It is argued that while increase in budgetary allocation to social services is highly desirable, it is not sufficient to guarantee enhancement in better health outcome. This paper links public health expenditure, economic growth and health outcomes and the causality among them using Nigeria data. The finding suggests increase in public health expenditure has decreased infant mortality rate while infant mortality rate is negatively correlated with economic growth. Interestingly, the direction of causality among public health expenditure, infant mortality rate and growth is unidirectional, from public health expenditure to growth.
Keywords: Public health expenditure, Health outcomes, Economic growth, Infant mortality rate, Life expectancy, Real growth GDP, Causality
Received: 18 October 2018 / Revised: 22 November 2018 / Accepted: 31 December 2018/ Published: 4 February 2019
This is one of the few studies which have investigated public health expenditure, economic growth and health outcomes (infant mortality rate) in Nigeria.
Health undoubtedly is one of the most important factors that determine the quality of human capital, a necessary factor for economic growth. Therefore, any public expenditure on health can be viewed as a form of investment in the overall health status of a nation (Dang et al., 2016). A consensus of opinion have been formed among researchers recognizing health as a public good, the demand and supply of which cannot be left at the mercy of invisible hands or profit maximizing individual as well as on considerations of utility maximizing conduct alone. The recognition of the above led the World Health Organization (WHO) to propose at the 2010 World Health Assembly, issues that will address financing of health, which will ensure qualitative and affordable healthcare services. Riman and Akpan (2012) also alludes that the pattern of health financing is closely and indivisibly linked to the quality of health outcomes, capable of achieving the long term goal of enhancing nation’s economic development. Health care financing does not only involve how to raise sufficient resources to finance health care needs, but also on how to ensure affordability and accessibility of healthcare services, equity in access to medical services as well as guarantee financial risk protection. Carrin et al. (2007), Riman et al. (2010) demonstrated that how health systems are financed largely determines whether people can obtain needed health care and whether they suffer financial hardship at the instance of obtaining care.
As an evidence of commitment towards the restructuring of the health sector in its fiscal operation, the Nigeria government has taken responsibility of providing good healthcare facility by conducting expenditure on health. Available data indicates that on the average about 2.1% to 5.8% of total government expenditure were expended on health between 2000 and 2017 while The country’s public expenditure on health as a percentage of GDP is 4.1 percent against 4.6 percent African average and over 6.3 percent in developed countries (Olarinde and Bello, 2014). There are believe that increased public health expenditure would improve the health status that will translate into healthy human capital formation with its attendant multiplier effect on growth and development. Public health expenditure as a percentage of government expenditure has been fluctuating over the years. According to AFDB (2011); UNECA (2012); World Bank (2013b) it was 9.19%, in 2008 it was 7.63%, in 2009 it was 7.37%, in 2010 it fell to 5.72%, in 2011 it increased to 7.42%, in 2012 it remained almost constant at 7.43%, in 2013 it was 6.48, and in 2014 it was at 8.17%. As a percentage of GDP, from 2010 to 2014 it recorded 0.91%, 1.15%, 1.03%, 0.88%, 0.92% respectively; the highest value being recorded in 2011. The budgetary allocation for health in 2003 and 2004 represented 2% and 1.2% respectively, out of the total budgetary estimates for those years.
While increase in budgetary allocation to social services is highly desirable, it is not sufficient to guarantee enhancement in better health outcome. It could be argued that the system of health care financing in Nigeria is disproportionate, such that, it pushes the burden and risk of obtaining health services to the poor. With these efforts, Nigeria overall health status performance outcomes have not been encouraging. According to Yaqub et al. (2012) the country overall health performance was ranked 187th among the 191 Member States by the World Health Organization (WHO) in 2000. Available statistics from WB (2017) also reveal that although infant mortality fell from 140 in the 1970s to 87.8 and 80.4 per 1000 birth in 2008 and 2011respectively, the rate is still higher than the regional average for Sub Saharan Africa of 70.2 and 65.8 for 2008 and 2011 and 57.3 in 2010 for all developing countries. Life expectancy is only 49.8 years compared with 53.5 years for Sub Saharan Africa, 65.4 years for developing countries in 2007, while in 2011, the country only managed to achieve marginal improvement with value of 51.7. The maternal mortality ratio of 1,500 - 2,000 per 100,000 live births, perhaps is among the highest in the world.
