Index

Abstract

This study aims at the assessment of the effects of environmental factors on vegetation cover at the flaring sites in Rivers State, Nigeria. Twenty one Landsat 7 Enhanced Thematic Mapper Plus (ETM) data, and four Landsat 8 Operational Land Imager and Thermal Infrared Sensor (OLI-TIRS) data dated from 21/04/2000 to 05/02/2022 with  3  cloud cover were employed to study eleven gas flaring sites. Matrix Laboratory MATLAB code was developed for data processing and analysis. Normalized Differential Vegetation Index (NDVI) was computed from the atmospherically corrected multispectral bands (1-4) for Landsat 7, and bands (2-5) for Landsat 8. Change in NDVI was computed as NDVI450-60)m in the N, E, S and W directions which is the difference between NDVI at 450 m and 60 m distance from the flare stack. The available environmental factors (Facility size, flare stack height and time i.e. year, month and day) were applied to the (NDVI450-60m) in the 4 cardinal directions. Pairwise linear and multiple regression statistical analyses were adopted to investigate the relationships between each of the (NDVI450-60)mN, (NDVI450-60)mE, (NDVI450-60)mS and (NDVI450-60)mW and facility size, stack height and time. The results show that only 12  of the variance in (NDVI450-60)mN is explained by the available data. Therefore, it can be concluded that the combination of the facility size, flare stack height and time accounted for only 12  of the results. Further researches using the rate and volume of flared gas data, and the vegetation species is required to achieve better results. 

Keywords: Environmental factors, Landsat 7, Landsat 8, Niger Delta, Remote sensing, Vegetation cover.

Received: 28 March 2023 / Revised: 22 May 2023/ Accepted: 1 June 2023/ Published: 5 June 2023

Contribution/ Originality

No previous gas flare analysis has assessed the effects of the facility size, flare stack height, and time on the vegetation cover at the flaring sites in the Niger Delta using remotely sensed data.

1. INTRODUCTION

The flaring activity is an indivisible part of the oil, gas, and petrochemical industries to provide safe and dependable operating conditions. Flaring gas at oil production facilities is grouped into three categories: (i) Routine flaring; (ii) Safety flaring; and (iii) Non-routine flaring [1].The environmental harm generated by the oil production activities in Nigeria is enormous and continuous [2, 3]. For example, the recent oil spillage that occurred in Rivers State was reported by one of the Nigerian Media Company named ARISE (Arise News) on 12th July, 2022 [4]. On 30th September, 2022 the same Arise News reported the ongoing flaring activities in the Niger Delta. ARISE Media reported again on the necessity to curb flaring activities in Nigeria. They reported that from January to June 2022, 62.2 Billion Standard Cubic Foot (SCF) of gas was flared off-shore and 63.9 Billion (SCF) for the on-shore, resulting in the revenue loss of about $441.2 Million apart from terrestrial, marine and airborne environments contamination [5]. On 8th October, 2022, the harmful impact of crude oil activities in the Escravos environment of Delta State was reported by ARISE Media [6] showing the extent of degradation that has occurred.

Vegetation covers that are predominantly found near flaring locations in the Niger Delta are cassava and oil palm [7]. Flaring affects vegetation and its growth; agricultural activities and productivity of several plant species in the Niger Delta [8-14] . For example, Lawanson, et al. [15] reported that flaring is responsible for decrease in cassava’s length and weight; and increase in its amino acid and sugar contents. Efe [16] also stated that gas flaring is the reason for the destruction of root, shoot of plants, and microbial community in the Niger Delta.

Furthermore, the physical disturbance experienced by vegetation cover around the flare stack is caused by flaring. Flares light up the surroundings continuously and stop photosynthesis processes [17] resulting to coloured leaves of vegetations and plants from green into brownish red [18]. Gas flares bring about changes in the biochemical components of the plants within the area. For instance, Ifemeje [19] found out that there was disparity in the contents of alkaloid, phytate, oxalate, saponin, tannin and cyanogenic glycosides in some vegetables at flaring area when compared to the controls. Akeem and Anifowose [20] reported the fast decrease in natural vegetation health around flaring sites in the Niger Delta. They explained that the vegetation cover within the flaring sites has reduced from 63.0 to 26.4; and changes from 53.9  to 18.1  were recorded for the area occupied by the unhealthy vegetation.

