Index

Abstract

This study aimed at exploring factors implanted in the successful implementation of forensic accounting emphasizing both organizational and people derived factors. Organizational factors were limited to information technology solutions and creative accounting practices, while people factor was related to knowledge, skills, and experience. Prior research was reviewed for two purposes. First, to lay the foundations of research theoretical framework and hypotheses development. Second, to develop the questionnaire of the study by which the required data were gathered. A sample of academicians and practitioners comprising 120 participants was purposively selected. A total of 107 responses were used in the statistical phase, which was carried out with IBM SPSS and AMOS. The results showed that information technology solutions, absence of creative accounting practices, forensic accounting education, forensic accounting training, and forensic accountants’ experiences were significant predictors of the successful implementation of forensic accounting. Based on the results, this study contributes to the literature of forensic accounting by providing evidence on organizational and human factors that affect the successful implementation of forensic accounting. In addition, the results offer insightful educational and managerial implications. Universities, organizations, and accounting firms are recommended to consider the suggested model in order to elevate their implanting of forensic accounting efforts to detect fraud crimes.

Keywords: Forensic accounting implementation, Organizational factors, People factors.

Received: 15 September 2022 / Revised: 25 October 2022 / Accepted: 10 November 2022 / Published: 9 December 2022

Contribution/ Originality

Our analysis adds to the literature of forensic accounting that organizational factors and human factors affect the successful implementation of forensic accounting. Our results offer solid practical implications to universities, business organizations and accounting firms as well as accounting researchers.

1. INTRODUCTION

Forensic accounting implementation is a function of numerous factors. Researchers and practitioners have highlighted the importance of both organizational and people factors to encourage the successful implementation of forensic accounting. Examples of organizational factors include information technology solutions (Pan & Seow, 2016) and creative accounting practices (Bhasin, 2016). People factors, on the other hand, are related to knowledge (Nicolae & Diana, 2017) skills (DiGabriele, 2009) and experience (Meservy, Romney, & Zimbelman, 2006).

Forensic accounting education is a major source of forensic accounting knowledge (Nicolae & Diana, 2017). It had gained a great attention from universities and organizations. Forensic accounting training was also regarded as a key factor in this matter since it provides accountants with essential interpersonal and technical skills (DiGabriele, 2009; Efiong, 2012). Moreover, accountants’ or auditors’ experience are considered as highly valued factors for the successful implementation of forensic accounting (Bhasin, 2016; Hegazy, Sangster, & Kotb, 2017; McMullen & Sanchez, 2010; Meservy et al., 2006). Some independent factors related to organizations and accountants are positively related to a dependent variable, which leads to the successful implementation of forensic accounting. The dependent variable in the suggested model can be gauged through the activities that forensic accountants should do, which are accounting activities, auditing activities, and investigation activities (Bhasin, 2016; Okoye & Ndidika, 2009).

In fact, few studies are concerned with exploring organizational and human factors affecting the successful implementation of forensic accounting. The contributed efforts of previous studies on forensic accounting were the major source for this study (e.g., (Abu Saleem, 2019; Bhasin, 2016; DiGabriele, 2009; Hassani, Huang, & Silva, 2018; Hegazy et al., 2017; Heitger & Heitger, 2008; Kadam, 2020; McMullen & Sanchez, 2010; Meservy et al., 2006; Nicolae & Diana, 2017; O'Donnell, 2019; Pan & Seow, 2016; Shanikat & Khan, 2013; Thottoli, Thomas, & Ahmed, 2019)). Therefore, the aim of this study was to enrich forensic accounting literature by providing empirical evidence on factors implanted in the successful implementation of forensic accounting in order to provide insightful educational and managerial implications. Universities, business organizations and accounting firms as well as accounting researchers can benefit from the results of this study. 

2. LITERATURE REVIEW AND HYPOTHESES DEVELOPMENT

2.1. Forensic Accounting Definition and Dimensions

Forensic accounting is one branch of accountancy field by which accountants are able to investigate accounting cases and to provide experts with legal evidences on fraud issues (Nicolae & Diana, 2017). Heitger and Heitger (2008) defined forensic accounting as the application of forensic-related skills to gather and analysis data in accounting and financial cases, interpreting, and communicating results. For the current study, forensic accounting was defined as a process in which accountants, internal auditors, or fraud examiners apply their forensic knowledge, skills and experience to detect fraud and provide those who are interested in the findings with relevant interpretation.