From the above figures, we find that increased public health expenditure has a significant role to play in achieving better health outcomes. A basic question however is, does the level of growth attained by a country have a role to play?. Previous studies have examined the impact of health expenditure and health outcome, but the results are mixed and inconclusive, raising the importance to reassess them. Beside, indicators of health outcome adopted by studies have ignored infant mortality rate. The contribution of this study is that it links public health expenditure, economic growth and health outcome in Nigeria and examine the causality among them.
Over the years different scholars have researched on different areas that relates this study, some domestic and some foreign. In an attempt to establish whether government intervention in the health sector has resulted to better outcomes, Boachie et al. (2018) re-examines the relationship between public health expenditures and health outcomes in Ghana. The result suggests that, apart from income, public health expenditure contributed to the improvement of health outcome for the period covered by the study. In all, increasing public by 10 percent leads to 0.12 – 4.4 reduction in infant and under-five deaths while increasing life expectancy at birth by 0.77 – 47 days a year. The cost per childhood mortality prevented a result of improving public health spending ranged from US$0.20 – US$16 while the cost per extra life year gained is from US$7 to US$593. In a comparative analysis of the impact of health expenditure and economic growth between the economic community for central African states (CEMAC) and selected African countries, Piabuo and Tieguhong (2017) conclude that health expenditure is positively related with economic growth. It was found that an increase in health expenditure has the potency of improving economic growth by 0.4 and 0.3 units for the African and CEMAC countries respectively. Also a long-run relationship exists between public expenditure and economic growth. This is however achievable if the countries allocate at least 15 percent of their expenditure on health. Ahmad and Hasan (2016) analyzed the impact of public health expenditure and governance on health outcome in Malaysia using data from 1984-2009. The result based on Autoregressive Distributed Lag (ARDL) cointegration framework reveals that a stable, long-run relationship exists between health outcomes and public health expenditure and governance. The finding also suggests that public health expenditure and corruption affect long and short run health outcome.
Proving further empirical evidence on the impact of public health expenditure on health outcomes, Matthew et al. (2015) used data from Nigeria from 1979-2012 and found that public health spending has significant relationship with health outcomes. In view of this, it was recommended that should further improve expenditure on the health sector in order to reduce environmental hazards such as carbon dioxide emissions that negatively affect health condition of the citizens. With the provision of appropriate healthcare, a large population of the citizens could have better health care and thus improving human capital that could contribute to economic growth. But as argued by Wang (2015) recent economic down turns have caused dramatic reduction in health care spending by many countries, especially developing ones. Applying the experience of countries from OECD, he indicated that when the share of health expenditure is less than optimal level of 7.6 percent, increase in health expenditure leads to better economic performance but more spending does not guarantee better care. With alternative models, In conformity with existing studies, Sharma (2018) show that population health exert a positive and significant effect on both real income per capita and growth. This finding is however more robust because of the presence of long-term data, appropriate econometric procedure and alternate model specifications. In a study to test the direct and indirect (external) effects of health expenditures on economic growth, Kurt (2015) employed the Feder–Ram model to the Turkey economy between the 2006:M01- 2013:M10 period using seasonally adjusted and real monthly data. The results obtained from have indicated that in general, the direct impact of government health expenditures on economic growth is positive and significant and its indirect impact is negative. With the coefficient calculated for efficiency, it was argued that while there are no significant differences between the government expenditure on the health sector and other sectors, the health sector is slightly more efficient. It can be clearly deduced from the above that there is need to improve and further develop the health sector of the economy.
Baldacci (2004) explore the role of health expenditure in the growth process. He used a panel data for 120 developing countries form 1975-2000. With Prais-Winsten panel corrected standard error estimator, result had that health spending within a period of time affects growth within that same period while lagged health spending appear to have no effect on growth. It was inferred from the study that the direct effect of health expenditure on growth is a flow and not a stock effect. Murthy and Okunade (2001) used cross sectional data from African countries and used econometric model estimate that links real per capita health Expenditure to host of economic and non- economic factors. The empirical results indicate that real per capita health expenditure has positive and significant impact on economic growth. Doğan et al. (2014) studied the dynamics of health expenditure in OECD countries with panel ARDL approach. The result indicates that there is a strong correlation between some components of health such as young dependency ratio but the striking influence is that while young working population growth is increasing, expenditure decreases. Kim and Lane (2013) also used 17 OECD countries to empirically analyze the relationship between public health expenditure and national health outcomes and the policy implication of recent changes in healthcare policy in the United States. Two health outcome indicators, infant mortality rate and life expectancy at birth, were used as dependent variables. A significant association was found between government health expenditure and public health outcomes. Specifically, the findings showed a negative relationship between government health expenditure and infant mortality rate while positive relationship exist between government health expenditure and life expectancy at birth.
