were single, 59(53.6%) were married and 9(8.2%) were under the widow/divorced categories. Also revealed in Table 1 was that 23(25.6%) of the sampled control respondents were single, 54(60%) of them were married, whereas 13(14.4%) were either widow or had divorced marriage.
Distribution of factory workers on level of education revealed 8(7.3%) had no formal education, 20(18.2%) were first leaving school certificate holders, 51(46.4%) had the Nigerian senior secondary school certificate; 16(14.5%) affirmed to be NCE/ND (National Certificate of Education/ National Ordinary Diploma) holders and 15(13.6%) had either a bachelor degree or HND certificates. Respondents from control revealed that 12(13.3%) had no form of education, 25(27.8%) were first school leaving certificate holders, 33(36.7%) had SSCE; 11(12.2%) of them affirmed to be NCE/ND certificate holders; whereas 9(10%) were B.Sc/HND degree holders. The implication of this finding was that the respondents sampled for the study were knowledgeable enough to understand questions, and answer in the affirmative issues relating to the subject matter studied.
Table-1. Description of sampled respondents by demographic characteristics.
Factor |
Factory worker |
Community |
p-value |
||||
Exposed |
Unexposed |
Total |
|||||
N=110 |
N=90 |
N=200 |
|||||
F |
(%) |
F |
(%) |
F |
(%) |
||
Age range |
|||||||
18-30 |
14 |
12.7 |
22 |
24.4 |
36 |
18 |
|
31-40 |
39 |
35.5 |
29 |
32.3 |
68 |
34 |
0.085 |
41-50 |
45 |
40.9 |
18 |
20 |
63 |
31.5 |
|
50+ |
12 |
10.9 |
21 |
23.3 |
33 |
16.5 |
|
Gender |
|||||||
Male |
95 |
86.4 |
57 |
63.3 |
152 |
76 |
0.046 |
Female |
15 |
13.6 |
33 |
36.7 |
48 |
24 |
|
Marital status |
|||||||
Single |
42 |
38.2 |
23 |
25.6 |
65 |
32.5 |
|
Married |
59 |
53.6 |
54 |
60 |
113 |
56.5 |
0.079 |
Widow/divorced |
9 |
8.2 |
13 |
14.4 |
22 |
11 |
|
Level of Education |
|||||||
No formal education |
8 |
7.3 |
12 |
13.3 |
20 |
10 |
0.021 |
First leaving certificate |
20 |
18.2 |
25 |
27.8 |
45 |
22.5 |
|
Senior secondary school |
51 |
46.4 |
33 |
36.7 |
84 |
42 |
|
NCE/ND |
16 |
14.5 |
11 |
12.2 |
27 |
13.5 |
|
B.Sc/HND |
15 |
13.6 |
9 |
10 |
24 |
12 |
|
Employment status |
|||||||
Unemployment |
0 |
0 |
48 |
53.3 |
48 |
24 |
0.013 |
Employed |
110 |
100 |
42 |
46.7 |
152 |
76 |
|
Years of work experience |
|||||||
2-3 yrs |
11 |
10 |
11 |
10 |
0.082 |
||
3-4 yrs |
19 |
17.3 |
*** |
*** |
19 |
17.3 |
|
4-5 yrs |
21 |
19.1 |
21 |
19.1 |
|||
5-6 yrs |
42 |
38.2 |
42 |
38.2 |
|||
6-7 yrs |
17 |
15.4 |
17 |
15.4 |
|||
Years lived in community |
|||||||
2-5 yrs |
14 |
15.6 |
14 |
15.6 |
|||
6-10 yrs |
** |
** |
26 |
28.8 |
26 |
28.8 |
|
10-15 yrs |
32 |
35.6 |
32 |
35.6 |
0.063 |
||
16-20 yrs |
18 |
20 |
18 |
20 |
|||
Smoking habit |
|||||||
Never a smoker |
77 |
70 |
49 |
54.4 |
126 |
63 |
0.352 |
Ever smoker |
18 |
16.4 |
19 |
21.1 |
37 |
18.5 |
|
Currently a smoker |
15 |
13.6 |
22 |
24.5 |
37 |
18.5 |
|
House ownership |
|||||||
Owned |
32 |
29.1 |
51 |
56.7 |
83 |
41.5 |
0.027 |
Rented |
53 |
48.2 |
33 |
36.6 |
86 |
43 |
|
Others |
25 |
22.7 |
6 |
6.7 |
31 |
15.5 |
|
Age of building |
|||||||
1-5 yrs |
18 |
16.4 |
9 |
10 |
27 |
13.5 |
|
6-10 yrs |
29 |
26.4 |
16 |
17.8 |
45 |
22.5 |
0.098 |
10-15 yrs |
23 |
20.9 |
13 |
14.4 |
36 |
18 |
|
16-20 yrs |
26 |
23.6 |
37 |
41.1 |
63 |
31.5 |
|
20 & above |
14 |
12.7 |
15 |
16.7 |
29 |
14.5 |
|
House material |
|||||||
Mud |
23 |
