Index

Abstract

Most of researchers presented a model to solve combined economic emission dispatch (CEED) problem in a precise formulation, but in reality data cannot be reported or collected preciously due to several reasons. The impreciseness of the mathematical model is occurring due to environmental fluctuations or instabilities in the global market which leads to the rapid fluctuations of prices. Therefore, in many cases, the various parameters of CEED model cannot be considered in a precise manner.  So, in this paper, a new methodology is presented to solve imprecise CEED problem. In this methodology, we propose a chaos based enriched swarm optimization algorithm that relies on chaos in order to enhance its global search ability. The enriched swarm optimization algorithm combining two heuristic optimization techniques, particle swarm optimization (PSO) and genetic algorithm (GA) to integrate the merits of both them. Also, to improve the search engine visibility of the proposed approach, PSO has been enriched with a new evolution scheme; where a chaotic constriction factor is used to control the velocity of each particle in the swarm. Furthermore, local search (LS) technique is applied to improve the results quality; where it intends to scan the less-crowded region and obtain more nondominated solutions. Finally, the new methodology is carried out on the standard IEEE 30-bus 6-generator test system. From the results it is quite evident that our approach gives comparable minimum fuel cost and comparable minimum emission or better than those generated by other evolutionary algorithms (EAs). Also using the imprecise model enables us to predict the best cost and emission for any price fluctuation without solving the problem again.

Keywords: Particle swam optimization,Genetic algorithm,Multiobjective optimization Problem,Chaotic constriction factor,Local search,Combined economic emission Dispatch.

Received: 27 January 2017/ Revised:20 April 2017 / Accepted:23 May 2017/ Published: 14 June 2017

Contribution/ Originality

This study presents a new methodology for solving imprecise combined economic emission dispatch using a chaos based enriched swarm optimization algorithm; where it integrates the main features of particle swarm optimization and genetic algorithm. The tests demonstrated that the proposed approach has a satisfactory performance compared to previous studies.


1. INTRODUCTION

In the past two decades optimal power flow (OPF) problem has received much attention, because of its capability to determine the dispatch of generators so as to meet the load demand while minimizing the total fuel cost, subject to the satisfaction of all constraints on the system. OPF [1] is considered highly nonlinear, large-scale, non-convex, static optimization problem restricted by inequality and equality constraints [2]. Recently more objective functions have been embedded into the formulation of OPF. These include optimization of reactive/active losses, power system stability, voltage profile, and plants emission. So, OPF definition has been extended from a single objective problem to a multiobjective one [3, 4] such as CEED multiobjective problem. The CEED problem seeks to minimize the fuel cost with the emissions produced by power system plants.

Various mathematical and optimization techniques, in the previous literatures, have been used to solve OPF. On the other hand, Traditional approaches such as linear programming method, gradient method, quadratic programming, nonlinear programming method, Lagrange relaxation method [5-10] etc. have been applied for solving the CEED problems. Also, in Liang and Glover [10] the authors proposed the dynamic programming as a new algorithm; where there are no restrictions on the nature of cost curves and hence it can solve CEED problems if it is convex or non-convex. But, in the solution procedure, dynamic programming has many limitations in the problems that have high dimensionality. Generators nonlinear features is the main reason that the classical optimization technique may not be able to find a solution in a suitable computational time and also, the restriction on these approaches leads to  lack in their robustness and efficiency in a number of practical limitations.

According to these limitations EAs methods are proposed [11]. EAs are stochastic search algorithm that simulates the metaphor of natural biological evolution. Because of their universality, validity for parallel computing, and ease of implementation, EAs often take less computational time than the traditional methods to reach the optimal solution [12, 13]. In addition, due to the availability of high-speed technology, more interests have been focused on the application of EAs techniques for the solution of CEED problem.

