Index

Abstract

Grain size studies of the Campanian-Maastrichtian Lokoja Formation have been investigated. The sand particles exhibit low sphericity which are angular to sub-angular. Histograms showed unimodal and bimodal trends and is predominantly asymmetrical with varying modal class, which may be due to variation in transporting medium energy. The graphic mean ranges from 0.1ф (coarse grained) to 1.35ф (medium grained) while the is average 0.81ф (coarse grained). The dominance of coarse grained particles and dearth of fine sands implies strong to moderate energy conditions during deposition. The standard deviation ranges from 0.08ф-0.60ф (very well sorted to moderately well sorted); average of 0.40ф (well sorted), which may be due to rapid back and forth movement of the depositing medium. The skewness ranges between -0.39 and 0.59 (strongly coarse skewed to strongly fine skewed), while the graphic kurtosis ranges between 0.77 and 2.5 indicating playtykurtic to very leptokurtic and this variation may be due to some of the deposits being sorted in high-energy environment elsewhere. A Bivariate plot (simple skewness vs. standard deviation) shows the samples plotting mainly in the river sand zone. Another plot of mean size vs. standard deviation also shows the samples appearing in the river sand zone; other granulometric parameters that discriminates between river channel deposits, overbank deposits and overbank-pool deposits shows that the Lokoja sandstones plotted in the river channel zone. Linear discriminant analyses signpost a shallow marine beach environment. From the Passega diagram, majority of the samples plotted outside the featured fields, only three samples plotted within the diagnostic parameter zone around the uniform suspension-SR zone.

Keywords: Lokoja sandstone, Granulometric, Standard deviation, Skewness, Kurtosis, Graphic mean, Passega diagram.

Received:1 December 2016 / Revised: 3 January 2017 / Accepted:13 January 2017/ Published: 27 January 2017

Contribution/ Originality

The study contributes to the existing literature on the sandstone facies of the Lokoja Formation in the Mid Niger Basin based on granulometric parameters to establish the depositional environment of the sandstone and sedimentary process that occurred during deposition.


1. INTRODUCTION

According to Pettijohn [1]; Basu [2] the knowledge of grain size spread and the collections of heavy minerals in sedimentary rocks especially in the earth crust make it viable to realistically locate and use important minerals to envisage their dispersal pattern when they return the natural environment. Examination of the clast types present can be used to get evidence about the source of the sediment, provenance of the material as well as the environment of deposition. A number of authors have attempted to infer depositional environment and hydrodynamics from grain size data [3-21] . Grain size frequency distribution and textural factors could suggest the mode of transportation and depositional history of an area.  Heavy minerals have been used for provenance, sediment spatial distribution, palaeo-drainage pattern, palaeogeographic reconstructions, mapping the bedrock geology and correlation analyses in modern and ancient sediments [10, 22-34] . Numerous investigations have been done on the Late Cretaceous sediments of the southern part of the Mid-Niger Basin. These studies focused on the sedimentology [35-37] biostratigraphy and biozonation [38] paleodepositional environment [39-42] tectonics [42-44] hydrocarbon generation potential [45, 46] sequence stratigraphy and paleodepositional environment [47]. This current inquisition was carried out at Lokoja and its environs in the central part of Nigeria (Fig. 1) and intends to make precise deductions on the granulometry of the sandstone facies of the Lokoja Formation.

2. STRATIGRAPHY

The Mid-Niger Basin (also known as Bida or Nipe Basin) is a linear intracratonic basin located in central Nigeria. It has a NW – SE orientation almost perpendicular to the Benue Trough and separated from the basal continental bed of the Sokoto Basin by a narrow outcrop of the basement rocks in the west and it is adjacent to the

Figure-1. Map of Lokoja and its environs in the Middle Niger Basin showing sample locations (This study).

Anambra Basin (Fig.2). The Sokoto basin is a gently down warped trough [47]. The epeirogenesis responsible for the basin creation seems closely connected to the Santonian tectonic movements that largely affected the Benue trough and south eastern Nigeria. The basement complex possibly has a high relief [48] and the thick sedimentary successions is about 2000 metres as revealed by gravity survey [42] and comprised of unfolded post-tectonic molasse facies and thin marine strata. Borehole logs, Landsat image interpretations and geophysical data across the basin suggests that it is bounded by a NW-SE trending system of linear faults [43]. Gravity survey investigations also support central positive anomalies flanked by negative anomalies [44, 49]. This trend agrees with rift structures as observed in the adjacent Benue Trough. A detailed study of the facies indicates rapid basin-wide changes from various alluvial fan facies through flood-plain and deltaic facies to lacustrine facies [50]. Consequently, a simple sag and rift origin earlier suggested by [43, 44, 50-53] may not justify the basin’s evolution [47]. Paleogeographic reconstruction alludes that lacustrine environments were prevalent and elongate [54].

