Index

Abstract

This study intends to examine and analyze the influence of financial literacy on people’s behavior and the difference in financial literacy and behavior based on gender. The population of this research comprises students in higher education institutions in Jakarta and were selected using the snowball sampling technique. This study utilizes the survey technique by distributing questionnaires to the sample population, and the variance-based structural equation model (SEM) was used to statistically analyze the responses. After deliberating the results, this study concludes that males have better financial literacy and behavior than females; financial literacy can intervene in the association between gender and money-related behavior. This means males tend to manage their money when they are financially knowledgeable. Based on this evidence, higher education institutions must set personal financial management as mandatory and elective subjects for business and non-business departments in their curriculum, respectively.

Keywords: Financial behavior, Financial literacy, Higher education, Male students, Sobel test, Variance-based SEM.

Received: 9 January 2023 / Revised: 17 February 2023/ Accepted: 2 May 2023/ Published: 15 May 2023

Contribution/ Originality

This study partially supports the positive influence of financial literacy on people’s behavior and the difference in financial literacy and behavior according to gender by statistically confirming the significant results. Unlike previous studies that do not test the mediating effect of financial literacy on the association between gender and money-associated behavior in one research model, this study successfully proves it case by using the Sobel test.

1. INTRODUCTION

In 2019, the Financial Services Authority in Indonesia released the national survey results on financial literacy and inclusion. The results showed that the Indonesian financial literacy index was still low at 38.03%, although it increased from 29.66% in 2017(Hidayatinnisa, Fauziah, Trivena, & Aini, 2021) . Also, this index has not yet affected economic growth, as Hidayatinnisa et al. (2021) confirmed after examining this relationship based on data for 34 provinces in Indonesia in 2016 and 2019.

Ideally, with adequate financial knowledge, the community can elevate prosperity, avoid predatory lending, acquire personal financial management knowledge, and purchase and use financial products and services (Smith Jr, 2004). Efforts to improve this literacy are supported by numerous organizations, such as private employers, federal, state, and local government agencies, commercial banks, consumer groups, community services, and religious organizations (Gale & Levine, 2011).

Improving student financial knowledge through these organizations is interesting for at least two reasons. Firstly, their financial situation affects their academic performance (Cude et al., 2006), and secondly, the students are one of the social groups driving the future position of the nation and contributing to the economy. Therefore, organizations must equip them with financial knowledge and skills to prepare them to enhance the welfare of the country (Zulfaris, Mustafa, Mahussin, Alam, & Daud, 2020).

Financially well educated people can manage their money themselves, and many researchers have attempted to investigate this relationship (Ameliawati & Setiyani, 2018; Aryani, Khaddafi, & Naz’aina, 2021; Khawar & Sarwar, 2021; Santoso & Sari, 2021; Setiana & Hadianto, 2022; Singh, Rani, & Kiran, 2020; Zaki, Rosli, Yahya, & Halim, 2020) . Similarly, gender as a determinant of financial literacy has received attention from scholars as an area to be investigated (Ansong & Gyensare, 2012; Jorgensen & Savla, 2010; Lantara & Kartini, 2015; Meimouneh, Moeinadin, & Nayebzadeh, 2014; Moreno-Garcia, Garcia-Santillan, & Navarrete, 2022; Morris, Maillet, & Koffi, 2022; Mudzingiri, Muteba Mwamba, & Keyser, 2018; Nidar & Bestari, 2012; Okamoto & Komamura, 2021; Respati et al., 2023; Thapa, 2015; Tinghög et al., 2021).

However, the results are opposing regarding the relationship between financial literacy and behavior. Ameliawati and Setiyani (2018), Singh et al. (2020), Zaki et al. (2020), Khawar and Sarwar (2021), and Santoso and Sari (2021) reported a positive influence, but Aryani et al. (2021) and Setiana and Hadianto (2022) found no impact. Also, these contrary results were found when investigating the association between gender and financial literacy. Ansong and Gyensare (2012) ; Meimouneh et al. (2014) ; Lantara and Kartini (2015) ; Okamoto and Komamura (2021) ; Tinghög et al. (2021) and Morris et al. (2022) declared that male students are more financially knowledgeable than females. Meanwhile, Jorgensen and Savla (2010), Nidar and Bestari (2012), Thapa (2015), and Mudzingiri et al. (2018) could not verify the difference.

