Index

Abstract

The term corruption is a multidimensional phenomenon that encompasses abuse of power, misappropriation of public resources, fraud, bribes, collusion, and other rent-seeking activities undertaken for private gain, monetary and non-monetary. Applying a logit model to a survey of 100 individuals and 50 small-to-medium-sized private firms, this study investigates the causes, dissemination channels, and consequences of corruption in Zimbabwe for the period 1998 to 2018. Opportunity perceptions, political instability, weak public institutions, excessive market regulations, red tape, cultural tolerance, competition, poverty, risk capital, business uncertainties, high taxation rates, the existence of a shadow economy, and the level of education were found to be the main causes of corruption. The channels of its dissemination are primarily the monetary and fiscal policies that implement macro-controls. This study therefore recommends the adoption of policies that reduce excessive market regulations for private exchanges, ensure the rule of law, restore macroeconomic stability, enhance regulatory quality and efficiency, develop robust and transparent public institutions, and minimize the discretionary powers of bureaucrats and politicians. Furthermore, to improve accountability, Zimbabwe should implement policies that ensure the forfeiture and repatriation of the proceeds of corruption, early detection of corruption, and prosecution of perpetrators, without fear or favor. Finally, severe penalties should be imposed on all cases of corruption, regardless of how petty, as preventive and deterrent measures.  

Keywords: Corruption, Rent-seeking, Dissemination, Logit regression, Zimbabwe

JEL Classification: A1; B41; F23.

Received: 18 March 2019 / Revised: 24 April 2019 / Accepted: 13 June 2019/ Published: 6 August 2019

Contribution/ Originality

This study contributes to the existing literature on the causes and consequences of corruption in Zimbabwe. Unlike similar studies that rely on cross sectional surveys, this study pioneers the application of binary choice models, in the form of the logit regression model, to examine the causes and dissemination channels of corruption.


1. INTRODUCTION AND BACKGROUND

Corruption defies easy definition and categorization owing to its multifarious nature and deep-rooted political and socioeconomic relationships that are directly responsible for its existence, consequences, and dissemination; such complexity leads to a lack of consensus in characterizing corruption. As with the difficulty of categorizing the African spotted hyena   as part of the dog or cat family, it is usually not difficult to identify corruption when it appears. Corruption occurs where rent-seeking activities, such as bribery, theft, fraud, and other subtle practices, including nepotism, underinvoicing of exports, transfer pricing, tax evasion, barriers to market entry, and exercising improper discretion, are pursued. Corruption can be perceived as the willful abuse or misuse of public office or public property for personal gain. Corruption exists when formal rules and regulations are overtly, or covertly, manipulated for pecuniary motives or other considerations that frustrate good public intentions: whenever an agent acts other than how their duty demands in return for some private benefit, corruption occurs.  This suggests that corruption flourishes in an economy where there is systemic symbiosis between parties willing to offer and accept bribes. Such a complex definition of corruption means identifying and subsequently managing it is a key challenge in developing economies. Although most of the empirical literature regards corruption as mainly perpetrated by those holding public office—hence, the use of terms such as “public interest” and “public office”—this paper argues that it is also committed by persons in private office (i.e., the private sector) who are likely to have sufficient resources. Moreover, in many developing economies, those in private office are often subject to less scrutiny than those in public office.  

The scourge of corruption that wrecked most developing economies was anathema to Zimbabwe throughout most of the first decade of its independence. Like most newly independent colonies, Zimbabwe inherited from its former imperial masters weak governing bodies that then became fertile ground for corruption. It can thus be argued that the growth of bureaucratic and political corruption in Zimbabwe is a direct consequence of the poorly developed and inappropriate institutions handed over by their colonial rulers. The rapid growth in large-scale corruption from the late 1990s onwards was also greatly aided by the institutional arrangements established post independence, which created distributive and allocative inefficiencies throughout the wider economy. Political corruption was further encouraged by the failure to separate the executive and judicial powers from the anticorruption enforcement agencies.

Owing to the close link between politics and corruption, policymakers have often found it difficult in recent years to commit to ethical and reasonable macro-policies that can eradicate corruption in Zimbabwe. In many instances, some corrupt government officials willfully introduce market regulations and macro-controls that delay the issuing of such documents as business permits, trade licenses, and other trading documents unless some incentive is offered.  Bureaucrats have also deliberately created obstructions in supply and financial intermediation as bargaining tools, extorting more bribes from consumers seeking publicly provided services and goods. Since independence, Zimbabwe has been highly regulated, with politicians and bureaucrats deeply involved in most private exchange markets, which has often led to illegal activities such as smuggling, transfer pricing, externalization of money, bribery, as well as those that have directly affected domestic investment decisions and economic growth. Despite such institutions as the Anti-Corruption Commission and the judiciary and police possessing the technical and human capacity to fight corruption, policymakers have paid insufficient attention to other behavioral aspects of corruption, of which the corrosive consequences on the political system, domestic investment decisions, and economic growth and development in Zimbabwe have become a huge concern to both researchers and policymakers in Zimbabwe. An archetypical characteristic of existing empirical studies on corrupt behavior in most developing countries is that the evidence is mainly regional and cross-country (see Dridi, 2013; Faruq and Webb, 2013; Ben et al., 2016). There is little literature on the causes of, consequences of, and even effective methods to eradicate corruption at national level; however, multinational firms, civil society, and policymakers may be more interested in information about national-level corruption. While researchers generally agree that corruption is destructive through exacerbating poverty, restricting the input from foreign direct investment (FDI), and stimulating the unequal distribution of income and wealth, few have conducted studies recently on corruption in Zimbabwe. According to Transparency International (2018), though, the country is one of the most corrupt countries, outside war zones, in the Sub-Saharan region.

This study is significant for a number of reasons. Corruption hinders economic growth by adversely affecting the quantity, quality, and efficiency of investment decisions, as well as diverting national funds and domestic savings from productive public expenditure to activities with far lower multiplier effects on the wider economy. This disruption of national investment through overinflated public expenditure excludes firms from the capital and financial markets: to extract more pecuniary benefits from public expenditure, corrupt bureaucrats and politicians not only overinflate national budgets and invoice prices but also grant allocative priority to public investments that produce higher private material gains. Corruption increases firms’ production and other business costs, reduces their competitiveness in international markets, and weakens those aspects of absorptive capacity that attract domestic investment.

Thus, corruption distorts competitive behavior and fair market structures, causing a deadweight loss to the economy. Moreover, negatively affects the critical drivers of economic growth and development, such as domestic investment, a stable macroeconomic environment, human capital development, and total factor productivity. In addition, corruption results in talent turning to rent-seeking activities, which interferes with sectoral priorities in allocating public resources and choice of technology within firms. To evade high taxation, corruption can force firms to go underground and operate in the shadow economy, where returns on investments are higher and opportunities for rent-seeking activities are less costly; however, the loss of taxation revenue undermines the government’s ability to provide essential public infrastructure, such as roads, railways, and energy networks. Furthermore, diverting public funds to unproductive expenditure in districts and provinces reduces the effectiveness of public investment considerably, as is the economic growth rate and development of the country.

