Index

Abstract

This paper describes an investigation of the influence of the addition of Nickel on the mechanical properties of aluminium bronze alloy. The investigation began by casting the specimens in a crucible pit furnace. Sand casting was utilised and was discovered to be more effective because it is inexpensive and easy to use during the production of aluminium bronze alloy. Five different samples of the aluminium bronze alloyed with 0% to 4% nickel were added into the furnace in accordance with their melting points. Nickel has the highest melting point of 1453℃, while copper, aluminium and zinc have melting points of 1084℃, 660℃ and 419℃ respectively. The mixture was manually stirred for around 5 minutes to ensure proper mixing of the alloying materials. After casting, both tensile and hardness tests were carried out on the machined, sectioned and ground specimens. An increment was observed in the samples’ hardness as the percentage composition of nickel increased while the tensile strength initially increased and then decreased. It was also observed from the results that the tensile stress for each specimen increased with strain.

Keywords: Hardness, Tensile strength, Aluminium, Nickel, Copper, Zinc.

Received: 12 April 2019 / Revised: 16 May 2019 / Accepted: 20 June 2019/ Published: 9 August 2019

Contribution/ Originality

The current study investigates the effect of adding a range of percentage compositions of nickel to aluminium alloy.


1. INTRODUCTION

Aluminium bronze consists of aluminium as the major alloying metal being added to copper in contrast to standard bronze that consists of an alloy of copper and tin. The aluminium bronze has a golden colour which dulls with time. A range of aluminium bronzes that comprises of different compositions has become useful for industrial purposes. The percentage ranges between 5% to 11% aluminium by mass while the remaining weight consists of metals such as copper and other alloying elements such as nickel, manganese, chromium. Occasionally, aluminium bronze is formed with the addition of silicon [1].

In comparison with the other bronze elements, aluminium bronze is most valued because of its properties such as strength, wear resistance and corrosion resistance, and it exhibits excellent resistance to wear [2]. Aluminium bronzes and other alloys in its type provide flexible mechanical properties during heat treatment in addition to small a quantity of nickel. Nickel-aluminium bronze can be classified in the group of aluminium bronzes or a range of copper-based alloys with additions of small nickel. It contains the alloying metals of the proportion 9-12wt. % of aluminium, 6wt. % of nickel and others to the specified proportions. It has good strength and better resistance to corrosion and wear, qualities which have caused it to become one of the more useful engineering materials for heavy duty applications in oil and gas industries [3].

This study is aimed at producing aluminium bronze alloyed with nickel that can be used as a potential replacement for conventional materials in automobile, marine, and defence industries such as for marine hardware, shafts and pumps as stainless steel and aluminium bronze alloyed with magnesium are very commonly to construct propeller in seagoing vessels. An effort to manage the great demand of materials with high resistance to corrosion has led to the insufficiency of aluminium bronze alloyed with magnesium. Hence, the need to produce a replacement of magnesium-aluminium bronze alloyed with other materials that have high corrosion resistance, hardness, tensile strength, yield strength and excellent resistance to wear such as aluminium bronze alloyed with nickel.

The objectives of this research are to produce aluminium bronze alloyed with nickel, determine the hardness and tensile strength of aluminium bronze alloyed with nickel produced, and determine the microstructure features of the nickel-aluminium bronze.

2. LITERATURE REVIEW

Many studies have been conducted on aluminium bronze such as the one carried out by Kaplan and Yildiz [4] on an aluminium bronze material (Cu-4%, Ni-9%, Al-4%Fe). Sand and die moulds were first used to produce aluminium bronze. Further, in order to test the effects of moulds types, metallographic and mechanical testing methods were used to investigate solution treatment and tempering heat treatment on the microstructures and mechanical properties of the moulds. It was later concluded that the aluminium bronze element was heterogeneous in the preheated die casting sample before the treatment; however, it was homogenous in the sand casting. When the solution and tempering heat treatment were successfully completed, the structure of the material was found to be substantially homogenous and both tensile and hardness strength were observed to increase drastically due to the growth of the α+β phase compound and the distribution of compound as FeNi in the phases as a result of the heat treatment. In research carried out by Sekunowo, et al. [5] it was noted that aluminium bronze consists of attractive materials; however, it is often subjected to a series of deficiencies in some engineering applications such as in subsea weapons ejection systems, aircraft landing devices and power plant facilities. The need for the eradication of the present limitations associated with aluminium bronze has led to the emergence of different technologies. Following that, Abdul and Pravin [6] investigated the response of aluminium bronze (Cu-Al-Fe alloy) by varying the type and parameters of heat treatment utlised during the experimentation. The heat treatment employed in this investigation were solutionizing and ageing. The solution treatment was carried out at two temperatures (850and 900) and lasted 0.5, 1, 1.5 and 2 hours. Further, they carried out ageing at 300, 400 and 500 and duration of the ageing was maintained at 2, 3 and 4 hrs respectively. Quenching was carried out on the heat-treated samples in order to bring them to ambient temperature. The behaviour of the alloy was then assessed in terms of the influence of the type, temperature and duration of the heat treatment on the microstructural and mechanical properties of the samples. Results showed that heat treatment has a great effect on the microstructural features and mechanical properties of the samples investigated.