Similarly, the studies examining the causal association between gender and financial behavior have also produced mixed results (Herdjiono et al., 2018; Mudzingiri et al., 2018; Okamoto & Komamura, 2021; Ramalho & Forte, 2019; Walczak & Pieńkowska-Kamieniecka, 2018) . Okamoto and Komamura (2021) demonstrated that females tend to manage money carefully compared to males. However, Herdjiono et al. (2018) indicated that men can control their cash flow more effectively than women. Additionally, Walczak and Pieńkowska-Kamieniecka (2018) and Morris et al. (2022) confirmed that males manage money better than females. Meanwhile, Mudzingiri et al. (2018) proved that this behavior is not affected by gender. Associated with shopping, saving and investment, and credit management, Herdjiono et al. (2018) reported a similar condition. After combining gender with the other explanatory variables in the single model, Ramalho and Forte (2019) found that the managerial behavior of males is the same as that of females.

Although studies on personal financial literacy and its determinants are numerous, this study differs from others as it treats literacy as a mediator in the relationship between gender and financial management behavior by employing students in higher education institutions in Jakarta. The available studies separately prove gender-based financial literacy (Ansong & Gyensare, 2012; Lantara & Kartini, 2015; Meimouneh et al., 2014; Okamoto & Komamura, 2021; Tinghög et al., 2021) or financial behavior (Herdjiono et al., 2018; Morris et al., 2022; Okamoto & Komamura, 2021; Walczak & Pieńkowska-Kamieniecka, 2018) separately.

2. THEORETICAL FRAMEWORK AND HYPOTHESIS DEVELOPMENT

2.1. The Relationship Between Financial Literacy and Money-Associated Behavior

People with financial literacy can comprehend, organize, assess, and handle economic issues (Rosacker, Ragothaman, & Gillispie, 2009). By utilizing students from the economics faculty at the State University of Semarang, Ameliawati and Setiyani (2018) confirmed this statement by finding a positive relationship between financial literacy and behavior. Singh et al. (2020) concluded the same association when investigating students working in major cities in India (Delhi, Faridabad, Gurugram, Noida, and Ghaziabad). Similarly, Zaki et al. (2020) affirmed this association after investigating Malaysian undergraduate students at Selangor University. Through a study on employees in Lahore, a survey conducted by Khawar and Sarwar (2021) demonstrated that the more literate employees are, the better their money-related skills are. This is also confirmed by Santoso and Sari (2021) after learning the perceptions of 89 postgraduate students at Semarang university. Based on these facts, the first hypothesis is presented as follows:

H1:  Financial literacy positively affects money-associated behavior.

2.2. The Relationship Between Gender and Money-Associated Literacy

By utilizing the University of Cape Coast students working in companies in Ghana and analyzing their answers, Ansong and Gyensare (2012) found that males have better financial knowledge than females. This is also affirmed by Meimouneh et al. (2014) after surveying students in Iran. Furthermore, Lantara and Kartini (2015) investigated this relationship between gender and financial literacy by employing undergraduate and graduate students at Gadjah Mada University, Yogyakarta, Indonesia. After examining the data, they found that males have higher financial literacy than females. Moreover, Okamoto and Komamura (2021) exhibited that Japanese males have better financial knowledge than females by taking data from the 2016 financial literacy survey by the Central Council for Financial Services Information of the Bank of Japan. In their research in Sweden, Tinghög et al. (2021) divided students into males and females and gave them financial and non-financial problems to solve. They found that the males had a higher total of correct answers. A similar fact is confirmed by Morris et al. (2022) after a study comprising 1,221 Canadian students. Based on these facts, the second hypothesis is as follows:

H2:  Males have better money-related literacy than females.

