Index

Abstract

This paper presents four different models of 1x4 antenna arrays excited by quarter wave transformer and mitered bend feeding techniques. These four antennae were designed and developed to examine the various radiation performance characteristics. The Ansys HFSS tool was used to simulate the four antenna models over the frequency range (1-5GHz). The simulation results were compared to identify the optimized design model. Both types of 1X4 arrays with mitered bend feed network showed better results than quarter wave transformer and were resonating at 2.4, 3.6, 4.5 and 4.7 GHz frequencies with a maximum gain of 13.118dB. The proposed antennae are suitable for Wi-Fi, Long Term Evolution (LTE), Wireless Local Area Network (WLAN) and military communication applications. The optimized four 1x4 array models were fabricated and tested using Vector Network Analyzer E507C. The measured results had good matching with the numerical values of the simulation results.

Keywords: 1X4 array, Corporate series feed , Mitered bend feed, Quarter wave feed.

Received: 21 June 2022 / Revised: 29 August 2022 / Accepted: 14 September 2022 / Published: 30 September 2022

Contribution/ Originality

This work presents four 1x4 rectangular microstrip patch antenna array models using step cut and DGS techniques with a quarter wave transformer and mitered bend feed network. Also, it is evident from the open literature the work done on the Step Cut and DGS technique is limited.

1. INTRODUCTION

With the advancement of printed circuit technology a microstrip patch antenna is an attractive candidate because of its features such as low profile, compactness and flexible features, but do its narrowband characteristics, limited gain and frequency dependent nature pose a big challenge to many antenna researchers to design an antenna which meets different wireless application standards [1]? Several studies proved that the gain can be increased by considering array structures [2].  The feed network plays a major role in the designing of an array system. Maximum power can be transferred to the antenna when 50 ohm port impedance matches with the impedance of the feed line [3, 4]. A rectangular four element array with rectangular slots was designed for multiband characteristics and its design methodology using mitered bend feed networks was demonstrated [5]. A 2nd iteration two element Sierpinski fractal antenna with quarter wave feed network is presented for ISM band applications [6]. There are different feeding techniques like series feed technique and corporate feed technique employed by different researchers to increase the antenna gain [7]. The bandwidth of the antenna can be increased using slotting and defected ground structure techniques to increase the antenna’s performance as well as miniaturization. A rectangular patch antenna was demonstrated with different DGS shapes to observe a decrease in resonant frequency and improve the percentage of miniaturization [8]. The DGS slots were arranged as an array to reduce the mutual coupling between elements and an absorber was used to reduce the back lobe radiation, [9]. The slots on the patch or ground increase the electrical volume and enhance the radiation characteristics. The current distribution can be controlled between the elements by choosing proper corporate feeding network, which can direct the beam in the recommended direction. Impedance matching is one of the important factors to determine the performance of the antenna system. For high power applications, standing waves  caused by a mismatch of transmission lines are highly undesirable [2, 3]. The excess capacitance at the sharp bends of the feed system increases the reflection levels. To eliminate this, mitering is done by removing the corner area of the feed and bends are designed [10]. Different impedance matching networks were demonstrated including quarter wave feed [11]. Different corner bends were presented with their resonant behaviour compared with theoretical values. The dimensions of bending at the corners of mitered bend network were determined to be such that it could enhance the radiation characteristics [12].

2. DESIGN PROCESS OF PROPOSED ANTENNA

a. Antenna Geometry and Design Considerations

The proposed simple 1x4 array with DGS slots and mitered bend network is discussed in the following sections. The design methodologies for the four presented models are discussed in in depth with the necessary mathematical analysis. The design parameters of basic patch antenna are listed in Table 1.