Advent of technology has transformed the mapping of flares and its emissions; therefore, remote sensing methods and technologies have been widely acknowledged as vital tools for the study of flares and its effects in the environment [2, 3]. Previous studies on flaring and its activities have been centred on detection [8, 21] monitoring [22] volume estimation [23] environmental effects [8, 9, 13] . But, there is no flare analysis that assessed the effects of the environmental factors such as facility size, flare stack height, and time on the vegetation cover at the flaring sites in the Niger Delta using remotely sensed data. No paper has been published on the research. The questions for this study are: (1) Does environmental factors have effects on the vegetation cover at flaring sites in the Niger Delta? (2) Can EO data be employed for assessing the impact of environmental factors on the vegetation cover? Therefore, the aim of this research is to evaluate the effects of the environmental factors on the vegetation cover at flaring sites using Landsat 7 Enhanced Thematic Mapper Plus (ETM) and Landsat 8 Operational Land Imager and Thermal Infrared Sensor (OLI-TIRS) satellite based sensors. The objectives considered for this study are: (1) Identification of the available environmental factors impacting vegetation cover at flaring sites; (2) Computation of the Normalized Differential Vegetation Index (NDVI) from Landsat data; (3) Parameterization of change in (NDVI); (4) Assessment of the effects of the environmental factors on the vegetation cover with Landsat data. In summary, this study examined the appropriateness of Landsat 7 and Landsat 8 products for the assessment of the effects of the environmental factors on the vegetation cover at the flaring sites.

2. MATERIALS AND METHODS

2.1. Study Area

In this study eleven sites from Rivers State (Table 1) (Figure 1) have been used to showcase the accuracy of assessing the impacts of environmental factors on vegetation cover at flaring sites in the Niger Delta, Nigeria. The area of each site studied with Landsat scenes is 12  12 km to enable enough data for detailed mapping and to avoid processes that are not related to flaring activities.

2.2. Satellite Data and Processing Methods 

Twenty one (21) Landsat 7 data dated from 21st April 2000 to 08th March 2013, and four (4) Landsat 8 scenes dated from 27th December 2018 to 05th February 2022 with 3  cloud cover were used for this research. They were downloaded from the United States Geological Survey (USGS) website [24]. MATLAB programming codes were used for every stage of data processing (Figure 2).

Table 1. Name, size of the facility and flare stack height with their site coordinates.
S/N
Name of the facility
Facility size
Flare stack height (m)
Site coordinates
 
Latitude (θ)
Longitude (λ)
1.
Eleme refinery I petroleum company
1.6  1.1 km
50
04° 43' 44.4'' N
07° 07' 08.4'' E
2.
Eleme refinery II petroleum company
2.2  1.3 km
65
04° 45' 43.2'' N
07° 06' 39.6'' E
3.
Onne flow station
175  130 m
3.5
04° 42' 43.2'' N
07° 08' 27.6'' E
4.
Umurolu flow station
4.2  2.4 km
60
04° 49' 48.0'' N
07° 06' 32.4'' E
5.
Bonny liquefied natural gas (LNG) plant
4.2  2.8 km
25
04° 25' 30.0'' N
07° 09' 10.8'' E
6.
Alua flow station
170  90 m
20
04° 55' 58.8'' N
06° 58' 37.2'' E
7.
Rukpokwu flow station
350  350 m
25
04° 55' 48.0'' N
07° 00' 57.6'' E
8.
Obigbo flow station
650  650 m
22
04° 53' 31.2'' N
07° 07' 12.0'' E
9.
Chokocho flow station
350  120 m
21
05° 00' 28.8'' N
07° 01' 08.4'' E
10.
Umudioga flow station
100  100 m
22
05° 11' 34.8'' N
06° 45' 43.2'' E
11.
Sara oil well
350  250 m
22
04° 39' 25.2'' N
07° 03' 36.0'' E

Figure 1. A) Map of Nigeria [25]; B) map of rivers state [25]; C) the locations of 11 flaring sites examined in Rivers State, Nigeria.

Source:

Google Earth [25].