Recently, there has been a boom in applying EAs to solve CEED problems. Several EAs methods, such as GA [12-15] artificial neural networks [16] Tabu search [17] evolutionary programming [18] PSO [19-21] ant colony optimization [22] differential evolution (DE) [23] and Hopfield neural networks [24] have been developed and applied successfully to CEED problems. Also, other powerful techniques called hybridization algorithms have been suggested. The hybrid approaches are using to deal with complicated problems such as: fuzzy adaptive hybrid PSO algorithm [25] hybrid PSO and sequential quadratic programming (PSO–SQP) [26] hybrid PSO and LS scheme (PSO–LS) [27] self-adaptive real-coded GA [28] hybrid chaotic DE and sequential quadratic programming (DE–SQP) [29] multiobjective EA based on decomposition (MOEA/D) [30] and combination between ACO and EA based on decomposition [31].
This paper intends to present a new optimization approach to solve imprecise CEED. The impreciseness of the mathematical model in CEED problem is occurring due to environmental fluctuations or instabilities in the global market which leads to the rapid fluctuations of prices. Therefore, the various parameters of CEED model cannot be considered in a precise manner. The new approach integrates the advantages of both PSO and GA. Also, to improve the search engine visibility of the proposed approach and control the velocity of each particle in the swarm; it has been enriched with a new evolution scheme (chaotic constriction factor). In addition, to control the velocity of each particle in the swarm, PSO has been enriched with a new evolution scheme (chaotic constriction factor). Furthermore, LS technique is applied to enhance the quality of the obtained solutions. The results demonstrate the abilities of our approach to generate well-distributed Pareto optimal front of the imprecise CEED problem and it can help us to predict what happens if there is a change in the system parameters.

The paper is structured as follows: Section 2 provides prerequisite mathematics on multiobjective optimization. Imprecise multiobjective optimization is presented in section 3. Multiobjective imprecise CEED problem is discussed in section 4. The proposed approach is described in section 5, while section 6 is introduced the implementation of the proposed approach. Results and discussion are given in section 7. Finally, the conclusions are drawn in Section 8.

2. PREREQUISITE MATHEMATICS

3. IMPRECISE MULTIOBJECTIVE OPTIMIZATION

The following imprecise vector minimization problem (I-VMP) involving interval value parameters in the objective and constraints:

4.2. Nonlinear Constraints

There are many restrictions of the CEED problem which are described in the following:

The total power generated must supply the total load demand and the transmission losses [32].

The CEED problem should consider only the small proportion of lines in violation, or near violation of their respective security, which are marked as the critical lines. We consider only the critical lines that are binding in the optimal solution. The detection of such critical lines is assumed done by the experiences of the decision maker. An improvement in the security can be obtained by minimizing the following function.

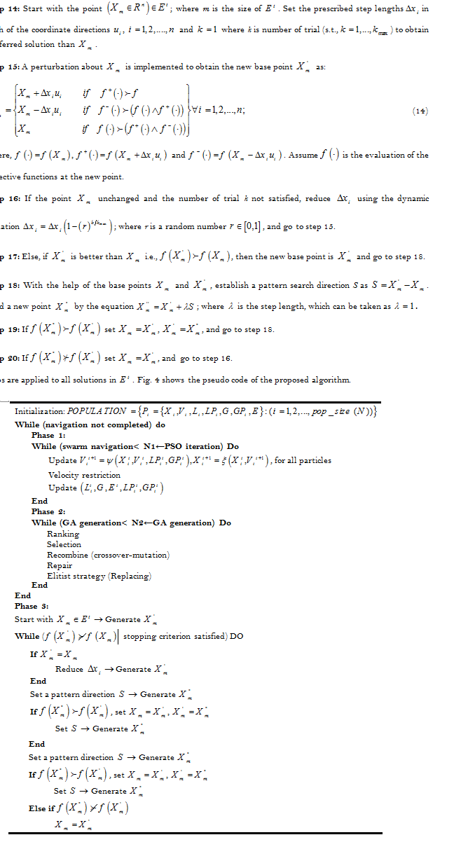
5. THE PROPOSED APPROACH

In this section, we propose a new methodology to solve imprecise CEED problem, which combining PSO and GA to integrate the merits of both them. In addition, to control the velocity of each particle in the swarm, PSO has been enriched with a new evolution scheme (chaotic constriction factor). Furthermore, LS technique is applied to enhance the results quality; where it intends to scan the less-crowded region and obtain more solutions. In the proposed approach, three phases (PSO, GA and LS) are described as follows:

Phase I: PSO

Step 3: Velocity restriction: To restrict the velocity and control it during evolution of particles and enhance the performance of PSO, some authors [33-35] use a constant/dynamic constriction factor. In our algorithm, chaotic constriction factor is merged into the PSO to enrich the searching behaviour and avoid being trapped into the infeasible region. A well-known logistic equation is employed, where it exhibits chaotic dynamics.