According to Osokpor and Okiti [47] lacustrine environments developed at the basin axis near the margins, alluding that the depocenter migrated during the basinal depositional history and subsidence was rapid to accommodate the thick sedimentary infill [47]. The sedimentary successions are Campanian – Maastrichtian (Late Cretaceous) and named the Nupe Sandstone by Russ [55]. The Nupe sandstone was subdivided into four Formations: Bida Sandstone (oldest), Sakpe Ironstone, Enagi Siltstone and Batati Ironstone (youngest) [35]. In the Lokoja area, the succession is referred to as the Lokoja Sandstone, but the sandstone is partially equivalent to the Nupe Sandstone [56] it is superimposed by the Patti Formation [48]. The Lokoja and Bida areas are believed to be stratigraphically incongruent. The Lokoja, Patti and Agbaja Formations occur as the three distinct units in the Lokoja sub-basin basin. The Lokoja Formation is made up of few thin oolitic iron stones, pebbly clayey grit and coarse-grained cross bedded sandstones. A basal conglomerate of well-rounded quartz pebbles in a matrix of white clay is rarely exposed, whose thickness depends on the relief of the underlying Basement Complex and varies between 100 and 300 metres [56].

Figure-2. Geological map of Nigeria showing the Mid-Niger Basin, modified after [46]

The Patti Formation is a series of clay stone, shale, carbonaceous siltstone, fine to medium-grained, grey and white sandstones, and oolitic ironstone. Thin coal seams may be present and white gritty clays are common. The maximum exposed thickness is 70 m [48] the oolitic ironstones thickness ranges between 7 and 16m. The Formation contained a few non-diagnostic plant remains [56]. A Maastrichtian (probably Senonian) age was ascribed to it based chiefly on correlation with other formations e.g. the Enugu Shale and Nupe Sandstone of Campano-Maastrichtian age [38] having recorded a foraminifera fauna and palynomorph assemblage respectively from the Lokoja area. The micro fauna in the formation is thought to be of a marsh assemblage. According to Jan Du Chene, et al. [38] the palynomorphs encountered are mainly pollen and spores; this assemblage points to a Maastrichtian age Jan Du Chene, et al. [38]. Dessauvagie [56] revealed that the Patti Formation (the carbonaceous beds) showed fossil plants and dates the formation as Campanian to Maastrichtian.

3. MATERIALS AND METHODS

Samples were collected from five outcrops and the sections described. Seventeen (17) fresh samples were initially collected via cutting the interior of the outcrop thereby preventing contamination and other exogenic transformations. Qualitative visual evaluation was carried out to describe features such as roundness, sorting, colour, etc. Ten sandstone samples were selected from Lokoja and environs: 2 samples each from 5 locations. The samples were dried in the oven after which they were cooled inside the desiccators. Particle size distribution analyses was at the Laboratory of Geology and Applied Geophysics Department, Federal University of Technology, Akure, via Durham GeoSlope shaker mounted with a set of sieve; 100g of each sample was agitated for 20 minutes. British Standards were applied with a sieve set in the order of mesh sizes: 2.00, 1.18, 0.85, 0.60, 0.425, 0.30, 0.0025, 0.50, 0.10, 0.075 and 0.0063 mm.  The fraction of each mesh size was weighed for statistical analysis based on the procedure of Folk and Ward [6]. The grain size of the 5th, 16th, 25th, 50th, 75th, 84th, and 95th percentiles were obtained from each cumulative curve. These were used to calculate the parameters for the Graphic mean (M), Standard deviation (sorting) (SD), Graphic kurtosis (K) and Graphic skewness (SK) based on Folk and Ward [6]. For petrographic analysis, the sample was oven dried to ensure proper dryness before being poured into the sample tray. Representative sample was obtained via quartering method. The representative sample was poured into the graduated plate. After mounting the grains in Canada Balsam on microscopic slides; over 100 sand grains of each sample were counted using the ribbon count method under the petrologic microscope to determine different parameters such as grain size, shape, the various mineral compositions and to estimate their modal percentages.

For heavy mineral analyses; Bromoform was poured into the upper funnel with several clips on the representative sample of the sediment was taken and drop into the bromoform. The heavy minerals were seen settling down into the bromoform while lighter particles float. This was left for about five minutes to ensure complete settling of the heavy minerals. The clip was locked while the second clip is opened. This allows the separated heavy mineral to run into the filter paper inside the second funnel. It was allowed to drain, the mineral was allowed to run through the second filter paper and the bromoform was recovered. Acetone was used to wash through the first and second funnels to clean off the bromoform. Hot plate was put on and the glass slide was also placed on the hot plate. Canada balsam was dropped on the glass slide. The separated heavy minerals were carefully sprinkled on the Canada balsam. This was allowed to cool and later, it was properly labeled. The heavy minerals were later studied under petrographic microscope.