2.3. Computation of Change in NDVI as (NDVI450-60m)  

NDVI was retrieved from the atmospherically corrected Red (R) and Near Infra-Red (NIR) reflectance (Figure 2). The quantification of photosynthetic activity is carried out using Normalized Differential Vegetation Index (NDVI) algorithm. NDVI is vigorously corresponding to vegetation density and liveliness [2, 26]. NDVI is established on a high reflectance in the NIR by plant matter in contrast to the strong absorption by chlorophyll‐a in the Red wavelengths. For Landsat 7, band 3 is Red and band 4 is NIR. For Landsat 8, band 4 is Red and band 5 is NIR.

Where,

NIR  Near Infra  Red reflectance.
R  Red reflectance.

Change in NDVI (NDVI450-60)m The difference between values of NDVI at 450 m and 60 m distance from the flare. (NDVI450-60)m was computed for N, E, S and W directions, hence, (NDVI450-60)mN, (NDVI450-60)mE, (NDVI450-60)mS and (NDVI450-60)mW were obtained.

Figure 2. Flow chart for the methods adopted.

2.4. Environmental Factors Considered

The available environmental factors considered are facility size, flare stack height and time. Each of these three factors were correlated against each of (NDVI450-60)mN, E, S, and W using statistical analyses (Pairwise linear regression and multiple linear regression) in order to examine the relationship of these factors and their effects on the vegetation cover and its health.

2.5. Statistical Analysis

Both analysis of variance (ANOVA) (Determination of r-values, p-values and correlation type) and multiple linear regression analysis were employed to examine the relationships between each of the (NDVI450-60)N, (NDVI450-60)mE, (NDVI450-60)mS and (NDVI450-60)mW and each of the facility size, stack height and time.

3. RESULTS AND DISCUSSION

3.1. NDVI

In the N, E, S and W directions, the values of the computed (NDVI450-60)m for the year 2000, 2010 and 2022 are presented in Tables 2-4.

Table 2. Values of (NDVI450-60)m  from the stack (2000).
S/N
Facility
(NDVI450-60)m
(North)
(NDVI450-60)m
(East)
(NDVI450-60)m
(South)
(NDVI450-60)m
(West)
1.
Eleme I
0.39
0.37
0.35
0.45
2.
Eleme II
0.34
0.15
0.30
0.41
3.
Onne
0.53
0.50
0.37
0.59
4.
Umurolu
0.26
0.18
0.21
0.33
5.
Bonny
0.30
0.17
0.26
0.20
6.
Alua
0.58
0.38
0.48
0.48
7.
Rukpokwu
0.48
0.26
0.38
0.37
8.
Obigbo
0.34
0.29
0.24
0.31
9.
Chokocho
0.38
0.27
0.39
0.44
10.
Umudioga
0.50
0.35
0.51
0.53
11.
Sara
0.44
0.36
0.47
0.29

Table 3. Values of (NDVI450-60)m  from the stack (2010).
S/N
Facility
(NDVI450-60)m
(North)
(NDVI450-60)m
(East)
(NDVI450-60)m
(South)
(NDVI450-60)m
(West)
1.
Eleme I
0.43
0.36
0.29
0.48
2.
Eleme II
0.49
0.39
0.30
0.47
3.
Onne
0.54
0.49
0.41
0.49
4.
Umurolu
0.32
0.29
0.22
0.31
5.
Bonny
0.32
0.24
0.27
0.32
6.
Alua
0.67
0.58
0.56
0.54
7.
Rukpokwu
0.49
0.40
0.42
0.42
8.
Obigbo
0.45
0.38
0.55
0.37
9.
Chokocho
0.43
0.33
0.44
0.38
10.
Umudioga
0.57
0.50
0.53
0.52
11.
Sara
0.43
0.36
0.46
0.36

Table 4. Values of (NDVI450-60)m  from the stack (2022).
S/N
Facility
(NDVI450-60)m
(North)
(NDVI450-60)m
(East)
(NDVI450-60)m
(South)
(NDVI450-60)m
(West)
1.
Eleme I
0.58
0.59
0.45
0.48
2.
Eleme II
0.48
0.48
0.51
0.48
3.
Onne
0.59
0.56
0.60
0.54
4.
Umurolu
0.39
0.42
0.47
0.51
5.
Bonny
0.41
0.47
0.48
0.44
6.
Alua
0.57
0.51
0.52
0.51
7.
Rukpokwu
0.58
0.58
0.49
0.54
8.
Obigbo
0.46
0.49
0.40
0.45
9.
Chokocho
0.44
0.43
0.42
0.47
10.
Umudioga
0.55
0.49
0.56
0.56
11.
Sara
0.47
0.41
0.50
0.50

