Nutritional supplementation is a common practice athletes engage in to enhance performance. Innovation in nutritional supplements are common but rarely tested in a clinical setting. The purpose of this research was to determine the influence of a novel enzyme hydrolyzed collagen based multiple ingredient supplement has on muscular performance. Eight healthy recreationally trained participates completed three data collection sessions (baseline, 10-days and 21-days). Each session consisted of the following assessments: body composition upper and lower body power, upper and lower body strength, upper body endurance and midline endurance. Measures from each session were compared to determine if a significant change in performance was observed. After comparing the first data collection session to the last collection session there were statistically significant changes in several performance measures. Lower body power (p=0.007), upper body power (p=0.015), lower body strength (p=0.004), upper body endurance (p=0.043). Additional significant differences in muscle performance were observed between the first and second assessments as well as between the second and third assessments. Based upon the results of this research the use of an enzyme hydrolyzed collagen based multiple ingredient supplement can positively influence muscular performance.
Keywords: Muscle, Performance, Nutrition, Collagen, Power, Endurance.
Received: 25 November 2021/ Revised: 28 December 2021 / Accepted: 9 January 2022/ Published: 18 January 2022
This study contributes to the existing literature through the analysis of the influence a uniguely derived nutrition supplememnt has on muscular power, strength and endurance.
Dietary supplements are used by athletes at all levels of sport, reflecting the prevalence of their use in the wider society (Maughan et al., 2018). About half of the adult United States population uses some form of dietary supplements, Maughan et al. (2018) and although there are regional, cultural and economic differences, a similar prevalence is likely in many other countries (Maughan et al., 2018). In the general population, consumption of nutritional supplements is often driven by a belief that they confer health benefits and beyond, those that can be achieved by eating normal foods (Bailey et al., 2011; Garthe & Maughan, 2018). Dietary supplement use was reported by almost half (49%) of the U.S. population aged 1 y and older. In general, dietary supplement use in all categories increases with age. Many report taking only 1 dietary supplement. Most users (79%) report taking dietary supplements every day within the last 30 d, 12% reported use between 20 and 29 d, 9% between 10–19 d, and 9% reported use <10 d (Maughan et al., 2018). Dietary supplements can play a small role in an athlete’s sports nutrition plan, with products often including essential micronutrients, sports foods, performance supplements and health supplements all potentially providing benefits (Maughan et al., 2018). A relatively large body of research has been dedicated to investigating methods of potentiating exercise performance and training-induced adaptations. A widely-exploited strategy is the use of dietary supplements containing bioactive compounds or nutrients designed specifically to promote an ergogenic response or support metabolic demands during exercise (Directo et al., 2019; Reinert, Rohrmann, Becker, & Linseisen, 2007). Concurrent supplementation of dietary performance supplements during resistance training (RT) has gained widespread popularity among competitive and recreational athletes alike due to their purported function of improving exercise quality and augmenting the rate of training adaptations (Kreider et al., 2010; Massad, Shier, Koceja, & Ellis, 1995; Young & Stephens, 2009). An increasingly popular method of supplementation involves consumption of a single mixture of various substances, commonly referred to as a multi-ingredient performance supplement (MIPS) (Erdman, Fung, Doyle-Baker, Verhoef, & Reimer, 2007; Ormsbee et al., 2012; Spillane, Schwarz, & Willoughby, 2014; Willems, Sallis, & Haskell, 2012). MIPS generally vary widely in ingredient composition (Erdman et al., 2007; Ormsbee et al., 2012; Spillane et al., 2014; Willems et al., 2012). The variability of a supplement can influence a supplement’s efficacy which depends on the degree of bioavailability of ingredients. Bioavailability may be considered the relative absorption of a nutrient from the diet (Outlaw et al., 2014). Nutrients ingested but not released during the digestive process for absorption are of no nutritional value. Enzyme hydrolyzed collagen also possesses different functional properties than natural collagen. According to a study investigating the sources and applications of hydrolyzed collagen, there is an increase in anti-microbial activity, antioxidant capacity, and bioavailability (Sauberlich, 1985). The absorbance of enzyme hydrolyzed collagen was further examined in a study on the effects of enzymatic hydrolysis of collagen on postprandial absorbance and bioavailability. The absorption rate and bioavailability of glycine, proline, and hydroxyproline were significantly higher in those subjects who ingested the enzymatically hydrolyzed protein, suggesting that enzymatic hydrolysis increases the absorption rate and bioavailability of collagen-rich amino acids (León-López et al., 2019) Therefore, the purpose of this research was to determine the influence of an enzyme hydrolyzed collagen based multiple ingredient supplement has on muscular performance.