Regarding the dimensions of forensic accounting, it was revealed that knowledge, skills and practical experience are three common dimensions of this branch (Okoye, Adeniyi, & Izuchukwu, 2019; Ozili, 2020). Forensic knowledge can be obtained via forensic education (Nicolae & Diana, 2017) while forensic skills can be acquired through forensic training (DiGabriele, 2009) and forensic experience can be procured by practical case instruction and related forensic investigations (Meservy et al., 2006). Nicolae and Diana (2017) added that courses on forensic science, communications, information technology, and advanced accounting topics provided by universities or professional accounting bodies elevate accountants’ knowledge and skills. Practitioners experience in forensic accounting was also deemed important (Meservy et al., 2006). On the other hand, organizational initiatives and practices like adapting information technology solutions  and accounting practices, for example creative accounting practices, play a pivotal role in this regard (Bhasin, 2016; Bierstaker, Brody, & Pacini, 2006; Pan & Seow, 2016).

For the purpose of this study, the factors that affect the successful implementation of forensic accounting were divided into organization-related factors such as information technology solutions and creative accounting practices, as well as people-derived factors such as aspects of knowledge, skills, and experience. The aspects of the successful implementation of forensic accounting can be extracted from the definition of the term itself. Researchers (e.g., (Bhasin, 2016; Okoye & Ndidika, 2009)) have indicated that forensic accounting is a multidimensional practice in which forensic accountants must be able to do accounting, auditing and investigation activities. These three aspects of forensic accounting were used in this study to assess the successful implementation of forensic accounting. The following paragraphs lay the foundation for hypotheses development, in which some organizational and people factors were assumed to show significant effects on forensic accounting implementation.   

2.2. Information Technology Solutions 

Bierstaker et al. (2006) examined the prevention methods used to detect fraud using a sample of accountants, internal auditors, as well as certified fraud examiners. Their results indicate that the most fraud procedure utilized by companies is using forensic accountants, followed by virus protection, firewalls, filtering software, data mining, password protection, continuous auditing, and then fraud auditing. These results suggest that information technology solutions are important for implementing forensic accounting. Pan and Seow (2016) reviewed the literature on forensic accounting from 2004 to 2014 and indicated that accountants should gain the required knowledge on how computer fraud are conducted. Moreover, companies can use information technology solutions like data mining, business analytics, enterprise accounting systems and forensic technology tools in order to improve their abilities to prevent and detect fraud. Interviewing a sample of accounting professionals form India, Thottoli et al. (2019) found that the information communication technology (ICT) had a significant effect on auditing practices. The authors recommended auditing firms to pay more attention to auditing customized software in order to improve auditing practices.

In a review of data mining in banking sector, Hassani et al. (2018) concluded that banks use data mining techniques for several purposes, including the purpose of fraud detection.  Statistical and digital techniques as well as data mining are common techniques used by forensic accountants (Kadam, 2020). Moreover, the content of accounting information systems (AIS) is greatly related to information technology knowledge. For example, both undergraduate and graduate programs of accounting in the United States of America (USA) contain courses on information technology auditing and computer forensics (O'Donnell, 2019). Based on the above-mentioned studies, it was concluded that information technology solutions aid forensic accountants to do their tasks well. Consequently, the following hypothesis was introduced:

H1: Information technology solutions play a significant role in the successful implementation of forensic accounting practices.

2.3. Creative Accounting Practices

Creative accounting as named in Europe, or earnings management as entitled in the USA, refers to a kind of a manipulative accounting behavior used by companies to affect the decisions of investors or users of financial statements by several practices such as improving their prices of shares. In fact, these practices are unethical behaviors in financial reporting (Bhasin, 2016). Such practices should be stopped due to fact that actual actions of companies should be disclosed in parallel with the ethical rules. Therefore, forensic accounting is essential to achieve this goal (Osazevbaru, 2012).

According to Rezaee, Crumbley, and Elmore (2004) earnings management is one important topic in forensic accounting. Abu Saleem (2019) described creative accounting as an accounting practice used by companies to match their interests rather than the actual performance of the company and found that the characteristics of audit committee such as activity play a significant role in the reduction of creative accounting practices. The following hypothesis was suggested to explore the extent to which creative accounting inhibit the successful implementation of forensic accounting practices. 

H2: Creative accounting practices play a significant role in inhibiting the successful implementation of forensic accounting practices.