Erçelik (2018) examined the change in health spending in both private and public sectors in with regard to the effects of the output level in Turkey from 1980-2015 using investment. The result of bound test to co-integration indicates that there is significant relationship between them the variables in the long-run. Implied is that health and investment affect output level in a positive way which will make the productivity of the country to improve. It can be inferred that investment and total health expenditure have remarkable effects on economic growth.
In a study that examined the impact of public health spending and economic growth as well as the determinant of such spending in 10 selected developing countries, Hatasa (2016) used log-linear methodology and present outstanding finding that health spending has positive effect on several health indicators such as life expectancy and infant mortality rate among others, all of which transmit to economic growth. Nwanosike et al. (2015) investigated the progressive health spending and health outcome in Nigeria using the production function health model with macroeconomic variables from 1970-2013. The study observed that health expenditure is one of the major means the government can improve essential infrastructural services that can improve health outcome, especially the reduction of malaria incidence. This is in agreement with the submission of Haile and Niño-Zarazúa (2018) that there has been unprecedented attention to the promotion of human development through public spending in the social sectors towards accelerating economic growth and improved aggregate welfare. Examining the causal effect of government spending on health, education and social protection on human development Index, the Inequality‐adjusted human development Index and child mortality rates, using longitudinal data from 55 low‐income and middle‐income countries from 1990 to 2009, there was strong evidence to support the assertion that government social spending has played a significant role in improving aggregate welfare in the developing.
Philips (2016) used panel data estimation technique to affirm that over the past 40 years, life expectancy has improved and infant mortality declined continuously in all parts of the world, except sub-Saharan African in the 1990s. In the same vein Lustig (2006) used the Ordinary least squares (OLS) methodology, in the study on the direct relationship between health and growth in Mexico uses 1981 to 2016 data and uses life expectancy and mortality rates for different age groups as health indicators. He observed that health is responsible for approximately one-third of long-term economic growth. He considered health to be an asset with an intrinsic value as well as instrumental value. Good health according to him is a source of wellbeing and highly valued throughout the world. \ In a specific country study, Olaniyi and Adams (2000) examined the impact of public health expenditure on economic growth in Pakistan using ARDL co-integration approach, and found that health expenditure is positively related to economic growth in Pakistan. Similar methodology was applied by studies in other countries such as Alor et al. (2018) for Nigeria, Mehrara and Musai (2011; 2011b) for Iran with varying outcome, While Alor et al. (2018) found a co-integrating relationship between real GDP, health expenditure, capital stock, oil revenues and education, although among them health spending accounts for just a small part of economic growth, Mehrara and Musai (2011; 2011b) findings show strong unidirectional effect from GDP to health spending. There was no support to the preposition that health expenditure promotes long term growth.
Studies such as Ibe and Olulu-Briggs (2015) investigated the impact of public health expenditure on the economic growth of Nigeria and found that public health expenditure had positive impact on growth. Similar outcome was reached Barro (1990), Matthew and Adeboye (2015), Udeh and Karimo (2015) when they assert that there is a positive relationship between public health expenditure and economic growth. Although, Filmer and Pritchett (1999) also found that public spending and health outcome are tenuously related, it contended it would be a mirage except public health spending as percentage of GDP is improved from 3-6 percent. It is only that that health expenditure would improve child mortality. In support of this, by Aluko and Aigbedion (2017)contended that public health expenditure has the potency to fast track economic growth. This was aptly demonstrated using Nigeria’s using time series from 1995-2016 where the OLS regression result shows that there is a positive relationship between public health expenditure and economic growth in the long run. The Error Correction Model (ECM) result indicates that public health expenditure has short-run effect on economic growth.
Erdil and Yetkiner (2014) applied the Granger causality approach to panel data with fixed coefficients to determine the relationship between health expenditures and economic growth. The findings affirm that the dominant type of causality is bidirectional. Moreover, one-way causality patterns are not similar for different income groups. One-way causality generally runs from income to health in lower and middle-income countries, whereas the reverse holds for higher-income countries. Nwakanman and Ibe (2014) studied the link between public health expenditure and health outcome in Nigeria, employing OLS and Granger causality analysis, the result shows that there is a long-run positive relationship between public health expenditure and health outcome. Also, Kar et al. (2011) investigated the direction of causality between public health expenditure, infant mortality and economic growth in Turkey from 1981-2015. Based on linear and non-linear Granger causality analysis, it was found that there is bi-directional causality between public health expenditure and economic growth, and infant mortality and economic growth.