2.1. Experimental Design
The experiment was a repeated measures within group design. The experimental procedures were approved by the Institutional Review Board at the University of South Carolina. All participants offered written informed consent prior to beginning any experimental procedures.
2.2. Participants
Participants were 8 healthy recreationally trained individuals (1 female; 7 male, Age 27.25 ±9.63 yrs., Height 67.81 ±3.13cm, Weight 75.98 ±21.06kg, Body fat %: 19.74 ±8.27). The present study was reviewed and approved by the Institutional Review Board at the University of South Carolina. All participants offered written informed consent prior to being enrolled in the study.
2.3. Performance Assessments
Participants reported to the Fitness Performance Laboratory at the University of South Carolina Aiken having fasted for at least four hours prior to having their body weight, height and body composition measured. Body composition was determined via a Bod Pod Gold Standard system. After the body composition measurement, various components of muscular performance were assessed. Components included upper body strength, lower body power, upper body power, lower body strength, upper body endurance and midline endurance. Once the initial measures were taken participants then scheduled visits for 10- and 21-days post. Following the baseline assessment, participants were given information about the supplementation scheme. After the participant’s body composition was assessed upper body strength was then measured by way of a 1-repitition maximal (1RM) load for a barbell bench. Per the inclusion criteria, the participant was familiar with the barbell bench press and had performed the movement regularly (between 1 and 3 times per week) for the past three months. The establishment of this 1RM followed the guidelines established by the National Strength and Conditioning Association. All assessments completed during this study were closely monitored by the research team. All participants were required to complete the weightlifting portions on a bench press, with safety spotters positioned appropriately ready to assist the participant if the need occurred. Lower body power was then assessed with a Watt Bike 6-second max power effort. This stationary cycle-ergometer has an adjustable fan and a magnet to provide resistance. The ergometer provides detailed instructions for resistance settings based on the participant’s body weight. The participant then completed three 6-second maximal output trials with 2-minute bouts of recovery between trials. Upper body power was completed using a medicine ball put (MBP) test. A 45° incline bench was used for the MBP to facilitate an optimal trajectory of 45°.Female and male participants were provided 6 and 9 kg medicine balls, respectively. All participants were allowed a practice throw and 3 test throws and were allowed with 2-minute recovery periods between trials. A measuring tape was placed on the floor with the near end positioned under the frame of the bench to anchor it. The tip of the tape was oriented so that it would coincide approximately with the posterior portion of the medicine ball as it rested on each participant's chest in the ready position. Participants were instructed to keep their backs against the bench when thrusting the medicine ball as far as possible. Researchers determined the landing point of the medicine, returned the ball to the participant for subsequent attempts. Lower body strength was measured with a standing broad jump (SBJ) assessment. The participant was asked to place their toes on a taped line with a measuring tape extended along the side. The participant was then instructed to make a maximal distance broad jump effort. Where the participant’s heels land was marked, and used to measure the distance traveled. Each participant completed three standing broad jump attempts. A modified version of the NSCA's push-up protocol for assessing upper body muscular endurance was administered to each participant. The modification use in this research was the use of hand-release push-ups. The participant was instructed to raise their hands off the floor after completing the eccentric phase of the push-up. This modification was an effort to increase the standardization of this task-oriented assessment. A minimum distance of the hand-release will be 10cm. The participants complete as many push-ups as they can until they reach exhaustion. The final assessment was midline muscular endurance. The participants were asked to hold a plank position with forearms resting on the ground for as long as possible. If the participant manipulated their body in manner inconsistent with a plank position the assessment was concluded. This was a timed test involving a static, isometric contraction of the trunk/ midline muscles.
2.4. Supplementation Phase
After the baseline assessments, the participants were offered a 21-day supply of the supplement (Frog Fuel Power Protein Liquid Shot, OP2Labs, LLC). The supplement consisted of numerous amino acids, enzyme hydrolyzed collagen protein (GMO free), taurine, tryptophan, histidine, methionine, glutamine, cysteine, water, citric acid, sodium benzoate, potassium sorbate, natural flavors, and sucralose. Participants were instructed to follow the manufactures recommended guidelines of consuming one-shot packet of the supplement either during or after a workout.