2.3. The Relationship Between Gender and Money-Associated Behavior

In their research on a sample of 382 people in Merauke, Herdjiono et al. (2018) proved that men are more skillful than women in managing cash flows. By utilizing 34,000 Polish citizens, Walczak and Pieńkowska-Kamieniecka (2018) found that men are superior to women in managing money via credit cards, insurance, stocks, and bonds. They are also more likely to take risks. Morris et al. (2022) also confirmed that males have better financial behavior than females. Based on these facts, the third hypothesis is as follows:

H3:  Males have better money-related management behavior than females.

2.3.1. The Research Model

The research model, shown in Figure 1, refers to three relationship-based hypotheses.

Figure 1. Research model.

3. RESEARCH METHOD

3.1. Variable Definition

This study employed two endogenous variables and one exogenous variable. The first endogenous variable is financial literacy, where the items used are based on Fessler, Silgoner, and Weber (2020) and directly measured by the total correct score from students’ answers to seven questions:

  1. Time value of money: If the yearly inflation rate is 2% and you have 1,000,000 Indonesian Rupiah (IDR) and deposit it with 5% annual interest, what will you be able do with your money placed in the bank next year? The choices are (a) I will be able to purchase products below IDR1,050,000, or (b) I will be able to buy products above IDR1,050,000. In this case, the students are expected to select the correct answer.
  2. Interest compensated on loans: You have IDR1,000,000 and lend it to your friend today. Next week, he will pay back IDR1,150,000. How much does he disburse the interest for this loan? In this case, the students are expected to answer this question directly.
  3. Interest plus principles: You have IDR10,000,000 and you place it in a time deposit in a commercial bank with no charge. The bank annually rewards you with a 3% interest rate. How much do you receive after one year? In this case, the students are expected to calculate the correct answer.
  4. Compound interest: Referring to the third question, how much money do you get if you place money after five years? The choices are (a) more than IDR11 million, (b) IDR 11 million, (c) less than IDR11 million, or (d) impossible to say. In this case, the students are expected to select the correct answer.
  5. Risk and return: You will get a low return if you place your money in a risky investment. Is this statement correct? In this case, the students are expected to answer this question directly.
  6. Inflation: Deflation cuts living costs. Do you agree with this statement? In this case, the students are expected to answer this question directly.
  7. Diversification: Buying stocks is the best solution to reduce the unique risk as long as a positive relationship in price exists. Do you agree with this statement? In this case, the students are expected to answer this question directly.

As the second endogenous variable, this study utilizes money-associated behavior by combining the items used by Grable, Park, and Joo (2009) and Okamoto and Komamura (2021) as follows:

(1) Before purchasing goods or using services, I always check my financial capability to get it (MAB1).
(2) I always pay bills punctually (MAB2).
(3) I have long-term financial goals and attempt to attain them (MAB3).
(4) I pay close attention to my financial matters (MAB4).
(5) I can save money in a bank account (MAB5).

3.2. Sample Selection

Active students in universities in Jakarta are the population used in this study. Because of the COVID-19 pandemic in Indonesia, it was impossible to use the random sampling technique. Instead, the snowball sampling technique was applied to select the sample based on the limited information of the students, as per Pandjaitan, Mahrinasari, and Bramsah (2021). A total of 100 students were selected to be the respondents.

3.3. Data Collection Method

The students' answers were collected through a survey. According to Hartono (2012), a survey is a distributed questionnaire containing the items described in the variable definition. This survey employs a five-point Likert scale to show disagreement or agreement with statements on money-associated behavior.

3.4. The Examination of Validity and Reliability

The validity of the respondents’ answers needs to be verified, and this is carried out using confirmatory factor analysis based on the loading factor (LF) and average variance extracted (AVE) rule. If the LF is lower than 0.5, the answer is invalid and the related indicator must be removed. Conversely, the answer is valid for LF scores above 0.5. The AVE value should be above 0.5 to achieve validity testing (Sholihin & Ratmono, 2020).