2.4. Forensic Accounting Education

Some studies have dealt with surveying opinions of academicians and practitioners of forensic accounting (e.g., Rezaee et al. (2004)), while other studies were concerned with the curriculum of forensic accounting (Kranacher, Morris, Pearson, & Riley Jr, 2008; Ramamoorti, 2008). In a study by Bhavani and Mehta (2018) on forensic accounting education in the UAE, the authors indicated that universities are required to offer courses in forensic accounting. Such results confirm the importance of forensic education accounting by which accountants and auditors can learn how to implement the procedures of forensic accounting. Shanikat and Khan (2013) carried out a theoretical analysis and provided a conceptual framework for forensic accounting, consisting of four phases related to forensic accounting objectives, major components, assignments of forensic accountants, as well as standards and skills of forensic accounting. In a survey of academicians and practitioners conducted by Rezaee et al. (2004) the authors indicated that universities should integrate forensic accounting curriculum into their accounting programs in order to benefit accounting students, business communities, as well as accounting profession.  It can be said that forensic accounting curriculum is essential to enable the students of accounting to acquire the required knowledge on how to implement forensic accounting procedures. Rezaee, Lo, Ha, and Suen (2016) and Meservy et al. (2006) confirmed that forensic curriculum is very important if universities plan to enrich students’ abilities to prevent and to detect fraud. To investigate the role of forensic curriculum using our data, the following hypothesis was assumed:    

H3: Forensic accounting curriculum plays a significant role in the successful implementation of forensic accounting practices.

2.5. Forensic Accounting Training

There are numerous studies on forensic accounting. A review of conclusions reached by some of these studies showed that a successful implementation of forensic accounting practices is affected by several factors. Efiong (2012) explored forensic accounting in Nigeria and concluded that the lack of forensic accounting training had resulted in a higher rate of financial fraud. DiGabriele (2009) found that accounting auditors should acquire forensic accounting skills in order to be able to do successful audit processes. It can be understood here that the successful implementation of forensic accounting practices is associated with forensic skills that accountants acquire through training. Hence, forensic accounting training was identified as a key pillar for the successful implementation of forensic accounting. Meservy et al. (2006) confirmed the notion that the successful implementation of forensic accounting practices is a function of some factors like training, job experience and curriculum. Okoye and Ndidika (2009) recognized that forensic accountants must have practical and attitudinal skills such as financial management skills, public relations, interpersonal, and communication skills. Kruskopf et al. (2019) added that forensic accountants have to possess technical skills like analysis skills, data warehouse management, data security, and data visualization using forensic skills. Such skills can be attained through training forensic skills can be acquired through training (DiGabriele, 2009). Okoye and Ndidika (2009) added another experience in fraud analysis. In order to examine the impact of forensic training on the successful implementation of forensic accounting, the following hypothesis was suggested: 

H4: Forensic accounting training plays a significant role in the successful implementation of forensic accounting practices.

2.6. Experiences of Forensic Accountants

A significant factor that is required for the successful implementation of forensic accounting is accountants or auditors’ experience (Meservy et al., 2006). Okoye and Ndidika (2009) categorized forensic accounting into three pillars, accounting, auditing, and investigation. This means that accounting forensic professionals are required to have adequate experiences in these subjects. For Hegazy et al. (2017) experience is related to skills in communication, analysis, problem solving and investigation. Accounting professionals can gain such experience through working in jobs that provide them with such an experience. McMullen and Sanchez (2010) regarded accountants’ prior experience in fraud detection as an essential prerequisite for accounting professional to be involved on forensic accounting profession. Bhasin (2016) argued that forensic accountants have to be equipped with suitable practical experiences in order to achieve their activities such as the analysis of financial evidences, the development of computerized applications, preparing and communication their findings, and assisting in improving fraud auditing and detecting systems. It was noted that real-life experiences of forensic accountants encourage the successful implementation of forensic accounting practices as stated in the following hypothesis:   

H5: Experiences of forensic accountants play a significant role in the successful implementation of forensic accounting practices.

3. RESEARCH METHODOLOGY

3.1. Research Method

Using a descriptive analytical method, the current study aims to describe the factors that affect the successful implementation of forensic accounting practices and to analyze the related data using statistical methods such as descriptive statistics and regression analysis by International Business Machines (IBM) Statistical Package for the Social Sciences (SPSS) and Analysis of Moment Structures (AMOS).

3.2. Research Sample

The sample of this study consisted of 120 academicians from Saudi universities and accounting practitioners from public and private Saudi organizations. They were purposively selected to ensure that all of them have adequate professions in accounting and can respond the questionnaire. Questionnaires were distributed via online survey. The final number of the completed responses was 107, which was used to carry out data analysis.