20.9 |
36 |
40 |
59 |
29.5 |
0.022 |
Concrete |
87 |
79.1 |
54 |
60 |
141 |
70.5 |
|
Roof material |
|||||||
Metal |
69 |
62.7 |
49 |
54.4 |
118 |
59 |
0.034 |
Asbestos |
18 |
16.4 |
16 |
17.8 |
34 |
17 |
|
Aluminum |
23 |
20.9 |
25 |
27.8 |
48 |
24 |
|
Note: ** missing values for factory workers.
*** missing values for community (control).
Employment details revealed that a higher percentage of 48(53.3%) of respondents from control were unemployed as compared to factory workers whom are all engaged as staff of Bua Cement Factory. Years of work experience were sought for factory workers in order for the researchers to ascertain, if the respondents meet the criteria for participating in the study. The data revealed that 11(10%) of factory workers had 2-3 years work experience, 19(17.3%) had 3-4 years, 21(19.1%) had 4-5 years, 42(38.2%) consented to have worked in that particular factory for 5-6 years and 17(15.4%) confirmed to have worked for 6-7 years.
Statistical analysis of the results in Table 1 which sought to verify the history of smoking habits among the respondents sampled revealed that higher percentage of factory workers were non-smokers as 77(70%) of them had never in their life time indulge in smoking tobacco or any other types of cannabis; 18(16.4%) had been smokers for very long time, whereas 15(13.6%) were recently introduced into smoking.
Data for respondents from control revealed contrary as only 49(54.4 %) of respondents had never for once smoked tobacco; 19(21.1%) were smokers whereas 22(24.5%) were recently introduced into smoking. Overall, 126(63%) from the total respondents for the study were non-smokers. The result on the analysis of respondents’ house ownership revealed that 83(41.5%) from the total respondents reside in their personal building, 86(43%) were residing in rented apartments whereas 31(15%) of the respondents affirmed that they reside in other types of house ownerships. Questionnaire for age of the building resided by the respondents revealed that 18(16.4%) of factory workers reside in 1-5 years old buildings; 29(26.4%) lives in 6-10 years old buildings, 27(20.9%) of the sampled workers reside in buildings of 10-15 years old; 26(23.6%) confirmed to reside in buildings that were 16-20 years whereas for buildings that were above 20 years, only 14(12.7%) of the sampled factory workers affirmed to reside in such buildings. Respondents from the community used as control revealed that 9(10%) of the sample were living in buildings that are of 1-5 years old; 16(17.8%) of the respondents from the control community confirmed to reside in buildings that were built 6-10 years ago; 13(14.4%) of the respondents acknowledged that the buildings which they reside were constructed 10-15 years back; 37(41.1%) of the sampled community respondents lives in buildings constructed 16-20 years back whereas another 15(16.7%) of the respondents affirmed to reside in buildings that were built above 20 years. The finding revealed that the respondents used as exposed and unexposed samples in the study were of same social strata.
Figure-2. Box plot of percentage distribution of perceived ailments of factory workers (exposed) against control (unexposed).
Table-2. Percentage distribution of perceived health challenges suffered by the respondents
Figure-3. Normal quantile plot to compare means of factory workers against control.
