Index

Abstract

As the Thai government's policy requires community enterprises to be able to solve problems by themselves and be self-reliant, this study was conducted to assess and prioritize the needs of facilitator skills to enhance the facilitator technique in developing a training course for Thai community enterprises. The data was collected from 137 members of the community enterprises in Thailand. The research instrument was a need assessment questionnaire on the actual situation and expected situation towards skills of facilitator for community enterprises. The statistics used to analyze the data included mean, standard deviation (SD) and Priority Needs Index Modified (PNIModified). It is suggested that the results of this study should be applied in the development of training courses to enhance the ability of facilitator of community enterprises. The findings present new knowledge on facilitator techniques, which community enterprise members can use to develop an economic system of the community self-sufficiency.

Keywords: Community enterprises,Facilitator,Facilitator skills,Facilitator technique,Needs assessment,Thai community enterprises.

Received: 7 May 2022 / Revised: 14 July 2022 / Accepted: 29 July 2022/ Published: 17 August 2022

Contribution/ Originality

This study contributed to extending the ability of community enterprise members to become professional facilitators. More specifically, findings enhanced the capacity of community enterprises to be self-sufficient and able to correct, promptly, and appropriately address problems that arise within their communities.

1. INTRODUCTION

Among 10 key strategies proposal by The Thailand Development Strategy of the 12th National Economic and Social Development Plan (2017-2021), the second strategy focused on creating fairness and reducing inequality in society, and aimed to enhance labor skills in order to increase labor productivity and increase income. The strategy also supported the creation of a career, generating income, and helping to increase productivity for the 40 percent segment of population with the lowest income, comprising the disadvantaged, women, and the elderly. This required the support of community enterprises, social enterprises and small and medium-sized enterprises to encourage entrepreneurs to produce and sell products (Office of the National Economic and Social Development Council, 2017).

In addition to promoting community enterprises in line with the 20-year national strategy, the Department of Agricultural Extension raised the significance on three strategies including 1) Learning, research and development; 2) Community enterprise management for self-reliance and; 3) Promoting and supporting community enterprises and community enterprise networks. The Department also promoted and developed the community enterprises by assessing their potential of promoting literacy from external learning sources and emphasizing self-reliant community management. Such guidelines were developed and development plans formulated which organized the learning process in compliance with the community mutual agreement, exchanging knowledge to develop literacy and to utilize resources appropriately with effective problem-solving management (Office of Small and Medium Enterprise Promotion, 2017).

In response to the needs of the government sector for community enterprises, and to be self-reliant for a better quality of life, it is necessary to educate community enterprise members about facilitation skills and practical techniques to become a professional facilitator. This encouraged community enterprises to carry out self-reliance activities and solve problems within the group, according to the strategy proposed by the government. Marquardt (2002) mentioned the facilitator plays the role of a coordinator within the group and also acts as a catalyst of individual behavior, an observer, a climate setter within the group to be carried out as well as a learning coach who provides advice and solve problems to group members. Furthermore, Rees (2005) suggests that the facilitator's role is to manage the process and to be objective about the content of the discussion on the process as to how the group members should work together, how they should interact with one another, and how they should make decisions. The content also refers to the subject at hand or group decisions, including what is presented, opinions proposed, decisions made, and actions planned.

There exist various concepts, theories, and related researches both domestically and internationally on essential skills of being a facilitator, namely: 1) Listening Skills, 2) Observation Skills, 3) Questioning Skills, 4) Giving Feedback Skills, 5) Body Language Skills and, 6) Storytelling Skills. The current study analyzed these facilitation skills for community enterprises in order to apply the research results to develop a training course and enhance the technique of being a facilitator for the community enterprise.