3.2. Linear Regression Analysis: (NDVI450-60) and Environmental Factors

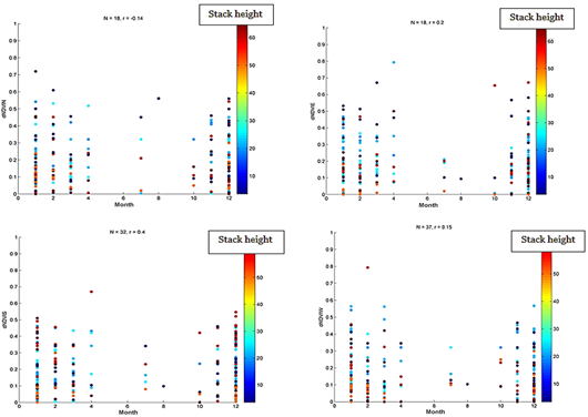
The relationships between each of the (NDVI450-60)mN, (NDVI450-60)mE, (NDVI450-60)mS and (NDVI450-60)mW and each of the facility size, stack height and time were first analyzed with pairwise linear regression analysis (Table 5). The relationships with significant results are in bold. Figure 3 show the plots of the relationships between facility size and the (NDVI450-60)mN, (NDVI450-60)mE, (NDVI450-60)mS and (NDVI450-60)mW. Figure 4 is for the relationships between the height of the flare stack and each of the (NDVI450-60)mN, (NDVI450-60)mE, (NDVI450-60)mS and (NDVI450-60)mW. Figure 5 show the plots for Julian Day and (NDVI450-60)mN, (NDVI450-60)mE, (NDVI450-60)mS and (NDVI450-60)mW. Figure 6 present the pots between month and each of the (NDVI450-60)mN, (NDVI450-60)mE, (NDVI450-60)mS and (NDVI450-60)mW.. Finally, Figure 7 shows the relationship between year and each of the (NDVI450-60)mN, (NDVI450-60)mE, (NDVI450-60)mS and (NDVI450-60)mW. The stack height of each facility is used as the scale bar for the plots.

Table 5. Correlation coefficient of relationships between each of the facility size, stack height and time and each of ( NDVI450-60)mN, E, S ,W with α = 0.01.

Relationship
(R-value)
p-value
Type of correlation
(NDVI450-60)mN against facility size
-0.14
0.01
(NDVI450-60)mE against facility size
-0.10
0.06
(NDVI450-60)mS against facility size
0.11
0.05
(NDVI450-60)mW against facility size
-0.16
0.00
NDVI450-60)mN against flare stack height
-0.34
6.90  10⁻8
(NDVI450-60)mE against flare stack height
-0.24
2.15  10⁻4
(NDVI450-60)mS against flare stack height
0.12
0.07
(NDVI450-60)mW against flare stack height
-0.26
4.10  10⁻5
 (NDVI450-60)mN against Julian day
0.02
0.75
(NDVI450-60)mE against Julian day
-0.02
0.72
(NDVI450-60)mS against Julian day
0.06
0.26
(NDVI450-60)mW against Julian day
0.05
0.31
(NDVI450-60)mN against month
0.02
0.66
(NDVI450-60)mE against month
-0.02
0.72
(NDVI450-60)mS against month
0.07
0.22
(NDVI450-60)mW against month
0.06
0.29
(NDVI450-60)mN against year
0.08
0.13
(NDVI450-60)mE against year
0.02
0.78
(NDVI450-60)mS against year
0.01
0.83
(NDVI450-60)mW against year
0.10
0.06

Figure 3. Upper left: Facility size against (NDVI450-60)mN; Lower left: Facility size against (NDVI450-60)mE; Upper right: Facility size against (NDVI450-60)mS; Lower right: Facility size against (NDVI450-60)mW.