Table 1. Antenna dimensions and parameters.
Parameter
Dimension in mm
Patch Length
38.036
Patch Width
29.1
Ground Length
290
Ground Width
114.688
Substrate Length
290
Substrate Width
114.688
Height of Substrate(h)
1.6
Notch gap (g)
0.6
Inset feed depth (y0)
9.044
Width of microstrip feed (Wf)
3.059

b. Design Considerations of Quarter Wave Feed

Corporate feeding is one of the most prominent techniques in micro strip antenna design. It is a flexible feed system that has more control on each patch, and is perfect for filtering staged exhibits and multi shaft clusters. This is done by utilizing the quarter wavelength impedance transmission technique. It is a simple and practical feed method for matching impedance. A complex load can easily be matched with the quarter wave transformer. Here, the microstrip elements are associated by utilizing the one-fourth of wavelength transmission technique. One of the main design drawbacks of this transformer is the requirement to have available a transmission line with an impedance of . In some cases, e.g., matching with coaxial cable, the required quarter wave transmission line calls for a nonstandard value of the characteristic impedance.

Figure 1. A single section quarter-wave matching transformer.

Figure 1 represents the circuit of a quarter wave transformer. A quarter wave transformer feed is an impedance matching circuit, especially for matching of actual load impedances.

c. Design Methodologies of Mitered Bend Network

Microstrip feed lines are broadly used due to their ease of integration with conventional printed circuit boards. For connected networks and other modules, including the antenna or a significant part of the antenna, it can be mounted on the same printed circuit board so that the antenna can be directly linked to the active components via microstrip feeds. The antenna feeding network can become quite complex, for example, if a dual polarized antenna or a balanced antenna must be connected to an unbalanced amplifier. Such feeding networks typically require several right-angled bends, which complicate the design of the feed network.

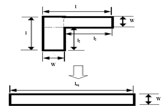
The area in the corners of the bend is removed in the process called ‘mitering’. It can compensate for the excess capacitance. The equivalent model for a mitered bend network is shown in Figure 2. The current distribution through a bend tends to concentrate along the inner edge as shown in Figure 2. The current distribution is not along the center line and is designed to make it deviate towards the shortest electrical path length.

2.1. Equivalent Length of a Mitered Bend

The electrical length of a microstrip right-handed bend can be calculated by its equivalent microstrip line with dimensions.

Figure 2. Dimensions of  equivalent length of  microstrip bend.

The electrical length of a right-angled microstrip bend may be determined by replacing the microstrip circuit containing the bend with a straight piece of microstrip transmission line having an equivalent length, see Figure 2.

In Figure 2, the dotted lines indicate the terminal planes of the right-angled bend.

The difference between terminal and reference planes is given by:

Figure 3. Dimensions of Mitered bend with (a) 900 bend (b) 450.

Figure 3 describes the antenna element with mitered bend with 900 and 450 respectively. A small capacitance added to make 900 degree bend in a transmission is known as "mitering". The bend will chop off some capacitance, restoring the line back to its original characteristic impedance. The above figure shows the important parameters of a mitered bend.

d. Optimized Microstrip Mitered Bend

The optimum dimensions for a mitered bend network are determined from the below mentioned equations related to for microstrip.

Douvillier and James [12] have defined the dimensions ‘X’ and ‘D’ of a mitered bend of a line width (W).

 Here W and H are width and height of the micro strip line.

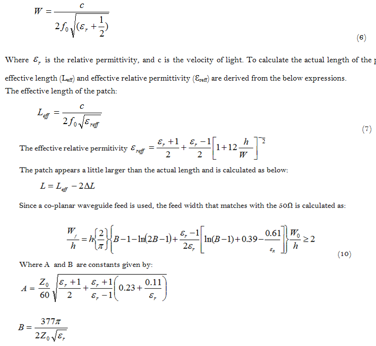
2.2. The Basic Patch Antenna is Designed by Considering the Following Equations

The width and length parameters of a basic rectangular patch antenna of dimensions 38.036mm x 29.1mm are calculated using the formulae given.

Width of patch antenna is determined as:

By considering the above feed analysis 1x4 array of step cut array and a simple 1x4 array with DGS are designed. Both array types are examined by employing two types of feed network as mentioned above. The design procedure is presented in following sections.

Figure 4. Simulation design of 4 element array antenna with step cut with quarter wave transformer.

Figure 5. Simulation design of 4 element array antenna with step cut with mitered bend feed.

Figure 6. Fabricated design of 4 element array antenna with step cut with quarter wave transformer.