3.3. Research Conceptual Model

Figure 1 shows the conceptual model. It contains five independent variables: information technology solutions (ITS), creative accounting practices (CAP), forensic accounting education (FAE), forensic accounting training (FAT), and forensic accountant experience (FAX), in addition to one dependent variable, which is the successful implementation of forensic accounting services (FAS). The five independent variables represent organizational (ITS & CAP) and people factors (FAE, FAT & FAX) that assumed to affect FAS. The model highlights five hypotheses in which each independent variable was postulated to exert a significant effect on the dependent one. The model was developed based on a literature review of factors affecting the successful implementation of forensic accounting (e.g., (Bhasin, 2016; DiGabriele, 2009; Hegazy et al., 2017; Kadam, 2020; Meservy et al., 2006; Okoye & Ndidika, 2009; Ramamoorti, 2008; Rezaee et al., 2016)).

Figure 1. Research conceptual model.
Note: ITS refers to information technology solutions, FAE refers to forensic accounting education, FAT refers to forensic accounting training, FAX refers to forensic accountant experiences, FAS refers to the successful implementation of forensic accounting services,

3.4. Research Measures

A questionnaire as shown in Table 1 was developed based on a literature review. It consisted of 20 questions, and was used to collect the responses of the participants. Organizational factors were measured using information technology solutions and creative accounting practices. The first one was measured using 3 items adapted from previous studies (McMullen & Sanchez, 2010; Meservy et al., 2006; Pan & Seow, 2016). The second one was also assessed by 3 items (Bhasin, 2016; Osazevbaru, 2012; Rezaee et al., 2004). People factors were measured by forensic accounting education (Oppong & Bruce-Amartey, 2022; Rezaee et al., 2004; Rezaee et al., 2016), forensic accounting training (Bierstaker et al., 2006; DiGabriele, 2009; Efiong, 2012), and forensic accountant experiences (Hegazy et al., 2017; Meservy et al., 2006; Nicolae & Diana, 2017). Finally, the dependent variables, which is the successful implementation of forensic accounting practices, was evaluated based on three practices: accounting, auditing and forensic investigation as well as skills of forensic accountants. These practices were measured using 5 items based on prior works (Bhasin, 2016; Okoye & Ndidika, 2009; Ozili, 2020). Respondents were asked to express their opinions based on five-point Likert scale, which ranged from 1 “strongly disagree” to 5 “strongly agree”. The items were accepted based on suggestions of five accounting academicians as well as the results of the exploratory factor analysis (EFA) that was carried out to check both reliability and validity indices of the questionnaire items. The following section illustrates the results of EFA in which factor loadings, the average variance extracted (AVE), Cronbach’s alpha (α) as well as composite reliability (CR) are displayed.   

3.5. Exploratory Factor Analysis (EFA)

EFA was conducted to achieve two goals. First, to check if data were suitable for factor analysis and to extract factor loadings in order to ensure that the questionnaire items were loaded on the adequate factors. Second, to assess reliability and validity of the questionnaire based on the average variance extracted (AVE), composite reliability (CR) and Cronbach’s alpha coefficient (α). It was found that Kaiser-Meyer-Olkin measure of sampling adequacy (KMO) was greater than 0.5 and Bartlett's test of Sphericity was significant (Sig. = 0.000). Therefore, the current data were suitable to conduct the factor analysis. The results of EFA can be seen in Table 2. The results in Table 2 show that all factor loadings were greater than 0.5, AVE values were higher than 0.5, CR values and alpha coefficients were greater than 0.7. These results confirmed that the questionnaire was reliable and valid. Reliability was confirmed based on CR and alpha coefficients, while validity was assured based on factor loadings and AVE values. These findings are in line with previous studies in terms of the required cut-off values (Dekker, Kawai, & Sakaguchi, 2019; Mohammad, 2020; Pasch, 2019; Shkeer & Awang, 2019; Sinaga, Roespinoedji, Saudi, & Ghani, 2019).   

Table 1. Research measures.
 
Research measures
*
Information technology solutions
1.
Information technology applications is required to enhance fraud detection Meservy et al. (2006);
Pan and Seow (2016);
McMullen and Sanchez (2010)
2.
Companies can use data mining to investigate their accounting databases
3.
Accounting information systems are vital for forensic accounting implementation
*
Creative accounting (CA) practices
4.
CA practices are unethical and should be stopped. Bhasin (2016);
Rezaee et al. (2004);
Osazevbaru (2012)
5.
Following accounting standards improves forensic accounting implementation  
6.
CA practices are harmful for forensic accounting implementation  
*
Forensic accounting education
7.
Accounting programs should contain courses on forensic accounting Rezaee et al. (2004);
Rezaee. et al. (2016)
8.
Forensic curriculum should include antifraud education and practice
9.
Forensic auditing should be educated in accounting programs.
*
Forensic accounting training
10.
Training in forensic accounting is essential for its successful implementation Efiong (2012);
Bierstaker et al. (2006);
DiGabriele (2009)
11.
Forensic training is very helpful for fraud examination.
12.
Training is a key method to provide accountants with forensic skills
*
Forensic accountant experiences
13.
Accountant experience help prevention and detection fraud Meservy et al. (2006);
Nicolae and Diana (2017);
Hegazy et al. (2017)
14.
Case instruction provides students with insights on practical experience
15.
Forensic experience is one complement factor of forensic accounting practice
*
Successful implementation of forensic accounting 
16.
Forensic accountants must have adequate accounting qualifications Bhasin (2016);
Okoye and Ndidika (2009);
Ozili (2020)
17.
Forensic accountants must be able to conduct auditing activities
18.
Forensic investigation is essential prerequisite for forensic accountants
19.
Communication skills of forensic accountants are pivotal for their success
20.
Forensic accountants’ knowledge in disciplines like law and IT are required