In this section, an attempt is made to explore the intrinsic relationship between public health expenditure, economic growth and health outcomes by applying specific models. The mechanism through which public health expenditure affects economic growth and health outcome is inscribed in the endogenous growth models. These models highlight the importance of human capital to economic growth. Accordingly, several studies have attempted to integrate exogenous with endogenous variables in explaining economic growth.
Buchanan (1965) developed a theoretical model encouraging public authorities to increase public spending on health, independent of demand. This theory showcase that inefficiency in the provision of health care should be observed not by lack or inadequate supply of health care services but by reduced quality.
The model developed in this study expresses the relationship between per public expenditure and infant mortality on one hand and economic growth and infant mortality on the other hand. It is generally observed that infant mortality rate is positively correlated with public expenditure and economic growth. However, the question guiding this study is how effective is public expenditure on health and economic growth in attaining better levels in infant mortality rate. Thus the following econometric relations will be estimated in this study.
Model1: The impact of public health expenditure on infant mortality.
INMR = β0 + β1HEXPt + β2ECGRt + β3LEXPt (1)
Model II: The impact of public health expenditure on economic growth.
ECGR = Ø + Ø1HEXPt + Ø2INMRt + Ø3LEXPt (2)
where ECGR: economic growth (proxied by real gross domestic product). HEXP: per capita public health expenditure, INMR: infant mortality rate (proxied by under-five mortality) level, LEXP: Life expectancy.
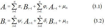
The study also adopted the Pairwise Granger Causality model to ascertain whether there is a degree of causation of one variable on the other. The essence of causality analysis, using the granger causality test, is to ascertain whether a causal relationship exists between two variables of interest. The Granger causality test assumes that the information relevant to the prediction of the respective variables, say A and B, is inherently contained in the time series data of the variables of interest. The test involves estimating the following pair of regression: \
The model assumed that the disturbances μt1and μt2are uncorrelated. The two equations developed by Granger is a case of bilateral causality with four possible outcomes. It can be unidirectional causality from B to A or from A to B. This is possible when the estimated coefficient of the lagged B is significant while that of lagged A is not significant for the former, while the reverse is the case when causality runs from A to B. Feedback or bilateral causality from A to B and from B to A at the same time. This is a case where both coefficients of lagged B and A in equations (3.1) and (3.2) are both significant. It can be a case of independence where there is no causation whatsoever, that is, the set of A and B coefficients are not statistically significant.
In line with the variables of interest, the Granger specification model is specified thus:
Table-1. Unit Root Test
Variables |
ADF Stat |
5% Critical Value |
Order of Integration |
U5MR |
-11.254 |
-3.54849 |
I(2) |
HEXP |
-4.28728 |
-3.58062 |
I(1) |
RGDP |
-4.69713 |
-3.54428 |
I(1) |
LEXP |
-4.06498 |
-3.58063 |
I(1) |
Source: Authors computation
From the result presented in Table 1, infant mortality rate is stationary at second difference; I (2) while health expenditure, economic growth and life expectancy are stationary at first difference I(I). Since the variables are of different order of integration, we need to ascertain whether they have a sustainable long run relationship or are stable over time. This is done using co integration and the results presented in Tables 2 and 3.
Table-2. Co-integration test result for Model 1
Variable |
ADF Statistics |
Critical value (5%) |
Residual term |
-6.7289 |
-2.9458 |
Source: Author’s computation using E-views
In Table 2, the ADF test statistics reported a result of -6.7289 which is greater than the critical value at 5% -2.9458 in absolute terms. This means that the series are stationary at level form. Thus, although all the series are individually non-stationary, their linear combination is stationary.
Table-3. Co-integration test result for Model 2
Variable |
ADF Statistics |
Critical value (5%) |
Residual term |
-5.4739 |
-3.5529 |
Source: Author’s computation
As observed in Table 3, the ADF test statistics reported a value of -5.4739 which is greater than the critical value at 5% (-3.5529) in absolute terms. This means that the series are stationary at level. Thus, although all the series are individually non-stationary, their linear combination is stationary. In summation, there is co-integrating relationship among variables, which implies a long-run relationship exist between the regressors and the regressand. This confirms that the original regression is not spurious.