Phase 2: GA

Step 8: Ranking: Ranks individuals (particles) in according to their objectives value, and returns a column vector containing the corresponding individual fitness value, in order to establish the probabilities of survival which are necessary for the selection process.

Step 9: Selection: Two parents are selected to generate new strings (i.e., offspring). Parents are selected from the population based on its rank.  The selected parents generate new offspring using GA operator [36].

Step 10: Crossover: In GAs, crossover is used to vary chromosomes from one generation to the next; where it combines two chromosomes to yield new offspring. The new offspring may be better than both of the parents if it takes the best features from both parents [37].

Step 11: Mutation: By using mutation, the solution is changed entirely from the previous solution; hence GA can go to better solution [38].

Step 12: Repairing: The infeasible individual is repaired to be feasible. The repairing approach is applied to the set of infeasible individuals up to they become feasible [39].

Step 13: Elitist strategy (Replacing): Since evolution in GAs depends on stochastic operators, GAs does not guarantee a monotonic improvement in the solutions of the problem unless deterministic overlapping systems are used. So, elitist strategy is applied; where some of the best individuals are copied into the next population without applying any GA operators.

Phase 3: LS

To improve the solution quality a modified local search (MLS) is implemented, where it aims to reconnoiter the solution space near the best population (particles) and discover the less-crowded areas in the external set to possibly obtain more solutions. In this subsection, the MLS is presented, which is a modification of Hooke and Jeeves [40] to handle MOP and it is described by the following steps:

Fig-4. The pseudo code of the proposed algorithm

6. NUMERICAL SIMULATION

The described algorithm has been applied to the standard IEEE-30-bus-6-generator test system. The single-line diagram of this system is shown in Fig. 5, while the detailed data are given in [13, 41]. The values of fuel cost ($/h) and emission (ton/h) coefficients are given in Table 1. The proposed algorithm used in this study were developed and implemented on dual-core processor PC using MATLAB environment. We have kept the parameters of the proposed approach as is shown in Table 2.

Fig-5. Single line diagram of IEEE 30 bus-6-generator test system

Table-1. Generator cost and emission coefficients

7. RESULTS AND DISCUSSION

The results show that our algorithm is effective to solve CEED optimization where in one run the Pareto optimal solutions can be found. In addition, the optimal Pareto front is well distributed and has satisfactory diversity features. The proposed algorithm does not impose any limitation on the number of objectives and it is can be extended to include more objectives is a straight forward process.

For comparison purposes with the recorder results, Table 3 and 4 show the best fuel cost and best

approach [13]. It is quite evident that our approach gives comparable minimum fuel cost and comparable minimum emission or better than those obtained by other EAs.

Also Figs.13, 14 give best cost and best emission versus p-grade. We concluded that the change of the best cost is linearly proportional with the p-grade; also the change of the best emission is linearly proportional with the p-grade which enables us to predict the best cost and emission for any price fluctuation without solving the problem again. By other words, if the value p-grade is increased the values of best cost and best emission are increased and vice versa. On the other hand, Fig. 15 declares all the Pareto set for all cases (different p-grade). From the figure, we can see that when p increased from 0 to 1 the Pareto curve is transformed in the direction of increasing the cost and emission.

Table-3. Best fuel cost

8. CONCLUSIONS

In this paper we present a new methodology, chaos based enriched swarm optimization, for solving imprecise CEED. In the proposed approach, PSO has been enriched with a new evolution scheme, such that the movement of each particle is controlled using chaotic constriction factor to enhance the search engine visibility. In addition, the quality of the obtained solutions is improved by applying LS technique; where it aims to explore the less-crowded area and obtain more solutions. Also, we introduced p-grade function using to solve the CEED problem under imprecision. Moreover, the proposed approach is applied to the standard IEEE 30-bus 6-generator test system to illustrate its capability to generate true Pareto front of the CEED with well distribution. The main features of our approach could be summarized as follows:

  1. The results show that our approach is effective for solving CEED optimization where in one run the Pareto optimal solutions can be found.
  2. The obtained Pareto fronts have satisfactory diversity features with good distribution.
  3. Our algorithm does not levy any limitation on the number of objectives.
  4. the proposed approach gives comparable minimum fuel cost and comparable minimum  emission or better than those obtained by other EAs that reported in the literature
  5. Implementation of chaotic constriction factor improve search engine visibility by controlled the movement velocity of each particle and accelerate the convergence of our approach.
  6. Using p-grade function concluded that the change of both the best cost and the best emission is linearly proportional with the p-grade; which enables us to predict the best cost and emission for any price fluctuation without solving the problem again.
  7. The change of the value of p from 0 to 1 show that the Pareto curve is transformed in the direction of increasing the cost and emission which enables us to forecast the place of Pareto curve for any changeable of the parameters.

Generally speaking, the improvement of our algorithm performance still remains in the experimental stage for lack of solid theoretical support; thus, for further work, we aim to test it on more real-life applications that have more than two objectives.

Funding: This study received no specific financial support.

Competing Interests: The authors declare that they have no competing interests.

Contributors/Acknowledgement: Both authors contributed equally to the conception and design of the study.

REFERENCES

[1]          H. W. Dommel and W. F. Tinney, "Optimal power flow solutions," IEEE Transactions on Power Apparatus and Systems, vol. PAS-87, pp. 1866-1876, 1968. View at Google Scholar | View at Publisher

[2]          A. J. Wood, B. F. Wollenberg, and G. B. Sheble, Power generation, operation and control, 3rd ed.: John Wiley & Sons, Inc, 2013.

[3]          R. Yokoyama, S. H. Bae, T. Morita, and H. Sasaki, "Multiobjective optimal generation dispatch based on probability security criteria," IEEE Transactions on Power Systems, vol. 3, pp. 317-324, 1988. View at Google Scholar | View at Publisher

[4]          J. S. Dhillon, S. C. Parti, and D. P. Kothari, "Stochastic economic emission load dispatch," Electric Power Systems Research, vol. 26, pp. 179–186, 1993. View at Google Scholar | View at Publisher

[5]          J. F. Chen and S. D. Chen, "Multiobjective power dispatch with line flow constraints using the fast Newton-Raphson method," IEEE Transactions on Energy Conversion, vol. 12, pp. 86-93, 1997. View at Google Scholar | View at Publisher

[6]          R. A. Jabr, A. H. Coonick, and B. J. Cory, "A homogeneous linear programming algorithm for the security constrained economic dispatch problem," IEEE Transactions on Power Systems, vol. 15, pp. 930-936, 2000. View at Google Scholar | View at Publisher

[7]          S. Takriti and B. Krasenbrink, "A decomposition approach for the fuel constrained economic power-dispatch problem," European Journal of Operational Research, vol. 112, pp. 460-466, 1999. View at Google Scholar | View at Publisher

[8]          K. S. Hindi and M. R. Ab Ghani, "Dynamic economic dispatch for large-scale power systems: A lagrangian relaxation approach," International Journal of Electrical Power & Energy Systems, vol. 13, pp. 51-56, 1991. View at Google Scholar | View at Publisher

[9]          L. G. Papageorgiou and E. S. Fraga, "A mixed integer quadratic programming formulation for the economic dispatch of generators with prohibited operating zones," Electric Power Systems Research, vol. 77, pp. 1292–1296, 2007. View at Google Scholar | View at Publisher

 [10]       Z. X. Liang and J. D. Glover, "A zoom feature for a dynamic programming solution to economic dispatch including transmission losses," IEEE Transactions on Power Systems, vol. 7, pp. 544-550, 1992. View at Google Scholar | View at Publisher

[11]        M. S. Osman, M. A. Abo-Sinna, and A. A. Mousa, "A solution to the optimal power flow using genetic algorithm," Journal of Applied Mathematics & Computation, vol. 155, pp. 391-405, 2004. View at Google Scholar | View at Publisher

[12]        M. S. Osman, M. A. Abo-Sinna, and A. A. Mousa, "IT-CEMOP: An iterative co-evolutionary algorithm for multiobjective optimization problem with nonlinear constraints," Journal of Applied Mathematics & Computation, vol. 183, pp. 373-389, 2006. View at Google Scholar | View at Publisher