Figure 7. Fabricated design of 4 element array antenna with step cut with mitered bend feed.

1x4 antenna array of dimensions 290mm x114.688mm x1.6mm with the 4 patch elements separated by 150mm was arranged linearly as shown in Figure 4. The substrate was FR4 with a dielectric constant of 4.4. The substrate and ground plane dimensions are given in Table 1. The rectangular patch was modified using a step cut with quarter wave transformer and mitered bend feed network as shown in the Figure 4 and Figure 5 respectively. Figure 6 illustrates 4 element array antennae with step cut with quarter wave transformer.  Figure 7 describes the prototypes of a 4 element array antenna with step cut with mitered bend feed.

2.3. Design Considerations for 1x4 Array Antenna with Step Cut

1x4 antenna array of dimensions 290mm x114.688mm x1.6mm with 4 patch elements separated by 150mm was arranged linearly as shown in Figure 4. The substrate is FR4 with a dielectric constant of 4.4. The substrate and ground plane dimensions are given in Table 1.The rectangular patch was modified using a step cut with quarter wave transformer and mitered bend feed network as shown in the Figure 4 and Figure 5 respectively. To increase the radiation edges, a step cut was made on the top left and bottom right corners of each patch. The step height was 1mm and the number of steps was 5.  Each patch was individually excited by a CPW feed arrangement. All these four patches were combined connected by using a corporate series feed. The width of the feed line was selected according to the analysis. The length and widths of patch at 50Ω, 70.7Ω, and 100Ω were calculated according to the Table 2 .

Table 2. Corporate feed dimensions.
Impedance (Ω)
Length(mm)
Width(mm)
50
15.46
3.059
70.7
16.246
1.654
100
30.92
0.709

Figure 8. Simulation design of 4 element array antenna with DGS and quarter wave transformer.

Figure 9. Simulation design of 4 element array antenna with DGS and mitered bend feed.

Figure 10. Fabricated design of 4 element array antenna with DGS and quarter wave transformer.

Figure 11. Fabricated design of 4 element array antenna with DGS and mitered bend feed.

2.4. Design considerations for 1x4 array antenna with DGS

1x4 antenna array with 4 patch elements each of dimensions 29.1mm x38.036mm x1.6mm were designed on the patch. The dimensions for ground plane and substrate were the same as step cut array. Eight-line slots were carved on the ground plane of dimension 2mm x10mm as shown in Figure 8 with quarter wave feed. The same model was also demonstrated using mitered bend feed as shown in Figure 9. The prototypes of these two antennae with quarter wave and mitered bend feed are shown in Figure 10 and Figure 11 respectively. The line slots on the ground reduced the mutual coupling between patch elements and increased the gain, bandwidth and return loss values.

3. RESULTS AND DISCUSSIONS

The simulation and experimental results are tabulated for all the four antenna array models in Table 3 . A comparison of their radiation parameters was done to analyze antenna performance.

a. Results of 4 Element Array Antenna with Step Cut

The simulated and measured return loss vs frequency plots for 4 element array antenna with step cut excited with quarter wave feed are shown in the Figure 14. The simulation results show two resonant frequencies reported at 2.6GHz and 4.3 GHz with minimum values of respective S11 dB reported as -22.762 dB and -16.468 dB, and the measured resonant frequencies are 2.54GHz and 4.22GHz with S11 values of -22.910dB and -24.132dB. The simulated and measured voltage standing wave ratio (VSWR) vs frequency plots are shown in Figure 15. The VSWR values were below 2 for these two resonating bands. The simulated and measured results of VSWR values were 1.156 at 2.6GHz, 1.353 at 4.3GHz and 1.163 at 2.54GHz and 1.194 at 4.22GHz respectively. The simulated 3D gain values were a maximum of 5.761dB and 5.806dB for quarter wave transformer feed with step cut 4 element array antennae shown in Figure 16. Figure 17 shows the simulated radiation pattern of a 4 element array antenna with step cut using quarter wave transformer feed. The same array, when excited with mitered bend, gives three resonating bands with resonating frequencies 2.6, 3.5 and 4.3 GHz with minimum values of return loss reported were -21.601, -25.096 and -10.587 dB respectively as the simulation results and the measured resonant frequencies were 2.54GHz, 3.43GHz and 4.26GHz with S11 values of -18.852dB,-18.301dB and -20.695 respectively. The simulated and measured VSWR vs frequency plots are shown in Figure 19. The VSWR values were below 2 for these two resonating bands. The simulated and measured results of VSWR values were 1.181 at 2.6GHz, 1.117 at 3.5GHz, 1.839 at 4.3GHz and 1.251 at 2.54GHz, 1.298 at 3.43GHz and 1.229 at 4.26GHz respectively. The simulated 3D gain values were a maximum of 8.670dB, 7.963dB and 6.215dB for mitered bend feed with step cut 4 element array antennae is shown in Figure 20. Figure 21 shows the simulated radiation pattern of a 4 element array antenna with step cut using mitered bend feed. The comparison of simulation results with its measured results are shown in Figure 14, 15, 18 and 19.