2. OBJECTIVES OF RESEARCH

3. LITERATURE REVIEW

3.1. Facilitator Techniques

The facilitator techniques for community enterprises in this research are based on the account of Cilliers (2000), who suggested that interpersonal skills of trainers should be enhanced in respecting and accepting trainees as human beings. They should also have the skills to understand others by greatly developing awareness, understanding, and acceptance of the trainees' thoughts, needs, feelings, and communicating this understanding and acceptance concretely. Schwarz (2002) stated that the skilled facilitator approach is based on several key principles: curiosity, transparency, and joint accountability. While curiosity about other people's perspectives and learning how your ideas and those of others can be integrated, transparency means sharing your strategy with others. In contrast, joint accountability means that you are responsible for any situation that arises, and you are part of the system. Therefore, your actions are involved in system maintenance or system changes. Bee and Bee (2004) state that the effective facilitator needs to have a very high level of communication skills, but a facilitator cannot be successful without the practical application of four key skills: building and maintaining rapport between the facilitator and group members and between group members, actively listening and observing group/individual behaviors, masterly questioning to draw out and explore issues with the group, effectively managing information derived from the facilitation process.

Havergal and Edmonstone (2017) argue that the most important skills of a facilitator are active listening at every stage of work and asking questions that encourage the team to solve their own problems. Similarly, Landale and Douglas (2002) suggest that the key skills for facilitators are active listening skills, speaking skills to facilitate, observation skills, professional questioning skills, storytelling skills, and feedback skills.  In addition, Lindesmith and McWeeny (1994) note that the facilitator's storytelling skills help to create a positive atmosphere that contributes to the overall effectiveness of the learning activities.

A study by Bylund et al. (2009) investigated the needs for facilitator training. It was found that the four essential tasks for advanced trainers were prioritized as follows: 1) eliciting learning goals, 2) focusing on learner’s needs and agendas, 3) inviting positive pre-emptive feedback, and 4) reinforcing certain communicative skills. The former two tasks are essential to maintaining a learner-centered environment, while the other two important tasks are concerned with how to facilitate the feedback process and having learners reflect on the positive, their pre-emptive feedback to reinforce learner’s skills and reassure that they are in a safe learning environment. The findings revealed that the most frequently used facilitation tasks included reading, discussing scenarios, introducing oneself, providing guidance to help learners understand their learning objectives and asking learners to reflect their feedback before other group members. However, the study also suggests that the facilitators often encounter certain dilemmas on fields such as discussing potential needs, summarizing learning process, engaging group members in problem-solving, and asking for their positive feedback.

Overall, the strategies that facilitators implement to help learners achieve their learning goals include open-ended questions and problem-based learning processes. The open-ended questions are discussed mainly on the educational goals of the process, whereas the problem-based learning refers to the subgroup process that represents unstructured problem, hypothesis generation, revision, and evaluation, inquiry, decision-making, problem identification, self-study, and reflection (Hmelo-Silver & Barrows, 2006).

There are a few skills needed to enhance the facilitator techniques for community enterprises namely: 1) Listening skills, or the ability to listen and understand what the speaker wants to communicate, to summarize and relate the content topics, among team members and share with them objectives as well as various relevant issues. 2) Observational skills, which refer to the ability to observe certain behaviors during meetings; and which monitor how these facilitated activities relate to the participants and how they have an effect on participants learning styles. 3) Questioning skills, which refer to the ability to construct questions that allow team members to participate in discussions and to promote problem-solving skills by themselves for mutual understanding enabling team members to enhance what they lack. 4) Giving feedback skills, which refer to the ability to reflect the outcome of one's actions to reform the team meetings and interaction among team members, provided that team members should consider giving and receiving feedback as a mutual agreement to improve their collaboration. 5). Body language skills, which refer to the ability to convey gesture-based language transmissions among team members with an awareness of common misinterpretation. For instance, the act of looking at the clock may lead to the speaker’s misinterpretation that he or she should stop the presentation. 6). Storytelling skills refer to the ability to tell stories, which enables the facilitator to support learning to maximize the overall effectiveness of learning activities (Davidhizar & Lonser, 2003).