Table-4. The Impact of public health expenditure on Infant Mortality
Variable |
Coefficient |
Std. Error |
t-Statistic |
Prob. |
HEXP |
-0.1128 |
0.0496 |
-2.2729 |
0.0299 |
LEXP |
1.1705 |
0.7135 |
1.6404 |
0.1107 |
ECGR |
-8.6301 |
2.35 |
-3.6725 |
0.0009 |
R-Squared |
0.7237 |
|||
Std. Error of Reg. |
10.9809 |
|||
F-Statistic |
96.7963 |
|||
Prob. F-Statistic |
0 |
|||
Durbin-Watson |
0.50575 |
|||
Source: Authors computation
In Table 4, the result reveals that public health expenditure has negative relationship with infant mortality rate. The coefficient of health expenditure of -0.1128 indicates that an increase in public health expenditure will on average decrease under 5 mortality level by bring about an 11 percent. Life expectancy rate has positive relationship with infant mortality rate. With estimated coefficient of is 1.1705, an increase in life expectancy will bring about 1.2 percentage increase in infant mortality rate. Also economic growth is negatively related with infant mortality rate, which implies that an increase in economic growth decreases infant mortality.
Table-5. The impact of public health expenditure on economic growth
Variable |
Coefficient |
Std. Error |
T-Statistic |
Prob. |
HEXP |
39.6255 |
342.0531 |
1.1584 |
0.255 |
INMR |
-46.6289 |
669.3271 |
-6.9665 |
0 |
LEXP |
10.4558 |
4433.321 |
2.3584 |
0.0244 |
R-Squared |
0.7921 |
|||
Std. error of Reg. |
71655.79 |
|||
F-Statistic |
91.0246 |
|||
Prob. F-Statistic |
0 |
|||
Durbin-Watson |
1.2776 |
|||
Source: Author’s computation
The result reported in Table 5 indicates that public health expenditure has positive relationship with economic growth. This implies that an increase in public health expenditure leads to corresponding increase in economic growth, which averaged about 39% in this case. Meanwhile, infant mortality rate has negative relationship with economic growth. The coefficient of -46.6288 implies that an increase in under 5 mortality rate will on average reduce in economic growth by bring about 46 percent. Life expectancy has positive influence on economic growth. Specifically, an increase in life expectancy fosters economic growth by about 10 percent.
Table-6. Causality test result
| Null Hypothesis Computed F value | Null Hypothesis Computed F value |
Null Hypothesis Computed F value (5%) |
| Infant mortality does not Granger cause public health expenditure. | 4.83679 |
0.0151 |
| Public health expenditure does not Granger cause infant mortality rate. | ||
12.3858 |
0.0001 |
|
| Economic growth does not Granger Cause public health expenditure. | 29.6994 |
8.0008 |
| Public health expenditure does not Granger Cause Economic growth. | ||
0.42464 |
0.5971 |
|
| Economic growth does not Granger Cause Under 5 mortality rate. | 58.8455 |
4. 0011 |
| Under 5 mortality rate does not Granger Cause Economic growth. | ||
4.4566 |
0.0202 |
Source: Authors computation
Evaluating the results in the table 6 based on the decision rule, we conclude that infant mortality does not granger cause public health expenditure and public health expenditure does not granger cause infant mortality. Therefore, there is no causality between infant mortality rate and public health expenditure. Also public health expenditure granger causes economic growth while Economic growth does not granger cause Public health expenditure. Therefore, there is a unidirectional causality from public health expenditure to economic growth. Economic growth does not granger cause infant mortality and infant mortality also does not granger cause economic growth. Therefore, there is no causality between economic growth and infant mortality. Hence the direction of causality among public health expenditure, infant mortality and economic growth in Nigeria is a unidirectional causality, from public health expenditure to economic growth.
This research investigated the causality linkages among public health expenditure, infant mortality rate and economic growth in Nigeria, using data running from 1981-2017. The classical linear regression technique was used to carry out the aforementioned investigation. Finding suggests that public health expenditure has negative relationship with infant mortality rate while infant mortality rate is negatively correlated with economic growth. The results of the causality analysis indicate that public health expenditure Granger causes economic growth. Similarly, infant mortality rate does not granger cause public health expenditure, Also, economic growth does not granger cause infant mortality rates. Hence the direction of causality among public health expenditure, infant mortality rate and economic growth in Nigeria is unidirectional causality, from public health expenditure to economic growth.