The experimental setup for measuring the antenna performance characteristics, such as the reflection coefficient and VSWR, of four elements of a patch antenna array using quarter wave and mitered bend feed network are shown for the two antenna models in Figure 12 and Figure 13

Figure 12. Measurement set up of 4 element array antenna with step cut and quarter wave transformer.

Figure 13. Measurement set up of 4 element array antenna with step cut and mitered bend feed.

Figure 14. Return loss Vs. Frequency plot of 4 element array antenna with step cut with quarter wave transformer.

Figure 15. VSWR Vs. Frequency plot of 4 element array antenna with step cut with quarter wave transformer.

Figure 16. 3D polar plot of 4 element array antenna with step cut using quarter wave transformer (a) 2.6GHz (b) 4.3GHz.

Figure 17. Simulated radiation pattern of 4 element array antenna with step cut using quarter wave transformer (a) 2.6GHz (b) 4.3GHz.

Figure 18. Return loss vs. Frequency plot of 4 element array antenna with step cut with mitered bend feed.

Figure 19. VSWR Vs. Frequency plot of 4 element array antenna with step cut with mitered bend feed.

Figure 20. 3D polar plot of 4 element array antenna with step cut using mitered bend feed (a) 2.6GHz (b) 3.5GHz (c) 4.3GHz.

Figure 21. Simulated radiation pattern of 4 element array antenna with step cut using mitered bend feed (a) 2.6GHz (b) 3.5GHz (c) 4.3GHz.

b. Results of 4 Element Array Antenna with DGS

Figure 22 and Figure 23 represent the experimental set up of a 4-element array antenna with DGS and quarter wave transformer and a 4-element array antenna with DGS and mitered bend feed network. The comparison of simulated and measured return loss vs. frequency, VSWR vs. frequency plots of 4 element array antenna with DGS excited with quarter wave feed are shown in the Figure 24 and Figure 25 respectively. The simulation results showed two resonant frequencies were reported at 2.4 and 4.5 GHz with minimum values of respective S11 dB reported as -17.132 dB and -26.253 dB, and the measured results showed two resonant frequencies reported 2.32GHz and 4.40GHz with minimum values respective S11 dB reported as -14.92dB and -26.99dB. The VSWR values were also acceptable and below two for the resonating bands. The simulated and measured results of VSWR values were 1.323 at 2.4GHz, 1.101 at 4.5GHz and 1.507 at 2.32GHz and 1.068 at 4.40GHz respectively. The simulated 3D gain values were a maximum of 8.725dB and 7.342dB for quarter wave transformer feed with DGS 4 element array antenna as shown in Figure 26. Figure 27 shows the simulated radiation pattern of a 4 element array antenna with DGS using quarter wave transformer feed.  The same array, when excited with mitered bend feed, the comparison of simulated and measured return loss and VSWR plots are shown in Figure 28 and Figure 29 respectively. The simulation plot showed four resonating bands obtained at resonating frequencies 2.4, 3.6, 4.5 and 4.7 GHz. The minimum values of return loss reported were -14.057, -10.392, -17.395, -13.976 dB and the measured results showed four resonating bands obtained at resonating frequencies 2.48, 3.56, 4.46 and 4.74 GHz with the minimum values of return loss reported were -15.507, -12.711, -25.259 and -25.356dB. The simulated 3D gain values were a maximum of 8.725 dB, 8.887dB, 13.118dB and 13.006dB for mitered bend feed with DGS shown in Figure 30. The measured resonating bands of the proposed 4 element array antenna with DGS and mitered bend feed   were (2.26-2.46GHz), (3.46-3.62 GHz), (4.35-4.58 GHz) and (4.63-4.86 GHz) suitable for LTE, Wi-Fi, WLAN and military communications.