In many cases, corrupt officials steer approval toward particular domestic or foreign projects in exchange for bribes, which imposes additional costs on the economy. When responsible for investment, they can also direct the approval of national projects in favor of certain undeserving firms or foreign firms, which leads to additional costs on the government budget by reducing the long-term returns from existing and potential public infrastructure. Ineffective public investment is also likely to offset efforts by domestic firms to improve the efficiency of input factors. The relative tax burden imposed on large firms can be distorted by corruption as well, with bribery ensuring tax officials lower tax bills, but which culminates in honest taxpayers incurring higher welfare costs. Furthermore, corruption undermines innovative entrepreneurs, who often require government licenses and permits, for which the demand is inelastic. The harmful effects of corruption are particularly felt by poor consumers, who are unable to pay the extra costs associated with bribery, theft, nepotism, fraud, and other misappropriations. Finally, perceptions of pervasive corruption and ineffectual regulations does weaken social capital, civil society, and trust in the state, the last of which diminishes respect for government officials and results in poor economic performance. In extreme cases, as in Zimbabwe, corruption can actually lead to the questioning of the state’s legitimacy, endangering sociopolitical and macroeconomic stability. Whereas excessive government regulation and other administrative red tape create barriers to market entry and exit, and can become disproportionate, bureaucrats tend to introduce more regulations and controls to create and maintain a business environment in which more rent-seeking activities are possible. This is potentially a vicious cycle: an increasing amount of market regulation and macro-control accompanied by growing rate of corruption. This study is structured as follows: it starts with the literature review (Sections 2 and 3), followed by the conceptual framework (Section 4); the findings are then discussed (Sections 5–7), before the conclusions and recommendations are presented (Section 8).

2. THEORETICAL LITERATURE REVIEW

At least two key theories of corruption exist in the theoretical literature: the Institutional and Public Choice theories. The Institutional theory focuses mainly on weak institutional structures, processes, and capacities of states as likely causes of corruption. The theory is grounded in political economy, the allocation of power and resources to different institutions by the state, suggesting those institutions that enforce economic regulations and controls are weak and prone to corrupt proclivities. It is assumed that politicians and bureaucrats are extremely self-seeking and maximize the rent-seeking activities within their institutions, and Institutional theory posits that ineffective institutions could the ruling party’s intention to seize and dominate the state and other government bodies. Hence, from an institutional perspective, corruption occurs when public officials are granted extensive power with little accountability and state institutions cannot protect private property and contractual rights. As the trust and respect for these institutions declines, corruption spreads, further weakening those institutions. The Public Choice theory explains the existence of corruption due to the individual: a corrupt individual makes a bounded rational decision that leads to a predetermined outcome, such as maximizing personal advantage. Central to this theory is that the corrupt official willingly becomes corrupt when they perceive the potential benefits exceed the potential costs: if the benefits minus the probability of being caught, multiplied by the penalties, are greater than the benefits of not being caught, then an individual will undoubtedly choose to be corrupt. The theory further suggests that when the state cannot be trusted to manage transfers of private property judicially and support anticorruption agencies legally mandated to hold those who arbitrarily seize private property accountable, then corrupt behavior is likely to become more attractive. This scenario illustrates how rational choice can be combined with game theory, or the prisoner’s dilemma, in analyzing the choices of briber and bribee; in other words, choice is bound by both the decision-making capacity of the individual and the surrounding political, economic, and cultural rules.

The main strength of the Public Choice theory is its focus on the specific circumstances in which a corrupt official calculates the pros and cons of engaging in corruption, instead of looking for general determinants, since the costs of corruption are higher if the chance of being caught and suffering steep penalties are high, and vice versa. The theory is thus practical, enabling the development of a comprehensive system to detect, control, monitor, and prevent corruption through increased surveillance procedures, intensive information gathering, audited systems and controls, and vigorous enforcement of criminal sanctions.

Alternative theories, such as redistributive corruption, extractive corruption, organizational culture corruption, bureaucratic corruption, political corruption, and “The Bad Apple,” have also been discussed extensively elsewhere in  empirical literature. Redistributive corruption is concerned with government shortcomings in redistributing scarce resources through society, leading to income inequality and thus corruption. Extractive corruption posits that as the state is all-powerful, bureaucrats, aided by a plethora of regulations and macro-controls, are able to abuse their power and extract personal benefits. Political corruption occurs where people who hold top political postions in ruling parties and in government abuse there power by relying on their positions. Organizational culture suggests that the values, norms, and morals of the citizens represent the interests of society; hence, society’s feelings about and attitudes toward corruption are likely to influence its citizens’ behavior and whether they will offer and accept bribes or abide by the law. “The Bad Apple” perceives corruption as caused by one bad person within an organization, whose corrupt behavior then spreads to fellow employees in the same organization, or even others in the same sector or industry.  Bureacratic corruption occurs where government officials responsible for economic and social regulations introduce uncessary regulations and controls in the economy in order to extract some corruption rentals. All these theories of have intrinsic features in specific scenarios, meaning it is an enormous challenge to generalize from them.

3. EMPIRICAL LITERATURE REVIEW

Early protagonists of the greasing hypothesis of corruption, Leff (1964) and Huntington (1968) reported that under excessive regulation and red tape, corruption could be seen as a solution to inefficiency by greasing the wheels of bureaucracy. They argued that corruption permits economic agents to circumvent bureaucratic red tape and market regulations, and in the process, encourage trade, investment, and economic efficiency. McMullan (1961) summarized several evils related to corruption: inefficiency, injustice, political instability, citizens’ mistrust of their government, repressive measures, waste of public resources, and the limitations of government policy. Muzurura (2018) observed that corruption in Zimbabwe, however, has a sanding effect on domestic investment and economic growth by redirecting resources toward unproductive activities. Godinez and Liu (2015) reported that corruption distorts competition among private firms as well as fair market structures; corruption represents a convenient way to avoid market controls and influence policies to one’s own advantage (Pinotti, 2012; Fungáčová et al., 2015). Dridi (2013) also showed that corruption destroys fair competitive mechanisms and creates inequality. Furthermore, it reduces firms’ competiveness in international markets, obstructing technology diffusion with foreign firms (Paunov, 2016). In addition, studies by both Aghion et al. (2016) and Murphy (2010) demonstrated that a high level of corruption increases production and other business costs, thus acting as a deterrent to new long-term investment in developing economies. Corruption similarly curtails FDI and its associated benefits, such as technological progress and the competitiveness of domestic firms (Méon and Weill, 2010; O'Toole and Tarp, 2014).

In general, corruption causes a deadweight loss to both private firms and consumers, which results in low domestic investment and economic growth (Churchill et al., 2013). Similarly, it has been shown that high levels of corruption are associated with low investment levels, because it acts as a tax on domestic investment (Mauro, 1995; Holcombe and Boudreaux, 2015; Aghion et al., 2016) in fact, Ben et al. (2016) indicated that corruption acts as an inefficient tax system for firms. Olken and Pande (2012) have found that more regulations and the greater discretion exercised by public officials impose a higher burden on firms, enable further corruption, and provide a bigger incentive for firms to move into the shadow economy. Moreover, Andrews and Cingano (2014) stated that corruption is widespread in less-developed economies with weak institutions of governance.

