Cadmium (Cd) and Zinc (Zn) are two closely associated chemical elements having varied biological roles. Cd is a non-essential noxious element whereas Zn is an indispensable micronutrient at low concentrations but toxic to plants at higher levels. At the root surface, Cd competes with Zn for the same transmembrane carriers and Zn reduces Cd uptake in plants. Arbuscular mycorrhizal (AM) fungi are considered potential biotechnological approach for increasing plant tolerance to Cd-polluted soils. Applications of Zn and AM fungal inoculations might augment metal tolerance by reducing Cd uptake through their interactive effects. Thus, experiments were carried out to investigate the interplay between Zn (500 and 1000 mg kg-1 dry soil) and AM fungus [Funneliformis mosseae (T.H. Nicolson & Gerd.) C. Walker & A. Schüßler] on growth, nutrient management, photosynthetic efficiency, osmotic equilibrium and productivity in two pigeonpea (Cajanus cajan (L.) Millsp.) genotypes (Tolerant- Sel 85N and Sensitive- P792) exposed to Cd stress (25 and 50 mg kg-1 dry soil). Results revealed that accumulation of Cd and Zn individually reduced plant dry matter, total chlorophyll contents, Rubisco activity and nutrient uptake resulting in loss of yield, with Cd proving to be more toxic. However, Zn and AM reduced Cd uptake and their combined treatments enhanced plant biomass, photosynthetic ability and harvest index (HI) significantly by providing osmotic balance (total soluble sugars, free amino acids, proline, glycine betaine). The effects were more discernible in Sel 85N than P792 which could be directly correlated with its better ability for mycorrhizal colonization under stress.
Keywords: Chlorophyll, Funneliformis mosseae, Heavy Metals, Nutrient, Productivity, Proline.
Received: 19 October 2020 / Revised: 9 November 2020 / Accepted: 30 November 2020/ Published: 14 December 2020
This study documents concomitant application of Zn and AM fungi as an economically feasible strategy in increasing the tolerance as well as yield potential of pigeonpea genotypes subjected to Cd stress by improving photosynthetic ability, nutrient status and osmoprotection.
Contamination of arable soils by heavy metals is a grave ecological menace since their non-biodegradable character results in prolonged tenacity along with their predisposition for bio-augmentation via food web (Ali, Khan, & Ilahi, 2019). In this context, cadmium (Cd) is considered as one of the most harmful heavy metal because of its extended biological half-time (upto 30 years), extremely mobile character, high water solubility, the easiness in absorption by plant roots and the small amount needed to exhibit its effects on planta (Ismael et al., 2019; Zhou et al., 2020). Cd influences many plant biochemical and physiological processes, for instance, respiration, photosynthesis, hormonal equilibrium, water and nutrient uptake, protein and nitrogen metabolism and changes the overall physiology, resulting in diminutive growth and yield output (Kolahi, Kazemi, Yazdi, & Goldson-Barnaby, 2020; Zhu et al., 2018). In contrast, Zinc (Zn) is a vital element for plant sustenance as it performs catalytic and/or structural functions in several cell physiological processes, such as, nucleic acid, carbohydrate and lipid metabolism, cell division and expansion along with synthesis of proteins and auxins (Aghajanzadeh, Prajapati, & Burow, 2020; Feigl et al., 2019). Notwithstanding its significance in plant development and health, supra-optimal concentrations of Zn in soil exert phytotoxic effects on growth and productivity (Garg & Singh, 2018) thereby affecting the agriculture unfavorably. Plants acclimatize to metal-induced osmotic stress by synthesizing certain low molecular weight organic compounds referred to as compatible solutes/osmoprotectants/osmolytes [e.g. soluble sugars, free amino acids, proline and glycine betaine (GB)] (Zouari et al., 2016). Despite the fact that these stress metabolites are generally present in plants, their synthesis intensifies many folds under unfavorable situations, including metal stress. However, little information is available regarding the mechanisms behind osmolyte-mediated amelioration of Cd and/or Zn toxicity in plants. Cd seldom occurs singly in soil and often exists in association with other heavy metals like Zn in major sources (e.g. sphalerite ore) (Kanwal, Bano, & Malik, 2015). Both the metals fall under group IIB transition elements with analogous electronic configuration and valency, share various physical and chemical resemblances (Wu, Dun, Zhang, Li, & Wu, 2020) and compete with each other for root uptake as well as root-shoot translocation in plants (Zare, Khoshgoftarmanesh, Malakouti, Bahrami, & Chaney, 2018). However, literature on Cd-Zn inter-relationship has revealed contradictory findings (synergistic or antagonistic) and thus, a clear perception of the prospective interaction between Cd and Zn needs investigation.Plants cope up with metal stress by establishing symbiosis between roots and soil microbes like arbuscular mycorrhizal (AM) fungi and this association is considered a vital resource for nutrient management of contaminated soils (Kanwal et al., 2015). AM family Glomeraceae is considered to be more adaptable with high sporulation ability under stressful conditions compared to the other families (Krishnamoorthy et al., 2015). The existence and supremacy of Funneliformis mosseae (T.H. Nicolson & Gerd.) C. Walker & A. Schüßler in soils contaminated with metals renders it a model species in increasing plant metal tolerance. Nevertheless, little research has been carried out to uncover the precise functions of AM in host physiological and biochemical responses to Cd and/or Zn exposure, though it is well-recognized that fungal symbiosis has tremendous ability to enhance plant growth and metal tolerance.
Legumes are susceptible to metals, however, due to great variations in the ability of their genotypes to tolerate metal stress, selection of differentially tolerant genotypes might help in identifying important biomarkers of metal tolerance. Pigeonpea (Cajanus cajan L.) is a major legume crop (Family-Fabaceae) of rain-fed farming regions in semi-dry tropics. Central America, Indian subcontinent and Eastern Africa are the three major pigeonpea growing areas of the world, India being the foremost producer (Khan, Moses, & Kumar, 2017). At global level, it is grown on 4.92 million hectares (Mha) terrain and its yearly production is 3.65t with productivity of 898 kg ha-1 (http://faostat.fao.org/). It is considered moderately tolerant to metal stress and has the ability to establish effective symbiosis with both Rhizobium and AM. To the best of our knowledge, there are no reports available about interactive impacts of Zn and AM fungal symbiosis in combating Cd toxicity in legume species, especially pigeonpea, except our own lab publications (Garg & Kaur, 2013; Garg & Singh, 2018; Kaur & Garg, 2017). Thus, it is imperative to explore whether Zn and mycorrhization, singly or jointly, can improve the functional performance of this particular legume species in response to Cd stress.
The present research hypothesized that Zn supplementation (+Zn) and AM symbiosis (+AM) would strengthen the productivity potential of pigeonpea plants subjected to Cd stress by improving photosynthetic ability, nutrient status and osmoprotection. Experimental trials were performed to (i) evaluate the comparative effect of Cd and excess Zn on biomass, photosynthetic performance (leaf water status, chlorophyll a:b ratio, total chlorophyll content, Rubisco activity), nutrient acquisition and yield in two differentially tolerant pigeonpea genotypes, (ii) elucidate role of Zn and/or mycorrhization in altering various physiological and biochemical responses of pigeonpea genotypes under Cd stress, (iii) get deep insights into Zn and AM modulated regulatory roles of osmolytes in managing Cd-induced osmotic stress.