4. RESULTS AND DISCUSSION

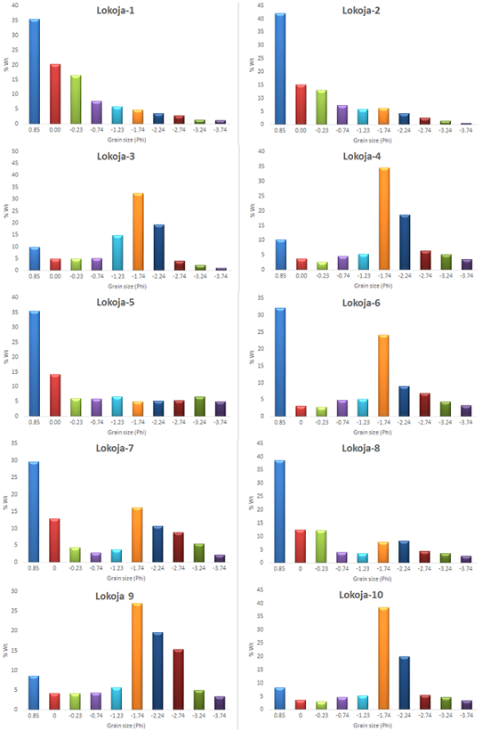
Grain size studies affords quantitative and qualitative information when an evaluation of the character is required from sediments deposited in a known environment, such as a beach or along a river. It is frequently used in the analysis and quantification of present-day processes of transport and deposition [57]. The granulometirc factors of the samples studied and the interpretations are shown in the Table 1. The sand grains have low sphericity and range from sub-angular to sub-rounded; the cumulative curve of the studied samples is typical of beach sands (Fig. 3) Histograms of the individual weight percent of the sandstone exhibits both unimodal and bimodal trends. The arrangement is dominantly asymmetrical with varying modal class (Fig. 4); this may be due to change in the energy of the transporting medium.

Figure-3. Cumulative curve of the studied samples (This study).

Table-1. Summary of grain size parameters and interpretation (This study).

Sample ID
Mean  
Interp
retation
Sorting
Interp
retation
Kurtosis
Interp
retation
Skewness
Interp
retation
Lokoja-1
0.1
coarse grained
0.08
very well sorted
1.74
Very leptokurtic
0.26
Fine skewed
Lokoja-2
0.11
coarse grained
0.08
very well sorted
2.54
Very leptokurtic
0.25
Fine skewed
Lokoja-3
1.2
Medium grained
0.44
well sorted
1.26
Leptokurtic
-0.34
Strongly coarse skewed
Lokoja-4
1.25
medium grained
0.55
moderately well sorted
1.8
Very leptokurtic
-0.36
Strongly coarse skewed
Lokoja-5
0.61
coarse grained
0.48
well sorted
0.8
Platykurtic
0.59
Strongly fine skewed
Lokoja-6
1.1
medium grained
0.51
moderately well sorted
0.81
Platykurtic
-0.07
Near symmetrical
Lokoja-7
0.8
coarse grained
0.41
well sorted
0.77
Platykurtic
0.13
Fine skewed
Lokoja-8
0.4
coarse grained
0.3
very well sorted
0.86
Platykurtic
-0.39
Strongly coarse skewed
Lokoja-9
1.35
medium grained
0.6
moderately well sorted
1.26
Leptokurtic
-0.24
coarse skewed
Lokoja-10
1.2
medium grained
0.51
moderately well sorted
2.04
very leptokurtic
-0.27
coarse skewed

4.1. Graphic Mean (Mz)

This is the average size category or an assessment of the central affinity. The graphic mean ranges from 0.1ф (coarse grained) to 1.35ф (medium grained) with an average of 0.81ф (Coarse grained). The dominance of coarse grained particles and dearth of fine sands implies strong to moderate energy conditions during deposition and the deposits move in the flow as bedloads.

4.2. Inclusive Graphic Standard Deviation (σ1)

This is a measure of sorting or variation in grain sizes and indicates the fluctuations in the kinetic energy or 
velocity conditions of the depositing agent [15]. The graphic standard deviation ranges from 0.08ф-0.60ф (very well sorted to moderately well sorted), with an average of 0.40 ф (well sorted). The well sorted character of the sediments can be attributed to a rapid back and forth movement of the depositing medium

4.3. Inclusive Graphic Skewness (SK)

This is a measure of grain-size distribution that reflects the grain spread characteristics in the tails of the distribution. The values of inclusive graphic skewness ranges from -0.39-0.59 (strongly coarse skewed to strongly fine skewed), with an average of 0.04 (near symmetrical).  The typically positive skewness of fluvial deposits is due to suspension material overlapping sediments transported on the bottom via traction and salting, cause by reduced turbulence of fluvial current [15]. Positive skewness occurs from the competence of the transportation agent unidirectional flow, and the negative is as a result of removal of fine grained tail of distribution by winnowing action Sahu [15]; Martins [58]; Martins [59]; Awasthi [60]; Cronan [61]. Friedman [62] indicated that negative skewness has relationship with the intensity and duration of high energy depositional agent through a removal of fines (swash and back wash) of a high energy ocean beach, for instance [47] added that negative skweness can be caused by the addition of materials to coarse fractions like shell fragments. Usually, most beach sediments are slightly negatively skewed because of a small proportion of coarse grains [63].

Figure-4. Histograms of the individual weight percent of the sediments (This study).

4.4. Kurtosis (KG)

It shows if the distribution is bell shaped, very flat, or very peaked. Sharp-peaked curves indicate better sorting in the central portion of the grain-size distribution than in the tails, and flat-peaked curves indicate the opposite [64]. The graphic kurtosis ranges from 0.77-2.54 which indicates playtykurtic to very leptokurtic; with an average of 1.39 (leptokurtic). The wide range value implies that some of the sediment attained its sorting in high-energy environment elsewhere. According to Baruah, et al. [65] and Ray, et al. [66] differences in kurtosis values expresses the current characteristic of the depositing medium. It is believed that generally sands are leptokurtic and are either positively or negatively skewed [67] because most sands consist of coarse fraction with negative skewness and a fine fraction with positive skewness: one minor population and one major population.