3.2. Needs Assessment

The study draws on Maslow's hierarchy of needs (Maslow, 1954) as the basis for the study, suggesting five types of human needs to determine an individual’s behavior. These hierarchical needs involve physiological needs, safety needs, love and belonging, esteem needs, and self-actualization. This theory is significant to this study because community enterprise members wish to have a better quality of life, safety of life. and building good relationships within their group, thus the desire to meet these needs is the driving force that influences their future actions and motivations. Aduma et al. (2022) examine the demographic variables and occupational stress affecting the performance of university lecturers by drawing on Maslow’s hierarchical theory of needs as the basis for the study since those needs are linked with meeting their expectations such as housing, careers, and livelihood. The desire to fulfill these needs can be the driving force that influences their actions. Conversely, being unable to satisfy their identified needs adequately may challenge their well-being, influencing their job performance and stress. Brown (2002) studied the assessment of training needs and found that the purpose of a training needs assessment is an ongoing process of collecting data to determine what training needs to exist so that training can be developed to help an organization meet its objectives. Conducting needs assessment is the basis for the success of a training program. Often, organizations will develop and perform training without prior needs analysis. These organizations are at risk of too much training or too little training or missing the key points. There are four reasons why needs assessment must be done before developing a training program: 1) to identify a specific problem in the organization, which the project owner must know what is the problem, 2) to obtain management support, 3) to develop data for evaluation, and 4) to determine the cost and benefit of training.

Ferreira and Abbad (2013) studied training needs assessment (TNA) principles and showed that TNA can be applied to many areas of knowledge. Whenever a project owner is interested in planning and implementation of professional education, they can apply TNA in the areas of technology, medicine, management, marketing, mental health, education, or psychology. Kaufman and English (1979) stated that needs assessment focuses on identifying discrepancies and suggesting certain actions to resolve them. Witkin and Altschuld (1995)  defined needs assessment as a systematic process for implementing objectives, priorities and decisions about program or organization improvement and resource allocation. This is consistent with Wongwanich (2015), who suggested that needs assessment is an assessment process to determine the difference between the status quo and the expected situation, before analyzing to assess potential gaps or differences of actual situation and finding how the actual situation should be changed. Such assessment of needs provides input to constructive and positive change.

Therefore, it can be concluded that the needs assessment is a collection of information gathered to prioritize the needs of the people by using data from the needs assessments to solve problems and improve the actual situation.

3.3. Community Enterprises

In accordance with the criteria announced by the committee of Community Enterprise Promotion Act (2005) community enterprises is a community enterprise related to the production of goods, services or other acts carried out by a group of persons with common goals to operate certain businesses, whether it is a juristic person in any form or not a juristic person, to generate income and self-reliance for family, communities, and across communities.
With regard to Office of Small and Medium Enterprise Promotion (2017) community enterprises is a community enterprise related to the production of goods, services or other acts carried out by a group of persons with common goals to operate certain businesses, whether it is a juristic person in any form or not a juristic person, to generate income and self-reliance for family, communities, and across communities by using resources, products, knowledge, wisdom, culture, and self-reliance as the foundation of economic structure to strengthen the community and to enhance the economic system and sustainability due to its strong foundation of economic structure.

Schwarz, R. M. (2002). The skilled facilitator: A comprehensive resource for consultants, facilitators, managers, trainers, and coaches. San Francisco: Josey-Bass.

and Wongsurawat (2010) studied the characteristics of successful small and micro-community enterprises in rural Thailand and found that there are five factors that determine the success of Thai community enterprises: member motivation for business ownership, systematic division of work, accounting records, intelligent marketing plan. and quality certification. Punluekdej and Srisorn (2017) studied the development pattern of community enterprises to become strengthened and found that the factors affecting the success model were 1) the successful management of community enterprises with regular meetings and training on marketing knowledge, 2) the self-reliance of community enterprises such as providing various distribution channels, creating product quality that meets product standards, using technology to help sell products, and strengthening networks, 3) there are mutual benefits and the benefits are distributed fairly and evenly, 4) coordination and participation of community enterprise members in all relevant activities, and 5) appropriate leader and leadership style. From a thorough review of the meaning of community enterprise definition, it can be summarized that community enterprise refers to a community affair related to the production of goods, services, or otherwise operated by a group of affiliated persons by using the wisdom and creativity in the community to run the business together. The aim of such business operation is self-reliance and interdependence in the community.