In our previous study (Kaur & Garg, 2017), we reported that Zn and/or AM attenuated the phytotoxic effects of Cd by restoring membrane stability, nutrient balance, modulating enzymatic antioxidant defense and osmoprotection in the nodules of two pigeonpea genotypes, with Sel85N having superior ability to adapt to oxidative and osmotic stress than P792. The present study is an extension of the previous one, addressed to provide insights into the mechanisms adopted by Zn and/or AM fungi in restoring photosynthetic efficiency, mineral nutrition and osmotic balance, thereby improving growth and yield in the two genotypes subjected to the similar metal concentrations.
2.1. Plant Experimental Conditions and Set Up
Pot trials were carried out in regular cultivating season in the plant house of Department of Botany, Panjab University, Chandigarh (30.45 ºN, 76.45 ºE and altitude 305-348 m) with minimum temperature varying between 21-28 ºC and maximum 35-43 ºC. The relative humidity during forenoon ranged from 43-55% and afternoon from 35-48%. The experimental set up consisted of 3 × 3 × 2 × 2 absolute factorial combination containing three treatments of Cd (0, 25 and 50 mg kg-1 of soil); three treatments of Zn (0, 500 and 1000 mg kg-1 of soil), two mycorrhizal inoculations (with and without AM) and two genotypes of pigeonpea (Sel 85N and P792). All the treatments were reproduced six times in a randomized block design. The data for only higher Zn treatment (Zn1000) has been considered in findings because of its greater and more significant impact in reducing Cd toxicity, with as well as without AM fungal inoculations.
2.1.1. Characteristics of Experimental Soil and Biological Materials
Soil containing homogeneous mixture of sun dried, completely crushed and sieved loam (acquired from the nearby agriculturally productive fields, within 20 cm depth) and sand in the ratio of 1:1 by volume was used for the present investigations. For eliminating any existing AM fungal propagules, the assorted soil was autoclaved at 121°C for 1 h (two times at 48 h gap). Experimental soil possessed the following physico-chemical attributes; texture- loamy, pH- 7.6 (1:1, soil: water), electrical conductivity of saturated extract (ECe)- 0.88 d Sm-1, organic carbon- 0.68% (Walkley, 1947) total nitrogen (N)- 0.42% (Nelson & Sommers, 1980) phosphorus (P)- 11 mg kg-1 (Olsen & Sommers, 1982) 0.17 meq available potassium (K)/100g (Mehlich, 1953) 0.2 mg Cd kg-1 soil and 55.05 mg Zn kg-1 soil [DTPA (diethylenetriaminepentaacetic acid)-CaCl2-TEA (trietanolamine) method] (Gupta & Sinha, 2006). Classification of the experimental soil was as follows (according to United States Department of Agriculture (USDA), US soil taxonomy): Order: Entisols, Suborder: Fluvents, Great Group: Torrifluvents, Subgroup: Typic Torrifluvents, Family: Fine-loamy, mixed, superactive, calcareous, Series: Jocity, Youngston. Plant material consisting of seeds of two differentially metal tolerant pigeonpea genotypes (relatively tolerant- Sel 85N and relatively sensitive- P792) were procured from Pulse Laboratory, Indian Agricultural Research Institute (IARI), New Delhi as well as International Crops Research Institute for the Semi-Arid Tropics (ICRISAT), Patencheru, India. The seeds were coated with pigeonpea-specific rhizobial inoculums of Sinorhizobium fredii AR-4, obtained from Division of Microbiology, IARI, New Delhi, India. Funneliformis mosseae (UTMU 128 WM1/11) (T.H. Nicolson & Gerd.) C. Walker & A. Schubler, formerly called as Glomus mosseae (Schubler & Walker, 2010) was procured from the Centre for Mycorrhizal Culture Collection, The Energy and Resource Institute (TERI), New Delhi, India. Fungal inoculum was prepared in an open-pot soil culture (Miyasaka, Habte, Friday, & Johnson, 2003) by employing Zea Mays L., Sorghum bicolor L. and Coriandrum sativum L. For fungal colonization of plant roots, fifty grams of soil-based inoculum of F. mosseae (comprising fragments of colonized roots, spores, filamentous hyphal mesh) was positioned at 1.5 cm pot depth, preceding sowing. Non-AM treatments were given the same mass of autoclaved inoculum (to obtain similar soil texture) along with 10 mL aliquot of an inoculum filtrate.
2.1.2. Raising of Plants, Metal Treatments and Harvesting Procedure
Surface sterilization of seeds was done by immersing them in 10% (v/v) hydrogen peroxide (H2O2) solution for 10 min followed by 4-5 washings with distilled water under aseptic conditions in order to eliminate any remnants of chemical that could interfere with seed germination as well as to avert the development of seed-borne pathogens. Circular earthenware experimental pots (30 x 25 x 25 cm) were disinfected with 70% ethanol, lined with plastic bags and loaded with 8 kg of autoclaved soil mixture (Liu, Chen, & He, 2011). Three plants per pot of each genotype were maintained till harvest. Pots were shuffled randomly once in a week to reduce any locational effects. 15 days after emergence (DAE), plants were exposed to metal treatments of Cd (CdSO4, 25 and 50 mg kg-1 of dry soil) and Zn (ZnSO4, 500 and 1000 mg kg-1 of dry soil), individually as well as in combinations. Pots from each of the treatments were sampled at pre-flowering stage [80 days after sowing (DAS)] and flowering to fruiting stages (110-130 DAS). The underground harvested parts were then dipped in 20 mM Na2-EDTA for 15 min to remove metals holding onto the root surfaces (Liu et al., 2009) and rewashed with deionized water. The data was obtained for all the three plants collectively and computed on per plant basis by taking the mean values.
2.2. Plant Measurements and Analysis
2.2.1. Mycorrhizal Symbiosis and Dependency
Mycorrhizal symbiosis i.e. percentage of mycorrhizal root infection (mycorrhizal colonization— MC) was detected by staining the cleared pigeonpea roots with trypan blue. Underground samples were cleared with 10% KOH solution, stained with 0.05% trypan blue (Phillips & Hayman, 1970) and microscopically observed for root colonization. The mycorrhizal colonization was calculated by the method of Giovannetti and Mosse (1980) following grid line intersect method.
2.2.2. Plant Biomass, Nutrient Analysis and Harvest Index (HI)
Different plant samples (roots, shoots and seeds) were dried in an electric oven at 70 ºC for 72 h till they attained a constant weight. Total plant biomass was determined (at 80 DAS), and plants were then separated into roots and leaves for various physiological and biochemical analysis. For nutrient analysis, nitrogen (N) content was determined using colorimetric method of Lindner (1944). Phosphorus (P), potassium (K), calcium (Ca), magnesium (Mg) and iron (Fe) estimations were done using flame photometry and atomic absorption spectrophotometry by the method of Chapman and Pratt (1961). Seeds of three plants per pot were weighed and seed dry weight per plant was calculated. Plant yield efficiency in terms of Harvest Index (HI) was computed according to Leport, Turner, Davies, and Siddique (2006) (the amount of above-ground biomass production invested into harvestable organs) as follows:
2.2.3. Relative Water Content (RWC), Total Chlorophyll and Rubisco Activity
Leaf relative water content was calculated by the method given by Whetherley (1950). Chlorophyll extraction was carried out from the leaf discs of plants following the method of Hiscox and Israelstam (1979) and chlorophyll a, b and total chlorophylls were computed from the extinction values following the equation of Arnon (1949).