2.5. Statistical Analysis
Consistent with previously published literature and after conducting a power analysis within-groups design was adopted. Repeated measure ANOVAs were used to determine if a significant difference in performance outcomes occurred. All analyses were conducted using SPSS statistical software. Statistical significance was established α-priori at p<0.05.
3.1. Performance Measures
Analysis was conducted to determine if a statistically significant difference between the assessment bouts could be observed. Mean scores on all measures from bout 1 were compared to bout 2, bout 1 compared to bout 3 and bout 2 compared to bout 3. No significant differences in body weight or body composition were observed during this study Table 1.
Table 1. Descriptive statistics of the participants: Age, height, weight body composition.
| Descriptive Statistics | ||||
Minimum |
Maximum |
Mean |
Std. Deviation |
|
Age |
18 |
47 |
27.25 |
9.69 |
Height(cm) |
157.48 |
180.34 |
67.81 |
3.13 |
Weight1(kg) |
50.33 |
112.5 |
75.37 |
20.86 |
Weight2(kg) |
50.76 |
112.01 |
76.1 |
20.89 |
Weight3(kg) |
50.52 |
112.03 |
76.49 |
21.44 |
Bodycomp1* |
11.8 |
35.5 |
19.93 |
7.82 |
Bodycomp2* |
8.3 |
35 |
19.46 |
8.22 |
Bodycomp3* |
7.8 |
37.2 |
19.82 |
8.76 |
Note: *% body fat.
Using a repeated measures analysis, upper body strength performance prior to engaging in nutritional supplementation with an enzyme hydrolyzed multiple ingredient product was compared to upper body strength performance after 10 and 21 days of supplementation. Upper body strength performance was not significantly higher after the two supplementation periods (baseline M=102.91), 10-day (M=104.89) and 21-day (M=107.16) as indicated by non-significant analysis (p<0.05). These findings did indicate a positive trend in upper body strength performance with mean values increasing from baseline to 10-day and 10-day to 21-day assessments Figure 1.
Figure 1. Mean values of upper body strength assessments.
3.2. Lower Body Power
Using a repeated measures analysis, lower body power prior to engaging in nutritional supplementation with an enzyme hydrolyzed multiple ingredient product was compared to lower body power after 10- and 21-days of supplementation. Lower body power was significantly higher after the two supplementation periods at varying trials. Trial bike1a compared to trial bike3c the mean difference between trials was -157.375, which displayed a significant difference (p=0.007). Trial bike1a compared to trial bike3a had differing mean scores of -84.62, which was significant (p=0.035), trial bike1c to trial bike3c had a mean difference of -150.62, which was significant (p=0.008). Figure 2 shows the mean scores of each trial for the lower body power assessment portion of this research project.
Figure 2. Lower body power mean values per session and per trial.
3.3. Upper Body Power
Using a repeated measures analysis, upper body power prior to engaging in nutritional supplementation with an enzyme hydrolysed multiple ingredient product was compared to lower body power after 10 and 21 days of supplementation. Comparing mean scores from trial medball1a to medball3c a significant difference was observed (-26.125, p=0.015). A significant difference in upper body power was also observed between trials medball1c and medball3c (-15.50, p=0.026). Figure 3 shows the mean score values of each trial assessing upper body power.
Figure 3. Upper body power mean values per session and per trial.
3.4. Lower Body Strength
Using a repeated measures analysis, lower body strength prior to engaging in nutritional supplementation with an enzyme hydrolysed multiple ingredient product was compared to lower body power after 10 and 21 days of supplementation. Comparing mean scores from trials jump1a to jump3c a significant difference was observed (-5.313, p=0.004). Figure 4 shows the mean score values for each trial assessing lower body strength.
Figure 4. Lower body strength values per session and per trial.