[13]        M. S. Osman, M. A. Abo-Sinna, and A. A. Mousa, "An ɛ-dominance-based multiobjective genetic algorithm for economic emission load dispatch optimization problem," Electric Power Systems Research, vol. 79, pp. 1561–1567, 2009. View at Google Scholar | View at Publisher

[14]        P. H. Chen and H. C. Chang, "Large-scale economic dispatch by genetic algorithm," IEEE Transactions on Power Systems, vol. 10, pp. 1919-1926, 1995. View at Google Scholar | View at Publisher

[15]        H. K. Youssef and K. M. El-Naggar, "Genetic based algorithm for security constrained power system economic dispatch," Electric Power System Research, vol. 53, pp. 47–51, 2000. View at Google Scholar | View at Publisher

[16]        T. Yalcinoz and M. J. Short, "Neural networks approach for solving economic dispatch problem with transmission capacity constraints," IEEE Transactions on Power Systems, vol. 13, pp. 307-313, 1998. View at Google Scholar | View at Publisher

[17]        W. M. Lin, F. S. Cheng, and M. T. Tsay, "Nonconvex economic dispatch by integrated artificial intelligence," IEEE Transactions on Power Systems, vol. 16, pp. 307-311, 2001. View at Google Scholar | View at Publisher

[18]        T. Jayabarathi, G. Sadasivam, and V. Ramachandran, "Evolutionary programming based economic dispatch of generators with prohibited operating zones," Electric Power System Research, vol. 52, pp. 261–266, 1999. View at Google Scholar | View at Publisher

[19]        J. Kennedy and R. C. Eberhart, Swarm intelligence. San Francisco: Morgan Kaufmann, 2001.

[20]        R. C. Eberhart and Y. Shi, "Comparison between genetic algorithms and particle swarm optimization," in Proceedings of IEEE International Conference on Evolutionary Computation, 1998, pp. 611–616.
[21]        J. B. Park, K. S. Lee, J. R. Shin, and K. Y. Lee, "A particle swarm optimization for economic dispatch with nonsmooth cost functions," IEEE Transactions on Power Systems, vol. 20, pp. 34-42, 2005. View at Google Scholar | View at Publisher

[22]        Y. H. Song, C. S. Chou, and T. J. Stonham, "Combined heat and power economic dispatch by improved ant colony search algorithm," Electric Power System Research, vol. 52, pp. 115-121, 1999. View at Google Scholar | View at Publisher

[23]        R. Storn and K. Price, "Differential evolution – A simple and efficient adaptive scheme for global optimization over continuous spaces," Journal of Global Optimization, vol. 11, pp. 341-359, 1997. View at Google Scholar 

[24]        C. T. Su and C. T. Lin, "New approach with a hopfield modeling framework to economic dispatch," IEEE Transactions on Power Systems, vol. 15, pp. 541-545, 2000. View at Google Scholar | View at Publisher

[25]        T. Niknam, "A new fuzzy adaptive hybrid particle swarm optimization algorithm for non-linear, non-smooth and non-convex economic dispatch problem," Applied Energy, vol. 87, pp. 327–339, 2010. View at Google Scholar | View at Publisher

[26]        T. A. A. Victoire and A. E. Jeyakumar, "Hybrid PSO–SQP for economic dispatch with valve-point effect," Electric Power Systems Research, vol. 71, pp. 51–59, 2004. View at Google Scholar | View at Publisher

[27]        A. A. Mousa, M. A. El-Shorbagy, and W. F. Abd El-Wahed, "Local search based hybrid particle swarm optimization for multiobjective optimization," Swarm and Evolutionary Computation, vol. 3, pp. 1-14, 2012. View at Google Scholar | View at Publisher

[28]        P. Subbaraj, R. Rengaraj, and S. Salivahanan, "Enhancement of combined heat and power economic dispatch using self adaptive real-coded genetic algorithm," Applied Energy, vol. 86, pp. 915–921, 2009. View at Google Scholar | View at Publisher

[29]        L. S. Coelho and V. C. Mariani, "Combining of chaotic differential evolution and quadratic programming for economic dispatch optimization with valve-point effect," IEEE Transactions on Power Systems, vol. 21, pp. 989-996, 2006. View at Google Scholar | View at Publisher