Moreover, for reliability testing, this study employs Cronbach’s Alpha and composite reliability coefficients based on valid items with a cut-off point of 0.7. Coefficients higher than 0.7 are reliable, and vice versa (Sholihin & Ratmono, 2020).

3.5. Data Analysis Method

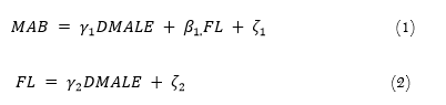
Utilizing 100 students as the sample, with the unobservable and observable variables, requires the structural equation model based on variance (Ghozali, 2021). The model is obtainable through Equations 1 and 2.

Where: β1, γ1, and γ2 are the path coefficients with standard errors one (SE1), three (SE3), and two (SE2).

In the variance-based structural equation, R-squared, the effect size (f2), and Q-squared are tools used to assess the inner model (Ghozali, 2021).

  1. This study utilizes R-squared to recognize the determinant contribution to the explained variable. The cut-off points are 0.67, 0.33 and 0.19 to describe the involvement as major, average and minor, respectively. 
  2. Effect size (f2) is employed to determine the partial contribution of the explanatory variables to the explained variable. The cut-off values are 0.02, 0.15 and 0.35, which indicate if the influence is small, average, and large, respectively. 
  3. Q-squared is utilized to determine the prediction power. If this value is above 0, the model is relevant to predict.

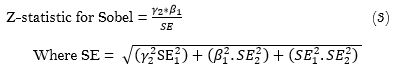
Additionally, this study tests the path coefficients (γ and β) associated with each hypothesis by comparing the probability of the t-statistic at the 5% significance level. This level can be relaxed to 10% if needed, as stated by Hartono (2012). Following Maharsi, Njotoprajitno, Hadianto, and Wiraatmaja (2021), this study utilizes the Sobel test to check financial literacy as the mediating variable. The first step is the Z-statistic calculation, with the formula in Equation 3 as follows: 

The probability (2-tailed) of the Z-statistic for the Sobel test can be searched by the Microsoft Excel formula written in Equation 4.

NORM.DIST(Z-statistic;0;1;FALSE)                                   (4),

Where NORM.DIST is the Microsoft Excel command to calculate the known Z-statistical probability. Statistically, zero and one demonstrate the average and standard deviation required to form a standard normal distribution. Writing FALSE in Microsoft Excel means the probability mass function is selected.

After calculating the probability of the Z-statistic for the Sobel test, the subsequent step compares it with the 5% significance level. If this value is less than the 5% level, financial literacy mediates the effect of gender and money-related behavior.

4. RESULTS AND DISCUSSION

4.1. Academic Profiles

The survey was conducted between January and March 2020, and the profiles of the students who participated are detailed in Table 1. Male students outnumbered their female counterparts with a majority of 62. For university status, private students make up 77%. Thirty-two percent of the students with a grade point average (GPA) between 3.0 and 3.5 were the largest group, followed by the groups with a GPA between 2.5 and 3.0 (30%), above 3.5 (23%), and between 2.00 and 2.50 (15%). Lastly, the students from the 2016 batch are foremost, i.e., 50%, followed by batches from 2017 (28%) and 2018 (22%).

Table 1. The academic profiles of the students surveyed based.

Profile

Description

Total

Percentage

Gender

Male

62

62%

Female

38

38%

University status

Government

23

23%

Private

77

77%

Grade point average

Between 2.00 and 2.50

15

15%

Between 2.50 and 3.00

30

30%

Between 3.00 and 3.50

32

32%

Above 3.5

23

23%

Batch

2016

50

50%

2017

28

28%

2018

22

22%

4.2. The Validity and Reliability Testing Results

In the first step, the loading factor (LF) of MAB2 is 0.322; therefore, it is invalid. After deleting it, we rerun the confirmatory factor and get the LF for MAB1 of 0.491. Hence, MAB1 is inaccurate and is also deleted. The rest are valid, as shown by the LF above 0.5 – 0.932 for MAB3, 0.953 for MAB4, and 0.601 for MAB5 (see Table 2). After the validity testing is complete, the subsequent step is reliability detection. In Table 2, Cronbach’s Alpha and the composite reliability coefficient show values above 0.7 (0.781 and 0.878, respectively). This indicates that the students’ answers are reliable.