Chl a = 12.7 (A663) – 2.69 (A645)
Chl b = 22.9 (A645) – 4.68 (A663)
Total chlorophylls = 20.2 (A663) – 8.02 (A645)
Ribulose 1, 5-bisphosphate carboxylase oxygenase (Rubisco) activity was assayed according to the method of Fair, Tew, and Cresswell (1973) as fresh weight (FW) biomass. Enzyme activity was expressed as 14CO2 fixed 103 DPM g-1 FW h-1.
2.2.4. Total Proteins and Stress Metabolites [Total Free Amino Acids (FAA), Total Soluble Sugars (TSS), Proline and Glycine Betaine (GB)]
Total proteins were estimated following the method of Bradford (1976). The method of Lee and Takahashi (1966) was used for the determination of FAA which were calculated from the reference curve prepared by means of glycine (5-50 mg) and expressed as mg amino acids per g tissue dry weight (DW). TSS were estimated by the method of Irigoyen, Einerich, and Sánchez-Díaz (1992) and standard curve was prepared using graded concentrations of glucose. Proline content was analyzed following absorbance of toluene soluble brick-red colored complex at 520 nm (Bates, 1973). Concentration of proline was estimated by referring to a standard curve made from known concentrations of proline. GB was determined following absorbance of betaine-periodite complex with iodide in acidic medium at 360 nm as per the method of Grieve and Grattan (1983). Reference standards of glycine betaine (50-200 µg mL-1) were prepared and the procedure for sample estimation was followed.
2.3. Statistical Analyses
Experimental data obtained was statistically analyzed by means of statistical software SPSS 25.0 for Windows (SPSS, Inc., Chicago, IL, USA). Data presented in tables and figures are the mean values based on six replicates ± standard error (SE). Results obtained from experiments were subjected to four-way analysis of variance (ANOVA) for the main effects (Cd, cadmium; Zn, zinc; AM, Arbuscular mycorrhiza; G, genotype) and their interactions. The significance of difference between exposed and control plants was tested by Dunnett’s multiple comparison test (P < 0.05). Pearson’s correlation (rp) was used to ascertain relationship between two dependent variables for diverse parameters (P < 0.01). A multiple regression model was designed to forecast various dependent variables from the independent factors Cd, Zn, AM and G.
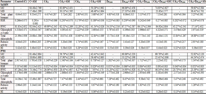
3.1. Mycorrhizal Colonization (MC), Mycorrhizal Dependency (MD)
Microscopic assessment revealed no MC and MD in the uninoculated (-AM) stressed and unstressed pigeonpea plants. However, inoculated (+AM) unstressed plants of both the genotypes displayed high rates of mycorrhization (84.48% in Sel 85N and 81.46% in P792) and least AM dependency (17.48% in Sel 85N and 18.60% in P792). As is apparent from the data Table 1 colonization rates declined with increasing levels of stress, more under Cd than Zn (Cd25: Sel 85N-63.89%, P792-56.79%; Cd50: Sel 85N-50.28%, P792-42.41%; Zn1000: Sel 85N-66.86%, P792-60.86%), indicating metal-induced intervention with the growth and establishment of AM fungi. Moreover, increasing levels of Cd caused higher dependency on AM for their growth (Cd × AM, Table ESM 1) than Zn which was further authenticated from results of regression analysis (MC: β(Cd)=−0.362, β(Zn)=−0.182; MD: β(Cd)=0.323, β(Zn)=0.162). Sel 85N had higher degree of colonization and was lesser dependent on AM fungi for its growth and development as compared to P792 (AM × G). Hence, higher negative correlation between MC and MD was observed in P792 than Sel 85N (Sel 85N, rp(MC − MD) = − 0.745; P792, rp(MC − MD) = − 0.898). Addition of Zn (+Zn) along with Cd resulted in improved colonization rate along with lesser dependence of pigeonpea plants on fungal symbiosis for their growth and overall health (Cd × Zn × AM), suggesting that presence of Zn (+Zn) reduced the negative effects of Cd toxicity (Table ESM 2a,b). Plants grown under combination having lower level of Cd (Cd25) and higher level of Zn (Zn1000) displayed highest colonization rate (74.93% in Sel 85N and 69.78% in P792) but least dependency on AM fungi (21.65% in Sel 85N and 25.41% in P792). Observations recorded from the results of ANOVA (Table ESM 1) depicted that Cd × Zn interactions on MC and MD were statistically significant in Sel 85N as well as P792.
3.2. Total Plant Biomass, Nutrient Uptake and Productivity
Accumulation of Cd or Zn (Table ESM 2a,b) significantly reduced plant biomass, with higher negative effects on roots than shoots (previously published, Garg and Kaur (2013)) which directly impacted root to shoot ratio (RSR), mineral nutrition and ultimate yield performance (Harvest index, HI) of pigeonpea plants (ANOVA Table ESM 1). The decrease in biomass, RSR, nutrient acquisition as well as seed yield was proportionate to increase in Cd and Zn doses in the rooting medium as well as their concentrations in both the genotypes (Table 1, Table 3a,b), nonetheless, Sel 85N performed better than P792 (Cd × G). Cd treatments hampered the uptake and translocation of essential elements to a much greater extent than Zn in an organ dependent manner, evidenced through regression analysis which indicated higher contents of nitrogen (N), potassium (K), magnesium (Mg), and iron (Fe) in leaves Table 2 than roots (N, β(Cd)=−0.480, β(Zn)=−0.371; K, (β(Cd)=−0.519, β(Zn)=−0.424; Mg, β(Cd)=−0.425, β(Zn)=−0.321; Fe, (β(Cd)=−0.467, β(Zn)=−0.316) whereas phosphorus (P) and calcium (Ca) contents were greater in roots (P, β(Cd)=−0.362, β(Zn)=−0.237 Ca, β(Cd)=−0.414, β(Zn)=−0.337) than leaves Table 2. The reduction observed in nutrient pool (e.g. P) and biomass under stressed conditions could be directly correlated with metal contents in a genotype dependent manner [Sel85N: (roots) Cd:P rp=−0.649, Zn:P rp=−0.038, (leaves) Cd:P rp=−0.568, Zn:P rp=−0.031, Cd:Biomass rp = −0.675, Zn:Biomass rp= −0.071; P792: (roots) Cd:P rp=−0.733, Zn:P rp=−0.082, (leaves) Cd:P rp=−0.642, Zn:P rp=−0.079, Cd:Biomass rp= −0.737, Zn:Biomass rp = −0.133]. Introduction of Zn in the rhizosphere (+Zn) decreased Cd accumulation and reduced its negative effects (Cd × Zn) upto a certain extent leading to enhancement in biomass, nutrient uptake and distribution as well as productivity in a genotype dependent manner (Table ESM 1: Cd × Zn × G), clearly indicating that Zn interfered with the uptake of Cd. Results revealed that combination having lower level of Cd (Cd25) and higher level of Zn (Zn1000) proved to be the most beneficial treatment with reduced amount of Cd detected in the plants along with maximum increase in growth, nutrient pool as well as yield.