The range in (NDVI450-60)m values was broad for all the eleven facilities, from 0.01 to  0.9. The statistically significant results are those with the computed p-values less than or equal to (α 0.01) while the insignificant results are the opposite. For the relationship between (NDVI450-60)m and the facility size, both (NDVI450-60)mN and (NDVI450-60)mW are significant with negative correlation but (NDVI450-60)mE, and (NDVI450-60)mS are not significant. For (NDVI450-60)m and the stack height relationships, there are significant results for the stack height and (NDVI450-60)mN, stack height and (NDVI450-60)mE, and stack height and(NDVI450-60)mW, but they all have negative correlations. However, only the relationship between (NDVI450-60)mS and the stack height presents a positive correlation, but an insignificant result. This suggests that S which is the direction of the prevailing wind in the Niger Delta has caused the wind to blow towards the N direction, leading to significant results obtained from the relationship between each of the (NDVI450-60)mN, (NDVI450-60)mE and (NDVI450-60)mW and the stack height.

Figure 4. Upper left: Flare stack height against (NDVI450-60)mN; Lower left: Flare stack height against ( NDVI450-60)mE; Upper right: Flare stack height against (NDVI450-60)mS; Lower right: Flare stack height against (NDVI450-60)mW.

From Table 5, the facility size versus (NDVI450-60)mN and (NDVI450-60)mW gives a small, but statistically significant result of the impact of the flare on NDVI. Similarly, a small, but significant result of the impact of the flare on NDVI is recorded from the relationship between stack height and each of the (NDVI450-60)mN, (NDVI450-60)mE and (NDVI450-60)mW. This also suggests that the S prevailing wind direction has greater significant impact on the NDVI in the N direction. From the S, the wind blew towards the N and pushed the flare towards N direction thereby causing a much greater effect on the vegetation within the surrounding.

Figure 5. Upper left: Julian Day againstNDVI450-60)mN; Lower left: Julian Day against( NDVI450-60)mE; Upper right: Julian Day against (NDVI450-60)mS ; Lower right: Julian Day against(NDVI450-60)mW.

All the relationships between each of (NDVI450-60)mN, (NDVI450-60)mE, (NDVI450-60)mS and (NDVI450-60)mW and Julian Day gives no significant results but with positive correlation except the relationship between(NDVI450-60)mE and Julian Day that gives negative correlation coefficient. This means that there is no linear relationship of the two variables (Julian Day and each of the (NDVI450-60)mN, (NDVI450-60)mE, (NDVI450-60)mS and (NDVI450-60)mW).

Figure 6. Upper left: Month against (NDVI450-60)mN; Lower left: Month against (NDVI450-60)mE; Upper right: Month against (NDVI450-60)mS; Lower right: Month against(NDVI450-60)mW.

None of the relationship between each of the (NDVI450-60)mN, (NDVI450-60)mE, (NDVI450-60)mS and (NDVI450-60)mW and month is statistically significant but with positive correlation except(NDVI450-60)mE that gives negative correlation (Table 5). This result also suggests that there is no linear interdependence of the two variables.

Figure 7. Upper left: Year against (NDVI450-60)mN; Lower left: Year against (NDVI450-60)mE; Upper right: Year against (NDVI450-60)mS; Lower right: Year against (NDVI450-60)mW.

All relationships between each of the NDVI450-60)mN, (NDVI450-60)mE, (NDVI450-60)mS and (NDVI450-60)mW and the year recorded insignificant results and positive correlation (0.011 to 0.100). Also, there is no linear relationship of the two variables.

3.3. Multiple Linear Regression Analysis

Multiple linear regression was applied to the relationships between each of the (NDVI450-60)mN, (NDVI450-60)mE, (NDVI450-60)mS and (NDVI450-60)mW and the facility size, stack height, and time). Table 6 shows the results (r2 and p-values).

Table 6. Multiple linear regression of (NDVI450-60)m against each of the facility size, stack height and time.

Response variables
r2
p-value
(NDVI450-60)mN
0.12
0.00
(NDVI450-60)mE
0.07
0.00
(NDVI450-60)mS
0.03
0.08
(NDVI450-60)mW
0.03
0.06

There are significant results with (NDVI450-60)mN and (NDVI450-60)mE when the predictive variables were applied with (NDVI450-60)mN, (NDVI450-60)mE, (NDVI450-60)mS and (NDVI450-60)mW with  0.01.The results also present the impacts of the South prevailing wind direction in the Niger Delta [8, 9, 13] . However, the available data could only explained 12  of the variance in (NDVI450-60)mN suggesting that other factors such as rate and volume of the burning gas and vegetation speciation etc. play a more important role.