In highly corrupt and aid-dependent countries, there may be little incentive to mobilize domestic revenues, particularly when using a taxation system that is considered efficient (Benedek et al., 2014; Aghion et al., 2016; Gaspar et al., 2016). However, corruption inhibits development to an even greater extent than taxation (Koczan and Plekhanov, 2013). Corruption also affects the allocation of human capital, as it produces more profitable returns from rent-seeking than productive activities (Bazzi et al., 2013) therefore, in developing economies, it interferes with efficient resource allocation and rewards unproductive behavior by granting undeserved contracts to incompetent firms (Muzurura, 2018). Muzurura (2016) had earlier reported that corruption in Zimbabwe presents a major administrative and financial burden on private firms, while its ineffective financial market regulations offer opportunities for both public and private citizens to solicit bribes. Koczan and Plekhanov (2013) did observe that the marginal effect of reducing the impact of institutions on corruption is higher in those countries with stronger institutions. Moreover, according to Godinez and Liu (2015) a firm’s decision to invest in overseas depends on a favorable investment climate, including the absence of widespread corruption. Benedek et al. (2014) agreed that greater trade openness and lower corruption also means better economic welfare. Likewise, Heywood and Rose (2014) stated thata stable political and economic environment, absence of corruption, observance of the law, and sound infrastructures create more suitable conditions for FDI input and economic growth. Mendoza et al. (2015) investigated a cross section of Philippine firms using panel data analysis and demonstrated that corruption had a positive effect on the increase in sales as well as profitability. Similarly, Vial and Hanoteau (2010) established that corruption in Indonesia had a positive impact on labor productivity and firm-level output in manufacturing. However, Nguyen and Van Dijk (2012) provided evidence that corruption had a significant negative effect on growth in Vietnamese private sector firms. Analyzing World Bank survey data for 10457 private firms in 30 Sub-Saharan African countries over the period 2009 to 2013, Pelizzo et al. (2016) reported that the overall propensity to pay bribes depends on both the firm size and the predictability of the regulatory environment.

Corruption due to poor-quality bureaucracy has significant negative effects on firms’ efficiency and productivity growth (Faruq and Webb, 2013; Estrin et al., 2016). According to Athanasouli et al. (2012), in a corrupt equilibrium, low-performing and poorly managed firms are likely to outcompete high-performing and well-managed ones. In addition, corruption generates substantial inefficiencies, because established firms are favored over new enterprises, thereby lowering the growth of domestic investment (Muzurura, 2017). In fact, managers in Central and Eastern Europe spend less time on investment decisions to deal with corrupt solicitations (Athanasouli et al., 2012). Seker and Yang (2014) also suggested that such solicitations introduce enormous uncertainty into business investment decisions.

According to Paunov (2016) diverting or directing resources from the most to least productive activities determines the level of efficiency with which production factors are allocated among firms in a given sector. Meanwhile, Achury et al. (2015) observed that in highly corrupt countries with excessive public debt, it is possible to become trapped in a vicious circle of corruption leading to both debt and financial crises. In conclusion, corruption damages competition by weakening those regulations and antitrust enforcement measures that are intended to correct shortcomings in the market (Randall and Christopher, 2015) as well as creating barriers to market entry or imposing other restrictions to preserve the privileges of established firms (Williams and Martinez-Perez, 2016).

4. CONCEPTUAL FRAMEWORK

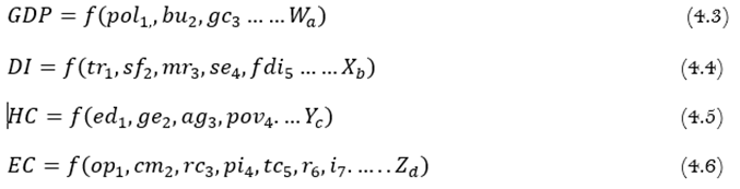
This study departs from the decomposition methodologies and ordinary least squares (OLS) models popularized by many researchers investigating the causes, consequences, and dissemination channels of corruption in some developing countries (see Mauro, 1995); instead, binary choice models are employed.  The model for corruption can be expressed initially as a functional equation (Equation 4.1 ):

C depicts corruption as a function of the independent factor (Y).  Based on the literature, the elements of vector Y are grouped into four major variables: economic growth (GDP), human capital (HC), domestic investment (DI), and the entrepreneurial ecosystem (EC); hence, Equation 4.2:

GDP includes several factors, such as political instability (pol), business uncertainty (bu) and GDP per capita (gc) (Mauro, 1995; Koczan and Plekhanov, 2013; Wiseman, 2016; Williams et al., 2016; Muzurura, 2018). DI incorporates such factors as tax rates (tr), size of firm (sf), market regulations (mr), shadow economy (se), and foreign direct investment (fdi) (Benedek et al., 2014; Aghion et al., 2016; Gaspar et al., 2016). HC encompasses education (ed), gender (ge), age (ag), and levels of poverty (pov) (Dridi, 2013; Muzurura, 2017). EC comprises opportunity perception (op), competition (cm), risk capital (rc), cultural tolerance (ct), public institutions (pi), red tape (r) and innovation (i) (Koczan and Plekhanov, 2013; Godinez and Liu, 2015; Dutta and Sobel, 2016; Estrin et al., 2016; Muzurura, 2018). Therefore, Equation 4.2 can be written as:

Equations 4.3-4.6 can be expressed as a single equation (Equation 4.7):

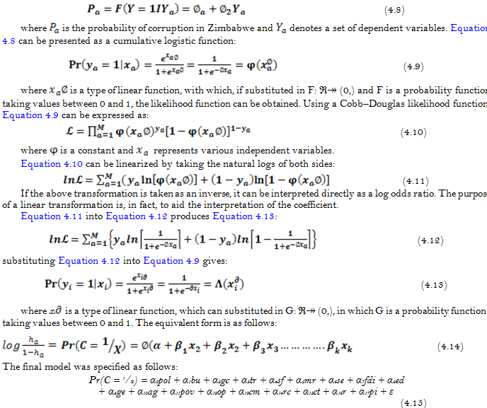
wherea, b, c, and d represent the number of variables in each subgroup, respectively. This study views corruption as likely to be a dichotomous event: it either does or does not exist. This suggests that a country intending to eradicate corruption should not accept policy outcomes that result in only low or moderate corruption but insist on zero corruption. A binary outcome is therefore possible, assigning 1 for corruption and 0 for none, using a binary choice model such as the linear probability model (LPM), or Tobit, logit, and probit models.

However, there are shortcomings with the LPM: first, probability of corruption might not fall between 0 and 1, an issue known as unbounded predictable values; second, it is highly probable that conditional heteroskedasticity could occur, since white noise, or error terms will not be distributed normally; and third, it is far more difficult to estimate a constrained LPM where there are several independent variables. A more robust binary choice model requires a positive monotonic function, which is only possible using a cumulative distribution function, as found in the Tobit, logit, and probit models. However, the probit model presents challenges in computing marginal effects in the event of a dummy variable.  Unlike the other three models, though, the logit model is symmetrical around 0 and unbounded both above and below, and is thus a good option for the response-variable side of a linear model. The logit model can be expressed as:

5. MAIN FINDINGS

The results of the Pearson correlation coefficient are shown in Table 1 and represent the individual effects of the independent variables on corruption, and as they can be isolated, all variables are not correlated.