Symbiotic association with F. mosseae (+AM) protected pigeonpea plants from the deleterious effects of metals by reducing their uptake and enhancing macro as well as micronutrients build up from the soil, thereby maintaining proper nutrient balance and improving the health of pigeonpea plants, more in Sel 85N than P792 (AM×G). Stronger colonizing ability of tolerant genotype had direct bearing on more effective nutrient management, growth and productivity, evidenced by higher positive correlation of MC with nutrients, biomass and HI in Sel 85N (roots: MC:N rp =0.478, MC:P rp =0.474, MC:K rp =0.389, MC:Ca rp =0.534, MC:Mg rp =0.519, MC:Fe rp =0.381; leaves: MC:N rp =0.504, MC:P rp =0.470, MC:K rp =0.452, MC:Ca rp =0.436, MC:Mg rp =0.545, MC:Fe rp =0.412; MC:Biomass rp =0.234; MC:HI rp =0.534) than P792 (roots: MC:N rp =0.327, MC:P rp =0.381, MC:K rp =0.275, MC:Ca rp =0.377, MC:Mg rp =0.340, MC:Fe rp =0.304; leaves: MC:N rp =0.420, MC:P rp =0.345, MC:K rp =0.369, MC:Ca rp =0.313, MC:Mg rp =0.391, MC:Fe rp =0.349; MC:Biomass rp =0.107; MC:HI rp =0.324).
Table-1. Effects of arbuscular mycorrhizal (AM) inoculation on mycorrhizal colonization (MC) (%), mycorrhizal dependency (MD) (%), total plant biomass (g plant -1), root-to-shoot ratio (RSR), relative water content (RWC) (%), chlorophyll a:b ratio, total chlorophylls (mg g-1 FW), Rubisco activity (14CO2 fixed 103 DPM g-1 FW h-1) and harvest index (HI) in pigeonpea genotypes under cadmium (Cd) and zinc (Zn) stress, singly and in combinations.
Note: * denotes significant difference between exposed and control plants (p < 0.05) as determined by Dunnett’s multiple comparison test.
Additionally, a close perusal of the data revealed that AM (+AM) was more effective in defending the root system of pigeonpea plants against Cd or Zn toxicity than shoot system, confirmed from greater positive correlation of MC with RSR in Sel 85N (MC:RSR rp= 0.418) than P792 (MC:RSR rp= 0.360). In dual metal treatments, fungal endophyte synergistically interacted with Zn in further reducing Cd uptake and regulating ionic homeostasis/balance, hence mitigated its deleterious effects (Cd × Zn × AM), with AM more responsive to Sel 85N in comparison to P792. AM and Zn1000 together (+AM, +Zn) could impart complete attenuation of negative effects of Cd25 treatment in Sel 85N, displaying highest biomass, nutrient acquisition and yield, even more than that of control plants.
Table-2. Regression analysis to evaluate relationship of dependent variable with all independent variables [cadmium (Cd), zinc (Zn), arbuscular mycorrhiza (AM), and genotype (G)].
| Parameters | Regression Equation | Standardized coefficient (Beta) |
R2 |
|||
Cd |
Zn |
AM |
G |
|||
| Total plant biomass | Y=9.826-1.092(x1)-0.079(x2)+1.054(x3)-3.761(x4) | -0.376** |
-0.233** |
0.222** |
-0.793** |
0.822 |
| RSR | Y=0.021-0.019(x1)-0.004(x2)+0.007(x3)-0.033(x4) | -0.557** |
-0.334** |
0.126** |
0.603** |
0.691 |
| HI | Y=0.738-0.098(x1)-0.003(x2)+0.060(x3)-0.237(x4) | -0.478** |
-0.320** |
0.179** |
-0.706** |
0.759 |
| RWC | Y=100.859-16.737(x1)-0.486(x2)+8.249(x3)-27.199(x4) | -0.386** |
-0.225** |
0.490** |
0.583** |
0.714 |
| Chlorophyll a:b ratio | Y=5.297-0.379(x1)-0.046(x2)+0.273(x3)-1.174(x4) | -0.236** |
-0.135** |
0.104** |
0.448** |
0.269 |
| Total chlorophylls | Y=28.952-3.560(x1)-0.026(x2)+2.394(x3)+9.551(x4) | -0.746** |
-0.454** |
0.187** |
0.746** |
0.799 |
| Rubisco activity | Y=5.309-0.631(x1)-0.015(x2)+0.010(x3)+1.590(x4) | -0.659** |
-0.427** |
0.134** |
0.659** |
0.617 |
| N (leaves) | Y=186.950-24.351(x1)-1.536(x2)+13.999(x3)-61.839(x4) | -0.317** |
-0.290** |
0.169** |
-0.747** |
0.818 |
| P (leaves) | Y=20.412-2.228(x1)-0.187(x2)+1.650(x3)-7.405(x4) | -0.449** |
-0.212** |
0.164** |
-0.744** |
0.713 |
| K (leaves) | Y=32.509-4.000(x1)-0.374(x2)+0.122(x3)-0.707(x4) | -0.469** |
-0.354** |
0.122** |
-0.707** |
0.737 |
| Ca (leaves) | Y=2.701-0.290(x1)-0.091(x2)+0.146(x3)-0.900(x4) | -0.556** |
-0.411** |
0.128** |
-0.789** |
0.811 |
| Mg (leaves) | Y=7.885-0.766(x1)-0.107(x2)+0.603(x3)-2.855(x4) | -0.353** |
-0.260** |
0.170** |
-0.806** |
0.808 |
| Fe (leaves) | Y=5.480-0.642(x1)-0.137(x2)+0.311(x3)-1.752(x4) | -0.432** |
-0.331** |
0.128** |
-0.722** |
0.726 |
| Total proteins (leaves) | Y=188.985-28.131(x1)- 2.595(x2)+16.309(x3)-46.241(x4) | -0.584** |
-0.266** |
0.207** |
-0.588** |
0.983 |
| FAA (leaves) | Y=27.714+3.372(x1)+0.718(x2)+6.143(x3)-12.182(x4) | 0.316** |
0.202** |
0.352** |
-0.698** |
0.718 |
| TSS (leaves) | Y=30.019+4.705(x1)+0.834(x2)+7.191(x3)-13.001(x4) | 0.274** |
0.181** |
0.350** |
-0.633** |
0.669 |
| Proline (leaves) | Y=2.104+0.308(x1)+0.092(x2)+0.405(x3)-1.032(x4) | 0.374** |
0.160** |
0.289** |
-0.740** |
0.773 |
| GB (leaves) | Y=323.036+44.800 (x1)+5.907(x2)+56.037(x3)-144.829(x4) | 0.258** |
0.118** |
0.269** |
-0.736** |
0.754 |
Note: Equations were derived from unstandardized coefficients of various independent variables, where Y: dependent variable; x1, x2, x3 and x4 denotes independent variable-cadmium, zinc, arbuscular mycorrhiza and genotype respectively. **coefficient is significant at P<0.01; *coefficient is significant at P<0.05 (2-tailed).
Table-3a. Effects of arbuscular mycorrhizal (AM) inoculation on nitrogen (N) content (mg g-1 DW), phosphorus (P) content (mg g-1 DW), and potassium (K) content (mg g-1 DW) in pigeonpea genotypes under cadmium (Cd) and zinc (Zn) stress, singly and in combinations.
Note: * denotes significant difference between exposed and control plants (p < 0.05) as determined by Dunnett’s multiple comparison test.
Table-3b. Effects of arbuscular mycorrhizal (AM) inoculation on calcium (Ca) content (mg g-1 DW), magnesium (Mg) content (mg g-1 DW) and iron (Fe) content (mg g-1 DW) in pigeonpea genotypes under cadmium (Cd) and zinc (Zn) stress, singly and in combinations.
Note: * denotes significant difference between exposed and control plants (p < 0.05) as determined by Dunnett’s multiple comparison test.