4.5. Relationship between Granulometric Parameters

The relationship between granulometric parameters is significant for the construal of the transport and depositional environment of sediments as pointed out by several sources (e.g., [6]; [7]; [12]; [17]; [11]; [13]; [68]; [69]. The bivariate plot (fig. 5) shows the samples plotting in the river sand zone, indicating a fluvial environment. The bivariate plot (fig. 6) similarly presents the samples as river sands.

Figure-5. Depo-environmental discrimination bivariate plot of Lokoja sandstone showing the fields in which most beach and river sands plot. The sediments plotted in the river sands field, modified from Folk and Ward [6]. (This study).

Figure-6. Depo-environmental discrimination bivariate plot of Lokoja sandstone, modified after [13]. (This study).

Figure 7 are plots based on granulometric parameters that discriminates between river channel deposits, overbank deposits and overbank-pool deposits; majority of the Lokoja sandstones plotted in the river channel zone. According to Mycielska-Dowgiałło and Ludwikowska-Kędzia [70] the overlapping of two fields (river channel deposits and overbank deposit) in Figure 9C corresponds to the best sorted grain-size which is approximately 2 Ф (0.25 mm). The boundary between  the two facies in figure 9B is, similarly, situated  in the zone of the best sorting and the zero value of skewness [70].

Figure-7. Relationships of Folk & Ward textural parameters, modified from [69, 71].

A: Skewness vs. mean grain diameter; B: Standard deviation vs. skewness; C: Mean grain diameter vs. standard deviation.

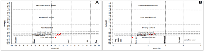
The bivariate plot between mean grain size and sorting (standard deviation) reveals that the grains are sands (fig.8a) which are largely moderately well sorted comprised of coarse to medium grained sand particles (fig,8b). The energy medium may have caused the removal of fine sediments through winnowing action of tidal waves. The scatter plot between mean grain size and sorting kurtosis shows a wide range of plots in more than one kurtosis field except the extremely leptokurtic, mesokurtic and the very platykurtic zones (fig. 9). Figures 10A and 10B are bivariate plots between Skewness and Sorting against Kurtosis respectively; these also show the wide range of kurtosis fields. Figures 11A and 11B are graphical relationships between Mean size and Skewness; Sorting and Skewness.

Figure-8. Bivariate plot between mean grain size and sorting (standard deviation), fields based on Blott and Kenneth [72]. (This study).

Figure-9. Bivariate plot between mean grain size and Kurtosis, fields based on Blott and Kenneth [72]. (This study).

4.6. Linear Discriminant Functions

Statistical method of analysis of sediments to interpret the differences in energy and fluidity factors appears to have tremendous correlation with the different processes and the environment of deposition [15]. Linear discriminant function analysis of the sediments was established in order to characterize the depositional setting based on the following equations (Where MZ is the grain size mean, δ1 is inclusive graphic standard deviation (sorting), SK is skewness and KG is the graphic kurtosis):

(a) Discrimination between Aeolian and beach environment (Y1)

Y1 = -3.5688 Mz + 3.7016 δ12 - 2.0766 SK + 3.1135 KG

If Y1 is less than -2.7411, Aeolian deposition is indicated and if greater than -2.7411, the environment is beach. All the samples have Y1 values that are greater than -2.7411 (Table 2), which imply beach environment.

Figure-10. Bivariate plots: (A) Skewness vs. Kurtosis; (B) Sorting vs. Kurtosis, fields based on Blott and Kenneth [72]. (This study).

Figure-11. Bivariate plots: (A) Mean size vs. Skewness; (B) Sorting vs. Skewness, fields based on Blott and Kenneth [72]. (This study).

(b) Discrimination between beach and shallow agitated marine environment (Y2)

Y2 = 15.6534 Mz + 65.7091 δ12 + 18.1071 SK + 18.5043 KG

If Y2 is less than 65.3650, beach deposition is indicated and if greater than 65.3650, it is shallow agitated marine environment. Two samples have Y2 > 65.3650, the rest have Y2 less than 65.3650 (average = 49.94), which imply beach environment.

(c) Discrimination between shallow agitated marine and the fluvial environments (Y3)

Y3 = 0.2852 Mz - 8.7604 δ12 - 4.8932 SK1 + 0.0482 KG

If Y3 is less than -7.419 the environments is fluvial, and if greater than -7.419 the environment is shallow marine. All the samples have Y3 greater than -7.419, which indicates shallow marine environment.

(d) Discrimination between Fluvial and turbidity (Y4)

Y4 = 0.7215 Mz + 0.403 δ12 + 6.7322 SK + 5.2927KG

If Y4 is less than 10.000, the environment is Fluvial and If greater than 10.000, the environment is Turbidity.  80% of the samples have Y4 less than 10, this implies a fluvial environment. While 20% were deposited by turbidity action. Figure 12 show the cross plots of the linear discriminant functions of the sandstone facies of the Lokoja sandstone which indicates a shallow marine beach environment.