Table-1. Multicollinearity Test.

Variable
pol
bu
gc
tr
sf
mr
se
fdi
ed
ge
ag
pov
op
cm
rc
ct
r
pi
pol
1.000
bu
-0.09
1.0
gc
-0.02
0.04
1.0
tr
0.40
-0.14
-0.05
1.0
sf
-0.04
0.06
-0.06
-0.01
1.0
mr
-0.05
0.08
-0.03
0.02
-0.09
1.0
se
0.06
0.01
0.07
-0.02
0.06
0.08
1.0
fdi
-0.06
-0.02
-0.08
-0.01
-0.09
-0.02
-0.06
1.0
ed
0.05
-0.01
-0.11
0.02
0.02
0.05
-0.03
-0.22
1.0
ge
-0.05
0.05
0.01
0.09
0.09
0.08
0.02
0.03
-0.21
1.0
aff
0.10
0.01
-0.02
0.11
0.11
0.04
0.02
-0.02
0.05
-0.04
1.0
pov
-0.02
-0.05
-0.05
0.04
0.04
-0.05
-0.06
0.06
0.08
0.01
-0.08
1.0
op
0.11
-0.04
-0.02
-0.01
-0.06
-0.21
0.08
0.05
-0.20
0.02
-0.06
0.02
1.0
cm
0.11
-0.05
0.14
-0.05
-0.02
0.02
0-.02
0.08
-0.21
0.01
-0.20
0.07
0.06
1.0
rc
0.15
0.05
0.10
0.04
0.02
0.08
0.02
0.01
0.05
0.07
0.01
-0.2
0.02
0.2
1.0
ct
-0.05
0.06
0.06
0.02
0.05
-0.02
0.05
0.07
0.02
0.05
-0.05
-0.1
0.05
0.12
-0.2
1.0
r
-0.01
-0.05
-0.05
0.01
-0.02
0.05
-0.21
0.08
-0.15
0.02
-0.05
0.02
0.05
0.02
0.02
0.08
1.0
pi
-0.02
0.04
-0.10
0.03
-0.01
0.05
0.01
-0.21
0.05
0.01
0.05
-0.1
0.02
0.04
0.02
0.01
-0.2
1.0

Source: Author’s computations.

Table-2. Logit Regression Output.

Variable
Coefficient
Std. Error
z-score
Pr > z
pol
0.018
0.009
-2.01
0.045*
bu
0.349
0.167
-2.09
0.036*
gc
0.822
0.280
1.93
0.743**
fdi
0.028
0.0533
2.52
0.003**
tr
-0.008
0.004
2.25
0.025*
sf
-1.099
0.437
-2.60
0.012
mr
-0.235
0.010
-2.80
0.016*
se
-0.168
-0.057
-3.96
0.003**
ed
-0.053
0.338
-2.16
0.007*
ge
0.083
0.398
0.33
0.834
af
0.646
0.314
0.06
0.725*
pov
0.830
0.293
0.08
0.785 *
op
0.050
0.135
3.03
0.005**
cm
-0.060
0.333
2.85
0.000*
rc
0.027
0.006
2.20
0.001**
ct
0.045
0.0224
2.15
0.015*
pi
0.450
0.0158
3.05
0.002**
r
0.035
0.0067
2.95
0.047*
Constant
3.211
0.100
3.21
0.001

Key: **significant at 99%; *significant at 95%
Source: Author’s computations.

Table 2 indicates that the probability of corruption in Zimbabwe is related to economic growth, domestic investment behavior, human capital, and the entrepreneurial ecosystem. Of the variables related to economic growth, political instability (pol) and business uncertainty (bu) influence the probability of corruption. Of those related to domestic investment behavior, foreign direct investment (fdi), age of firm (af), size of firm (sf), market regulations (mr), and the shadow economy (se increase the probability. For human capital, only education (ed) negatively influences the probability. Finally, the entrepreneurial ecosystem variables, opportunity perception (op), innovation (i), competition (cm), risk capital (rc), cultural tolerance (ct), public institutions (pi), and red tape (r), all increase the probability. However, the probability of corruption in Zimbabwe does not appear to be related to as the variables gender (ge), levels of poverty (pov), and GDP per capita (gc).

5.1. Log Odds Ratios

The log odds ratios in Table 3 show how a unit increase in an independent variable increases the probability of corruption in Zimbabwe.

Table-3. Log Odds Ratios.

Variable
Odds Ratio
Std. Error
z-score
P > IzI
Political Instability (pol)
2.782
0.0085
-2.96
0.005
Business Uncertainty (bu)
2.605
0.218
-2.85
0.004
GDP per Capita (gc)
1.275
0.637
1.90
0.753
Foreign Direct Investment (fdi)
0.028
0.065
3.52
0.003
Tax Rates (tr)
0.008
0.002
2.65
0.002
Size of Firm (sf)
0.345
0.155
-2.56
0.001
Market Regulations (mr)
0.388
0.015
-3.60
0.006
Shadow Economy (se)
2.234
0.050
-2.78
0.001
Education (ed)
0.777
0,321
-3.16
0.345
Gender (ge)
4.087
0.332
0.11
0.534
Levels of Poverty (pov)
2.910
0.625
1.06
0.407
Opportunity Perception(op)
1.293
0.672
2.83
0.002
Competition (cm)
1.025
0.165
4.037
0.003
Risk Capital (rc)
2.025
0.451
3.85
0.038
Cultural Tolerance (ct)
0.024
1.066
2.05
0.000
Public Institutions (pi)
1.036
0.024
4.05
0.000
Red Tape (r)
2.013
2.011
2.88
0.002

Source: Author’s computations.

Table-4. Marginal Effects.

Marginal effects after logit y = Pr (corruption) (predict) = 0.741

Variable
dy/dx
Std. Error
z-score
P >|z|
Mean
Political Instability (pol)
0.054
0.013
-2.90
0.033
49.494
Business Uncertainty (bu)
0.358
0.012
-2.75
0.024
1.596
GDP Per Capita (gc)
0.131
0.045
1.95
0.703
0.526
Foreign Direct Investment (fdi)
-0.004
0.008
3.60
0.002
5.198
Tax Rates (tr)
-0.001
0.001
2.65
0.021
25.264
Size of Firm (sf)
-0.221
0.085
-2.50
0.028
0.076
Market Regulations (mr)
0.010
0.001
-3.75
0.006
4.455
Shadow Economy (se)
0.033
0.002
-2.70
0.001
12.191
Education (ed)
-0.008
0.022
-3.25
0.003
0.692
Gender (ge)
0.010
0.061
0.11
0.635
0.365
Levels of Poverty (pov)
0.084
0.050
2.06
0.755
0.002
Opportunity Perception(op)
0.107
0.036
2.85
0.002
0.318
Competition (cm)
0.009
0.019
4.05
0.003
1.888
Risk Capital (rc)
0.0065
0.001
3.85
0.0024
2.895
Cultural Tolerance (ct)
0.045
0.251
2.10
0.003
1.687
Public Institutions (pi)
-0.033
0.040
4.05
0.000
10.251
Red Tape (r)
0.065
0.036
2.90
0.025
0.785

Key: dy/dx represents the discrete change of the dummy variable from 0 to 1.
Source: Author’s computations.