4. METHODOLOGY

4.1. Research Scope

The informant group or the sample of the study comprised a total of 137 members of community enterprise who were members located in Mueang Nakhon Pathom District, Nakhon Pathom Province, Thailand. The report of Provincial Community Enterprise in Nakhon Pathom (Tongbuasirilai, 2011) revealed that a major challenge affecting the development of community enterprises in Nakhon Pathom province was the cooperation among members in conducting activities during early stages, in which the members cooperated with their full efforts. Yet, the members did not seem to benefit from participating in the activities. After a period of time, however, they were no longer cooperative.  As a result, it was obligatory for the group president to operate the business without the cooperation of the members. Concerning the sampling, it is also worth noting that the researcher decided to collect the data from the entire population because there were only 137 members in total of the community enterprise in Mueang Nakhon Pathom district. The variables in this research were the needs to enhance the facilitator techniques for community enterprises.

4.2. Data Collection Instruments

The instrument used for data collection in the research was the Needs Assessment Questionnaire on the actual situation and expected situation of the facilitator skills for community enterprises consisting of 6 skills as follows: 1) Listening Skills, 2) Observation Skills, 3) Questioning Skills, 4) Giving Feedback Skills, 5) Body Language Skills, and 6) Storytelling Skills. The questionnaire comprised a 5-level rating scale with Indexes of Item-Objective Congruence (IOC) equal to 0.80 - 1.00, verifying that the content validity was acceptable and usable. The reliability which was measured by Cronbach's Alpha Coefficient was equal to 0.89, signifying that the questionnaire was appropriate and reliable.

4.3. Data Collection

Due to the outbreak of the COVID-19 pandemic, it was inconvenient to conduct the study in the field, the data was collected by sending the need assessment questionnaire via E-mail. Prior to that, the researcher had contacted the community enterprise group leader who agreed to coordinate, distribute, and collect the questionnaires from community enterprise members. A total of 137 questionnaires were filled in and completely returned to the researcher.

Figure 1. Matrix analysis of needs.

Note:
Criterion 1 means: The quality of performance exceeds the specified criteria.
Criterion 2 means: The performance achieved a good level.
Criterion 3 means: The performance was not successful and need improvements.
Criterion 4 means: The performance is in poor condition, but it's not a concern because organizations attach importance to that indicator is not high.

4.4. Data Analysis

The data of needs assessment on actual situation and expected situation towards facilitator skills obtained from the questionnaire for community enterprises were analyzed by mean and standard deviation (SD) (Leekitwattana, 2015). The data was recorded and analyzed through matrix analysis. The result was classified into four criteria (Wongwanich, 2015) as shown in Figure 1.

The prioritization of needs to enhance the facilitator technique for community enterprises was analyzed by means of the Modified Priority Needs Index (PNI Modified) (Wongwanich, 2015). The formula for this study was as follows:

PNI modified            = The priority needs index modified.
I (Importance)     = The average of expected situation.
D (Degree of Success) = The average of actual situation.

5. RESULTS

The status of all respondents are shown in Figure 2, There were 137 participants responding to the needs assessment to enhance the facilitator's technique for community enterprises questionnaire. As classified by position, group leader of 49 respondents accounted for 35.77%, group vice leader of 23 respondents accounted for 16.79% and group member of 65 respondents accounted for 47.44%.

Figure 2. Percentage of respondents by position.

Actual situation and expected situation towards facilitator skills for community enterprises. As shown in Table 1, the overall actual situation was at a moderate level ( = 2.73, SD = 0.53). Considering each skill, the study showed that the actual situation of all skills was at a moderate level. The highest actual situation was Listening Skills ( = 2.87, SD = 0.46), while the lowest actual situation was Storytelling Skills ( = 2.56, SD = 0.50). The expected situation assessment result was at a high level ( = 4.34, SD = 0.46). The expected situation for all skills was at a high level. The highest expected situation was Body Language Skills ( = 4.42, SD = 0.49), while the lowest expected situation was Giving Feedback Skills ( = 4.21, SD = 0.40) as shown in Table 1.