[30]        S. Z. Zhao, P. N. Suganthan, and Q. Zhang, "MOEA/D with an ensemble of neighbourhood sizes," IEEE Trans on Evolutionary Computation, vol. 16, pp. 442-446, 2012. View at Google Scholar 

[31]        L. Ke, Q. Zhang, and R. Battiti, "MOEA/D-ACO: A multiobjective evolutionary algorithm using decomposition and antcolony," IEEE Transactions on Cybernetics, vol. 43, pp. 1845-1859, 2013. View at Google Scholar | View at Publisher

[32]        B. S. Kermanshahi, Y. Wu, K. Yasuda, and R. Yokoyama, "Environmental marginal cost evaluation by non-inferiority surface [Power Systems]," IEEE Transactions on Power Systems, vol. 5, pp. 1151-1159, 1990. View at Google Scholar | View at Publisher

[33]        R. C. Eberhart and Y. Shi, "Comparing inertia weights and constriction factors in particle swarm optimization," in Proceedings of the 2000 Congress on Evolutionary Computation. CEC00 (Cat. No.00TH8512), La Jolla, CA, 2000, pp. 84-88.

[34]        S. Biswas, K. K. Mandal, and N. Chakraborty, "Constriction factor based particle swarm optimization for analyzing tuned reactive power dispatch," Frontiers in Energy, vol. 7, pp. 174-181, 2013. View at Google Scholar | View at Publisher

[35]        B. Liu, L. Wang, and Y. H. Jin, "Improved particle swarm optimization combined with chaos," Chaos Solutions & Fractals, vol. 25, pp. 1261-1271, 2005. View at Google Scholar | View at Publisher

[36]        M. A. El-Shorbagy, A. A. Mousa, and S. M. Nasr, "A chaos-based evolutionary algorithm for general nonlinear programming problems," Chaos, Solitons and Fractals, vol. 85, pp. 8-21, 2016. View at Google Scholar | View at Publisher

[37]        A. Al Malki, M. M. Rizk, M. A. El-Shorbagy, and A. A. Mousa, "Identifying the most significant solutions from Pareto front using hybrid genetic K-means approach," International Journal of Applied Engineering Research, vol. 11, pp. 8298-8311, 2016.

[38]        M. F. Bramlette, "Initialization, mutation and selection methods in genetic algorithms for function optimization," in Proceedings of the 4th International Conference on Genetic Algorithms, Morgan Kaufmann, San Mateo, 1991, pp. 100-107.

[39]        A. A. Mousa and I. M. El-Desoky, "GENLS: Co-evolutionary algorithm for nonlinear system of equations," Applied Mathematics and Computation, vol. 197, pp. 633–642, 2008. View at Google Scholar | View at Publisher

[40]        R. Hooke and T. A. Jeeves, "Direct search solution of numerical and statistical problems," Journal of the ACM (JACM), vol. 8, pp. 212-229, 1961. View at Google Scholar | View at Publisher

[41]        R. Zimmerman, C. Murillo-Sánchez, and D. Gan, MATPOWER: A matlab power system simulation package, 3.0.0. ed. Ithaca, NY: Cornell University: Power System Engineering Research Center (PSERC), School of Electrical Engineering, 2005.

[42]        M. A. Abido, "A novel multiobjective evolutionary algorithm for environmental/economic power dispatch," Electric Power Systems Research, vol. 65, pp. 71–81, 2003. View at Google Scholar | View at Publisher

[43]        M. A. Abido, "A niched Pareto genetic algorithm for multiobjective environmental/economic dispatch," International Journal of Electrical Power & Energy Systems, vol. 25, pp. 97–105, 2003. View at Google Scholar | View at Publisher

[44]        M. A. Abido, "Environmental/economic power dispatch using multiobjective evolutionary algorithms," IEEE Transactions on Power Systems, vol. 18, pp. 1529-1537, 2003. View at Google Scholar | View at Publisher

Views and opinions expressed in this article are the views and opinions of the author(s), Review of Information Engineering and Applications shall not be responsible or answerable for any loss, damage or liability etc. caused in relation to/arising out of the use of the content.