The fact that the odds ratios of political instability (pol), business uncertainty (bu), gender (ge), GDP per capital (gc) poverty (pov), shadow economy (se), opportunity perception (op), competition (cm), risk capital (rc), public institutions (pi), and red tape (r) are all above one indicate that a unit increase in these variables would increase the probability of corruption. Conversely, cultural tolerance (ct), market regulations (mr), tax rates (tr), foreign direct investment (fdi), size of firm (sf) and education (ed) with odds ratios below one implies that a unit drop would lower that probability.

5.2. Marginal Effects

The marginal effects in Table 4 show the magnitude of the effect of changes in the independent variables on the dependent variable.

6. DISCUSSIONS

6.1. Political Instability and Corruption

According to Table 4, as political instability intensifies in Zimbabwe, the probability of corruption increases by 5.4%, because it creates uncertainty over the protection of property rights, dividend repatriation, long-term returns on capital, and future macroeconomic stability. More corruption is likely as a result of investors attempting to overcome the effects of political instability on future profitability and expected long-term returns. These results agree with the two studies by Muzurura (2017, 2019) that found political instability led to excessive investments in unproductive activities, such as lobbying politicians and bureaucrats, manipulating the political system, and payments to corrupt officials. A recent upsurge of political instability in the Zimbabwe could be a consequence of corruption and its attendant issues, such as further income inequality and poverty: as corruption increases corruption, the beneficiaries grow wealthier, posing a greater incentive to groups lower down the economic hierarchy to engage in similar, illegal, or violent activities.

6.2. Business Uncertainty and Corruption

The findings demonstrate that when there is an increase in business uncertainty, the probability of corruption in Zimbabwe increases by 36%. Corruption creates uncertainty in the business environment that then reduces firms’ willingness to increase their required capital stock and leads to a lower rate of national capital accumulation. Even if not directly asked to pay a bribe, operating in an environment in which such a request is common, as is the case in Zimbabwe, introduces uncertainty. Managers will also allocate time to dealing with and strategically pre-empting potential demands from corrupt politicians and bureaucrats. In addition, bribes paid to such officials will negatively affect other firms in the wider economy, even those that have not paid any bribes. Specifically, bureaucratic corruption, chiefly related to the allocation of foreign currency and the issue of foreign investment permits and licenses, distorts the apportionment of fixed capital by reducing the marginal rate of return per dollar invested in private firms operating in developing economies.

6.3. Foreign Direct Investment (FDI) and Corruption

It can be seen from Table 4 that as the input from FDI drops, the probability of corruption changes marginally by just -0.004%. This suggests corruption exerts an inefficient tax effect that tends to reduce the volume of FDI in a country, up to the extreme limit of 0, when foreign investors avoid a corrupt country altogether. Such an effect is likely to be far more damaging, especially in the case of Zimbabwe, as foreign investment can often bestow immense benefits on developing economies: introducing cutting-edge production technologies, enhancing the development of human capital and management techniques, as well as expediting the rate of technical progress and output growth in the recipient country. These findings agree with those of Williams et al. (2016), Dutta and Sobel (2016),  Muzurura (2019), Olken and Pande (2012), and O'Toole and Tarp (2014), all who demonstrated that corruption harms both domestic and foreign investment by redirecting resources toward economic activities and sectors that offer less stimulation to the wider economy. Nevertheless, this study differs from those that reported corruption may be a major cause of FDI in resource-rich but poor countries (see Pinto and Zhu, 2016). 

6.4. Tax Rates and Corruption

The results show that a unit drop in tax rates reduces the probability of corruption by 0.1%, which confirms the findings of Aghion et al. (2016) that high tax rates encourages many firms to move into the informal sector to evade the tax authorities. The rapid growth of Zimbabwe’s shadow economy could be attributed to high tax rates and corrupt activities, therefore.

6.5. Size of firm and Corruption

It is evident from the results that a unit reduction in the size of the firms—measured by the number of employees and period of operation—is likely to raise the probability of corruption by 22%. Liu and Mikesell (2014) and Haltiwanger et al. (2013) also revealed that small firms were more innovative and likely to demand government permits and licenses. Due to the multitude of macro-controls in Zimbabwe, the demand for permits, licenses, and other relevant documents is highly inelastic, regardless of price. It can be inferred, therefore, that small rather than large firms are more vulnerable to the tactics of corrupt government officials: in response to the increase in demand from small firms, they are likely to introduce more regulations, controls, and red tape to generate more opportunities of accruing money. In addition, small firms are often more prone to liquidity problems and may seek to reduce their tax liabilities and evade high tax rates by bribing the tax authorities.

6.6. Market Regulations and Corruption

Increasing market regulations is likely to increase the probability of corruption by 1%, and in Zimbabwe, where there is a profusion of market regulations, both private and public firms face challenges to market exit and entry. Furthermore, as more market regulations are introduced, firms are more likely to submit to corrupt officials and their rent-seeking activities to bypass those and remain competitive in an increasingly turbulent business environment. Churchill et al. (2013) and Dutta and Sobel (2016) found that corrupt government officials delay issuing the required business permits, trade licenses, and other documents unless they received substantial inducement.

6.7. Shadow Economy and Corruption

An expanding shadow economy is likely to increase corruption by 3.3%, indicating that both systematic and systemic corruption in the economy is likely to induce new and existing entrepreneurs to operate in the informal sector, in which small businesses and entrepreneurs are able to avoid cumbersome regulations and evade taxes and public scrutiny (Williams and Martinez-Perez, 2016; Wiseman, 2016). However, this study posits that the correlation between the extent of the shadow economy and corruption in Zimbabwe is probably caused by both the inappropriate and excessive regulations and structural deficiencies, such as an inefficient tax system, supply-side constraints, and an underperforming economy. The findings also imply that unless such structural deficiencies as weak institutions, business uncertainties, and political instability are corrected, more private firms will move into the shadow economy and lead to rising corruption and declining revenues.

6.8. Poverty and Corruption

The findings show that changes in the levels of poverty increase the probability of corruption by 8.4%. Similar to Dreher and Gassebner’s (2013) findings that corruption is correlated with shorter life expectancy and lower school enrolment—two variables widely used in constructing the Human Development Index—this study’s findings suggest that corruption increases income inequality through lower social spending and unequal access to education and social services. In Zimbabwe, extortion of poor people is likely to amount to a larger proportion of their incomes owing to not only the higher level of the bribe demanded but also the frequency with which they have to face corrupt officials. Those living in highly densely suburbs and rural communities are probably have less opportunity of avoiding corruption, which makes it difficult for them to switch from poorly resourced public services to private providers of health, education, and social services. Moreover, as corruption proliferates, the availability and quality of essential services are likely to decline.

6.9. Opportunity Perception and Corruption

The perception of opportunities to become wealthier by engaging in corrupt activities increases the probability of corruption by 11%. Thus, high-level government officials such as ministers, or even the president, and other senior civil servants are more likely to have the opportunity of exploiting large public tender contracts, which may explain widespread systematic corruption in Zimbabwe. Being well-organized means that only those officials capable of using the political system and other external networks are able to subvert anticorruption agencies.