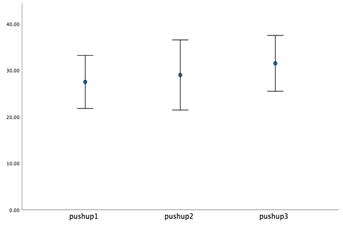
3.5. Upper Body Endurance
Using a repeated measures analysis, upper body muscular endurance prior to engaging in nutritional supplementation with an enzyme hydrolysed multiple ingredient product was compared to lower body power after 10 and 21 days of supplementation. A significant difference in scores between trial pushup1 and trial pushup3 was observed (-4.00, p=0.043). No other significant differences in mean scores were observed. Figure 5 shows the mean score values of each trial assessing upper body muscular endurance.
Figure 5. Upper body muscular endurance values per session.
3.6. Midline Endurance
Using a repeated measures analysis, midline muscular endurance prior to engaging in nutritional supplementation with an enzyme hydrolysed multiple ingredient product was compared to lower body power after 10 and 21 days of supplementation. A significant difference between mean scores comparing plank2 and plank3 was observed (-38.00, p=0.043). No other significant differences were observed between trials assessing midline muscular endurance. Figure 6 shows the mean score values of each trial assessing midline muscular endurance.
Figure 6. Midline muscular endurance values per session.
Table 2. Shows the results of a repeated measures analysis that indicated significant differences between several performance measures from session 1 to session 3, session 1 to session 2 and session 2 to session 3.
Mean Diff. |
S.D. |
Sig. |
|
| bench1 – bench3 | -9.37 |
14.25 |
0.105 |
| bench2 – bench3 | -5 |
3.77 |
0.007* |
| bike1a – bike3c | -157.37 |
119.37 |
0.007* |
| bike1a – bike3a | -84.62 |
91.99 |
0.035* |
| bike1c – bike2c | -80.75 |
89.19 |
0.038* |
| bike1c – bike3c | -150.62 |
115.05 |
0.008* |
| jump1a – jump3c | -5.31 |
3.58 |
0.004* |
| medball1a – medball3c | -26.12 |
23.1 |
0.015* |
| medball1c – medball3c | -15.5 |
15.58 |
0.026* |
| medball2c – medball3c | -11.25 |
14.83 |
0.008* |
| plank1 – plank3 | -32.5 |
40.87 |
0.059 |
| plank2 – plank3 | -38 |
37.63 |
0.024* |
| pushup1 – pushup3 | -4 |
4.59 |
0.043* |
Note: * Statistical Significance.
Table 2 Repeated measures analysis results comparing session 1 to session 3, session 1 to session 2 and session 2 to session 3.
The results of this research study demonstrate the effectiveness of the tested supplement to significantly enhance muscular performance through either strength or endurance measures. This research examined the influence of an enzyme hydrolyzed collagen based multiple ingredient supplement of muscular performance. The results of this research indicate significant differences between several variables from initial collection to collection after 10 days of supplementation, collection after 10 days of supplementation to collection after 21 days of supplementation and initial collection to collection after 21 days of supplementation.
Any nutritional substance ingested is only effective if it can be absorbed by the individual, thus creating an opportunity for the substance to be utilized. The supplement used in this research was an enzyme hydrolysed collagen-based supplement that also contained several amino acids. As mentioned earlier, research does indicate that the absorption rate in those subjects who ingest enzymatically hydrolyzed protein increase the absorption rate and bioavailability of collagen-rich amino acids (León-López et al., 2019). An independent laboratory study was conducted comparing the digestion profiles of the supplement used in this research (FrogFuel) to that of other whey protein products. The results of this research indicated that when compared to competitor whey products, FrogFuel evidenced only smaller sizes and densities of protein bands from time 0. Complete degradation of FrogFuel product was observed at 15 minutes, whereas other whey products still had more than 70% of proteins detected at that time. The researcher’s interpretation was that FrogFuel’s pre-digestion with fruit enzymes results in degradation faster than our assay can resolve and much faster than competing products under the simulated gastric conditions used (Skov, Oxfeldt, Thøgersen, Hansen, & Bertram, 2019). Based on this information and the results of the present research this absorption is a fact that translates to enhanced muscular performance in recreationally trained individuals.