A critical review of the data and study of the statistical analysis in Table 2 as well as Figures 2 and 3 to ascertain the prevalence of perceived health challenges of the respondents arising from cement dust pollution revealed that 15 type of ailments were reported among the 200 respondents sampled for the study (see Figure 2). Among the reported types of ailments, it was observed that factory workers recorded higher percentage when compared with the percentage of ailments reported by respondents from the community used as control except in cases like pneumoconiosis, carcinoma of the colon, restrictive lung disease, high blood pressure and diabetes were it was recorded that respondents from control had higher percentage than those recorded for factory workers. Figure 3 showed a normal quantile plot of compared mean of ailments between factory workers against control. It gave a clearer picture on the prevalence of the reported perceived ailments between factory workers and control at a glance. As depicted in Figure 2, it was revealed that factory workers had similar geometry in percentage ratio of reported cases of ailments with that reported by respondents from control but with noticeable increase except in ailments such as pneumoconiosis, carcinoma of the colon, restrictive lung disease, high blood pressure and diabetes. This report is similar with the findings by Baby et al. (2008); Neghab. et al. (2010) and Nkhama (2017).
It was further revealed from Table 2 that factory workers were of more susceptible to the itemized ailments recorded when compared to respondents from control. However, paired t-test was statistically conducted to authenticate the result as displayed in Table 2. The analysed t-test as shown in Table 3, revealed that the computed two tailed t values for the listed ailments recorded for the respondents were greater than 0.05 level. To this end, the null hypothesis as stated in Ho1, which states that there is no significant difference in the prevalence of perceived health ailments between factory workers and control was therefore rejected. This means that there is a significance difference in the prevalence of perceived health ailments between factory workers and control (see Figure 4). This implies that the prevalence of perceived health ailments arising from cement dust were more felt on factory workers than the control. This report has substantiated the findings by Gbadebo and Bankole (2007) whom established a higher proportion of respondents from cement factory suffered from wheeze, allergic reactions that interfere with breathing, asthma and cough when compared to respondents from the control community. It also corroborated the finding by Kakooei et al. (2012).
Table-3. Paired t-test for the differences in the prevalence of perceived health ailments between factory workers and control.
Aliment |
Sum |
Mean |
t |
df |
Significance (two tailed) |
|
Cough |
Factory workers |
100 |
5.60 |
2.43 |
135 |
0.586 |
Control |
90 |
4.13 |
||||
Chest pain |
Factory workers |
100 |
3.25 |
1.75 |
135 |
0.388 |
Control |
90 |
2.17 |
||||
Skin allergy |
Factory workers |
100 |
4.37 |
1.94 |
135 |
0.929 |
Control |
90 |
2.05 |
||||
Eye irritation |
Factory workers |
100 |
3.11 |
1.19 |
135 |
0.698 |
Control |
90 |
2.63 |
||||
Nose irritation |
Factory workers |
100 |
3.88 |
1.79 |
135 |
0. 922 |
Control |
90 |
2.02 |
||||
Throat irritation |
Factory workers |
100 |
3.81 |
1.45 |
135 |
0.829 |
Control |
90 |
2.69 |
||||
Choking & difficulty in breathing |
Factory workers |
100 |
3.19 |
1.25 |
135 |
0.173 |
Control |
90 |
2.44 |
||||
Pneumoconiosis |
Factory workers |
100 |
0.36 |
0.23 |
135 |
0.165 |
Control |
90 |
1.47 |
||||
Carcinoma of colon |
Factory workers |
100 |
0.01 |
0.70 |
135 |
0.106 |
Control |
90 |
1.63 |
||||
Chronic obstructive lung disease |
Factory workers |
100 |
2.31 |
1.94 |
135 |
0.130 |
Control |
90 |
0.97 |
||||
Restrictive lung disease |
Factory workers |
100 |
0.62 |
0.54 |
135 |
0.123 |
Control |
90 |
1.04 |
||||
Back pain |
Factory workers |
100 |
3.42 |
2.43 |
135 |
0.217 |
Control |
90 |
2.02 |
||||
High blood pressure |
Factory workers |
100 |
0.86 |
0.59 |
135 |
0.149 |
Control |
90 |
1.14 |
||||
Diabetes |
Factory workers |
100 |
0.68 |
0.50 |
135 |
0.192 |
Control |
90 |
1.06 |
||||
Stress |
Factory workers |
100 |
4.41 |
2.94 |
135 |
0.356 |
Control |
90 |
2.16 |
||||
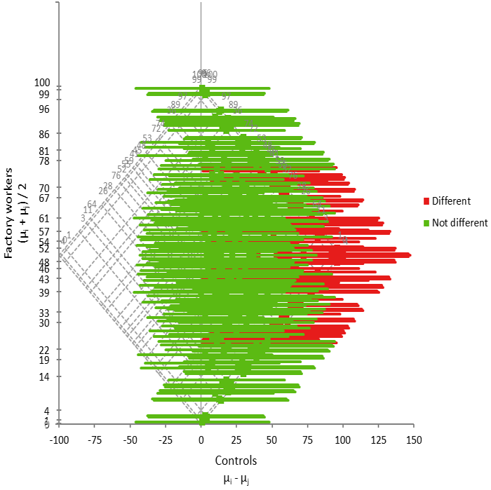
Figure-4. Hodges-Lehmann shift’s diplot of hypothesized difference between factory workers and control.