6.10. Competition and Corruption

Increased levels of competition can be seen to increase the probability of corruption by 0.9%, implying that corruption damages market efficiency within any economy by undermining market regulations and antitrust enforcement measures intended to correct shortcomings in the market. It also creates barriers to market entry to preserve the privileges of established firms or powerful government officials, albeit politicians and bureaucrats will also develop barriers to competition to enable higher bribes to be demanded. As such, most firms will direct their efforts toward dealing with rent-seeking and other unproductive activities instead of outperforming their competitors by offering superior products that meet the consumer need. The results of this study is well-supported in the empirical literature (see Pinotti, 2012; Faruq and Webb, 2013).

Of particular interest is that the findings imply the relationship between corruption and competition is likely to gradually change over time. For instance, recent government strategies of introducing temporary trade restrictions and import permits aimed at protecting nascent industries may lead to corruption among those politicians and bureaucrats operating the system in future; in other words, these same officials might resist the lifting those same controls even though the earlier rationale no longer exists. However, this study disagrees with similar studies reporting that corruption in developing economies greases the wheels of economic activities and domestic investment behavior (see Fiorino et al., 2012; Dreher and Gassebner, 2013).

6.11. Cultural Tolerance and Corruption

An increase in cultural tolerance increases the probability of corruption by 4.5%, agreeing with those culturalists who argue that a certain culture is responsible for rampant corruption (see Fiorino et al., 2012; Liu and Mikesell, 2014). The results of this study suggest that Zimbabweans have become culturally less inclined toward arm’s-length economic relationships, possibly because of lower per capita income, selfishness, greed, poverty, substantial inequality, or the tolerance of corruption as a means to become rich quickly. Such societal-level tolerance in Zimbabwe could be the cause of both systemic and systematic corruption (petty or far-reaching) at both individual and institutional levels.

6.12. Risk Capital and Corruption

This study reveals that an upward movement in risk capital increases the probability of corruption by 0.0065%. In Zimbabwe, risk capital is often associated with start-ups, small firms, and existing entrepreneurs who are the main drivers for economic efficiency and innovation. Many studies have noted that new innovations are disproportionally affected by corruption, as many start-ups and small firms are subject to more regulations than established businesses (Liu and Mikesell, 2014). Due to risk capital reducing the profitability of long-term investments and business confidence, and increasing transaction costs and business uncertainty, factors could be combining in Zimbabwe to make small firms and entrepreneurs, who are the main users of risk capital, more corrupt.

6.13. Public Institutions and Corruption

A reduction in public institutions dealing with corruption leads to an increase in the probability of corruption by 3.3%. This study found that corruption is most prevalent where institutional inefficiencies, in terms of quality and quantity, exist. Ever-increasing inflation in Zimbabwe could be attributed to weak institutions, which catalyze the increase in both petty and far-reaching corruption. This then affects both the volume and composition of government expenditure and revenue, and the quality and quantity of public goods and services are reduced. Moreover, other studies have noted similar observations (Estrin et al., 2016; Gaspar et al., 2016).

6.14. Red Tape and Corruption

A positive unit change in red tape, or excessive bureaucracy, was found to increase the probability of corruption in Zimbabwe by 6.5%, indicating that when private firms are subject to cumbersome government regulations and other forms of red tape, corruption increases. Red tape results in productive domestic investments being redirected to less productive projects in the shadow economy, confirming Faruq and Webb’s (2013) observations that red tape entails a suboptimal allocation of both financial and physical resources within the economy. The fact that Zimbabwe has too many bureaucratic regulations suggests that corruption is accompanied by additional non-monetary costs, such as delays and needless processes and procedures, which are only implemented to increase the opportunities for rent-seeking activities. Additional costs are also imposed on innovation, which affects the growth of entrepreneurship; moreover, the findings from this study imply that in a corrupt equilibrium caused by red tape, the more efficient or better-managed Zimbabwean firms are likely to lose out to less efficient and worse-managed firms.

7. THE DISSEMINATION CHANNELS OF CORRUPTION IN ZIMBABWE

From the literature review and the findings of this study, it is inferred that corruption in Zimbabwe is disseminated through the channels depicted in Figure 1

The two major channels are the monetary and fiscal policies. With regard to monetary policy, the main suspect is the central bank’s (the Reserve Bank of Zimbabwe) lack of credible independence. Since independence, the Reserve Bank has claimed unconstrained regulatory powers for itself, beyond its original mandate of managing money supply growth and price stability. It has frequently engaged in quasi-fiscal operations and other fraudulent activities distorting market efficiency: in its criticism of regulating of the allocation of foreign currency to economic agents, it arbitrarily imposed foreign exchange controls, introducing multiple exchanges of foreign currency, determining conversion rates for export receipts, and granting soft loans to underperforming parastatals, which could be cited as the main causes of widespread corruption in Zimbabwe. For instance, undeserving special interest groups, politicians, and bank officials often access foreign currency at the special exchange and interest rates, while foreign currency is also offloaded illicitly in the shadow economy at exorbitant arbitrage profits. Moreover, fiscal authorities encourage corruption by the frequent introduction or unnecessary macro-controls: interest rates, foreign exchange rates, price ceilings, barring new entrants to the mining sector, facilitating transfer pricing, implementing unfair tax exemptions for Chinese firms, introducing quantitative export and import restrictions on certain commodities, illegally writing off domestic debt, permitting favored private institutions to become monopolies, maintaining obscure budgetary accounts, misappropriating funds from the national budget to private accounts, and granting trading permits, licenses, and subsidies to politically connected private firms.

Figure-1. Corruption to Economic Growth

Above all, fiscal authorities often allow public officials full discretion in applying financial and market rules and regulations without any effective supervision,  facilitates the spread of corruption throughout all sectors of the economy. The ultimate consequence of corruption has been reflected in reduced total factor productivity and human capital productivity, sociopolitical instability, less required capital stock, low domestic investment, and less economic growth. As economic agents struggle to circumvent the financial and market regulations imposed, they are forced to pay bribes/inducements. In turn, public officials impose more regulations to increase the lucrative opportunities for future rent-seeking activities. This vicious cycle endlessly persists: corruption causing less economic growth and lower economic growth causing more corruption—the dissemination channels thus exert a bicausal effect.