3.3. Photosynthetic Efficiency
Application of Cd or Zn in the rhizosphere disrupted plant water status [relative water content (RWC)] as metal toxicity intensified from control to higher levels which in turn led to considerable declension in photosynthetic efficiency [chlorophyll a:b ratio, total chlorophylls (total Chl) content and Rubisco activity] of fully expanded pigeonpea leaves Table 1. ANOVA (Table ESM 1) indicated significant effects of Cd, AM, G and their interactions Cd×G, AM×G, Cd×AM on leaf hydration, total Chl and carbon-dioxide fixing enzyme activity in the two genotypes. Since foliage of stressed P792 accumulated metals in higher amounts than Sel 85N (Table ESM 2b), consequently former experienced greater reduction in total Chl levels (P792, Cd:total Chl rp = −0.806, Zn:total Chl rp= −0.093; Sel85N, Cd:total Chl rp = −0.765, Zn:total Chl rp= −0.017) as well as chlorophyll a:b ratio, indicating that metals not only decreased the chlorophyll contents but also changed pigment constituents. Comparison of standardized coefficients (β) in regression analysis revealed higher negative effects of Cd than Zn while AM colonization and plant genotype had a positive influence (Table 2). Moreover, carbon-fixing potential was positively correlated with the growth of pigeonpea plants in a genotype dependent manner (Sel 85N, rp=0.962; P792, rp=0.706). Supplementation of Zn1000 (+Zn) counteracted Cd-induced imbalance in water status, total Chl destruction and impairment of Rubisco activity (Cd × Zn, Cd × Zn × G; Table ESM 1), consequently protecting photosynthetic machinery of dual metal treated plants of both the genotypes. Greater positive effects of Zn (+Zn) in enhancing the photosynthetic efficiency were registered when lower level of Cd was supplemented with higher level of Zn (Cd25+Zn1000). Introduction of fungal endophyte in the rooting medium (+AM) significantly modified the degree of water movement in the host plants and positively impacted hydration and photosynthetic performance, more in Sel 85N (MC:RWC rp =0.511, MC:Chl a/b rp =0.217, MC:total Chl rp=0.578, MC:Rubisco rp=0.483) than P792 (MC:RWC rp =0.288, MC:Chl a/b rp =0.170, MC:total Chl rp=0.275, MC:Rubisco rp=0.327). The increase in Mg and Fe contents due to mycorrhization (explained under nutrient results earlier) displayed a more positive correlation with total Chl pool in Sel 85N compared to P792 (Sel 85N, total Chl:Mg rp = 0.902, total Chl:Fe rp = 0.869; P792, total Chl:Mg rp = 0.855, total Chl:Fe rp = 0.718). Composite application of AM (+AM) and Zn1000 (+Zn) acted synergistically in mitigating Cd-induced deleterious effects on photosynthetic capability of pigeonpea plants (Cd25+Zn1000+AM) by significantly improving leaf hydration, light harvesting and carboxylation efficiency that even exceeded those of control plants in Sel 85N (Cd × Zn × AM).
3.4. Total Proteins and Compatible Osmotica
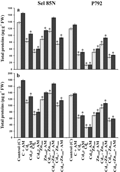
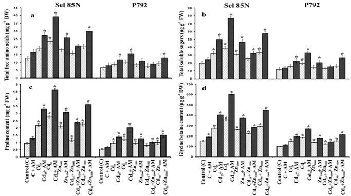
Cd and/ Zn treatments led to a considerable loss of protein pool Figure 1 and up-regulation of synthesis as well as accumulation of osmolytes Figure 2, Figure 3 in concentration, organ and genotype dependent manner. Cd treatments caused greater reduction in protein pool than Zn, verified from comparison of standardized coefficients (β) in regression analysis (roots, β(Cd)=−0.645, β(Zn)=−0.446, Table 2) while former induced higher synthesis of all stress metabolites in both roots and leaves than latter [FAA (roots): β(Cd)=0.355, β(Zn)=0.286; TSS (roots): β(Cd)=0.377, β(Zn)=0.275; Proline (roots): β(Cd)=0.441, β(Zn)=0.264; GB (roots): β(Cd)=0.398, β(Zn)=0.183, Table 2]. Protein and FAA content followed the trend leaves > roots, while it was vice-versa for TSS, proline and GB. Performance of Sel 85N was better than P792 in terms of higher protein contents and better osmotic adjustment through enhanced synthesis of osmoprotectants. Amongst all the osmoprotectants, maximum positive correlation of Cd/Zn concentrations was observed with proline which was higher in roots (Sel85N Cd:Proline rp = 0.665, Zn:Proline: rp = 0.057; P792 Cd:Proline rp = 0.503, Zn:Proline: rp = 0.049) than leaves (Sel85N Cd:Proline rp = 0.654, Zn:Proline: rp = 0.052; P792 Cd:Proline rp = 0.470, Zn:Proline: rp = 0.045). Although proline contents were considerably lower than those of GB, yet former offered more effective protection against Cd/Zn stress in terms of higher percent increase as well as higher standardized coefficients (β) than the latter [Proline (roots): β(Cd)= 0.441, β(Zn)= 0.264; Proline (leaves): β(Cd)=0.374, β(Zn)=0.160; GB (roots): β(Cd)= 0.398, β(Zn)= 0.183; GB (leaves): β(Cd)=0.258, β(Zn)=0.118, Table 2]. Pigeonpea plants exposed to joint application of Cd and Zn experienced substantial declination in proteolysis as well as levels of all the osmolytes as compared to individual treatments of Cd, with Sel 85N maintaining higher contents of osmolytes than P792, emphasizing the mitigating role of Zn (+Zn) in alleviating Cd-induced toxicity in a genotypic dependent fashion which was further confirmed from the statistically significant interactions of Cd × Zn and Cd × Zn × G (Table ESM 1). Higher protein pool and lesser accumulation of stress metabolites was observed when lower level of Cd was administered along with Zn1000 (Cd25+Zn1000) than when higher level of Cd was used (Cd50+Zn1000). Statistically significant Cd × Zn and Cd × Zn × G interactions on synthesis and accretion of proteins as well as compatible solutes (Table ESM 1) confirmed the mitigating role of Zn against Cd-induced protein breakdown and osmotic imbalance in both the genotypes irrespective of plant organs. Association of Cd and/ Zn stressed pigeonpea plants with AM fungi (+AM) stimulated the synthesis of proteinaceous molecules and organic osmolytes (Cd × AM), the increment being genotype dependent (AM × G). Moreover, stronger positive correlation of proteins and all compatible osmotica with MC (+AM) was recorded in roots (Sel 85N: Proteins rp =0.519, FAA rp =0.436, TSS: rp =0.378, Proline rp =0.348, GB: rp =0.326; P792: Proteins rp =0.428, FAA rp =0.321, TSS: rp =0.304, Proline rp =0.260, GB: rp =0.244) than leaves (Sel 85N: Proteins rp =0.474, FAA rp =0.414, TSS: rp =0.343, Proline rp =0.329, GB: rp =0.311; P792: Proteins rp =0.379, FAA rp =0.307, TSS: rp =0.266, Proline rp =0.229, GB: rp =0.226). Zn and mycorrhization collectively (+Zn, +AM) modulated Cd induced degradation of proteins as well as osmotic stress and improved fitness of pigeonpea plants by significantly (P < 0.05) boosting accumulation as well as synthesis of osmolytes under Cd50 (Cd50+Zn1000+AM) than Cd25 (Cd25+Zn1000+AM). The results of four-way ANOVA (Table ESM 1) revealed statistically significant Cd × Zn × AM interactions in both the organs of Sel 85N as well as P792, thereby ascertaining the stimulatory role of AM in enhancing the organic metabolites pool in response to metal stress.