The variable used in ascertaining the percentage compliance of factory workers in the use of personal protective gadgets (PPE) during work hours is shown in Figure 5. Critical examination of Figure 5 revealed that respondents who worked in the storage and transportation section of the factory had the highest percentage (77.3%) in the use of PPE against respondents from cement milling and blending section with the least percentage ratio of (54.5%). This finding disagreed with earlier submission by Chukwu and Ubosi (2016) that reported higher percentage compliance level on the use of safety gadgets by cement factory workers in Lafarge Cement Factory, Ogun State.
**RMCP= Raw material crushing & processing; MPRM = Milling & packing of raw materials; ST = Storage & transportation; CP= Clinker production; CMP= Cement milling & blending.
Figure-5. Percentage compliance in the use of safety gadgets.
H02: There is no significant relationship between the perceived health risk associated with cement dust exposure and factory workers’ health
Examination of data as displayed in Table 4 revealed a significant relationship between the perceived health risk associated with cement dust exposure and the health of factory workers at 0.05 level. This implies that a significant relationship exist between the perceived health risks associated with cement dust exposure and the health of factory workers. Further indicated in the result is a negative relationship which implies that as the level of health risks exposure increases resulting from the increase in number of years working in the factory and hours of work per day, the percentage likelihood of factory workers to develop ailment increases. It is therefore inferred in this study that health risks associated with cement dust pollution affects workers’ health adversely. Hence, increase to exposure of high concentration of particulate matters from cement dust can adversely deteriorate factory workers’ health. This data is in accordance with the findings by Chukwu and Ubosi (2016) and Nkhama (2017). Other studies in the reviewed literature also established that particulate materials from cement dust contribute to the deterioration of cement workers’ health (Abrons et al., 1998; Rampuri, 2017; Zeleke et al., 2010).
Table-4. Relationship between perceived health risks associated with cement dust exposure and health of factory workers.
Workers’ health |
|
|
|
Variables |
r |
p-value |
Decision |
Workers’ perception on health risk associated with cement dust pollution |
-0.83 |
0.017 |
S |
Note: r = Correlation Coefficient; p = Level of significance; S = Significant; NS= Not significant.
Ho3: There is no significant difference between factory work sections and workers health risk exposure to cement dust pollution
Result displayed in Table 5 showed the analysed variables in ascertaining whether or not if significant difference exists between factory work sections and workers’ health risk arising from exposure to cement dust pollution. Proper examination of Table 5 revealed that the calculated significant value was higher at 0.05 level; hence rejecting the null hypothesis which states that there is no significant difference between factory work sections and workers’ health risk exposure to cement dust pollution. This finding earlier upheld the finding as captured in Table 2; where it was revealed that workers from cement milling and blending section were found to have higher percentage of ailments recorded and majorly reported cases of health challenges when compared with other sections.