Table 2. Loading factor, average variance extracted, and Cronbach’s Alpha for items reflecting money-associated behavior.

Indicator Construct

Validity testing result

Reliability testing result

Loading
factor

The average variance extracted (AVE)

Cronbach’s
alpha

Composite reliability

MAB3    MAB

0.932

0.713

0.781

0.878

MAB4    MAB

0.953

MAB5    MAB

0.601

4.3. The Inner Model Assessment Result

Table 3 shows the first model assessment result containing an R-squared of 0.117 and an f-squared for DMALE of 0.018 and an FL value of 0.099. This means that the overall contribution of DMALE and FL is low, although the partial influence of FL is average. This model can also predict relevantly (see the Q-squared of 0.119, which is above 0). For the second model, R-squared and f-squared are the same (0.123), which means that the contribution of gender is low. Despite this condition, this model has predictive relevancy, reflected by the Q-squared of 0.128, which is above 0.

Table 3. Assessment results of the inner model.

Model

Description

R-squared

F-squared

Q-squared

1

MAB = f(DMALE, FL)

0.117

DMALE: 0.018 and FL: 0.099

0.119

2

FL = f(DMALE)

0.123

DMALE: 0.123

0.128

4.4. The Model Estimation Results

After assessing the inner model, estimating the model is the next step (see Table 4). In this table, the probability of the t-statistic associated with the first and second hypotheses is 0.0000, below a 5% significance level, with the positive sign of path coefficients. Therefore, the first hypothesis, which posits a positive influence of financial literacy on money-associated behavior, and the second hypothesis, which states that males have better financial literacy than females, are accepted. Meanwhile, the probability connected with the third hypothesis is 0.086 (see Table 4). Because this value is still lower than the 10% relaxed level, the third hypothesis stating that males have better money-associated behavior than females is also accepted.

Table 4. The estimation results of the structural equation model based on the variance.

Hypothesis

Directional hypothesis

Path
coefficient

Standard error

T-statistic

Probability

One

FL MAB

0.313

0.092

3.402

<0.001

Two

DMALE  FL

0.350

0.091

3.846

<0.001

Three

DMALE MAB

0.133

0.092

1.446

0.086

Furthermore, to prove the mediating effect of financial literacy, this study utilizes the Sobel test (see Table 5). The probability of the Z-statistic of 0.017, and because this value is less than a 5% significance level, financial literacy acts as the mediating variable.

Table 5. The Sobel test results.

Directional hypothesis

Path coefficient
multiplication

Standard
error

Z-statistic

Probability

DMALE FL MAB

0.110

0.044

2.501

0.017

4.5. Discussion

From the results of testing the first hypothesis, financial knowledge was found to positively influence money-associated behavior. This means that knowledgeable students can manage their funds efficiently because financial management has already been taught to students in business departments in the second academic year. Moreover, this situation is supported by the surveyed students from the 2016 to 2018 batches who accomplished their second, third and fourth years (see Table 1). Therefore, this evidence confirms the results of the studies by Ameliawati and Setiyani (2018), Zaki et al. (2020), Khawar and Sarwar (2021), and Singh et al. (2020).

The results from testing the second and third hypotheses show males have better financial literacy and managing behavior than females. This is due to a greater number of male students participating in this survey (see Table 1).Regarding the correct answers to the seven financial literacy-related questions, the score of males is higher than that of females (4.53 for men versus 3.82 for women (see Table 6)). Similarly, this matter is supported by the number of students with the correct answers to the seven questions: (1) the time value of money, (2) interest compensated on loans, (3) interest plus principles, (4) compound interest, (5) risk and return, (6) inflation, and (7) diversification (see Table 6). These results confirm the findings of Ansong and Gyensare (2012) , Meimouneh et al. (2014) , Lantara and Kartini (2015) , Okamoto and Komamura (2021) , and Tinghög et al. (2021) .