3.6. Measurement Model

The measurement model of this study as shown in Figure 2 was developed as a prior step of the development of the structural model. This model was used to test the measures properties (Koufteros, 1999). An acceptable measurement model is the one that shows factor loadings higher than 0.5 and adequate values of goodness-of-fit indices. For the current model, all factor loadings were greater than 0.5, Chi-square degree of freedom ratio was less than 3 (χ2/df = 2.35). The comparative fit index (CFI) was 0.91, which is greater than 0.90, and the root mean square error of approximation (RMSEA) was 0.056, which is less than 0.08 (Bouwstra et al., 2019).

Table 2. Results of exploratory factor analysis.
Variables
Items
FL
AVE
CR
α
Information technology solutions (ITS)
Q1
0.851
0.646
0.845
0.811
Q2
0.764
Q3
0.794
Creative accounting practices (CAP)
Q4
0.773
0.570
0.799
0.773
Q5
0.769
Q6
0.721
Forensic accounting education (FAE)
Q7
0.863
0.616
0.826
0.817
Q8
0.799
Q9
0.681
Forensic accounting training (FAT)
Q10
0.741
0.619
0.829
0.799
Q11
0.753
Q12
0.861
Forensic accountant experiences (FAX)
Q13
0.889
0.639
0.841
0.828
Q14
0.732
Q15
0.769
The successful implementation of forensic accounting services (FAS) 
Q16
0.819
0.640
0.899
0.887
Q17
0.837
Q18
0.822
Q19
0.764
Q20
0.755


Figure 2. Research measurement model
Note: ITS refers to information technology solutions, FAE refers to forensic accounting education, FAT refers to forensic accounting training, FAX refers to forensic accountant experiences, FAS refers to the successful implementation of forensic accounting services

4. EMPIRICAL RESULTS AND DISCUSSION

4.1. Descriptive Statistics, Correlation Coefficients and Multicollinearity

Table 3 illustrates the indices of descriptive statistics, i.e., means (M) and standard deviations (SD). In addition, Table 3 presents Pearson correlation coefficients (r) as well as multicollinearity indices, i.e., variance inflation factor (VIF) and tolerance (TOL). The results indicated that the degrees of all variables were moderate with mean values ranged from 3.57 to 3.65 and SD values less than 1. All variables were also positively correlated to each other. VIF and TOL values were acceptable, with VIF values less than 10 and TOL values greater than 0.1. 

Table 3. Descriptive statistics, correlations coefficients and multicollinearity.
Variables
M
SD
ITS
CAP
FAE
FAT
FAX
FAS
VIF
TOL
ITS
3.65
0.85
-
1.34
0.23
CAP
3.59
0.92
0.34
-
2.09
0.28
FAE
3.61
0.88
0.42
0.53
-
2.54
0.34
FAT
3.48
0.93
0.49
0.33
-
2.37
0.54
FAX
3.57
0.74
0.39
0.47
-
1.59
0.46
FAS
3.64
0.68
0.46
0.38
0.53
0.44
0.36
-
1.78
0.59

Note: ITS refers to information technology solutions, FAE refers to forensic accounting education, FAT refers to forensic accounting training, FAX refers to forensic accountant experiences, FAS refers to the successful implementation of forensic accounting.

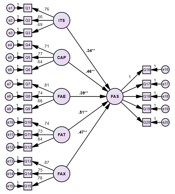
Figure 3. Research structural model.
Note: ITS refers to information technology solutions, FAE refers to forensic accounting education, FAT refers to forensic accounting training, FAX refers to forensic accountant experiences, FAS refers to the successful implementation of forensic accounting services. ** p < 0.05.

 

4.2. Hypotheses Testing 

The structural model depicted in Figure 3 represents hypotheses testing phase in the current study. The model shows five hypotheses on the effects of five independent variables on the independent one. That is, the model was used to test hypothesis 1, 2, 3, 4, and 5.