Figure-1. Effects of arbuscular mycorrhizal (AM) inoculation on total proteins (µg g-1 FW) in a) roots and b) leaves of pigeonpea genotypes under cadmium (Cd) and zinc (Zn) stress, singly and in combinations.
Note: Values are mean ± SE of six replicates. Asterisk (*) denotes significant difference between exposed and control plants (P < 0.05), as determined by Dunnett’s multiple comparison test.
Figure-2. Effects of arbuscular mycorrhizal (AM) inoculation on a) total free amino acids (FAA) (mg g-1 DW), b) total soluble sugars (TSS) (µg g-1 FW), c) proline content (mg g-1 FW) and d) glycine betaine (GB) content (µg g-1 DW) in roots of pigeonpea genotypes under cadmium (Cd) and zinc (Zn) stress, singly and in combinations.
Note: Values are mean ± SE of six replicates. Asterisk (*) denotes significant difference between exposed and control plants (P < 0.05), as determined by Dunnett’s multiple comparison test.
Figure-3. Effects of arbuscular mycorrhizal (AM) inoculation on a) total free amino acids (FAA) (mg g-1 DW), b) total soluble sugars (TSS) (µg g-1 FW), c) proline content (mg g-1 FW) and d) glycine betaine (GB) content (µg g-1 DW) in leaves of pigeonpea genotypes under cadmium (Cd) and zinc (Zn) stress, singly and in combinations.
Note: Values are mean ± SE of six replicates. Asterisk (*) denotes significant difference between exposed and control plants (P < 0.05), as determined by Dunnett’s multiple comparison test
Status of mycorrhization is considered to be linked to environmental stress, especially metal levels in soil. In this study, Cd or excess Zn exerted negative effects on percent root colonization which decreased with increasing soil metal concentrations whereas MD increased, with Sel 85N exhibiting significantly better ability to associate with F. mosseae than P792. Elevated levels of metals in the soil hamper number of fungal spores together with their germination, germ tube and pre-symbiotic hyphal growth (Carrenho, Alves, & Santos, 2018). Our results of F. mosseae -pigeonpea relationship proved that AM fungus was functionally active in Cd or Zn polluted soils, suggesting that the fungal symbiont could thrive under the experimental metal concentrations. Under heavy metal stress, AM initiates the formation of spore forming hypha, resulting in rapid production of spores, which could be a mechanism for AM metal endurance (Biró, Nemeth, & Takács, 2009; Helgason & Fitter, 2009). Metal-induced decrease in MC has been documented in literature, nevertheless, metal tolerant fungal ecotypes and mycorrhizal colonized plants are found growing in metal contaminated soils (Hidelbrant, Regvar, & Bothe, 2007). Increased MD observed in our study emphasized that pigeonpea plants were dependent on AM colonization to overcome the toxic effect of Cd/Zn stress, and mycorrhization was useful in better establishment of plants under stressful conditions. MD varies among plant species, and plants with coarse root systems, such as pigeonpea in our study, profit more from association with AM fungi. As fungal symbiont is reliant on plant photosynthates, MC is indirectly affected by the detrimental effects of metals on shoot development (Rask, Johansen, Kjøller, & Ekelund, 2019). Moreover, decrease in AM fitness with increased metal concentrations might be related to reduce root growth observed in our study. Addition of Zn (+Zn) together with Cd decreased the Cd uptake which could be correlated to significantly higher levels of MC and lesser MD values witnessed in metal treated plants in a genotype dependent manner.
In the present study, both Cd and/Zn resulted in remarkable decrease in growth (RSR), leaf water content and disturbed mineral nutrition (N, P, K, Ca, Mg and Fe) in pigeonpea plants, which eventually reduced the productivity (HI), with higher reductions in P792 than Sel 85N. Decrease in plant biomass occurred more rapidly than other physiological processes examined which might be due to inactivation and disruption of proteins, cell division and/or differentiation and elongation via interference with DNA and RNA synthesis (Jain, Srivastava, S. Solomon, Shrivastava, & Chandra, 2010; Muneer, Qadri, & Siddiqi, 2011) or permanent hindrance in the functioning of proton pump responsible for the processes (Karcz & Kurtyka, 2007). Cd attaches with cell walls and middle lamella, enhances cross-linking between the constituents of cell wall and obstructs its extensibility, thereby reducing cell expansion and ultimately growth (Perveen, Faizan, Tiyagi, & Kausar, 2011). In our study, elevated Cd/Zn levels reduced root growth more than shoot growth since roots are the primary site of exposure and toxicity to metals, and this resulted in lower RSR in a genotype dependent manner. Moreover, root mineral uptake is dependent on selective features of the plasma membrane and Cd may hamper nutrient uptake by changing root plasma membrane permeability, and element transport processes across the membrane leading to alterations in nutrient content and composition (Gonçalves et al., 2009). Since pigeonpea root growth was affected by metals in our study, spatial accessibility of nutrients by the roots might have been reduced and thus could be accountable for the observed mineral deficiencies and depression in growth. Cd might also alter the conformation of proteins, such as, enzymes, transporters or regulator proteins, owing to its strong affinity as ligand for carboxylic and sulfhydryl groups (Gonçalves et al., 2009). Mineral nutrients and Cd compete for the same binding regions of the carrier proteins and this antagonism subsequently may lead to deficiency of essential nutrients, termed as ‘‘inducible deficiency’’ (Adamczyk-Szabela, Katarzyna, Zdzisława, & Wolf, 2020; Clemens, 2001). For example, Cd hinders Fe uptake by root cells as well as its translocation, and Fe deficiency in the above ground parts is one of the vital factors for Cd toxicity (Fodor et al., 2005). Similarly, reduction in RWC could be perhaps due to metal-induced hindrance in root water uptake capacity because of diminution in its absorbing surface or blockage in xylem elements (Koleva, Semerdjieva, Nikolova, & Vassilev, 2010). Moreover, decrease in K content could probably be a consequence of disturbed water balance (Dražić, Mihailović, & Stojanović, 2004). In the present study, reduction in water content under Cd/Zn exposure indicated loss of turgidity which in turn may have resulted in restricted cell extension process, leading to stunted growth and decreased biomass production. Decrease in dry matter production successively had a depressive effect on the seed yield, and consequently HI. Reduction in plant biomass (shoot dry matter) under Cd/Zn stress could also be due to the direct result of hampered photosynthesis which in turn might have affected the root development by decreasing the distribution of photosynthates to roots (Liu, 2011). In our study, photosynthetic pigments and efficiency of carbon fixation were affected in pigeonpea plants exposed to Cd/Zn stress, with more negative effects in P792 than Sel 85N. Diminution in chlorophyll pool indicated that chlorophyll biosynthesis and/or degradation might be an important target of metal stress (Vijayaragavan et al., 2011; Yang et al., 2018). Reduction in pigments might further be due to increased breakdown of thylakoids (Vassilev, Perez-Sanz, Cuypers, & Vangronsveld, 2007) or metal accumulation inside plant cells, leading to peroxidation of chloroplast membrane lipids by metal-induced reactive oxygen species (ROS) (Laspina & Groppa, 2005). Since N, Mg and Fe are required for chlorophyll formation, metal-induced decrease in their uptake might have led to decreased photosynthesis (El-Beltagi, Mohamed, & Rashed, 2010; Jaleel, Changxing, Jayakumar, & Iqbal, 2009; Shukla, Murthy, & Kakkar, 2008) and on the whole lower functioning of pigeonpea plants. We observed in our study that chlorophyll a was more affected than chlorophyll b, resulting in lower chlorophyll a:b ratio, indicating greater sensitivity of chlorophyll a than chlorophyll b to metals. Further, reduction in carbon dioxide (CO2) assimilation was the consequence of influence of Cd/Zn on the activities of photosynthetic carbon reduction cycle enzyme i.e. Rubisco. Metal ions impair the structure of Rubisco by substituting for Mg and may alter its activity towards oxygenation as well, thereby reducing its functioning and affecting its regeneration capacity (Wang, Zhao, Liu, Zhou, & Jin, 2009). It has been suggested that Cd could irreversibly bind to –SH groups on the active site of Rubisco, thus reducing its activity (Lee & Roh, 2003).