8. CONCLUSIONS AND RECOMMENDATIONS

Corruption is a multidimensional phenomenon that includes fraud, bribery, collusion, and other rent-seeking activities; it can also be defined as an individual’s abuse of their office in return for some personal benefit. However, the cost of corruption includes high production and transaction costs, low domestic investment, and less economic growth and development. The causes of corruption are multifarious and include: fiscal and monetary regulations, poverty, uncertainty, weak institutions, high tax rates, red tape, a shadow economy, cultural tolerance, and perceptions of high returns from corrupt activities. To eradicate corruption in Zimbabwe, a number of policy measures are recommended:

  1. The quality of public institutions, along with robust governance ethics in the public sector, should be strengthened. Such broad governance principles as transparency, probity, accountability, responsibility, regulatory quality, and observance of the law could help create and reinforce an institutional ecosystem conducive to effectively reducing and eventually eliminating corruption in Zimbabwe. This might entail the adequate resourcing of institutions such as the Reserve Bank of Zimbabwe, Anti-Corruption Commission, Zimbabwe Investment Authority, Zimbabwe Revenue Authority, and Police. In addition, emphasis should be placed on promulgating laws that protect private property, promote good governance, and monitor compliance with contractual obligations.
  2. A corruption-free ecosystem that limits government intervention in private exchanges and bureaucratic discretionary powers should be developed to curtail bureaucrats and politicians creating artificial shortfalls, red tape, and barriers to proper competition to generate rent-seeking opportunities. In addition, to reduce the red tape that facilitates corruption, key bureaucratic decisions such as the issuing of investment incentives, tax breaks, and other important trading permits and licenses should be computerized, requiring minimum human input, particularly where discretion is not essential. Electronic document processing can significantly strengthen integrity and transparency in key business management areas, such as customs and excise and passport, license, and permit applications.
  3. Developing public sector policies that ensure robust accounting, periodic financial reporting, adherence to internal control systems, and safeguarding of public assets from bureaucratic excesses are critical: corruption is only possible if both parties can conceal their illegal deals and avoid severe sanctions if discovered. Furthermore, as part of any effective anticorruption policy, rules and regulations that guide and check bureaucratic discretion in applying government policies should be implemented, without any favor, as well as measures that will provide legal protection for whistle-blowers. In this regard, the presence of a vigorous, independent media is crucial.
  4. Adequate civil servants compensation policies should be adopted and regularly reviewed to reduce the temptation of corruption in Zimbabwe, as low public setor remuneration could be a primary cause of corruption.
  5. Given the pervasive nature of corruption in Zimbabwe, an international organization such as the Transparency International may need to be involved in the fight against corruption. Such organizations play a critical role in disseminating information about cross-border corruption practices, facilitating access to best practice in anticorruption policies, assisting local institutions with capacity building, and providing expert advice to local anticorruption agencies. International cooperation is a prerequisite for curbing inter-country money laundering, ensuring the forfeiture of assets and repatriation of oversea investments financed by the proceeds of corruption, and the prevention of corruption being used as a means of tax evasion. Indeed, politicians and government officials should not be permitted the opportunity to invest their ill-gotten gains on international financial markets. However, the success of such efforts depends on the genuine motivation of domestic stakeholders and politicians, as well as the required change in cultural attitude.
  6. Two important questions to be addressed by policymakers in Zimbabwe are: (1) Should they concentrate on punishing perpetrators with severe sanctions? (2) Or should they pursue preventive policies by reducing the opportunity and temptation to engage in corrupt practices?  It is difficult to decide which measure to recommend, as it depends on a multiple factors, such as: the condition and quality of the governance system in the public sector, the existence of the required institutions, and the cultural tolerance of corruption. Zimbabwe’s governance system was of poor quality (see Muzurura, 2019), which might suggest the following sequence: first, to reduce corruption to a minimum, policymakers should adopt social, political, and economic reforms that enhance regulatory quality, institutional robustness, government efficiency and effectiveness, rule of law, and, as a matter of urgency, macroeconomic stability; once achieved, the country should then implementing policies that detect corruption and impose severe penalties and sanctions to eradicate and further deter widespread corruption.
  7. To address the business uncertainties that encourage corruption, it is vital to streamline government administrative and regulatory procedures and implement an investment governance framework (IGF) that covers such issues as investment incentives, special investment zones, the quality and efficiency of bureaucracy, policy inconsistencies, safeguards for property rights, and the efficiency of anticorruption institutions. The current circumstances in which prosecutors dealing with corruption in Zimbabwe are located in the President’s Office is a prime incitement for corrupt officials who are politically connected. As such, it is essential to make the anticorruption agencies independent from the executive, which will ensure that all cases of corruption are dealt with expeditiously without any executive or political interference.
  8. Effectively tackling corruption means attending the underlying causes, not the symptoms. The literature shows how corruption in Zimbabwe exists due to the absence of adequate monitoring and the inclination to eradicate it; therefore, this study recommends reforming and developing effective institutions and reorienting the culture of unrestrained opportunism and self-interest among the young. The rationale behind this is that petty corruption has become part of Zimbabwean culture: people are engaging in corrupt practices to pass through police road blocks, obtain national identity cards and passports, secure academic certificates, access food subsidies, avoid long prison sentences, and even escape starvation. Fundamentally, corruption has become a symptom of political, cultural, economic, and institutional weaknesses. It is worth noting that this might also mean the adoption of policies that deregulate private markets and introduce more probity into the tendering process.
  9. Reducing corruption in Zimbabwe should not be based on one method only but on a combination of policy measures, such as: reducing opportunities for corruption, eliminating parastatal subsidies, introducing efficient tax systems, eliminating the parallel market for foreign exchange rates, lowering tariffs and other barriers to international trade, relaxing licensing requirements and barriers to entering the domestic market for new firms and foreign investors, reducing investment regulations, and demonopolizing state institutions. In addition, enforcing accounting standards, auditing, and prudential banking regulations also act as a solution for reducing high-level corruption.
Funding: This study received no specific financial support.   
Competing Interests: The author declares that there are no conflicts of interests regarding the publication of this paper.

REFERENCES

Achury, C., C. Koulovatianos and J.D. Tsoukalas, 2015. Political economics of external sovereign defaults. CFS Working Paper No. 508, Centre for Financial Studies, Frankfurt.

Aghion, P., U. Cagé, J. Akcigit and K. W., 2016. Taxation, corruption, and growth. NBER Working Paper No. 21928, National Bureau of Economic Research, Cambridge, Massachusetts.

Andrews, D. and F. Cingano, 2014. Public policy and resource allocation: Evidence from firms in OECD countries. Economic Policy, 29(78): 253-296.Available at: https://doi.org/10.1111/1468-0327.12028.

Athanasouli, D., A. Goujard and P. Sklias, 2012. Corruption and firm performance: Evidence from Greek firms. International Journal of Economic Sciences and Applied Research, 5(2): 43-67.

Bazzi, S., A. Michael and A. Clemens, 2013. Blunt instruments: Avoiding common pitfalls in identifying the causes of economic growth. American Economic Journal: Macroeconomics, 5(2): 152-186.

Ben, A., M. Sami and S. Sassi, 2016. The corruption-inflation nexus: Evidence from developed and developing countries. B.E. Journal of Macroeconomics, 16(1): 1-25.Available at: https://doi.org/10.1515/bejm-2014-0080.

Benedek, D., E. Crivelli, S. Gupta and P. Muthoora, 2014. Foreign aid and revenue: Still a crowding-out effect? FinanzArchiv: Public Finance Analysis, 70(1): 67-96.Available at: https://doi.org/10.1628/001522114x679156.

Churchill, R.Q., W. Agbodohu and P. Arhenful, 2013. Determining factors affecting corruption: A cross country analysis. International Journal of Economics, Business and Finance, 1(10): 275-285.

Dreher, A. and M. Gassebner, 2013. Greasing the wheels of entrepreneurship? The impact of regulations and corruption on firm entry. Public Choice, 155(3-4): 413-432.Available at: https://doi.org/10.1007/s11127-011-9871-2.

Dridi, M., 2013. Corruption and economic growth: The transmission channels. Journal of Business Studies Quarterly, 4(4): 1-32.