Arising from the above findings, it is imperative to instill fiscal discipline in health sector spending in Nigeria to ensure that funds allocated to the health sector are efficiently utilized and monitored.
| Funding: This study received no specific financial support. |
| Competing Interests: The authors declare that they have no competing interests. |
| Contributors/Acknowledgement: Both authors contributed equally to the conception and design of the study. |
AFDB, 2011. Africa Economic Outlook 2011. African Development Bank Annual Report.
Ahmad, R. and J. Hasan, 2016. Public health expenditure, governance and health outcomes in Malaysia. Malaysia Economic Journal, 50(1): 29-40.
Alor, U.S., J.B. Obayori and O. Onuchkwu, 2018. Health care expenditure and economic growth in Nigeria. International Journal of Research and Innovation in Social Science, 2(3): 1- 33.
Aluko, O.O. and I.M. Aigbedion, 2017. Public health expenditure and economic growth in Nigeria: An error correction model. Journal of Economics, Management and Trade, 21(6): 1-11. Available at: https://doi.org/10.9734/jemt/2018/37345.
Baldacci, E.M., 2004. Health expenditure in developing countries. European Journal of Health Economy, 20(3): 517-549.
Barro, R.J., 1990. Economic growth in a cross section of countries. The Quarterly Journal of Economics, 106(2): 407-443.
Boachie, M.K., K. Ramu and T. Polanjeva, 2018. Public health expenditures and health outcomes. Economics, 6(4): 58. Available at: https://doi.org/10.3390/economies6040058.
Buchanan, J.M., 1965. The inconsistencies of the national health services. London, USA: Institute of Economic Affairs.
Carrin, G., D. Evans and K. Xu, 2007. Designing health financing policy towards universal coverage. Bulletin of World Health Organization, 85(9): 100-120.
Dang, A., N. Likhar and U. Alok, 2016. Importance of economic evaluation in health care: An Indian perspective. Value in Health Regional Issues, 9(1): 78-83. Available at: https://doi.org/10.1016/j.vhri.2015.11.005.
Doğan, İ., N.S. Tülüce and A. Doğan, 2014. Dynamics of health expenditures in OECD countries: Panel ARDL approach. Theoretical Economics Letters, 4(08): 649-655. Available at: https://doi.org/10.4236/tel.2014.48082.
Erçelik, G., 2018. The relationship between health expenditure and economic growth in Turkey from 1980 to 2015. Journal of Politics, 1(1): 1-8.
Erdil, E. and I.H. Yetkiner, 2014. The granger-causality between health care expenditure and output: A panel data approach. Applied Economics, 41(4): 511-518. Available at: https://doi.org/10.1080/00036840601019083.
Filmer, D. and L. Pritchett, 1999. The impact of public spending on health: Does money matter. Social Science and Medecine, 49(10): 1309 - 1323. Available at: https://doi.org/10.1016/s0277-9536(99)00150-1.
Haile, F. and M. Niño-Zarazúa, 2018. Does social spending improve welfare in low-income and middle-income countries? Journal of International Development, 30(3): 367-398. Available at: https://doi.org/10.1002/jid.3326.
Hatasa, N., 2016. Public health spending and health outcomes. International Journal of Public Health, 50(38): 164-170.
Ibe, R.C. and O.V. Olulu-Briggs, 2015. Any nexus between public health expenditure and economic growth in nigeria? Iiard international journal of banking and finance research. 1(8): 3 – 11.
Kar, M., Ş. Nazlıoğlu and H. Ağır, 2011. Financial development and economic growth nexus in the MENA countries: Bootstrap panel granger causality analysis. Economic Modelling, 28(1-2): 685-693. Available at: https://doi.org/10.1016/j.econmod.2010.05.015.
Kim, T.K. and S.R. Lane, 2013. Government health expenditure and public health outcomes: A comparative study among 17 countries and implications for US health care reform. American International Journal of Contemporary Research, 3(9): 8-13.
Kurt, S., 2015. Government health expenditures and economic growth: A Feder-Ram approach for the case of Turkey. International Journal of Economics and Financial Issues, 5(2): 441-447.