Table-2. Linear discriminant functions data (This study).

Parameters
Lokoja-1
Lokoja-2
Lokoja-3
Lokoja-4
Lokoja-5
Lokoja-6
Lokoja-7
Lokoja-8
Lokoja-9
Lokoja-10
Y1
4.54
7.02
1.06
3.01
-0.06
-0.30
-0.11
2.39
0.94
3.59
Y2
38.89
53.67
48.66
66.23
50.17
48.03
40.17
21.03
63.76
68.73
Y3
-1.22
-1.13
0.37
-0.45
-4.69
-1.58
-1.84
1.28
-1.53
-0.52
Y4
11.03
15.21
5.32
8.13
8.74
4.71
5.60
2.25
6.17
9.95

 

Figure-12. Cross plots of the linear discriminant functions of the sediments: (A) Y1-Y2 and (B) Y2-Y3. (This study).

4.7. C-M Pattern

The CM pattern or the Passega diagram can be used to determine the environmental conditions in which sediment was deposited based on the parameter C (one percentile of the grain size distribution) and M (the Median: 50th percentile of the grain size distribution) that are valuable in hydrodynamic interpretation of grain size data. The Passega diagram in Figure13 features several fields, pelagic suspension (T field), uniform suspension (SR field), gradual suspension (QR field), suspension and rolling (QP field), rolling and suspension-PO, rolling (ON field) corresponding to the various transports and sedimentation conditions in the marine, littoral or fluvial domains. From the Passega diagram only three samples plotted within the parameter zone around the uniform suspension-SR zone; SR (uniform suspension) segment indicates the role of uniform suspension in transporting segments. Most of the samples plotted outside the featured fields.

Figure-13. Passega diagram of the Lokoja sandstones, after Passega, 1957.

5. CONCLUSION

Grain size analysis of the Campanian-Maastrichtian Lokoja Formation reveals that the sandstones have low sphericity and range from angular to sub-rounded. The lay out is dominantly asymmetrical with varying modal class, which could be attributed to variation in the energy of the transporting medium. The graphic mean ranges from 0.1ф (coarse grained) to 1.35ф (medium grained) while the is average 0.81ф (coarse grained). The dominance of coarse grained particles and dearth of fine sands implies strong to moderate energy conditions during deposition. The standard deviation ranges from 0.08ф-0.60ф (very well sorted to moderately well sorted); average of 0.40ф (well sorted), which may be due to rapid back and forth movement of the depositing medium. The skewness is between strongly coarse skewed to strongly fine skewed, while the graphic kurtosis indicates playtykurtic to very leptokurtic; this variation may be due to some of the deposits being sorted in high-energy environment elsewhere. A Bivariate plot (simple skewness vs. standard deviation) shows the samples plotting mainly in the river sand zone. Another plot of mean size vs. standard deviation also shows the samples plotting in the river sand zone; other granulometric parameters that discriminates between river channel deposits, overbank deposits and overbank-pool deposits shows the Lokoja sandstones plotting in the river channel zone. Linear discriminant analyses signpost a shallow marine beach environment. From the Passega diagram, majority of the samples plotted outside the featured fields, only three samples plotted within the parameter zone around the uniform suspension-SR zone.

Funding: This study received no specific financial support.

Competing Interests: The author declares that there are no conflicts of interests regarding the publication of this paper.

Contributors/Acknowledgement: The author acknowledges the assistance of the 2012 session final year students who participated in the fieldwork.

REFERENCES

[1]          F. J. Pettijohn, Sedimentary rocks, 3rd ed. New York: Harper and Row, 1975.
[2]          A. Basu, Provenance. In: Encyclopedia of sediments and sedimentary rocks (Ed. Middleton, G.V.). Dordrecht: Kluwer Academic Publishers, 2003.
[3]          P. D. Trask, Origin and environment of source sediments of petroleum. Houston: Gulf Pub. Co, 1932.
[4]          D. L. Inman, "Measures for describing the size distribution of sediments," Journal of Sedimentary Petrology, vol. 22, pp. 125-145, 1952. View at Google Scholar | View at Publisher

[5]          F. P. Shepard and D. G. Moore, "Central texas coast sedimentation: Characteristics of sedimentary environment, recent history and diagenesis: Part 2," American Association of Petroleum Geologists Bulletin, vol. 39, pp. 1463-1593, 1955. View at Google Scholar | View at Publisher

[6]          R. L. Folk and W. C. Ward, "Brazos river bar: A studv in the significance of gram size parameters," Journal of Sedimentary Petrology, vol. 27, pp. 3-26, 1957. View at Google Scholar | View at Publisher

[7]          R. Passega, "Texture as characteristic of clastic deposition," American Association of Geologists Bulletin, vol. 41, pp. 1952-1984, 1957. View at Google Scholar | View at Publisher

[8]          C. C. Mason and R. L. Folk, "Differentiation of beach, dune and aeolian flat environments by grain size analysis, Mustang Island, Texas,"  Journal of Sedimentary Petrology, vol. 28, pp. 211-226, 1958. View at Google Scholar | View at Publisher

[9]F. P. Shepard, "Gulf coast barriers. In: Recent sediments, Northwest Gulf of Mexico," American Association of Petroleum Geologists Bulletin, pp. 197-220, 1960.