Table 6. The features of students with correct answers to financial literacy questions.

Question

Total students with
the correct answers

Males with
the correct answers

Females with the correct answers

No.

Topic

Total

%

Total

%

Total

%

1.

Time value of money

73

73%

43

43%

30

30%

2.

Interest compensated on loans

58

58%

41

41%

17

17%

3.

Interest plus principles

74

74%

47

47%

27

27%

4.

Compound interest

65

65%

42

42%

23

23%

5.

Risk and return

66

66%

44

44%

22

22%

6.

Inflation

46

46%

32

32%

14

14%

7.

Diversification

44

44%

32

32%

12

12%

Overall average score

4.30

4.53

3.82

Regarding financial behavior, the male students fared better than the females in the valid and reliable answers based on three items: MAB3, MAB4, and MAB5. This means that males tend to achieve their long-term financial goals, pay attention to their money-related activities, and save funds in their bank accounts more than females. This situation is reflected by the mean scores of males, which are higher than that of females (see Table 7). Based on this finding, this research affirms Herdjiono et al. (2018) and Morris et al. (2022).

Table 7. The features of students based on valid and reliable answers to financial behavior.

Items

All samples (N = 100)

Male (N = 62)

Female (N = 38)

Mean score

Total

Mean
score

Total

Mean score

Total

Code

Description

AR*

Non-AR**

AR

Non-AR

AR

Non-AR

MAB3

Achieving long-term financial goals

4.08

81

19

4.14

52

10

3.97

29

9

MAB4

Paying attention to their money-related activities

4.08

81

19

4.16

52

10

3.95

29

9

MAB5

Saving their funds in a bank account

3.98

74

26

4.032

49

13

3.98

25

13

Note:

* AR (agreement responses): the total students with extreme and regular agreement answers.

 

** Non-AR (non-agreement responses): total students with extreme and ordinary disagreement, neutral responses.

The Sobel test uses financial literacy to mediate the relationship between gender and money-related behavior (see Table 5). This testing effectively proves that the relationship between gender and personal economic behavior is mediated by financial literacy: male students economically behave more wisely because they are better financially educated. It becomes their tool to be responsible leaders for their families, especially regarding money matters. If they are familiar with money management, they will easily organize finances wherever they are placed, either in companies or government institutions.

5. CONCLUSION AND RECOMMENDATION

This study investigates and analyzes the association between financial literacy and behavior and the difference in financial literacy and behavior according to gender. Students in higher education institutions in Jakarta were used as the study sample. After surveying and examining the data statistically, this study found that: (1) a positive association between literacy and behavior exists, (2) males are more financially literate than females, (3) males tend to manage their money better than females, and (4) through financial literacy, the association between gender and financial behavior is mediated.

Based on these findings, this study recommends that higher education institutions should set personal financial management as a mandatory and elective subject for business and non-business departments in their curriculum, respectively. After students graduates, they should follow personal planning certification to understand the related concepts and applications. They will learn to be financially literate if they are equipped with the relevant knowledge. For their individual lives, male students must know how to manage money for their future, especially when they get married and become the head of the household. Also, they can teach their children to save money when a cash surplus exists, and this principle can be evolved as a positive lifestyle activity.

Funding: This study received no specific financial support.  

Competing Interests: The authors declare that they have no competing interests.

Authors’ Contributions: Both authors contributed equally to the conception and design of the study.

REFERENCES

Ameliawati, M., & Setiyani, R. (2018). The influence of financial attitude, financial socialization, and financial experience on financial management behavior with financial literacy as the mediation variable. Paper presented at the International Conference on Economics, Business, and Economic Education.