Collagen has also been seen to have several relationships with recovery from exercise. Collagen peptide consumption, markers of muscle damage, inflammation, and bone turnover were examined by Clifford et al. (2019). The authors concluded that with nine days of collagen peptide supplementation it is possible for accelerating muscle function recovery as seen in quicker recovery of countermovement jump performance, and reducing muscle soreness following exercise. A similar result was found in a study on whether consuming hydrolyzed collagen could have beneficial effects in recovery from high-force eccentric exercise. Overall, at 24 hours following the exercise, the hydrolyzed collagen supplement reduced the performance decline usually seen with muscle damage, suggesting that consumption either enhanced tissue recovery rate or reduced the damage caused by the drop jump exercise (Clifford et al., 2019). Collagen also poses recovery benefits in improving joint pain and healing wounds as indicated by the research conducted by Clark et al. (2008). In a 24-week study examining the effect of collagen hydrolysate supplementation on athletes with activity-related joint pain, improvement in joint pain was observed. These results indicate collagen hydrolysate can improve joint health and reduce risk of joint deterioration, thus enhancing recovery (Prowting, 2019).
Collagen supplementation has been supported to have a notable relationship with muscle performance. In a study conducted by Kirmse, Oertzen-Hagemann, de Marées, Bloch, and Platen (2019) long-term collagen supplementation and resistance training was examined for effects on strength, body composition, and muscle fiber cross-sectional area (Clark et al., 2008). The collagen supplementation group showed an increase in fat-free mass compared to the placebo, while the placebo group also showed a significant increase in body fat mass with the collagen supplement group remaining unchanged. The collagen supplement group was observed to also have slightly higher increases in strength tests (Clark et al., 2008). Although the results of the current study do not reciprocate the observed decline in fat-free mass the results did indicate an increase in muscular strength and power. In a similar study, twenty-five recreationally active men underwent twelve weeks of full-body hypertrophy workouts three times a week. The study protocol assessed strength measurements, body composition, and vastus lateralis biopsies before and after exercise to examine the effects of collagen supplementation and resistance training on protein composition. The collagen peptide group also showed 221 proteins of higher abundance compared to 44 higher abundance proteins found in the placebo group; concluding that collagen peptide supplementation results in more proteins upregulated, with most associated with contractile fibers (Kirmse et al., 2019). This would create the potential for a greater number of contractile fibers to be recruited and used translating to muscular performance.
The present study provided initial evidence for the effectiveness of the tested supplement on muscular performance but has several notable limitations. The study was conducted with a convenience sample consisting of primarily male, recreationally trained participants. This may hamper the generalizability of the data for other populations such as females and those trained or training in specific modalities. Further research is needed to better understand the effectiveness of the tested supplement for additional populations and exercise modalities.
Funding: This study received no specific financial support. |
Competing Interests: The authors declare that they have no competing interests. |
Authors’ Contributions: All authors contributed equally to the conception and design of the study. |
Bailey, R. L., Gahche, J. J., Lentino, C. V., Dwyer, J. T., Engel, J. S., Thomas, P. R., . . . Picciano, M. F. (2011). Dietary supplement use in the United States, 2003–2006. The Journal of Nutrition, 141(2), 261-266.
Clark, K. L., Sebastianelli, W., Flechsenhar, K. R., Aukermann, D. F., Meza, F., Millard, R. L., . . . Albert, A. (2008). 24-Week study on the use of collagen hydrolysate as a dietary supplement in athletes with activity-related joint pain. Curr Med Res Opin, 24(5), 1485–1496. Available at: hhttps://doi.org/10.1185/030079908x291967.
Clifford, T., Ventress, M., Allerton, D. M., Stansfield, S., Tang, J. C. Y., Fraser, W. D., . . . Stevenson, E. (2019). The effects of collagen peptides on muscle damage, inflammation and bone turnover following exercise: A randomized, controlled trial. Amino Acids, 51, 691-704. Available at: https://dx.doi.org/10.1007/s00726-019-02706-5.
Directo, D., Wong, M. W., Elam, M. L., Falcone, P., Osmond, A., & Jo, E. (2019). The effects of a multi-ingredient performance supplement combined with resistance training on exercise volume, muscular strength, and body composition. Sports, 7(6), 152. Available at: https://doi.org/10.3390/sports7060152.
Erdman, K. A., Fung, T. S., Doyle-Baker, P. K., Verhoef, M. J., & Reimer, R. A. (2007). Dietary supplementation of high-performance Canadian athletes by age and gender. Clinical Journal of Sport Medicine, 17(6), 458-464. Available at: https://doi.org/10.1097/jsm.0b013e31815aed33.