Table 1. Mean (), Standard Deviation (SD) and the level of actual situation and expected situation regarding facilitator skills for community enterprises.

Skills of Facilitator Actual Situations Expected Situations
SD
Level
SD
Level
Listening Skills
2.87
0.46
Moderate
4.40
0.49
High
Observation Skills
2.70
0.51
Moderate
4.25
0.43
High
Questioning Skills
2.75
0.61
Moderate
4.41
0.49
High
Giving Feedback Skills
2.66
0.48
Moderate
4.21
0.40
High
Body Language Skills
2.84
0.63
Moderate
4.42
0.49
High
Storytelling Skills
2.56
0.50
Moderate
4.36
0.47
High
Total
2.73
0.53
Moderate
4.34
0.46
High

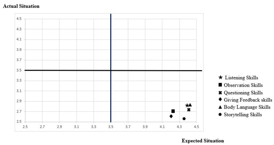
According to the matrix analysis of the needs to enhance the facilitator skills for community enterprises as shown in Figure 3, the study showed that the needs for all 6 skills (Listening Skills, Observation Skills, Questioning Skills, Giving Feedback Skills, Body Language Skills, and Storytelling Skills) fell into the third quadrant, indicating that the need of facilitator skills for community enterprises for all 6 skills were at the level that required a considerable improvement.

Figure 3. Matrix analysis of need to enhance the facilitator skills for community enterprises.

As shown in Table 2, the results of prioritizing the needs to enhance the facilitator skills for community enterprises showed that there was a requirement to develop facilitator skills in which the Priority Needs Index Modified (PNI Modified) valued between 0.53-0.70. The priorities of all 6 skills were shown in order as follows: Storytelling Skills, Questioning Skills, Giving Feedback Skills, Observation Skills, Body Language Skills, and Listening Skills.

Table 2. The results of prioritizing the needs to enhance the facilitator skills for Community enterprises.
Skills of Facilitator
The average of expected situations (I)
The average of actual situations (D)
Listening Skills
4.40
2.87
0.53
6
Observation Skills
4.25
2.70
0.57
4
Questioning Skills
4.41
2.75
0.60
2
Giving Feedback Skills
4.21
2.66
0.58
3
Body Language Skills
4.42
2.84
0.56
5
Storytelling Skills
4.36
2.56
0.70
1
Total
4.34
2.73
 

6. DISCUSSION

The actual situation assessment results of facilitator skills for community enterprises were at a moderate level (  = 2.73, SD = 0.53), Considering each skill, the study showed that the highest level of facilitator skills in actual situation was Listening Skills ( = 2.87, SD = 0.46) and the lowest level of facilitator skills in actual situation was Storytelling Skills ( = 2.56, SD = 0.50). This can be justified that although community enterprises members have already possessed basic facilitator skills, it is worth nothing that Listening Skills should be greatly improved. In line with Ismail and Chittle (2020); Cilliers (2000) and Ewert, Yaccino, and Yaccino (1994), the current research also showed that the most important skills of facilitator for effective work processes was listening skills. This research is consistent with the notion of Havergal and Edmonstone (2017), which also assessed the most important fundamental skill of facilitator as active listening at every stage of the work, during a negotiation process, or while organizing and planning. This concludes that a facilitator must have several levels of listening skills, including listening to facts or what people are thinking about or what they are describing or saying, listening to hints about how people, listen to clues about what people are prepared to do or what they hope others will do It  was found that Listening Skills of community enterprises members should be enhanced with Listening Techniques in order to be able to understand what has been heard, summarize what has been heard, link the content, understand the feelings of the speaker and can be extended to various topics.