Ansong, A., & Gyensare, M. A. (2012). Determinants of university working students financial literacy at the University of Cape Coast, Ghana. International Journal of Business and Management, 7(9), 126-133. https://doi.org/10.5539/ijbm.v7n9p126

Aryani, R., Khaddafi, M., & Naz’aina, N. (2021). The effect of financial knowledge and personal net income on the financial behavior of the Malikussaleh university employees with the locus of control as moderating variable. International Journal of Economic, Business, Accounting, Agriculture Management and Sharia Administration, 1(1), 1-13. https://doi.org/10.54443/ijebas.v1i1.1

Cude, B. J., Lawrence, F., Lyons, A., Metzger, K., LeJeune, E., Marks, L., & Machtmes, K. (2006). College students and financial literacy: What they know and what we need to learn. Paper presented at the Conference Proceeding of Eastern Family Economics and Resource Management Association.

Fessler, P., Silgoner, M., & Weber, R. (2020). Financial knowledge, attitude and behavior: Evidence from the Austrian survey of financial literacy. Empirical, 47, 929-947. https://doi.org/10.1007/s10663-019-09465-2

Gale, W. G., & Levine, R. (2011). Financial literacy: What works? How could it be more effective? In Social Science Research Network, 1-28. https://doi.org/10.2139/ssrn.2316933

Ghozali, I. (2021). Structural equation modeling with alternative method of partial least square (5th ed.). Semarang: Diponegoro University Publishing Agency.

Grable, J. E., Park, J. Y., & Joo, S. H. (2009). Explaining financial management behavior for Koreans living in the United States. Journal of Consumer Affairs, 43(1), 80-107. https://doi.org/10.1111/j.1745-6606.2008.01128.x

Hartono, J. (2012). Business research methodology: Misunderstandings and experiences. Yogyakarta: Publishing Board of the Faculty of Economics, Gadjah Mada University.

Herdjiono, I., Hayon, P. P., Ilyas, I., Septarini, D., Setyawati, C. H., & Irianto, O. (2018). The gender gap in financial knowledge, financial attitude, and financial behavior Advances in Social Science, Education, and Humanities Research, 226, 1363–1366.

Hidayatinnisa, N., Fauziah, F., Trivena, S. M., & Aini, Y. N. (2021). The effect of financial literacy and financial inclusion on economic growth in Indonesia. Journal of Business, Management, & Banking, 7(2), 339–359. https://doi.org/10.21070/jbmp.v7i2.1539

Jorgensen, B. L., & Savla, J. (2010). Financial literacy of young adults: The importance of parental socialization. Family Relations, 59(4), 465-478. https://doi.org/10.1111/j.1741-3729.2010.00616.x

Khawar, S., & Sarwar, A. (2021). Financial literacy and financial behavior with the mediating effect of family financial socialization in the financial institutions of Lahore, Pakistan. Future Business Journal, 7(1), 1-11.

Lantara, I. W. N., & Kartini, N. K. R. (2015). Financial literacy among university students: Empirical Evidence from Indonesia. Journal of Indonesian Economy and Business, 30(3), 247-256.

Maharsi, A. R., Njotoprajitno, R. S., Hadianto, B., & Wiraatmaja, J. (2021). The effect of service quality and customer satisfaction on purchasing intention: A case study in Indonesia. The Journal of Asian Finance, Economics and Business, 8(4), 475-482.

Meimouneh, S. K., Moeinadin, M., & Nayebzadeh, S. (2014). A survey to the influence of demographic characteristics on the level of financial literacy of Iranian students. Interdisciplinary Journal of Contemporary Research in Business, 5(11), 64-70.

Moreno-Garcia, E., Garcia-Santillan, A., & Navarrete, D. M. (2022). Empirical study on financial knowledge among high school students in Veracruz. International Journal of Innovative Research and Scientific Studies, 5(3), 162–169. https://doi.org/10.53894/ijirss.v5i3.492

Morris, T., Maillet, S., & Koffi, V. (2022). Financial knowledge, financial confidence and learning capacity on financial behavior: A Canadian study. Cogent Social Sciences, 8(1), 1996919. https://doi.org/10.1080/23311886.2021.1996919

Mudzingiri, C., Muteba Mwamba, J. W., & Keyser, J. N. (2018). Financial behavior, confidence, risk preferences and financial literacy of university students. Cogent Economics & Finance, 6(1), 1512366. https://doi.org/10.1080/23322039.2018.1512366

Nidar, S. R., & Bestari, S. (2012). Personal financial literacy among university students (Case study at Padjadjaran University students, Bandung, Indonesia). World Journal of Social Sciences, 2(4), 162-171.