4. CONCLUSION

The developed methods have shown that the effects of facility size, stack height and time on the vegetation cover at the flaring sites in the Niger Delta can be assessed. Detailed conclusions are as follows:

Landsat 7 and Landsat 8 are valuable dataset for the assessment of the impacts of facility size, stack height and time on the vegetation cover at the flaring sites due to its high spatial resolution. However, it is possible to improve on this research by employing higher spatial resolution commercial datasets such as IKONO (a variant of the Greek word ‘eikon’ (icon), which means image and Worldview.

The results show that only 12  of the variance in (NDVI450-60)mN is explained by the facility size, stack height and time. Therefore, it can be concluded that the combination of the facility size, flare stack height and time could only accounted for 12  of the results.

Lack of data on the rate and volume of gas flared and the identification of the vegetation species are some of the limitations to this research. Therefore, further researches should be carried out using these in-situ dataset in order to improve on the results of this study. Furthermore, these recommendations are made: (1) Nigerian Government should ensure that the problem of insecurity is adequately tackled; (2) Nigerian Government should enforce all existing laws on oil and gas exploration, exploitation and refining processes.

Funding: This study received no specific financial support.  

Competing Interests: The author declares that there are no conflicts of interests regarding the publication of this paper.

REFERENCES

[1]          World Bank, Global gas flaring reduction partnership - gas flaring definitions (English). Washington D. C: World Bank Group, 2016.

[2]          B. O. Morakinyo, S. Lavender, and V. Abbott, "Detection of potentially gas flaring related pollution on vegetation cover and its health using remotely sensed data in the Niger Delta, Nigeria," Asian Review of Environmental and Earth Sciences, vol. 10, no. 1, pp. 1-13, 2023.  https://doi.org/10.20448/arees.v10i1.4407

[3]          B. O. Morakinyo, S. Lavender, and V. Abbott, "Evaluation of factors influencing changes in land surface temperature at gas flaring sites in the Niger Delta, Nigeria," BAZE University Journal of Entrepreneurship and Interdisciplinary Studies, vol. 1, no. 2, pp. 1-19, 2022.

[4]          ARISE Media, "Oil spillage in Rivers State, Nigeria. ARISE News," in Daily News at 20:14, 18 October, 2022a.

[5]          ARISE Media, "Curbing gas flare in Nigeria. ARISE News," in Daily News at 18:52, 04 February, 2022b.

[6]          ARISE Media, "Environmental degradation in Escravos Delta State, Nigeria. ARISE News," in Daily News at 13 January, 2022c.

[7]          E. I. Seiyaboh and S. C. Izah, "A review of impacts of gas flaring on vegetation and water resources in the Niger Delta region of Nigeria," International Journal of Economy, Energy and Environment, vol. 2, no. 4, pp. 48-55, 2017.  https://doi.org/10.11648/j.ijeee.20170204.11

[8]          B. O. Morakinyo, S. Lavender, and V. Abbott, "Investigation of potential prevailing wind impact on land surface temperature at gas flaring sites in the Niger Delta, Nigeria," International Journal of Environment and Geoinformatics, vol. 9, no. 1, pp. 179-190, 2022.  https://doi.org/10.30897/ijegeo.968687

[9]          B. O. Morakinyo, S. Lavender, and V. Abbott, "The methodology and results from ground validation of satellite observations at gas Flaring Sites in Nigeria," International Journal of Environment and Geoinformatics, vol. 8, no. 3, pp. 290-300, 2021.  https://doi.org/10.30897/ijegeo.749664

[10]        B. Morakinyo, S. Lavender, and V. Abbott, "Assessment of uncertainties in the computation of atmospheric correction parameters for landsat 5 TM and landsat 7 ETM+ thermal band from atmospheric correction parameter (ATMCORR calculator," British Journal of Environmental Sciences, vol. 8, no. 1, pp. 20-30, 2020a.