Table-5. Significant difference between factory work sections and workers’ health risk exposure to cement dust pollution
Source |
SS |
df |
MS |
f |
p-value |
Factory workers |
27148.0 |
25 |
1085.9 |
7.49 |
0.0315 |
Error |
580.0 |
4 |
145.0 |
||
Total |
27728.0 |
29 |
956.1 |
This study investigated the occupational exposure and perceived effects of cement dust pollution on factory workers in Bua Cement Factory, Edo State, Nigeria. Data for the study was collected from 200 respondents; comprising of 110 factory workers and 90 respondents from a community with similar socio-economic profile to that of the factory workers situated at about 21 km farther away from the factory which was used as control. The findings revealed variation in the perceived occupational and health effects of cement dust exposure on factory workers. 15 types of ailment were reported among the sampled respondents and factory workers were observed to have higher percentage of reported ailments when compared with respondents from control. Significant difference in the prevalence of perceived health ailments between factory workers and control was established. Furthermore, it was revealed that workers from cement milling and blending section were found to have higher percentage of ailments recorded with majorly reported cases of health challenges when compared with other sections. Also established was significant difference between factory work sections and workers’ health risk exposure to cement dust pollution. Further indicated in the result is that respondents who worked in the storage and transportation section of the factory had the highest percentage of compliance (77.3%) in the use of safety gadgets during work hours against respondents from cement milling and blending section with the least percentage ratio of (54.5%). Worthy of note, is the consideration of the study’s limitations when interpreting the findings. A major limitation of this study was that the reported ailments were strictly provided for the study by the sampled respondents through questionnaire administration without medical proofs. Therefore, further research involving chemical characterization of the exposure and sources of cement dust pollution on the health of factory workers is required to significantly determine if they impact on occupational health of workers. However, based on the findings of the study, the following recommendations were made:
Funding: This study received no specific financial support. |
Competing Interests: The authors declare that they have no competing interests. |
Acknowledgement: All authors contributed equally to the conception and design of the study. |
Abdul-Wahab, S. A. (2006). Impact of fugitive dust emissions from cement plants on nearby communities. Ecological Modelling, 195(3-4), 338-348. Available at: https://doi.org/10.1016/j.ecolmodel.2005.11.044.
Abou-Taleb, A. N., Musaiger, A. O., & Abdelmoneim, R. B. (1995). Health status of cement workers in the United Arab Emirates. Journal of the Royal Society of Health, 115(6), 378-381. Available at: https://doi.org/10.1177/146642409511500610.
Abrons, H., Petersen, M., Sanderson, W., Engelberg, A., & Harber, P. (1998). Symptoms, ventilatory function, and environmental exposures in Portland cement workers. Occupational and Environmental Medicine, 45(6), 368-375.
Adak, M., Adak, S., & Purohit, K. (2007). Ambient air quality and health hazards near mini cement plants. Pollution Research, 26(3), 361- 364.
Al-Neaimi, Y., Gomes, J., & Lloyd, O. (2001). Respiratory illnesses and ventilatory function among workers at a cement factory in a rapidly developing country. Occupational Medicine, 51(6), 367-373. Available at: https://doi.org/10.1093/occmed/51.6.367.
Alakija, W., Iyawe, V., Jarikre, L., & Chiwuzie, J. (1990). Ventilatory function of workers at Okpella cement factory in Nigeria. West African Journal of Medicine, 9(3), 187-192.
Baby, S., Singh, N. A., Shrivastava, P., Nath, S. R., Kumar, S. S., Singh, D., & Vivek, K. (2008). Impact of dust emission on plant vegetation of vicinity of cement plant. Environmental Engineering and Management Journal, 7(1), 31 - 35.
Chipindu, B. (2009). The status of air pollution in Zimbabwe. Department of Physics. University of Zimbabwe. Unpublished M.Sc Theses. pp. 1-5. Retrieved from:http://www.seiinternational . org/mediamanager/documents/Projects/Atmospheric/RapidC/AirPolZim. [Accessed 22/01/2017].
Chukwu, M., & Ubosi, N. (2016). Impact of cement dust pollution on respiratory systems of Lafarge cement workers, Ewekoro, Ogun State, Nigeria. Global Journal of Pure and Applied Sciences, 22(1), 1-5. Available at: https://doi.org/10.4314/gjpas.v22i1.1.