Okamoto, S., & Komamura, K. (2021). Age, gender, and financial literacy in Japan. PloS One, 16(11), e0259393. https://doi.org/10.1371/journal.pone.0259393

Pandjaitan, D. R. H., Mahrinasari, M., & Bramsah, M. (2021). Website quality, e-satisfaction, and e-loyalty of users based on the virtual distribution channel. Journal of Distribution Science, 19(7), 113-121.

Ramalho, T. B., & Forte, D. (2019). Financial literacy in Brazil–do knowledge and self-confidence relate with behavior? RAUSP Management Journal, 54(1), 77-95. https://doi.org/10.1108/rausp-04-2018-0008

Respati, D. K., Widyastuti, U., Nuryati, T., Musyaffi, A. M., Handayani, B. D., & Ali, N. R. (2023). How do students’ digital financial literacy and financial confidence influence their financial behavior and financial well-being? Nurture, 17(2), 40–50. https://doi.org/10.55951/nurture.v17i2.154

Rosacker, K. M., Ragothaman, S., & Gillispie, M. (2009). Financial literacy of freshmen business school students. College Student Journal, 43(2), 391-399. https://eric.ed.gov/?id=EJ872254

Santoso, A., & Sari, E. P. (2021). The role of financial literacy as one of the influences on financial behavior. Management Journal, 25(3), 415-430.

Setiana, S., & Hadianto, B. (2022). Financial knowledge , internal control locus, and personal money-related behavior: A survey on undergraduate accounting students. Integrated Journal of Business and Economics, 6(2), 172-184.

Sholihin, M., & Ratmono, D. (2020). SEM analysis with warpPLS 7. Yogyakarta: Andi Publisher.

Singh, K., Rani, P., & Kiran, C. (2020). Relationship between various determinants and dimensions of financial literacy among working class. International Journal of Financial Research, 11(5), 319-333. https://doi.org/10.5430/ijfr.v11n5p319

Smith Jr, J. A. (2004). Financial literacy, regulation and consumer welfare. North Carolina Banking Institute, 8(1), 77-99.

Thapa, B. S. (2015). Financial literacy in Nepal: A survey analysis from college students. NRB Economic Review, 27(1), 49-74.

Tinghög, G., Ahmed, A., Barrafrem, K., Lind, T., Skagerlund, K., & Västfjäll, D. (2021). Gender differences in financial literacy: The role of stereotype threat. Journal of Economic Behavior & Organization, 192, 405-416. https://doi.org/10.1016/j.jebo.2021.10.015

Walczak, D., & Pieńkowska-Kamieniecka, S. (2018). Gender differences in financial behaviours. Engineering Economics, 29(1), 123-132. https://doi.org/10.5755/j01.ee.29.1.16400

Zaki, U. R. A., Rosli, M. H., Yahya, N. F., & Halim, H. (2020). The relationship of financial literacy and financial attitude towards financial behaviour: An empirical finding. International Journal of Business and Economy, 2(4), 13-24.

Zulfaris, M. D., Mustafa, H., Mahussin, N., Alam, M. K., & Daud, Z. M. (2020). Students and money management behavior of a Malaysian public university. The Journal of Asian Finance, Economics and Business, 7(3), 245-251. https://doi.org/10.13106/jafeb.2020.vol7.no3.245

Views and opinions expressed in this article are the views and opinions of the author(s). Humanities and Social Sciences Letters shall not be responsible or answerable for any loss, damage or liability, etc., caused in relation to/arising from the use of the content.