[11]        B. Morakinyo, S. Lavender, and V. Abbott, "Retrieval of land surface temperature from Earth observation satellites for gas flaring sites in the Niger Delta, Nigeria," International Journal of Environmental Monitoring and Analysis, vol. 8, no. 3, pp. 59-74, 2020b.  https://doi.org/10.11648/j.ijema.20200803.13

[12]        B. Morakinyo, S. Lavender, J. Schwarz, and V. Abbott, "Mapping of land cover and estimation of their emissivity values for gas flaring sites in the Niger Delta," British Journal of Environmental Sciences, vol. 7, no. 2, pp. 31-58, 2019.

[13]        B. O. Morakinyo, "Flaring and pollution detection in the Niger Delta using remote sensing," Ph.D Thesis, University of Plymouth, Plymouth, United Kingdom, 2015.

[14]        O. O. Adewale and U. Mustapha, "The impact of gas flaring in Nigeria," International Journal of Science, Technology and Society, vol. 3, no. 2, pp. 40-50, 2015.

[15]        A. O. Lawanson, A. M. A. Imevbore, and V. O. Fanimokun, "Effects of waste-gas flares on the surrounding cassava plantations in the Niger Delta regions of Nigeria," in Proceedings, Sixth Symposium of the International Society for Tropical Root Crops/hosted by CIP in Lima, Peru, 21-26 February 1983. Lima, Peru: International Potato Center (CIP), 1984.

[16]        S. Efe, "Spatial variation of acid rain and its ecological effect in Nigeria," in Proceedings of the Environmental Management Conference, Federal University of Agriculture, Abeokuta, Nigeria, 2012, pp. 381-395.

[17]        S. Uzoekwe, "Impacts of gas flaring on the fertility status of agricultural soil in an oil and gas host community in the Niger Delta region of Nigeria," Annals of Ecology and Environmental Science, vol. 3, no. 4, pp. 14-19, 2019.

[18]        S. Nta, G. Usoh, and U. James, "Impact of gas flaring on agricultural production of Edo EsitEket local government area, Akwa Ibom State, Nigeria," International Journal of Research in Agriculture and Forestry, vol. 4, no. 12, pp. 1-6, 2017.

[19]        J. C. Ifemeje, "Effect of gas flaring on the anti-nutritional composition of four green leafy vegetables from Eleme in Rivers State, Nigeria," International Journal, vol. 3, no. 1, pp. 31-37, 2015.  https://doi.org/10.7726/ijeps.2015.1003

[20]        N. A. Akeem and A. Y. B. Anifowose, "Effect of gas flaring on the environment: A case study of a part of Niger Delta, Nigeria," in AGU Fall Meeting Abstracts, 2016, vol. 2016, pp. PA11B-1956.

[21]        M. Faruolo, A. Caseiro, T. Lacava, and J. W. Kaiser, "Gas flaring: A review focused on its analysis from space," IEEE Geoscience and Remote Sensing Magazine, vol. 9, no. 1, pp. 258-281, 2020.  https://doi.org/10.1109/mgrs.2020.3007232

[22]        O. C. Anejionu, "Rationale, historical developments and advances in remote sensing of gas flares," International Journal of Remote Sensing, vol. 40, no. 17, pp. 6700-6719, 2019.  https://doi.org/10.1080/01431161.2019.1590880

[23]        Z. Zhang, E. D. Sherwin, and A. R. Brandt, "Estimating global oilfield-specific flaring with uncertainty using a detailed geographic database of oil and gas fields," Environmental Research Letters, vol. 16, no. 12, p. 124039, 2021.  https://doi.org/10.1088/1748-9326/ac3956

[24]        United States Geological Survey (USGS), "The glovis/earth explorer interface for downloading landsat data," U.S. Department of the Interior, Retrieved: https://earthexplorer.usgs.gov/ . [Accessed 01 March, 2022], 2022.

[25]        Google Earth, "Map of Nigeria, map of Rivers State and the locations of 11 flaring sites examined in Rivers State, Nigeria. Google, USA," Retrieved: https://earth.google.com . [Accessed 01 January, 2023], 2023.

[26]        A. R. Huete, "A soil-adjusted vegetation index (SAVI)," Remote Sensing of Environment, vol. 25, no. 3, pp. 295-309, 1988.  https://doi.org/10.1016/0034-4257(88)90106-x

Views and opinions expressed in this article are the views and opinions of the author(s), Review of Environment and Earth Sciences shall not be responsible or answerable for any loss, damage or liability etc. caused in relation to/arising out of the use of the content.