[10]        J. E. Callahan, "Heavy minerals in stream sediments from Churchill falls, labrador - an aid to bedrock mapping," Canadian Journal of Earth Sciences, vol. 17, pp. 244-253, 1980. View at Google Scholar | View at Publisher

[11]G. M. Friedman, "Distinction between Dune, Beach and river sands from their textural characteristics," Journal of Sedimentary Petrology, vol. 31, pp. 514-529, 1961. View at Google Scholar | View at Publisher

[12]        R. Passega, "Grain size representation by CM patterns as a geological tool," Journal of Sedimentary Petrology, vol. 34, pp. 830-847, 1964. View at Google Scholar | View at Publisher

[13] G. M. Friedman, "Dynamic processes and statistical parameters compared for grain frequency distribution or beach and river sands," Journal of Sedimentary Petrology, vol. 37, pp. 327-354, 1967. View at Google Scholar | View at Publisher

[14] O. M. Friedman, "Address of the retiring President of the International Association of Sedimentologists: Differences in size distributions of populations of particles among sands of various origins," Sedimentology, vol. 26, pp. 3-32, 1979. View at Google Scholar | View at Publisher

[15]  B. K. Sahu, "Depositional mechanisms from the size analysis of clastic sediments," Journal of Sedimentary Petrology, vol. 34, pp. 73-83, 1964. View at Google Scholar | View at Publisher

[16]        J. E. Klovan, "The use of factor analysis in determining depositional environments from grain-size distributions," Journal of Sedimentary Petrology, vol. 36, pp. 115-125, 1966. View at Google Scholar | View at Publisher

[17]  R. Passega and R. Byrarnjee, "Grain-size image of clastic deposits," Sedimentology, vol. 13, pp. 233-252, 1969. View at Google Scholar | View at Publisher

[18]  G. S. Visher, "Grain size distribution and depositional processes," Journal of Sedimentary Research, vol. 39, pp. 1074-1106, 1969. View at Google Scholar | View at Publisher

[19]  J. T. Solohub and J. E. Klovan, "Evolution of grain-size parameters in lacustrine environments," Journal of Sedimentary Petrology, vol. 40, pp. 81-101, 1970. View at Google Scholar | View at Publisher

[20]  A. Tiara and P. Scholle, "Discrimination of depositional environments using settling tube data," Journal of Sedimentary Research, vol. 49, pp. 787-799, 1979. View at Google Scholar | View at Publisher

[21]  P. G. Sly, R. L. Thomas, and B. R. Pelletier, "Interpretation of measures derived from water laid sediments," Sedimentology., vol. 30, pp. 219-233, 1983. View at Google Scholar | View at Publisher

[22] R. D. Russell, "Mineral composition of Mississippi River sands," Geological Society of America Bulletin, vol. 48, pp. 1307-1348, 1937. View at Google Scholar | View at Publisher

[23]  N. M. Shukri, "The mineralogy of some Nile sediments," Quarterly Journal of the Geological Society, vol. 105, pp. 511-534, 1949. View at Publisher

[24] T. H. Van Andel, Provenance, transport and deposition of Rhine sediments: A heavy mineral study on river sands from the drainage area of the Rhine. The Netherlands: Veenman en Zonen, Wageningen, 1950.

[25]  A. C. Morton and D. Smale, "The effects of transport and weathering on heavy minerals from the Cascade River, New Zealand," Sedimentary Geology, vol. 68, pp. 117-123, 1990. View at Google Scholar | View at Publisher

[26]  A. C. Morton and M. J. Johnsson, Factors influencing the composition of detrital heavy mineral suites in Holocene sands of the Apure River drainage basin, Venezuela. In: M.J. Johnsson and A. Basu (Editors), Processes controlling the composition of clastic sediments. Boulder, Colorado: Geological Society of America Special Paper, 1993.

[27]  P. Allen and M. Mange-Rajetzky, "Sediment dispersal and palaeohydraulics of Oligocene rivers in the Eastern Ebro Basin," Sedimentology, vol. 29, pp. 705-716, 1982. View at Google Scholar | View at Publisher

[28]        J. Preston, "The provenance of Triassic continental sandstones from the Beryl Field, Northern North Sea: Mineraological, geochemical, and sedimentological constraints," Journal of Sedimentary Research, vol. 72, pp. 18-29, 2002.