In Cd-treated plants supplemented with Zn (+Zn), lesser decrease in photosynthesis, RWC and ionic imbalance was recorded which consequently improved plant growth. Increase in yield may be due to the essential role of Zn in reproductive development, such as, floral initiation, male and female gametogenesis, fertilization and seed development (Pathak, Gupta, & Pandey, 2012). Perhaps Zn regulates or activates the synthesis of chlorophyll via protecting –SH groups of the enzymes engaged in chlorophyll biosynthesis, either by direct combining or to a region adjacent to the –SH group or by conformational alteration resulting in their stability (Cherif, Mediouni, Ben Ammar, & Jemal, 2011; Mysliwa-Kurdziel, Prasad, & Strzalka, 2004). Our results evidently supported elevation in total chlorophyll pool by Zn under Cd stress, suggesting that Zn (+Zn) might be involved in chlorophyll biosynthesis as well as proper development of the chloroplasts. The increase in leaf chlorophyll a:b ratio and total chlorophyll contents under the concomitant application of Zn (+Zn) and Cd could also be correlated to Zn-mediated reduction in Cd levels as well as enhanced root uptake of essential mineral elements, thus improving pigeonpea growth. Our findings further demonstrated that Zn (+Zn) alleviated Cd-induced growth inhibition by increasing water use efficiency and carboxylation activity of Rubisco, with more positive effects in Sel85N than P792 which might be because of their differential intrinsic ability to endure metal stress.
Compared to controls, considerable reduction in total protein pool and subsequent build up of free amino acids was observed due to Cd/Zn treatments in roots and leaves of pigeonpea plants in a genotype dependent fashion. Diminution in protein content could be a consequence of decreased protein synthesis and/or enhanced protein degradation as a result of increased protease activity or due to metal-induced oxidation of structural and functional proteins resulting in their denaturation due to detrimental effects of ROS (Anjum et al., 2015; Srivastava, Khan, Manzoor, & Mahmooduzzafar, 2011) thereby causing perturbed cellular redox homeostasis. Increase in the amino acids pool could be described by enhancement in protein turnover and break down (Thompson & Vierstra, 2005) or due to metal induced obstruction in the assemblage of amino acid into proteins, hence affecting the natural equilibrium of cellular proteins (Tandon & Srivastava, 2004). Under metal stress conditions, amino acids form complexes with toxic ions within the cell, are involved in antioxidant defense and signaling in plants, thus play a vital role in heavy metal homeostasis (Xu, Sun, Du, & Liu, 2012). Sugars were also adversely affected in pigeonpea genotypes under both Cd and Zn stresses which could possibly represent an adaptive strategy in regulating favorable osmotic potential as well as could safeguard basic cell metabolism under adverse conditions of metal toxicity (Ayako, Yabuta, & Shigeoka, 2008). Present investigations revealed positive correlation between soluble sugars accumulation and metal tolerance in pigeonpea, with Sel 85N experiencing higher TSS and resilience than P792. Proline and GB were the chief organic osmolytes which accumulated in response to excess Cd and Zn. Heavy metals up-regulate the enzymes of proline and betaine biosynthesis whereas their catabolism rate drops which bestows enhanced plant stress tolerance (Garg & Singh, 2018; Meena et al., 2019). (Islam et al., 2009) demonstrated proline to be more efficient in providing protection against Cd stress than betaine, which was also witnessed in the present study. Heavy metal induced proline accumulation in plants could be attributed to either direct effect of metal ions or water deficiency as a result of damage to the water-absorbing capacity of roots (Asgharipour, Khatamipour, & Razavi-Omrani, 2011) which is supported by the fact that water content decreased in our study causing dehydration (discussed earlier). Proline protects cellular structures against heavy metal induced injuries as a consequence of its chelating ability to form Cd-proline complexes, functions as a free radical scavenger and maintains glutathione redox state, thereby indirectly operating as an antioxidant (Sharma & Dietz, 2006). Moreover, intracellular levels of proline have been reported to act as a signaling/regulatory molecule able to activate multiple plant stress responses (Maggio et al., 2002). Proline along with GB seemed to protect plants from the negative effects of stress by stabilizing enzymes, such as, Rubisco, as also supported by Hasanuzzaman et al. (2019). Both these osmoregulators accumulated to a greater extent in roots than leaves, indicating that pigeonpea roots experienced greater metal-induced osmotic stress due to higher accumulations of Cd/Zn. The combined stresses (Cd+Zn) decreased the contents of total FAA, TSS, proline and GB as compared to single Cd treatments, suggesting alleviation of the injurious effects of Cd by Zn (+Zn) and hence lesser requirement of these osmoprotectants. Greater accumulation of stress metabolites in Sel 85N might be the main factor involved in the comparatively higher degree of resistance of this genotype to metals than P792.