Ebiagwai, J. K. (2016). Floral studies of BUA cement in Okpella (pp. 8-16). Technical Report 25. Prepared by Dr. EbiagwaiI J. K. (Phytodiversity Consultant), Department of Botany, University of Calabar and Submitted to Federal Ministry of Environment on behalf of PGM Nigeria Limited, December, 2016.
El Badri, O. A., & Saeed, A. M. (2008). Effect of exposure to cement dust on lung function of workers at Atbara cement factory. Khartoum Medical Journal, 1(2), 81–84.
Gbadebo, A., & Bankole, O. (2007). Analysis of potentially toxic metals in airborne cement dust around Sagamu, Southwestern Nigeria. Journal of Applied Sciences, 7(1), 35-40. Available at: https://doi.org/10.3923/jas.2007.35.40.
Kakooei, H., Gholami, A., Ghasemkhani, M., Hosseini, M., Panahi, D., & Pouryaghoub, G. (2012). Dust exposure and respiratory health effects in cement production. Acta Medica Iranica, 50(2), 122-126.
Kumar, S. S., Singh, N. A., Kumar, V., Sunisha, B., Preeti, S., Deepali, S., & Nath, S. R. (2008). Impact of dust emission on plant vegetation in the vicinity of cement plant. Environmental Engineering and Management Journal, 7(1), 31-35. Available at: https://doi.org/10.30638/eemj.2008.006.
Meo, S. A. (2004). Health hazards of cement dust. Saudi Med J, 25(9), 1153-1159.
Mirzaee, R., Kebriaei, A., Hashemi, S., Sadeghi, M., & Shahrakipour, M. (2008). Effects of exposure to Portland cement dust on lung function in Portland cement factory workers in Khash, Iran. Journal of Environmental Health Science & Engineering, 5(3), 201-206.
Mwaiselage, J., Bråtveit, M., Moen, B., & Mashalla, Y. (2004). Cement dust exposure and ventilatory function impairment: An exposure–response study. Journal of Occupational and Environmental Medicine, 46(7), 658-667. Available at: https://doi.org/10.1097/01.jom.0000131787.02250.79.
Neghab, M., & Choobineh, A. (2007). Work-related respiratory symptoms and ventilatory disorders among employees of a cement industry in Shiraz, Iran. Journal of Occupational Health, 49(4), 273-278. Available at: https://doi.org/10.1539/joh.49.273.
Neghab., M., Abdullah, A. O., Kumar, B. R., & Sadeghi, H. N. (2010). Occupational health diseases among cement factory employees in Shiraz, Iran. Journal of Environment and Health, 12(5), 67-79.
Nkhama, E. (2017). Relationship between cement dust exposure and adverse respiratory health in a settlement residing near a cement factory in Chilanga, Zambia. PhD Thesis in Public Health, School of Health Systems and Public Health, Faculty of Health Sciences, University of Pretoria.
Ogunbileje, J., Akinosun, O., Arinola, O., & Akinduti, P. (2010). Immunoglobulin classes (IgG, IgA, IgM and IgE) and liver function tests in Nigerian cement factory workers. Researcher, 2(4), 55-61.
Rampuri, S. (2017). Study and analysis of occupational & health diseases in cement industries. International Journal for Advance Research and Development, 2(3), 1-7.
Shiravan, S. (2014). Measures to contain pollution caused due to cement productions: A review. Int. Eme. Technol. Adv. Ang, 4(11), 135-140.
Sultan, A. M., Al-Drees, A. M., Al Masri, A. A., Al Rouq, F., & Azeem, M. A. (2013). Effect of duration of exposure to cement dust on respiratory function of non-smoking cement mill workers. International Journal of Environmental Research and Public Health, 10(1), 390-398. Available at: https://doi.org/10.3390/ijerph10010390.
Zeleke, Z. K., Moen, B. E., & Bråtveit, M. (2010). Cement dust exposure and acute lung function: A cross shift study. BMC Pulmonary Medicine, 10(1), 19. Available at: https://doi.org/10.1186/1471-2466-10-19.
Views and opinions expressed in this article are the views and opinions of the author(s), Journal of Atmosphere shall not be responsible or answerable for any loss, damage or liability etc. caused in relation to/arising out of the use of the content. |