Figure 22. Measurement set up of 4 element array antenna with DGS using quarter wave transformer.

Figure 23. Measurement set up of 4 element array antenna with DGS using mitered bend feed.

Figure 24. Return loss Vs. Frequency plot of 4 element array antenna with DGS quarter wave transformer.

Figure 25. VSWR Vs. Frequency plot of 4 element array antenna with DGS with quarter wave transformer.

Figure 26. 3D polar plot of 4 element array antenna with DGS using quarter wave transformer (a) 2.4GHz (b) 4.5GHz

Figure 27. Simulated radiation pattern of 4 element array antenna with DGS using quarter wave transformer (a) 2.4GHz (b) 4.5GHz.

Figure 28. Return loss Vs. Frequency plot of 4 element array antenna with DGS with mitered bend feed.

Figure 29. VSWR Vs. Frequency plot of 4 element array antenna with DGS with mitered bend feed.

Figure 30. 3D polar plot of 4 element array antenna with DGS using mitered bend feed (a) 2.4GHz(b) 3.6GHz (c) 4.5GHz (d) 4.7GHz.

Figure 31. Simulated radiation pattern of 4 element array antenna with DGS using mitered bend feed (a) 2.4GHz, (b) 3.6GHz (c) 4.5GHz, and (d) 4.7GHz.

Figure 31 shows the simulated radiation patterns of a 4-element array antenna with DGS using mitered bend feed at different frequencies. The different bands used in this antenna were 2.4GHz, 3.6GHz, 4.5GHz, and 4.7GHz. The different radiation patterns of these antenna are helpful in understanding the nature of the antenna.

Table 3. Simulation and measured results of different antenna arrays.
Array antenna Feeding technique
Freq (GHz)
Simulated
Measured
S11
VSWR
Gain in dB
Simulated
Measured
Bands (GHz)
BW
(MHz)
Bands (GHz)
BW
(MHz)
Simulated
Measured
Simulated
Measured
4 Ele. with step cut Quarter wave transformer
2.6
4.3
2.54
4.22
2.57-2.67
4.24-4.35
100
110
2.49-2.60
4.17-4.28
110
110
-22.76
-16.46
-22.91
-24.13
1.156
1.353
1.163
1.194
5.761
5.806
4 Ele. with step cut Metered bend feed
2.6
3.5
4.3
2.54
3.43
4.26
2.54-2.68
3.46-3.57
4.22-4.35
140
110
130
2.46-2.60
3.42-3.57
4.21-4.35
140
150
140
-21.60
-25.09
-10.58
-18.85
-18.30
-20.69
1.181
1.117
1.839
1.251
1.298
1.229
8.670
7.963
6.215
4 Ele. with DGS Quarter wave transformer
2.4
4.5
2.32
4.40
2.33-2.49
4.36-4.53
160
170
2.28-2.47
4.34-4.55
190
210
-17.13
-26.35
-14.92
-26.99
1.323
1.101
1.507
1.068
8.725
7.342
4 Ele. with DGS Metered bend feed
2.4
3.6
4.5
4.7
2.48
3.56
4.46
4.74
2.26-2.46
3.46-3.62
4.35-4.58
4.63-4.86
200
160
230
230
2.24-2.46
3.44-3.61
4.35-4.57
4.58-4.82
220
170
220
240
-14.05
-10.39
-17.39
-13.97
-15.50
-12.71
-25.25
-25.35
1.494
1.866
1.312
1.500
1.58
1.63
1.10
1.10
8.725
8.887
13.118
13.006