Table 4 displays the results of structural model outcomes. Information technology solutions as assumed in H1 had a significant effect on the successful implementation of forensic accounting (β Standardized = 0.34, β Unstandardized = 0.79, t-value = 3.71, P = 0.000). Creative accounting practices (β Standardized = 0.46, β Unstandardized = 0.84, t-value = 6.81, P = 0.000) as in H2 had a significant effect on the successful implementation of forensic accounting. H3 was also supported, which means that forensic accounting education (β Standardized = 0.39, β Unstandardized = 0.72, t-value = 4.12, P = 0.000) exerted a significant effect on the successful implementation of forensic accounting. H4 postulated that forensic accounting training has a significant effect on the successful implementation of forensic accounting. The hypothesis was accepted (β Standardized = 0.51, β Unstandardized = 0.89, t-value = 9.14, P = 0.000). Finally, the results assured that forensic accountant experience (β Standardized = 0.47, β Unstandardized = 0.94, t-value = 6.77, P = 0.000) showed a significant effect on the successful implementation of forensic accounting.

These results confirm that all research hypotheses were supported, which means that organizational factors like information technology solutions and creative accounting practices in addition to people factors such as forensic accounting education, forensic accounting training and forensic accountant experience significantly affected the successful implementation of forensic accounting. 

Table 4. Results of hypotheses testing.
IV DV
Standardized β
Unstandardized β
CR
P
Result
ITS à FAS
0.34
0.79
3.71
0.000
Accepted
CAP à FAS
0.46
0.84
6.81
0.000
Accepted
FAE à FAS
0.39
0.72
4.12
0.000
Accepted
FAT à FAS
0.51
0.89
9.14
0.000
Accepted
FAX à FAS
0.47
0.94
6.77
0.000
Accepted

Note: ITS refers to information technology solutions, FAE refers to forensic accounting education, FAT refers to forensic accounting training, FAX refers to forensic accountant experiences, FAS refers to the successful implementation of forensic accounting, IV is independent variables, DV is a dependent variable, CR is a critical ratio, and P is a significance level.

4.3. Results Discussion

The results emerged in this study are in agreement with prior research. According to Bierstaker et al. (2006) companies utilize some procedures to detect and prevent fraud such as data mining, firewalls, filtering software and virus controls, which confirm the importance of information technology application for the successful implementation of forensic accounting. Pan and Seow (2016) showed that forensic technology tools, business analytics, enterprise accounting systems enhance the abilities of forensic accountants to continue their tasks in an efficient manner. In fact, many authors (e.g., (Hassani et al., 2018; Kadam, 2020; O'Donnell, 2019; Thottoli et al., 2019)) highlighted the importance of information technology solutions for the successful implementation of forensic accounting. In terms of creative accounting practices, the current results confirmed that these practices from the current respondents’ perspectives are unethical and harmful for forensic accounting implementation. This result is in line with previous results (Bhasin, 2016; Osazevbaru, 2012; Rezaee et al., 2004).

On the other hand, the present results on forensic accounting education and its significant role in the implementation of forensic accounting were echoed in previous studies (e.g., (Bhavani & Mehta, 2018; Kranacher et al., 2008; Ramamoorti, 2008; Rezaee. et al., 2016)). Similarly, forensic accounting training is very pivotal for forensic accountants as found in this study and other studies (e.g., (DiGabriele, 2009; Efiong, 2012; Kruskopf et al., 2019; Meservy et al., 2006; Okoye & Ndidika, 2009)). Finally, the practical experiences that forensic accountants represent indispensable factor for the successful implementation of forensic accounting. These results are in agreement with prior findings (e.g., (Hegazy et al., 2017; McMullen & Sanchez, 2010; Okoye & Ndidika, 2009)). In a word, high levels of information technology solutions, forensic accounting education and training in addition to forensic accountants’ experiences with eliminated creative accounting practices stir up the implementation of forensic accounting.  

5. CONCLUSION, EDUCATIONAL AND PRACTICAL IMPLICATIONS

The aim of this study was to explore factors affecting the successful implementation of forensic accounting. The results found that organizational factors such as information technology solutions, absence of creative accounting practices, in addition to people-driven factors such as forensic accounting education, forensic accounting training, and forensic accountants’ experiences had significant effects on the successful implementation of forensic accounting. Based on these results, it was concluded that the successful implementation of forensic accounting depends on the extent to which some important factors are considered. The current study highlighted the above-mentioned five factors.