The effect of heat treatment on the microstructure and hardness of nickel-aluminium with different alloying contents of 10%-Al, 5%-Fe and 5%-Ni has been investigated by Prabhash and Praveen [7]. They found that heat treatment resulted in microstructural alterations and corresponding changes in mechanical properties. The authors suggested that the mechanical properties of the samples were improved greatly using heat treatment. Thus, solutionising and ageing heat treatments can be imployed to improve the mechanical properties of nickel aluminium bronze to a considerable extent.

Furthermore, Daroonparvar, et al. [8] studied the effect of the microstructure of nickel-aluminium bronze alloy on corrosion behaviour in artificial seawater. The authors made use of linear polarisation and impedance to carry out the series of tests conducted. Different heating cycles such as quenching, normalising and annealing were adopted to heat treat the alloy. Microstructure investigation was conducted on the specimens before and after heat treatment using optical microscopy and scanning electron microscopy. Results revealed that the fraction of pearlite phase in the normalised alloy was much greater than in other specimens and this led to higher corrosion resistance. Research work by Gavrilova and Petkov [9] discovered changes after heat treatment in the microstructure and hardness of aluminium bronze alloyed with nickel modified by molybedum. The changes in the microstructure were found to be largely determined by the presence of nickel in the composition of the alloy. In this case, the content of the additional alloying element was fixed at 3% and the addition of 0.1% Mo.

Labanowski and Olkowski [10] studied the effect of microstructure on mechanical properties of BA1055 aluminum bronze casting used for marine propellers. Metallographic studies were employed to assess the alloy microstructure quantitatively and qualitatively. They discovered that shape, size and distribution of the iron-rich κ−phase precipitates in bronze microstructure significantly affected its mechanical properties. While the increase in the number of small κ−phase precipitates, which depends on the chemical composition of the alloy, Fe/Ni ratio, cooling rate and casting technology, increased the tensile strength of castings, the presence of large globular precipitate improved ductility. The effect of nickel addition on microstructure and mechanical properties of aluminum-based alloys was also investigated by Hernández-Méndez, et al. [11]. Alloys with different content of nickel were produced by powders metallurgy method. The results indicated that the microstructure of the aluminium nickel alloys exhibited a thin and homogeneous distribution of an intermetallic compound (Al3Ni) in the aluminum’s matrix and the Al3Ni increased as the nickel content in the alloy increased. There were improvements due to the presence of the Al3Ni in the hardness, compression and flexion resistance.

Nwaeju, et al. [12] investigated the effect of manganese and niobium macro-additions on the structure and mechanical properties of aluminum bronze (Cu-10%Al) alloy. Sand casting technique was employed in the production of a dual-phase aluminium bronze alloy with 10% aluminium content in the alloy. The specimens were produced with varying percentage content (1.0 to 10 wt% at 1% incremental) of each of the elements in Cu-10%Al alloy. Tests were carried out to determine the tensile strength, yield strength, percentage and hardness. Microstructural analysis revealed a primary α-phase, β-phase (Cu3Al), α +γ2 intermetallic phase and fine stable reinforcing kappa phase. The mechanical tests showed that the phases resulted in improved mechanical properties.