[29]        R. M. Flores and G. L. Shidler, "Factors controlling heavy mineral variations on the South texas outer continental shelf," Journal of Sedimentary Petrology, vol. 48, pp. 269-280, 1978. View at Google Scholar | View at Publisher

[30] M. A. Mange-Rajetzky, "Sediment dispersal from source to shelf on an active continental margin, S. Turkey," Marine Geology, vol. 52, pp. 1-26, 1983. View at Google Scholar | View at Publisher

[31] T. Weissbrod and J. Nachmias, "Stratigraphic significance of heavy minerals in the Late Precambrian- Mesozoic clastic sequence (Nubian Sandstone) in the Near East," Sedimentary Geology, vol. 47, pp. 263-291, 1986. View at Google Scholar | View at Publisher

[32]   A. C. Morton, B. Humphreys, D. A. Dharmayanti, and Sundoro, "Palaeogeographic implications of the heavy mineral distribution in Miocene sandstones of the North Sumatra Basin," Journal of Southeast Asian Earth Sciences, vol. 10, pp. 177-190, 1994. View at Publisher

[33]   A. C. Morton, Provenance of brent group sandstones: Heavy mineral constraints. In: A.C. Morton, R.S. Haszeldine, R.S. Giles and S. Brown (Editors), Geology of the brent group. London: Geological Society of London, 1992.

[34]        J. C. Lihou and M. A. Mange-Rajetzky, "Provenance of the Sardona Flysch, Eastern Swiss Alps: Example of high-resolution heavy mineral analysis applied to an ultrastable assemblage," Sedimentary Geology, vol. 105, pp. 141-157, 1996. View at Google Scholar | View at Publisher

[35]  D. R. Adeleye, "Stratigraphy and Sedimentation of the upper cretaceous strata around Bida, Nigeria," University of Ibadan, Unpublished Ph.D Thesis, 1971.

[36]        D. R. Adeleye and T. F. J. Dessauvagie, Stratigraphy of the Niger embayment, near Bida, Nigeria. In: Dessauvagie, T.F.J., Whiteman, A.J. (Eds.), African geology: University of Ibadan Press, 1972.

[37] D. R. Adeleye, "Sedimentology of the fluvial Bida Sandstones (Cretaceous) Nigeria," Sedimentary Geology, vol. 12, pp. 1-24, 1974. View at Google Scholar | View at Publisher

[38]        R. E. Jan Du Chene, O. S. Adegoke, S. A. Adediran, and S. W. Petters, "Palynology and foraminifera of the Lokoja Sandstone (Maastrichtian), Bida Basin, Nigeria," Revista Espanola de Micropaleontotologia, vol. 10, pp. 379 – 393, 1978. View at Google Scholar 

[39]  S. O. Akande, O. J. Ojo, and K. Ladipo, Upper cretaceous sequences in the Southern Bida Basin, Nigeria. A field guidebook. Ibadan: Mosuro Publishers, 2005.

[40]        O. J. Ojo and S. O. Akande, "Sedimentological and palynological studies of the patti formation. Southeastern Bida Basin, Nigeria: Implications for paleoenvironments and paleogeography," Nigeria Association of Petroleum Explorationists Bulletin, vol. 19, pp. 61-77, 2006. View at Google Scholar 

[41] O. J. Ojo and S. O. Akande, "Microfloral assemblage, age and paleoenvironment of the upper cretaceous Patti formation, South Eastern Bida Basin, Nigeria," Journal of Mining and Geology, vol. 44, pp. 71-82, 2008. View at Google Scholar | View at Publisher

[42] S. B. Ojo and D. E. Ajakaiye, Preliminary interpretation of gravity measurements in the Middle Niger Basin area, Nigeria, In: (CA Kogbe, Ed.). Lagos: Geology of Nigeria, Elizabethan Publishing Co, 1976.

[43]  C. A. Kogbe, D. E. Ajakaiye, and G. Matheis, "Confirmation of rift structure along the middle- Niger Valley, Nigeria," Journal of African Earth Sciences, vol. 1, pp. 127-131, 1981.

[44]  S. B. Ojo and D. E. Ajakaiye, Preliminary interpretation of gravity measurements in the middle Nıger Basin are, Nigeria. In: Kogbe, C.A. (Ed.), Geology of Nigeria, 2nd ed. Lagos: Elizabethan Publishing Company, 1989.

[45]  J. O. Idowu and E. I. Enu, "Petroleum geochemistry of some late cretaceous shale from the Lokoja Sandstone of Middle Niger Basin, Nigeria," Journal of African Earth Sciences, vol. 14, pp. 443–455, 1992. View at Google Scholar | View at Publisher

[46]  N. G. Obaje, M. K. Musa, A. N. Odoma, and H. Hamza, "The Bida Basin in North-Central Nigeria: Sedimentology and petroleum geology," Journal of Petroleum and Gas Exploration Research, vol. 1, pp. 001-013, 2011. View at Google Scholar 

[47]  J. Osokpor and J. Okiti, "Sedimentological and paleodepositional studies of outcropping sediments in parts of Southern Middle Niger Basin," International Journal of Science and Technology, vol. 2, pp. 840-846, 2013. View at Google Scholar 

[48]        H. A. Jones, "The oolitic ironstone of Agbaja Plateau, Kabba Province," Record of the Geological Survey of Nigeria, pp. 20 – 43, 1958.

[49]        S. B. Ojo, "Middle Niger Basin revisited: Magnetic constraints on gravity interpretations," presented at the Abstract, 20th Conference of the Nigeria Mining and Geosciences Society, Nsukka, 1984.