These results brought about several implications. First, universities are called for reflecting the importance of forensic accounting into their accounting programs for both undergraduate and graduate students. That is, forensic accounting curriculum should be a key prerequisite for graduation. Future accountants should have adequate knowledge on forensic issues in accountancy context. Second, universities and other related institutions should prepare students through training programs to acquire the required forensic accounting skills. Third, accounting firms should provide fresh graduate accountants with practical experiences before involving in forensic accounting activities. These experiences equipped them with case applications and real-life case in this regard. Organizations, on the other side, are requested to adopt information technology solutions such as accounting information systems, business analytics, and data mining in order to make the process of forensic accounting more effective. Moreover, organizations are required to eliminate using creative accounting practices since such practices are unethical and harmful. Finally, the results encourage researchers to conduct further studies on factors using these and factors in order to generalize such findings.

6. RESEARCH LIMITATIONS AND FUTURE RESEARCH TRENDS

The results are limited to two major limitations; therefore, the results should be interpreted with caution. In terms of its conceptual model, this study is limited to five factors affecting the successful implementation of forensic accounting. Therefore, researchers are required to explore other factors. Research data were collected form a sample of academicians and practitioners. Future studies should use larger samples.

Funding: This study received no specific financial support.  

Competing Interests: The authors declare that they have no competing interests.

Authors’ Contributions: All authors contributed equally to the conception and design of the study.

REFERENCES

Abu Saleem, K. S. A. (2019). The impact of audit committee characteristics on the creative accounting practices reduction in Jordanian Commercial Banks. Modern Applied Science, 13(6), 113-123. https://doi.org/10.5539/mas.v13n6p113

Bhasin, M. L. (2016). Survey of creative accounting practices: An empirical study. Wulfenia Journal KLAGENFURT, 23(1), 143-162.

Bhavani, G., & Mehta, A. (2018). Forensic accounting education in the UAE. Accounting and Finance Research, 7(1), 214-222.

Bierstaker, J. L., Brody, R. G., & Pacini, C. (2006). Accountants' perceptions regarding fraud detection and prevention methods. Managerial Auditing Journal, 21(5), 520-535. https://doi.org/10.1108/02686900610667283

Bouwstra, H., Smit, E. B., Wattel, E. M., van der Wouden, J. C., Hertogh, C. M., Terluin, B., & Terwee, C. B. (2019). Measurement properties of the barthel index in geriatric rehabilitation. Journal of the American Medical Directors Association, 20(4), 420-425. e421. https://doi.org/10.1016/j.jamda.2018.09.033

Dekker, H. C., Kawai, T., & Sakaguchi, J. (2019). The interfirm contracting value of management accounting information. Journal of Management Accounting Research, 31(2), 59-74. https://doi.org/10.2308/jmar-52058

DiGabriele, J. A. (2009). Implications of regulatory prescriptions and audit standards on the evolution of forensic accounting in the audit process. Journal of Applied Accounting Research, 10(2), 109-121. https://doi.org/10.1108/09675420910984673

Efiong, E. J. (2012). Forensic accounting education: An exploration of level of awareness in developing economies-Nigeria as a case study. International Journal of Business and Management, 7(4), 1-9. https://doi.org/10.5539/ijbm.v7n4p26

Hassani, H., Huang, X., & Silva, E. (2018). Digitalisation and big data mining in banking. Big Data and Cognitive Computing, 2(3), 18-30. https://doi.org/10.3390/bdcc2030018

Hegazy, S., Sangster, A., & Kotb, A. (2017). Mapping forensic accounting in the UK. Journal of International Accounting, Auditing and Taxation, 28, 43-56. https://doi.org/10.1016/j.intaccaudtax.2016.12.004

Heitger, L. E., & Heitger, D. L. (2008). Incorporating forensic accounting and litigation advisory services into the classroom. Issues in Accounting Education, 23(4), 561-572. https://doi.org/10.2308/iace.2008.23.4.561

Kadam, P. S. (2020). An overview of forensic accounting in India. Studies in Indian Place Names, 40(42), 208-216.

Koufteros, X. A. (1999). Testing a model of pull production: A paradigm for manufacturing research using structural equation modeling. Journal of Operations Management, 17(4), 467-488. https://doi.org/10.1016/s0272-6963(99)00002-9

Kranacher, M.-J., Morris, B. W., Pearson, T. A., & Riley Jr, R. A. (2008). A model curriculum for education in fraud and forensic accounting. Issues in Accounting Education, 23(4), 505-519. https://doi.org/10.2308/iace.2008.23.4.581

Kruskopf, S., Lobbas, C., Meinander, H., Söderling, K., Martikainen, M., & Lehner, O. M. (2019). Digital accounting: Opportunities, threats and the human factor. ACRN Oxford Journal of Finance and Risk Perspectives, Special Issue Digital Accounting, 8(2), 78-89.