The effect of additives of Cr, Mo, W and/or Si on aluminum-iron-nickel bronze (CuAl10Fe5Ni5) was investigated by Pisarek [13]. The bronze was cast in sand moulds, and the bronze technological properties: porosity, volumetric shrinkage, linear shrinkages and prone hot to cracking were studied. The digital image analysis method was used to evaluate the porosity and volumetric. Volumetric shrinkage was determined from the obtained surface shrinkage Svp designation. It was discovered that the bronze alloy additions reduced the pores’ surface area of gas and caused shrinkage in the bronze. It was also found that the increase in gas porosity and shrink in bronze reduced the volumetric shrinkage and linear. However, the addition of Cr, Mo, W and/or Si to the aluminum bronze did not change its tendency to hot crack. In the experimental investigations carried out by Adeyemi, et al. [14] they added magnesium to the microstructure and mechanical properties of aluminum bronze. Alloyed aluminum bronze samples were cast by doping the bronze with magnesium at different quantities from 0-4 wt% magnesium content. Mechanical tests and microstructural analysis were carried out on the produced samples. From the results of the experimental investigations, it was reported that addition of magnesium to aluminum bronze has a significant impact as it increases the hardness and yield strength of aluminum bronze while the ductility of aluminium bronze reduced. A feasibility study on how to produce a dual-phase aluminium bronze alloy that can replace the conventional structural materials (steels) was investigated by Donatus, et al. [15] using local techniques. Sand casting method was utilised to produce a dual-phase aluminium bronze alloy that consisted of 11% Al which was inexpensive, not difficult to use and flexible. The produced alloy was subjected to cold deformation of 10 and 20% degrees while annealing, quenching, normalsing and ageing were utilised to change the mechanical properties of the cast alloy. It was revealed from the investigation that the best heat treatment is normalizing which alters the mechanical properties and produce a fine-grained homogeneous structure. The new alloy had an ultimate tensile strength of 325 MPa with elongation around 60% while the results obtained from Rockwell hardness testing machine ranged from 46.5 - 63.7 HRC. The authors concluded that the alloy is a suitable metal that can replace steel in any structural applications that require low/medium strength.

3. RESEARCH METHODOLGY

3.1. Materials and Alloy Casting

The copper, aluminium and zinc which were used in the production of aluminium bronze were obtained at the Department of Foundry at Federal Institute of Industrial Research Oshodi, Lagos State, Nigeria, and the nickel which was added in the percentage 0-4% was purchased from the open market in Lagos. The copper was obtained from Amor cable, by melting away the rubber coating of the cabling in a furnace. The aluminium was obtained from aluminium scraps. In this study, a green-sand mould was utilised to produce the casting because of its outstanding properties including its strength, thermal stability, collapsibility and good casting surface finish. The mould consisted of sharp silica sand, charcoal, clay and starch (organic binder) and the mixture of the clay and starch was obtained through the correct proportion of added water. The entire mould was allowed to dry naturally before the addition of molten metal. Following this, a cylindrical wooden pattern mould was used to produce the specimen. An incorporated gating system was used to create a mould cavity within the drag and cope assembly.

The compositions of the nickel-aluminium bronze were prepared as shown in Table 1. As can be seen, the total weight composition of each specimen was 500 g. Nickel, with the highest melting point of 1455, was initially added to the crucible pit furnace Figure 1a. When it has attained a level of fluidity, copper, with a melting point of 1084, was added. Then the remaining of the materials (aluminium and zinc) were added according to their melting points (660 and 419). Fortunately, the furnace had the capacity to melt materials with a lesser melting point without them being evaporated. The measurement of the temperature of the molten metal was obtained through a thermocouple that was incorporated with the furnace. The melt was stirred manually with a rod for approximately 5 minutes to facilitate dissolution of the alloying elements before being poured into the prepared mould.

Figure-1. (a) Crucible pit furnace and (b) As-cast cylindrical rods of nickel-aluminium bronze.

The molten metal alloy was fed into the sand mould cavity until spruce was filled up and 25 minutes shaken-out time was allowed immediately following the point at which the molten metal alloy had been poured into the mould cavity. The drag and cope were disassembled then the solidified cast alloy was seen. Fettling and cleaning were carried out on the solidified cast alloyed samples in order to remove the protrusion. Finally, the clean surface of the cast alloy was obtained as shown in Figure 1b.

Table-1. Weight and percentage composition ratio for each specimen.