[50]        S. P. Braide, "Syntectonic fluvial sedimentation in the central Bida Basin," Journal of Mining and Geology, vol. 28, pp. 55-64, 1992. View at Google Scholar 

[51] L. C. King, "Speculations upon the outline and the mode of disruption of Gondwanaland," Geological Magazine, vol. 87, pp. 353–359, 1950. View at Google Scholar | View at Publisher

[52] W. Q. Kennedy, "The influence of basement structure on the evolution of the coastal (Mesozoic and Tertiary) basins. In: Recent Basins around Africa," in Proceedings of the Institute of Petroleum Geologists Society, London, 1965, pp. 35–47.

[53]        A. Whiteman, Nigeria: Its petroleum geology, resources and potential vol. 1 and 2. London: Graham and Trotman, 1982.

[54]        S. P. Braide, "Geological development, origin and energy mineral resource potential of the Lokoja formation in the Southern Bida Basin," Journal of Mining and Geology, vol. 28, pp. 33-44, 1992. View at Google Scholar 

[55]        W. Russ, "The Minna-Birnin Gwari belt," Report of Geological Survey of Nigeria, 1930.

[56]        T. F. G. Dessauvagie, "Explanatory note to the geological map of Nigeria, scale 1: 1,000,000," Journal of Mining Geology Nigerian Meteorological Society, vol. 9, p. 28, 1975.

[57]        G. Nichols, Sedimentology and stratigraphy, 2nd ed. UK: Wiley-Blackwell Publishers, 2009.

[58]        L. R. Martins, "Significance of skewness and kurtosis in environmental interpretation," Journal of Sedimentary Research, vol. 35, pp. 768-770, 1965. View at Google Scholar | View at Publisher

[59]        L. R. Martins, Aspestio texturais e deposicionais dos sedimentos praicias e eolicos da planicie costera do Rio Grande do sul. Escola de Geologia vol. 13: Publicacao Especial, 1967.

[60]        A. K. Awasthi, "Skewness as an environmental indicator in the Solami River system rookec India," Sedimentary Geology, vol. 4, pp. 177-183, 1970. View at Google Scholar | View at Publisher

[61]   D. S. Cronan, "Skewness and kurtosis in polymodal sediments from Irish Sea," Journal of Sedimentary Petrology, vol. 42, pp. 102-106, 1972. View at Google Scholar | View at Publisher

[62]  G. M. Friedman, "Distinction between dune, beach, and river sands from their textural characteristics," Journal of Sedimentary Petrology, vol. 31, pp. 514-529, 1961. View at Google Scholar | View at Publisher

[63]  R. L. Folk, "A review of the grain size parameters," Sedimentology, vol. 6, pp. 73–93, 1966. View at Google Scholar | View at Publisher

[64]  S. J. Boggs, Petrology of sedimentary rocks, 2nd ed. UK: Cambridge University Press, 2009.

[65]  J. Baruah, P. Kotoky, and J. Sarma, "Textural and geochemical study on river sediments: A case study on the Jhanji River, Assam," Journal of the Indian Association of Sedimentologists, vol. 16, pp. 195–206, 1997.

[66]  A. K. Ray, S. C. Tripathy, S. Patra, and V. V. Sarma, "Assessment of Godavari Estuarine mangrove ecosystem through trace metal studies," Environment International, vol. 32, pp. 219–223, 2006. View at Google Scholar | View at Publisher

[67]  G. M. Friedman, "On sorting, sorting coeflicients, and the lognormality of the grain-size distribution of sandstones," Journal of Geology, vol. 70, pp. 737-753, 1962. View at Google Scholar | View at Publisher

[68]  R. Moiola and D. Weiser, "Textural parameters: An evaluation," Journal of Sedimentary Research, vol. 38, pp. 45-53, 1968. View at Google Scholar | View at Publisher

[69]  E. Mycielska-Dowgiałło, Metody badań cech teksturalnych osadów klastycznych i wartość interpretacyjna wyników [Research methods for textural features of clastic deposits and the significance of interpretational results]. [In:] E. Mycielska-Dowgiałło & J. Rutkowski (Eds): Badania cech teksturalnych osadów czwartorzędowych i wybrane metody oznaczania ich wieku [Research into the textural features of quaternary sediments and some dating methods]. Warsaw: The Family Alliance School of Higher Education Press, 2007.

[70]        E. Mycielska-Dowgiałło and M. Ludwikowska-Kędzia, "Alternative interpretations of grain-size data from quaternary deposits," Geologos, vol. 17, pp. 189–203, 2011. View at Google Scholar | View at Publisher

[71]        M. Ludwikowska-Kędzia, Ewolucja środkowego odcinka doliny rzeki Belnianki w późnym glacjale i holocenie [Evolution of the middle segment of the Belnianka River valley in the Late Glacial and Holocene]. Warsaw: Dialog Press, 2000.

[72]        S. J. Blott and P. Kenneth, "Gradistat: A grain size distribution and statistics package for the analysis of unconsolidated sediments," Earth Surface Processes and Landforms, vol. 26, pp. 1237-1248, 2001. View at Google Scholar | View at Publisher

Views and opinions expressed in this article are the views and opinions of the author(s), Review of Environment and Earth Sciences shall not be responsible or answerable for any loss, damage or liability etc. caused in relation to/arising out of the use of the content.