McMullen, D. A., & Sanchez, M. H. (2010). A preliminary investigation of the necessary skills, education requirements, and training requirements for forensic accountants. Journal of Forensic & Investigative Accounting, 2(2), 30-48.

Meservy, R. D., Romney, M., & Zimbelman, M. F. (2006). Certified fraud examiners: A survey of their training, experience and curriculum recommendations. Journal of Forensic Accounting, 7(1), 163-184.

Mohammad, A. A. S. (2020). The effect of customer empowerment and customer engagement on marketing performance: The mediating effect of brand community membership. Verslas: Teorija ir praktika/Business: Theory and Practice, 21(1), 30-38. https://doi.org/10.3846/btp.2020.11617

Nicolae, B., & Diana, D. (2017). The relevant skills for forensic accountants–can the Romanian accounting education programs offer them? Ovidius University Annals: Economic Sciences Series, 17(1), 419-423.

O'Donnell, J. B. (2019). Are accounting information systems programs evolving to meet the needs of the accounting profession? An analysis of accounting information systems programs in 2005 and 2019. The Journal of Applied Business and Economics, 21(8), 81-91. https://doi.org/10.33423/jabe.v21i8.2591

Okoye, E. I., & Ndidika, A. L. (2009). The role of forensic accounting in fraud investigation and litigation support. National Association of the Academics, 17(1), 39-44.

Okoye, E. I., Adeniyi, S. I., & Izuchukwu, M. C. (2019). Forensic accounting and interview process in discovering financial fraud in selected ministries in Anambra State. International Journal of Recent Innovations in Academic Research, 3(12), 74-87.

Oppong, C., & Bruce-Amartey, A. (2022). International financial reporting standards, board governance and accounting quality: Preliminary Ghanaian evidence. Journal of Accounting, Business and Finance Research, 15(2), 27–40. https://doi.org/10.55217/102.v15i2.528

Osazevbaru, H. O. (2012). Creative accounting and firm's market value in Nigeria. Kuwait Chapter of the Arabian Journal of Business and Management Review, 33(852), 1-13.

Ozili, P. K. (2020). Advances and issues in fraud research: A commentary. Journal of Financial Crime, 27(1), 92-103. https://doi.org/10.1108/jfc-01-2019-0012

Pan, G., & Seow, P.-S. (2016). Preparing accounting graduates for digital revolution: A critical review of information technology competencies and skills development. Journal of Education for Business, 91(3), 166-175. https://doi.org/10.1080/08832323.2016.1145622

Pasch, T. (2019). Strategy and innovation: The mediating role of management accountants and management accounting systems’ use. Journal of Management Control, 30(2), 213-246. https://doi.org/10.1007/s00187-019-00283-y

Ramamoorti, S. (2008). The psychology and sociology of fraud: Integrating the behavioral sciences component into fraud and forensic accounting curricula. Issues in Accounting Education, 23(4), 521-533. https://doi.org/10.2308/iace.2008.23.4.521

Rezaee, Z., Crumbley, D. L., & Elmore, R. C. (2004). Forensic accounting education. Advances in Accounting Education: Teaching and Curriculum Innovations, 6, 193-231.

Rezaee, Z., Lo, D., Ha, M., & Suen, A. (2016). Forensic accounting education and practice: Insights from China. Journal of Forensic & Investigative Accounting, 8(1), 106-119.

Shanikat, M., & Khan, A. (2013). Culture-specific forensic accounting conceptual framework: A skills set theoretical analysis. International Journal of business and management, 8(15), 112-123. https://doi.org/10.5539/ijbm.v8n15p112

Shkeer, A. S., & Awang, Z. (2019). Exploring the items for measuring the marketing information system construct: An exploratory factor analysis. International Review of Management and Marketing, 9(6), 87-97.

Sinaga, O., Roespinoedji, D., Saudi, M. H. M., & Ghani, E. K. (2019). The role of management accounting systems, energy efficiency and organizational innovation in driving competitive advantage and firm performance. International Journal of Energy Economics and Policy, 9(3), 395-402.

Thottoli, M. M., Thomas, K., & Ahmed, E. R. (2019). Qualitative analysis on information communication technology and auditing practices of accounting professionals. Journal of Information and Computational Science, 9(9), 529-537.

Views and opinions expressed in this article are the views and opinions of the author(s), Humanities and Social Sciences Letters shall not be responsible or answerable for any loss, damage or liability etc. caused in relation to/arising out of the use of the content.