Specimen
Copper
Aluminium
Zinc
Nickel
1
88% (440g)
10% (50g)
2% (10g)
0% (0g)
2
87% (435g)
10% (50g)
2% (10g)
1% (5g)
3
86% (430g)
10% (50g)
2% (10g)
2% (10g)
4
85% (425g)
10% (50g)
2% (10g)
3% (15g)
5
84% (420g)
10% (50g)
2% (10g)
4% (20g)

3.2. Specimen Preparation

The cast nickel-aluminium bronze rods were machined using a lathe machine in preparation for tensile and hardness test on the specimens. The turning operation was carried out on the specimens in order to produce the required shapes and sizes for tensile testing. The diameter of the tensile specimens was reduced to 4 mm and the gauge length was reduced to 30 mm; shoulder diameter was machined to 5 mm, with the gripping length 5 mm as shown in Figure 2a. The hardness test specimens were machined to a cylindrical prism of 10 mm diameter and 15 mm long, as shown in Figure 2b.

Figure-2. Samples of the machined (a) tensile test specimen and (b) hardness test specimen.

3.3. Mechanical Testing

Tests were carried out at the Centre for Energy Research and Development (CERD), Obafemi Awolowo University, Ile-Ife, Nigeria. The tensile strength property of the aluminium bronze alloyed with nickel was determined using an Instron universal tensile testing machine (model 3369), while a Vickers hardness testing machine was utilised to test hardness according to ASTM E384 Standards. The tensile specimens were subjected to constant extension rate tensile (CERT) tests of 5 mm/min on the machine at room temperature (the experimental setup is shown in Figure 3. The tensile force was plotted against the displacement by the machine as straining continued. Properties such as percentage elongation, stress, strain and yield point were also obtained. An average of three observations was considered in this study.  The hardness test, was carried out on polished, flat surface hardness test specimens, each of 20 mm in diameter. During each test, a pyramid indenter was carefully placed on the specimen surface and a force of about 588 N (60 Kgf) was applied and maintained for about 12 seconds. The indentation on the specimen was then displayed on the tester monitor, measured and converted to a hardness value. Three indentations were taken on each specimen and the mean was obtained.

Figure-3. Experimental setup of tensile test.

4. RESULTS AND DISCUSSION

4.1. Tensile Test of Aluminium Bronze with Different Percentages of Nickel

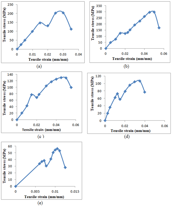
The tensile testing machine was connected to a computer system that calculates the mechanical properties of the specimens automatically. Properties such as elongation percentage, stress, strain, yield point and stress/strain graph when subjected to tensile pull were obtained. Table 2 shows the results from the tensile test and Figure 3 depicts the tensile stress against the strain for the different percentages of nickel in the alloyed aluminium bronze. Hardness variation, the stress and the strain of the aluminium bronze alloy with different percentage of nickel in the content from the Vickers testing machine with ASTM E384 standards are shown in Table 3 and Figure 5.

Table-2. Results of tensile test for the aluminium bronze specimens.

Specimens
0% of Ni
1% of Ni
2% of Ni
3% of Ni
4% of Ni
Maximum load (N)
4012.03
3743.89
1832.5
1365.27
703.294
Tensile stress at maximum load (MPa)
204.011
297.929
145.83
108.645
55.956
Tensile Strain at maximum load(mm/mm)
0.0504
0.044
0.058
0.03195
0.114
Extension at break (standard) (mm)
2.614
1.308
2.5
1.3
0.375
Energy at break (standard) (J)
2.511
2.221
2.994
1.11
0.052
Energy at maximum load (J)
2.511
2.221
1.982
0.679
2.221
Energy at yield (zero slope) (J)
1.903
1.825
1.982
0.679
-
Extension at yield (zero slope) (mm)
1.312
1.2
1.734
0.959
-
Load at tensile strength (N)
3714.02
3357.05
1818
1337.074
10.122
Modulus (Elastic modulus) (MPa)
18040
17652.1
9386.4
11787.69
19702
True strain at maximum load
0.055
0.043
0.056
0.031
0.01132
True stress at maximum load (Pa)
4E+08
3.1E+08
2E+08
1.12E+08
5.7E+07