Lustig, N., 2006. Investing in health for economic development: The case of Mexico, WIDER Research Paper, No. 2006/30, The United Nations University World Institute for Development Economics Research (UNU-WIDER), Helsinki. Available from: http://hdl.handle.net/10419/63484 .
Matthew, J.O. and G.J. Adeboye, 2015. Analysis of the growth impact of health expenditure in Nigeria. IOSR Journal of Economics and Finance, 3(1): 77-84. Available at: https://doi.org/10.9790/5933-03117784.
Matthew, O.A., F.B. Adegboye and F.F. Fasina, 2015. Public health expenditure and health outcomes in Nigeria. International Journal of Financial Economics, 4(1): 45-45.
Mehrara, M. and M. Musai, 2011. The causality between health expenditure and economic growth in Iran. International Journal of Economic Research, 2(4): 13-19.
Mehrara, M. and M. Musai, 2011b. Health expenditure and economic growth: An ARDL approach for the case of Iran. Journal of Economics and Behavioral Studies, 3(4): 249-256.
Murthy, V. and A. Okunade, 2001. The core determinants of health expenditure in the African context: Some econometric evidence for policy. Journal of Health Policy, 91: 57-62. Available at: https://doi.org/10.1016/j.healthpol.2008.10.001.
Nwakanman, O.T. and K.C. Ibe, 2014. Health expenditure and health outcomes in Nigeria. Journal of Health Economics, 5(5): 96-112. Available at: https://doi.org/10.11648/j.ajbls.20170505.13.
Nwanosike, D.U., A. Orji, J.C. Okafor and S. Umesiobi, 2015. Progressive health spending and health outcomes in Nigeria: The case of Malaria. International Journal of Academic Research in Business and Social Sciences, 5(12): 1-12. Available at: https://doi.org/10.6007/ijarbss/v5-i12/1924.
Olaniyi, O.O. and A.A. Adams, 2000. Government health expenditures and health outcomes. Journal of Health Economics, 16(5): 257-273.
Olarinde, M. and O.A.A. Bello, 2014. Public healthcare expenditure and health sector performance in Nigeria: Implications for sustainable economic development. IOSR Journal of Economics and Finance, 4(3): 39-55. Available at: https://doi.org/10.9790/5933-0433955.
Philips, E.T., 2016. Economic growth and health. Applied Economics, 5(3): 47-53.
Piabuo, S. and J.C. Tieguhong, 2017. Health expenditure and economic growth-a review of the literature and an analysis between the economic community for central African states (CEMAC) and selected African countries. Health Economic Review, 7(23): 10-25.
Riman, H. and E. Akpan, 2012. Healthcare financing and health outcomes in Nigeria: A state level study using multivariate analysis. International Journal of Humanities and Social Science, 2(15): 296-309.
Riman, H.B., J.U. Bassey and B.E. Edu, 2010. Healthcare expenditure in Nigeria; does the level of government spending really matters? Available from SSRN: http://ssrn.com/abstract=1540279 .
Sharma, R., 2018. Health and economic growth: Evidence from dynamic panel data of 143 years. PloS one, 13(10): e0204940. Available at: 10,137/journal.pone.0204940.
Udeh, O.M. and A.C. Karimo, 2015. Measuring the impact of public expenditure on economic growth in Nigeria. Journal of Social Science Studies, 2(2): 46 Available at: https://doi.org/10.5296/jsss.v2i2.5626.
UNECA, 2012. Economic transformation for Africa’s development. United Nations Economic Commission for Africa, macroeconomic policy division, C-10 Meeting April, Washington D, C.
Wang, F., 2015. More health expenditure, better economic performance? Empirical evidence from OECD countries. INQUIRY: The Journal of Health Care Organization, Provision, and Financing, 52: 0046958015602666. Available at: https://doi.org/10.1177/0046958015602666
WB, 2017. World development indicators. Available at: https://data.worldbank.org/products/wdi.
World Bank, 2013b. World development indicators databank. Available from http://data.worldbank.org/indicator/SH.XPD.PUB [Accessed December 8 2018].
Yaqub, J., T. Ojapinwa and R. Yussuff, 2012. Public health expenditure and health outcome in Nigeria: The impact of governance. European Scientific Journal, 8(13): 189 – 201.
Views and opinions expressed in this article are the views and opinions of the author(s), International Journal of Public Policy and Administration Research shall not be responsible or answerable for any loss, damage or liability etc. caused in relation to/arising out of the use of the content. |