The expected situation assessment results of facilitator skills for community enterprises was at a high level ( = 4.34, SD = 0.46). The expected situation for every skill was at a high level. The highest expected situation was Body Language Skills ( = 4.42, SD = 0.49), while the lowest expected situation was Giving Feedback Skills ( = 4.21, SD = 0.40). It can be suggested that community enterprises members need to enhance their facilitator techniques than they used to. This is consistent with the concept of Wongwanich (2015) that needs assessment is an assessment process to determine the difference between the actual situation and the expected situation. Afterward, the results are analyzed to assess gaps or differences in the situations that occur, which will determine how the actual situation should be changed. Therefore, needs assessment is an essential information assessment for constructive and positive change.

The results of the prioritization of needs showed the arrangement order as: Storytelling Skills, Questioning Skills, Giving Feedback Skills, Observation Skills, Body Language Skills, and Listening Skills. This is consistent with the notion of Witkin and Altschuld (1995) that needs assessment is a systematic process for implementing objectives, priorities, and decisions regarding program improvement or organization and resource allocation. Moreover, this research also corresponds to the notion conceptualized by Kaufman and English (1979) in that needs assessment is a process used to identify gaps between current outcomes and desired outcomes before prioritizing issues that need further action. This is consistent with the research of Albee, Swann, Mihalko, and McKinney (2005) that needs assessment provides a foundation which stakeholders can develop a strategic plan and measure the management success or expectations that exceed the expectations of members. Therefore, it is recommended that those directly responsible or those involved should prepare a training plan in order to develop the facilitator skills by enhancing the facilitator techniques for community enterprises in accordance with the actual situation efficiently and effectively.

7. CONCLUSION

Based on the finding of this study, it was concluded that the actual situation assessment of facilitator skills for community enterprises were at a moderate level. The highest level was Listening Skills while the lowest level was Storytelling Skills. The expected situation assessment was at a high level. The highest expected situation was Body Language Skills while the lowest was Giving Feedback Skills. In particular, the prioritization of needs can be prioritized as follows: Storytelling Skills, Questioning Skills, Giving Feedback Skills, Observation Skills, Body Language Skills, and Listening Skills. This study contributed new knowledge on facilitator techniques of community enterprise members that can be applied in learning activities, meetings or training to add product values, increase sales opportunities resulting in income generation, and economic stability of Thai community enterprises.

Policy recommendations for sustainable success in empowering community enterprises in Thailand to be self-reliant and self-managed. It is recommended that government sectors or related organizations implement the findings of this study to develop a strategic action plan and training course to enhance the ability of facilitator of community enterprises members.

Funding: This study received no specific financial support.  

Competing Interests: The authors declare that they have no competing interests.

Authors’ Contributions: All authors contributed equally to the conception and design of the study.

REFERENCES

Aduma, P. O., Owan, V. J., Akah, L. U., Alawa, D. A., Apie, M. A., Ogabor, J. O., & Essien, E. E. (2022). Interactive analysis of demographic variables and occupational stress on university lecturers’ job performance. Humanities and Social Sciences Letters, 10(2), 88-102.Available at: https://doi.org/10.18488/73.v10i2.2952.

Albee, J., Swann, N., Mihalko, B., & McKinney, Y. (2005). Conducting a formal needs assessment to facilitate strategic planning for a professional organization. American Journal of Infection Control, 33(5), e105.Available at: https://doi.org/10.1016/j.ajic.2005.04.129.

Bee, F., & Bee, R. (2004). Facilitation skills (6th ed.). London: Chartered Institute of Personnel and Development.

Brown, J. (2002). Training needs assessment: A must for developing an effective training program. Public Personnel Management, 31(4), 569-578.Available at: https://doi.org/10.1177/009102600203100412.

Bylund, C. L., Brown, R. F., Lubrano di Ciccone, B., Diamond, C., Eddington, J., & Kissane, D. W. (2009). Assessing facilitator competence in a comprehensive communication skills training programme. Medical Education, 43(4), 342-349.Available at: https://doi.org/10.1111/j.1365-2923.2009.03302.x.

Cilliers, F. (2000). Facilitation skills for trainers. SA Journal of Industrial Psychology, 26(3), 21-26.Available at: https://doi.org/10.4102/sajip.v26i3.715.

Community Enterprise Promotion Act. (2005). Community enterprise promotion act, B.E. 2548. Bangkok: Winyuchon.