From the tensile results, it can be observed that addition of nickel to aluminium bronze increased the tensile stress of the alloy, thus improving the tensile property of the aluminium bronze. The increase was high initially and then followed by a decrease in value as the percentage of nickel content in the alloy increased. Tensile stress at maximum load of 204.011 MPa, 297.929 MPa, 145.83 MPa, 108.645 MPa and 55.956 MPa were recorded for 0%, 1%, 2%, 3% and 4% of nickel content in the alloy, respectively. Hence, aluminium bronze alloyed with 1% of nickel exhibited superior tensile strength. This corroborates the work of Nwaeju, et al. [12] which revealed that addition of nickel improved tensile strength and percentage elongation of aluminium bronze alloy to a point and then decreased with further addition of the nickel content in the alloy.  The nickel presence in the alloy matrix which increased the nucleation sites for the transformation of kappa precipitates from α-phase and provided a considerable level of impediments to dislocation, thereby stimulating improvement on the mechanical properties of the alloy.

Figure-4. Stress-strain graph of specimens with varying percentage of nickel content in the aluminium bronze (a) 0% of Ni (b) 1% of Ni (c) 2% of Ni (d) 3% of Ni and (e) 4% of Ni.

Furthermore, the addition of nickel to aluminium bronze increased the hardness; the more the percentage of nickel in the aluminium bronze, the higher the hardness of the alloy, as depicted in Table 3 and Figure 5. A hardness value of 75.983 HVN was recorded for aluminium bronze without the addition of nickel. Moreover, the hardness value increased to 164.374 HVN, 180.098 HVN, 189.083 HVN and 205.543 HVN as nickel content in the alloy increased to 1%, 2%, 3% and 4%, respectively. This behaviour may be attributed to the intermetallic compounds that were present in the aluminum matrix with a stiffener effect on the produced alloy. However, it can also be noted that the increment in hardness does not follow a linear pattern as shown in the curve of Figure 5 and it does not increase linearly with the nickel content in the aluminium bronze alloy. This is in agreement with Hernández-Méndez, et al. [11] research on the analysis of the effect of the addition nickel on microstructures and mechanical properties of aluminium alloys.

Table-3. Hardness, stress and strain values with different percentages of nickel in aluminium bronzes.

% of Ni in specimen
Stress (Mpa)
Strain (mm/mm)
Hardness (HVN)
0
301.004
0.050
75.983
1
297.930
0.044
164.674
2
111.113
0.083
180.098
3
58.017
0.043
189.083
4
38.829
0.013
205.543

Figure-5. Hardness vs percentage of nickel content in the aluminium-bronze.

4.2. Microstructures

Figure 6 shows the generated microstructures by aluminium bronze alloy with the addition of a varying percentage of nickel. In addition to intermetallics, two major phases were shown under the optical microscope as comprising a needle-like alpha (α) phase, (β) phase and other phases developed within the aluminium-bronze matrix. Figure 6a shows a fine distribution of needle-shaped α grains (white) developing due to a decrease in temperature in the mould. Conversely, Figure 6b consists primarily of austenite structures with what appears to be a combination of cementite and pearlite. Furthermore, Figure 6c & Figure 6d show predominantly austenite with patches of ferrite, and Figure 6e is characterised by the presence of acicular ferrites/cementite aggregates that appears to be fine pearlite. The presence of intermetallics within the aluminium-bronze matrix and decomposition of (β ) phase in Figure 6a into a combination of cementite and pearlite with predominating α phase in other samples brought about the improved tensile strength and more significantly the observed increase in the hardness of the alloy.

Figure-6. Microsctructure of the samples with various percentage of Ni in the aluminium-bronze (x 200).

5. CONCLUSION

The influence of the addition of nickel in varying percentage content from 0- 4% to the microstructures and mechanical properties of aluminium bronze alloy has been investigated experimentally. It was revealed that the addition of nickel influenced the tensile strength and microstructure of the aluminium bronze alloy, and the following conclusions were drawn from the results of the tests:

Funding: This study received no specific financial support.   
Competing Interests: The authors declare that they have no competing interests. 
Acknowledgement: All authors contributed equally to the conception and design of the study.

REFERENCES

[1]          G. Kear, B. Barker, K. Stokes, and F. Walsh, "Electrochemistry of non-aged 90–10 copper–nickel alloy (UNS C70610) as a function of fluid flow: Part 2: Cyclic voltammetry and characterisation of the corrosion mechanism," Electrochimica Acta, vol. 52, pp. 2343-2351, 2007.