4. CONCLUSION

In this paper, four different 4 element antenna array models are presented with their simulation and measured results. The design considerations for quarter wave and mitered bend feeds are elaborated with its dimensions. Out of the four arrays models, a 4-element array antenna with DGS is proposed based on its operating bands and optimized gain value. The proposed antenna gives 4 resonating bands.  The measured bands were reported at 2.3 GHz suitable for LTE, 2.48GHz suitable for (8.2.11b/g/n/ax WLAN), 3.56 GHz suitable for (IEEE802.11) Wi-Fi and 4.46GHz for military communications.  The bandwidth at these reported bands is 220,170,220,240 GHz. The gain value is good for the proposed antenna with a value of 13.118dB.

Funding: This study received no specific financial support.  

Competing Interests: The authors declare that they have no competing interests.

Authors’ Contributions: All authors contributed equally to the conception and design of the study.

REFERENCES

[1]         D. Prabhakar, P. M. Rao, and M. Satyanarayana, "Design and performance of resonant spacing linear patch array with mitered bend feed network for wireless applications," Indian Journal of Science and Technology, vol. 10, pp. 1-12, 2017.

[2]         D. Prabhakar, P. M. Rao, and D. M. Satyanarayana, "Characteristics of Patch Antenna with Notch gap variation for Wi-Fi application," International Journal of Applied Engineering Research, vol. 11, pp. 5741-5746, 2016.

[3]         V. Midasala and P. Siddaiah, "Microstrip patch antenna array design to improve better gains," Procedia Computer Science, vol. 85, pp. 401-409, 2016.Available at: https://doi.org/10.1016/j.procs.2016.05.181.

[4]         M. Kaur and J. S. Sivia, "On the design of a F shaped microstrip Antenna Array using corporate feed network for X band applications," presented at the 2016 International Conference on Research Advances in Integrated Navigation Systems (RAINS), IEEE, 2016.

[5]         D. Prabhakar, P. Mallikarjuna, Rao, and M. Satyanarayana, "Design of rectangular patch antenna array with multiple slots by using mitered bend feed network for multi-band applications," presented at the 2016 International Conference on Electro Magnetic Interference & Compatibility (INCEMIC), IEEE, 2017., 2017.

[6]         D. Prabhakar, P. Mallikarjuna, Rao, and M. Satyanarayana, "Sierpinski carpet fractal antenna array using quarter-wave feed network for wireless applications," INCEMIC, pp. 445-453, 2018.Available at: https://doi.org/10.1007/978-981-10-4280-5_47.

[7]         R. K. Durga and P. N. Kavitha, "Design array antenna using different feeding technique in HFSS," presented at the 2020 International Conference for Emerging Technology (INCET), IEEE, 2020.

[8]         R. A. Pandhare, P. L. Zade, and M. P. Abegaonkar, "Miniaturized microstrip antenna array using defected ground structure with enhanced performance," Engineering Science and Technology, an International Journal, vol. 19, pp. 1360-1367, 2016.Available at: https://doi.org/10.1016/j.jestch.2016.03.007.

[9]         D. Gao, Z.-X. Cao, S.-D. Fu, X. Quan, and P. Chen, "A novel slot-array defected ground structure for decoupling microstrip antenna array," presented at the IEEE Transactions on Antennas and Propagation, 2020.

[10]       H. J. Visser, "Equivalent length design equations for right angled microstrip bends " presented at the The Second European Conference on Antennas and Propagation, EuCAP, 2007.

[11]       V. Zhurbenko, Passive microwave components and antennas: BoD–Books on Demand, 2010.

[12]       R. J. P. Douville and D. S. James, "Experimental characterization of microstrip bends and their frequency dependent behavior," presented at the 1973 IEEE Conference Digest, 1973.

Views and opinions expressed in this article are the views and opinions of the author(s), Review of Computer Engineering Research shall not be responsible or answerable for any loss, damage or liability etc. caused in relation to/arising out of the use of the content.