Davidhizar, R., & Lonser, G. (2003). Storytelling as a teaching technique. Nurse Educator, 28(5), 217-221.Available at: https://doi.org/10.1097/00006223-200309000-00008.

Ewert, M. D., Yaccino, T. G., & Yaccino, D. M. (1994). Cultural diversity and self-sustaining development: The effective facilitator. Community Development, 25(1), 20-33.Available at: https://doi.org/10.1080/15575339409489891.

Ferreira, R. R., & Abbad, G. (2013). Training needs assessment: Where we are and where we should go. BAR-Brazilian Administration Review, 10(1), 77-99.Available at: https://doi.org/10.1590/S1807-76922013000100006.

Havergal, M., & Edmonstone, J. (2017). The facilitator’s toolkit (2nd ed.). New York: Routledge.

Hmelo-Silver, C. E., & Barrows, H. S. (2006). Goals and strategies of a problem-based learning facilitator. Interdisciplinary Journal of Problem-Based Learning, 1(1), 4.Available at: https://doi.org/10.7771/1541-5015.1004.

Ismail, E., & Chittle, L. (2020). A collaborative approach to developing transferable teaching skills among student workshop facilitators. Collected Essays on Learning and Teaching, 13, 100-110.Available at: https://doi.org/10.22329/celt.v13i0.6017.

Kaufman, R. A., & English, F. W. (1979). Needs assessment: Concept and application. New Jersey: Educational Technology.

Landale, A., & Douglas, M. (2002). The fast facilitator: 76 Facilitator activities and interventions covering essential skills, group processes and creative techniques. New York: HRD Press.

Leekitwattana, P. (2015). Educational research methodology (10th ed.). Bangkok: King Mongkut's Institute of Technology Ladkrabang.

Lindesmith, K. A., & McWeeny, M. (1994). The power of storytelling. The Journal of Continuing Education in Nursing, 25(4), 186-187.

Marquardt, M. J. (2002). Building the learning organization: Mastering the 5 elements for corporate learning. Boston: Nicholas Brealey.

Maslow, A. H. (1954). Motivation and personality. New York: Harper and Row.

Office of Small and Medium Enterprise Promotion. (2017). The 4th SME promotion master plan (2017-2021). Retrieved from https://www.sme.go.th/upload/mod_download/download-20201014082711.pdf.

Office of the National Economic and Social Development Council. (2017). Summary of the twelfth national economic and social development plan (2017-2021). Retrieved from https://www.nesdc.go.th/ewt_dl_link.php?nid=9640.

Punluekdej, T., & Srisorn, W. (2017). The development pattern of community enterprise to become strengthened: A case study of Nakhon Cowboy,Bangkok Noi,Bangkok, Thailand. International Journal of Humanities, Arts and Social Sciences, 3(3), 129-141.Available at: https://dx.doi.org/10.20469/ijhss.3.20005-3.

Rees, F. (2005). The facilitator excellence handbook (2th ed.). San Francisco: John Wiley & Sons.

Ruengdet, K., & Wongsurawat, W. (2010). Characteristics of successful small and micro community enterprises in rural Thailand. Journal of Agricultural Education and Extension, 16(4), 385-397.Available at: https://doi.org/10.1080/1389224x.2010.515060.

Schwarz, R. M. (2002). The skilled facilitator: A comprehensive resource for consultants, facilitators, managers, trainers, and coaches. San Francisco: Josey-Bass.

Tongbuasirilai, U. (2011). Nakhon pathom community enterprise information report. Farmer Promotion and Development Group. Nakhon Pathom Provincial Agriculture Office.

Witkin, B. R., & Altschuld, J. W. (1995). Planning and conducting needs assessments: A practical guide. Thousand Oaks: Sage.

Wongwanich, S. (2015). Needs assessment research (3rd ed.). Bangkok: Chulalongkorn University.

Views and opinions expressed in this article are the views and opinions of the author(s), Humanities and Social Sciences Letters shall not be responsible or answerable for any loss, damage or liability etc. caused in relation to/arising out of the use of the content.