Garthe, I., & Maughan, R. J. (2018). Athletes and supplements: Prevalence and perspectives. International Journal of Sport Nutrition and Exercise Metabolism, 28(2), 126-138.
Kirmse, M., Oertzen-Hagemann, V., de Marées, M., Bloch, W., & Platen, P. (2019). Prolonged collagen peptide supplementation and resistance exercise training affects body composition in recreationally active men. Nutrients, 11(5), 1-16. Available at: https://doi.org/10.3390/nu11051154.
Kreider, R. B., Wilborn, C. D., Taylor, L., Campbell, B., Almada, A. L., Collins, R., . . . Kalman, D. S. (2010). ISSN exercise & sport nutrition review: Research & recommendations. Journal of the International Society of Sports Nutrition, 7(1), 1-43.
León-López, A., Morales-Peñaloza, A., Martínez-Juárez, V. M., Vargas-Torres, A., Zeugolis, D. I., & Aguirre-Álvarez, G. (2019). Hydrolyzed collagen—sources and applications. Molecules, 24(22), 1-16. Available at: https://doi.org/10.3390/molecules24224031.
Massad, S. J., Shier, N. W., Koceja, D. M., & Ellis, N. T. (1995). High school athletes and nutritional supplements: A study of knowledge and use. International Journal of Sport Nutrition and Exercise Metabolism, 5(3), 232-245.
Maughan, R. J., Burke, L. M., Dvorak, J., Larson-Meyer, D. E., Peeling, P., Phillips, S. M., . . . Geyer, H. (2018). IOC consensus statement: Dietary supplements and the high-performance athlete. International Journal of Sport Nutrition and Exercise Metabolism, 28(2), 104-125.
Ormsbee, M. J., Mandler, W. K., Thomas, D. D., Ward, E. G., Kinsey, A. W., Simonavice, E., . . . Kim, J.-S. (2012). The effects of six weeks of supplementation with multi-ingredient performance supplements and resistance training on anabolic hormones, body composition, strength, and power in resistance-trained men. Journal of the International Society of Sports Nutrition, 9(1), 1-12. Available at: https://doi.org/10.1186/1550-2783-9-49.
Outlaw, J. J., Wilborn, C. D., Smith-Ryan, A. E., Hayward, S. E., Urbina, S. L., Taylor, L. W., & Foster, C. A. (2014). Acute effects of a commercially-available pre-workout supplement on markers of training: A double-blind study. Journal of the International Society of Sports Nutrition, 11(1), 1-9. Available at: https://doi.org/10.1186/s12970-014-0040-0.
Prowting, J. (2019). The effects of hydrolyzed collagen on performance, soreness and collagen biomarkers following exercise in resistance trained males. The University of Oklahoma- Theses.
Reinert, A., Rohrmann, S., Becker, N., & Linseisen, J. (2007). Lifestyle and diet in people using dietary supplements. European Journal of Nutrition, 46(3), 165-173. Available at: https://doi.org/10.1007/s00394-007-0650-2.
Sauberlich, H., E. (1985). Bioavailability of vitamins. Progress in Food & Nutrition Science, 9(1-2), 1-33.
Skov, K., Oxfeldt, M., Thøgersen, R., Hansen, M., & Bertram, H. C. (2019). Enzymatic hydrolysis of a collagen hydrolysate enhances postprandial absorption rate—A randomized controlled trial. Nutrients, 11(5), 1-13. Available at: https://doi.org/10.3390/nu11051064.
Spillane, M., Schwarz, N., & Willoughby, D. S. (2014). Heavy resistance training and peri-exercise ingestion of a multi-ingredient ergogenic nutritional supplement in males: Effects on body composition, muscle performance and markers of muscle protein synthesis. Journal of Sports Science & Medicine, 13(4), 894-903.
Willems, M. E., Sallis, C. W., & Haskell, J. A. (2012). Effects of multi-ingredient supplementation on resistance training in young males. Journal of Human Kinetics, 33, 91-101.
Young, C. R., & Stephens, M. B. (2009). Sports and nutritional supplement use in USMC recruits: A pilot study. Military Medicine, 174(2), 158-161. Available at: https://doi.org/10.7205/milmed-d-00-4708.
Views and opinions expressed in this article are the views and opinions of the author(s), Journal of Sports Research shall not be responsible or answerable for any loss, damage or liability etc. caused in relation to/arising out of the use of the content. |