[2]          J. Wharton, R. Barik, G. Kear, R. Wood, K. Stokes, and F. Walsh, "The corrosion of nickel–aluminium bronze in seawater," Corrosion Science, vol. 47, pp. 3336-3367, 2005. Available at: https://doi.org/10.1016/j.corsci.2005.05.053.

[3]          R.-P. Chen, Z.-Q. Liang, W.-W. Zhang, D.-T. Zhang, Z.-Q. Luo, and Y.-Y. Li, "Effect of heat treatment on microstructure and properties of hot-extruded nickel-aluminum bronze," Transactions of Nonferrous Metals Society of China, vol. 17, pp. 1254-1258, 2007.

[4]          M. Kaplan and A. Yildiz, "The effects of production methods on the microstructures and mechanical properties of an aluminum bronze," Materials Letters, vol. 57, pp. 4402-4411, 2003.

[5]          O. Sekunowo, S. Adeosun, G. Lawal, and S. Balogun, "Mechanical characterisation of aluminium bronze-iron granules composite," International Journal of Scientific & Technology Research, vol. 2, pp. 179-185, 2013.

[6]          P. K. Nigam and P. Jain, "Effect of heat treatment on tensile and compression strength of nickel aluminium bronze (Cu–10% Al–5% Ni–5% Fe)," Archives of Applied Science Research, vol. 5, pp. 224-230, 2013.

[7]          P. Jain and P. K. Nigam, "Influence of heat treatment on microstructure and hardness of Nickel Aluminium Bronze (Cu-10Al-5Ni-5Fe)," Journal of Mechanical and Civil Engineering, vol. 4, pp. 16-21, 2013.

[8]          M. Daroonparvar, M. M. Atabaki, and A. Vakilipour, "Effect of pre-heat treatment on corrosion behavior of Nickel-Aluminium Bronze Alloy," Association of Metallurgical Engineers of Serbia, vol. 17, pp. 183-198, 2011.

[9]          R. V. Gavrilova and R. Petkov, "Researches on the structure and properties of heat treated, nickel alloyed, molybdenum modified aluminum bronze," vol. 45, pp. 644-648, 2013.

[10]        J. Labanowski and T. Olkowski, "Effect of microstructure on mechanical properties of BA1055 bronze castings," Archives of Foundry Engineering, vol. 14, pp. 73-78, 2014. Available at: https://doi.org/10.2478/afe-2014-0040.

[11]        F. Hernández-Méndez, A. Altamirano-Torres, J. G. Miranda-Hernández, E. Térres-Rojas, and E. Rocha-Rangel, "Effect of nickel sddition on microstructure and mechanical properties of aluminum-based alloys. In materials science forum," Trans Tech Publications, vol. 691, pp. 10-14, 2011.

[12]        C. Nwaeju, F. Edoziuno, and A. Imah, "Effect of vanadium and chromium macro-additions on the structure and mechanical properties of aluminium bronze (Cu-10% Al) alloy," International Journal of Research in Engineering and Innovation, vol. 1, pp. 171-180, 2017.

[13]        B. Pisarek, "Effect of additions of Cr, Mo, W and/or Si on the technological properties of aluminum-iron-nickel bronze," Archives of Foundry Engineering, vol. 11, pp. 199-208, 2011. Available at: https://doi.org/10.1179/mst.1994.10.10.924.

[14]        G. Adeyemi, B. S. Oluwadare, and K. O. Olanipekun, "Investigation on the effect of addition of magnesium on the microstructure and mechanical properties of aluminium bronze," International Journal of Engineering Science Invention, vol. 2, pp. 1-13, 2013.

[15]        U. Donatus, J. A. Omotoyinbo, and I. M. Momoh, "Mechanical properties and microstructures of locally produced aluminium-bronze alloy," Journal of Minerals and Materials Characterization and Engineering, vol. 11, p. 1020, 2012. Available at: https://doi.org/10.4236/jmmce.2012.1110105.

Views and opinions expressed in this article are the views and opinions of the author(s), Review of Industrial Engineering Letters shall not be responsible or answerable for any loss, damage or liability etc. caused in relation to/arising out of the use of the content.