Dutta, N. and R. Sobel, 2016. Does corruption ever help entrepreneurship? Small Business Economics, 47(1): 179-199.Available at: https://doi.org/10.1007/s11187-016-9728-7.

Estrin, S., J. Korosteleva and T. Mickiewicz, 2016. Which institutions encourage entrepreneurial growth aspirations? Journal of Business Venturing, 28(4): 564–580.

Faruq, H. and M. Webb, 2013. Corruption bureaucracy and firm productivity in Africa. Review of Development Economics, 17(1): 117-129.Available at: https://doi.org/10.1111/rode.12019.

Fiorino, N., E. Galli and I. Petrarca, 2012. Corruption and growth: Evidence from the Italian regions. European Journal of Government and Economics, 1(2): 126-144.Available at: https://doi.org/10.17979/ejge.2012.1.2.4281.

Fungáčová, Z., A. Kochanova and L. Weill, 2015. Does money buy credit? Firm-level evidence on bribery and bank debt. World Development, 68: 308-322.Available at: https://doi.org/10.1016/j.worlddev.2014.12.009.

Gaspar, V., L. Jaramillo and P. Wingender, 2016. Tax capacity and growth: Is there a tipping point? IMF Working Paper. Washington: International Monetary Fund.

Godinez, J.R. and L. Liu, 2015. Corruption distance and FDI flows into Latin America. International Business Review, 24(1): 33-42.

Haltiwanger, J., R.S. Jarmin and J. Miranda, 2013. Who creates jobs? Small versus large versus young. Review of Economics and Statistics, 95(2): 347-361.Available at: https://doi.org/10.1162/rest_a_00288.

Heywood, P.M. and J. Rose, 2014. Close but no Cigar: The measurement of corruption. Journal of Public Policy, 34(3): 507-529.Available at: https://doi.org/10.1017/s0143814x14000099.

Holcombe, R.G. and C.J. Boudreaux, 2015. Regulation and corruption. Public Choice, 164(1-2): 75-85.

Huntington, S., 1968. Political order in changing societies. New Haven: Yale University Press.

Koczan, Z. and A. Plekhanov, 2013. How much do tariffs matter? Evidence from the customs Union of Belarus, Kazakhstan and Russia. Journal of Economic Policy Reform, 19(2): 1-19.

Leff, N.H., 1964. Economic development through bureaucratic corruption. American Behavioral Scientist, 8(3): 8-14.Available at: https://doi.org/10.1177/000276426400800303.

Liu, C. and J.L. Mikesell, 2014. The impact of public officials’ corruption on the size and allocation of US state spending. Public Administration Review, 74(3): 346-359.Available at: https://doi.org/10.1111/puar.12212.

Mauro, P., 1995. Corruption and growth. Quarterly Journal of Economics, 110(3): 681- 712.

McMullan, M., 1961. A theory of corruption. The Sociological Review: 1 -22.Available at: https://doi.org/10.1111%2Fj.1467-954X.1961.tb01093.x.

Mendoza, R.U., R.A. Lim and A.O. Lopez, 2015. Grease or sand in the wheels of commerce? Firm level evidence on corruption and SMEs. Journal of International Development, 27(4): 415-439.Available at: https://doi.org/10.1002/jid.3077.

Méon, P.-G. and L. Weill, 2010. Is corruption an efficient grease? World Development, 38(3): 244-259.Available at: https://doi.org/10.1016/j.worlddev.2009.06.004.

Murphy, K., 2010. Why is rent-seeking so costly to growth? American Economic Review, 83(2): 409-414.

Muzurura, J., 2016. Is public corruption the main cause of low foreign direct investment in Zimbabwe. British Journal of Economics, Finance and Management Sciences, 13(1): 1-18.

Muzurura, J., 2017. Corruption and economic growth in Zimbabwe: Unravelling the linkages. International Journal of Development Research, 7(1): 1197-11204.

Muzurura, J., 2018. Is public corruption an efficient grease? New evidence from developing economies. British Journal of Economics Finance and Management, 16(1): 28-43.

Muzurura, J., 2019. Does corruption really affect the growth of entrepreneurship in Zimbabwe? International Journal of Emerging Trends in Social Sciences, 5(1): 33-46.Available at: https://doi.org/10.20448/2001.51.33.46.

Nguyen, T.T. and M.A. Van Dijk, 2012. Corruption, growth, and governance: Private vs. state-owned firms in Vietnam. Journal of Banking & Finance, 36(11): 2935-2948.Available at: https://doi.org/10.1016/j.jbankfin.2012.03.027.

O'Toole, C.M. and F. Tarp, 2014. Corruption and the efficiency of capital investment in developing countries. Journal of International Development, 26(5): 567-597.Available at: https://doi.org/10.1002/jid.2997.

Olken, B.A. and R. Pande, 2012. Corruption in developing countries. Annual Review of Economics, 4(1): 479-509.

Paunov, C., 2016. Corruption's asymmetric impacts on firm innovation. Journal of Development Economics, 118(C): 216-231.Available at: https://doi.org/10.1016/j.jdeveco.2015.07.006.

Pelizzo, R., E. Araral, A. Pak and W. Xun, 2016. Determinants of bribery: Theory and evidence from Sub-Saharan Africa. African Development Review, 28(2): 229-240.Available at: https://doi.org/10.1111/1467-8268.12192.

Pinotti, P., 2012. Trust, regulation, and market failures. The Review of Economics and Statistics, 94(3): 650-658.Available at: https://doi.org/10.1162/rest_a_00209.

Pinto, P.M. and B. Zhu, 2016. Fortune or evil? The effect of inward foreign direct investment on corruption. International Studies Quarterly, 60(4): 693-705.Available at: https://doi.org/10.1093/isq/sqw025.

Randall, G.H. and J. Christopher, 2015. Regulation and corruption. Public Choice, 164(1-2): 75-85.

Seker, M. and J.S. Yang, 2014. Bribery solicitations and firm performance in the Latin America and Caribbean Region. Journal of Comparative Economics, 42(1): 246-264.Available at: https://doi.org/10.1016/j.jce.2013.05.004.

Transparency International, 2018. The transparent international perception of corruption 2018 report. Berlin Germany.

Vial, V. and J. Hanoteau, 2010. Corruption, manufacturing plant growth, and the Asian paradox: Indonesian evidence. World Development, 38(5): 693-705.Available at: https://doi.org/10.1016/j.worlddev.2009.11.022.

Williams, C.C. and A. Martinez-Perez, 2016. Evaluating the impacts of corruption on firm journal of regional analysis & policy performance in developing economies: An institutional perspective. International Journal of Business and Globalization, 16(4): 401-422.

Williams, C.C., A. Martinez-Perez and A.M. Kedir, 2016. Does bribery have a negative impact on firm performance? A firm level analysis across 132 developing countries. International Journal of Entrepreneurial Behaviour and Research, 22(3): 398-415.

Wiseman, T., 2016. U. S. Shadow economies, corruption, and entrepreneurship: State-level spatial relations. Journal of Regional Analysis and Policy, 46(2): 203-218.

Views and opinions expressed in this article are the views and opinions of the author(s), Humanities and Social Sciences Letters shall not be responsible or answerable for any loss, damage or liability etc. caused in relation to/arising out of the use of the content.