In present investigations, AM fungi (+AM)significantlyreduced the uptake of both Cd and excess Zn and alleviated their negative effects, manifested in the form of better nutrient management (N, P, K, Ca, Mg, Fe), enhanced leaf hydration (RWC), chlorophyll a:b ratio, total chlorophyll content, Rubisco activity, consequently leading to increased HI, more in Sel 85N than P792. Decreased metal uptake observed in AM-inoculated plants could be ascribed to various mechanisms, such as, alterations in metal solubility, metal binding by extraradical mycelium (chitin), immobilization by chelating substances (glomalin), formation of metal-phosphate complexes and metal detoxification in polyphosphate granules (Ferrol, Tamayo, & Vargas, 2016; Nayuki, Chen, Ohtomo, & Kuga, 2014; Qiu, Wang, Yang, & Yuan, 2011). Moreover, AM symbiosis has been shown to down-regulate the expression of Cd and excess Zn transporters in host plants in order to promote homeostatic balance (Burleigh & Bechmann, 2002; Kumar et al., 2015; Rivera-Becerril et al., 2005). Enhanced plant biomass in mycorrhiza-colonized plants (+AM) might have been due to the increased supply of water and nutrients via extra-radical hyphae (Begum et al., 2019; Coccina et al., 2019) thereby resulting in enhanced photosynthesis and high quality seed reserves (HI) (Jacobsen, Smith, & Smith, 2002). Funneliformis mycelia have the ability to alter the soil water retention characteristics, and hence maintain plant cell hydraulic stability (Arumugam, Rajasekaran, & Nagarajan, 2010). Fungal symbiont is reported to stimulate the expression of some aquaporin genes resulting in accelerated flow of water inside the plant cells (Jia-Dong et al., 2019; Li et al., 2013) which could be one of the reasons for better water use efficiency of AM-inoculated plants. Moreover, AM fungi increase the length and branching pattern of roots, thereby enhancing the surface area resulting in more efficient water, nutrient uptake capacity and ultimately growth (Hashem, Abd_Allah, Alqarawi, Aldubise, & Egamberdieva, 2015). ‘Dilution effect’ or the ‘direct effect’ related to enhancement in plant dry matter could be an added advantage offered by AM fungi (Huang et al., 2017). It is further reported that mycorrhizal inoculation (+AM) alleviates toxicity of metals by up-regulating the expression of nutrient transporter genes (for example, P and K) (Garcia & Zimmermann, 2014; Zhang, Zhou, Wang, Wang, & Liao, 2015). In this context, three AM inducible Pi transporter genes, GmPT8, GmPT9, GmPT10 have been reported to have increased expression in Cd stressed Glycine max plants (Cui, Ai, Chen, & Wang, 2019). In our study, counteracting effect of AM (+AM) on photosynthesis in plants under Cd stress might be through improved P nutrition since P contributes to enhanced pigment biosynthesis as an energy carrier and activity of enzymes, such as, Rubisco (Chen et al., 2017) thereby increasing growth and yield. Moreover, AM inoculation (+AM) up-regulate the expression of chlorophyll biosynthetic genes or caused decreased destruction, resulting in greater pigment synthesis (Abad & Khara, 2010). By improving the uptake of N, Mg and Fe mycorrhiza augments de novo synthesis of chlorophyll (Senbayram, Gransee, & Wahle, 2015; Sheng et al., 2008) and could lead to higher production of photosynthates and subsequently yield. In our study, inoculation with AM (+AM) might have increased the capacity of pigeonpea plants to utilize light, water, nutrients and CO2 under Cd/Zn stress conditions in building greater amount of metabolites which could be easily translocated from source to sink and finally accumulated in pods and seeds (HI). Moreover, AM-induced (+AM) enhanced Ca uptake might have functioned in plant growth signaling process as a secondary messenger and supported colonization of AM fungi for better plant growth and adaptation (El-Beltagi. & Mohamed, 2013) while elevated K build up might have been involved in efficient cellular energy metabolism and increased protein synthesis (Yousuf, Ahmad, Ganie, Aref, & Iqbal, 2015). Thus, it is evident in our study that the beneficial effects of AM fungal inoculation to pigeonpea plants were limited not only to P nutrition, but also to the uptake of other nutrients, such as, N, K, Ca, Mg and Fe in a genotype dependent manner, which led to increased photosynthate production and biomass accumulation. Zaefarian, Rezvani, Rejali, Ardakani, and Noormohammadi (2011) observed maximum efficiency of uptake, translocation and distribution of nutrients when G. mosseae was used amongst other Glomus species. Differential partitioning of essential nutrient elements in shoots and roots of mycorrhizal (+AM) pigeonpea plants under Cd/Zn stressed conditions indicated that AM fungal inoculation reasonably impacted their uptake as well as translocation. Another noteworthy result was that RSR of AM (+AM) colonized pigeonpea plants was higher than non-AM (-AM) counterparts (in both control and metal-polluted soils) which enabled the former to absorb more nutrients from the rhizosphere, thus increasing the above-ground biomass as well as tolerance to Cd/Zn stress. Co-application of Zn (+Zn) and AM (+AM) had pronounced positive effects on the growth, mineral nutrition, photosynthesis and ultimately yield of pigeonpea under Cd stress mainly due to their synergistic effect in reducing Cd uptake, with Sel 85N being more responsive.
Association of pigeonpea plants with AM fungi considerably enhanced the synthesis of proteinaceous molecules and led to their accumulation in both roots and leaves under stressed as well as unstressed conditions which could be directly correlated with the AM-mediated increment in the uptake of N as well as P from the soil. Since both N and P are an important component of proteins, fungal endophyte seemed to have stimulated the formation of proteins through enhanced availability of these macronutrients. Further, microsymbiont might have increased the plant’s ability to withstand adverse conditions possibly by delaying protein degradation, with higher positive effects in Sel 85N than P792. The positive correlation between sugar content and mycorrhization could be likely due to the sink effect of fungus demanding sugars from shoot tissues. Moreover, genes encoding transporter proteins specific for sucrose and hexoses uptake have been discovered by transcriptomic and genomic analyses at the AM symbiotic interface, in plants as well as fungi (Doidy et al., 2012). Shekoofeh, Sepideh, and Roya (2012) and Wu, Li, Wu, and Tang (2016) reported that AM fungi trigger the accumulation of proline which leads to improved water transport, thereby increasing the metabolic efficiency of plants. Increment in proline accumulation caused by AM symbiosis might be due to up-regulation of the enzymes involved in proline biosynthesis, as explained by Huang et al. (2013). Enhanced proline and GB contents under Cd/Zn stress observed in our study supported their regulatory role in osmotic balance and normal plant metabolism. Zn application (+Zn) along with fungal endophyte (+AM) could restore the balance between synthesis and breakdown of proteins more efficiently in roots than leaves. Furthermore, cross talk between Zn and AM modulated the Cd-induced osmotic stress by stimulating the synthesis as well as accumulation of osmolytes which might have been responsible for better growth of plants under combined use of these amendments.
Risk of environmental pollution with heavy metals renders stress a concern for the agricultural crops and there is a pressing need for ecosystem-friendly management for enhancing crop productivity. The results of current study indicated higher detrimental effects of Cd on various physiological and biochemical attributes of pigeonpea plants than Zn. Zn supplementation (+Zn) provided an effective method to decrease Cd content in pigeonpea, which positively promoted growth, improved osmolyte synthesis, nutrient uptake and photosynthetic parameters, eventually yield. Zn (+Zn) along with AM (+AM) further decreased Cd uptake and imparted tolerance to pigeonpea in genotype dependent manner. Sel85N performed better than P792 under Cd and/or Zn stress which was co-relatable with higher MC and less MD in the former. Study underlined the co-application of Zn and AM fungi as a potential management strategy in conferring Cd tolerance to pigeonpea plants.
Funding: This study received financial support from University Grants Commission (UGC), New Delhi, India [grant number 42-945/2013(SR)]. |
Competing Interests: The authors declare that they have no competing interests. |
Acknowledgement: Both authors contributed equally to the study conception and experimental design. |
Abad, A. K. J., & Khara, H. (2010). Effects of arbuscular mycorrhizal fungus (Glomus veruciforme) on changes of some physiological parameters in cadmium treated wheat plants. Pakistan Journal of Biological Sciences, 10, 4279-4282.Available at: 10.3923/pjbs.2007.4279.4282.
Adamczyk-Szabela, D., Katarzyna, L., Zdzisława, R.-D., & Wolf, W. M. (2020). Combined cadmium-zinc interactions alter manganese, lead, copper uptake by Melissa officinalis. Scientific Reports (Nature Publisher Group), 10, 1675.Available at: https://doi.org/10.1038/s41598-020-58491-9.
Aghajanzadeh, T. A., Prajapati, D. H., & Burow, M. (2020). Differential partitioning of thiols and glucosinolates between shoot and root in Chinese cabbage upon excess zinc exposure. Journal of Plant Physiology, 244, 153088.
Ali, H., Khan, E., & Ilahi, I. (2019). Environmental chemistry and ecotoxicology of hazardous heavy metals: Environmental persistence, toxicity, and bioaccumulation. Journal of Chemistry, 1-14.Available at: https://doi.org/10.1155/2019/6730305.
Anjum, N. A., Singh, H. P., Khan, M. I. R., Masood, A., Per, T. S., Negi, A., . . . Pereira, E. (2015). Too much is bad—an appraisal of phytotoxicity of elevated plant-beneficial heavy metal ions. Environmental Science and Pollution Research, 22(5), 3361-3382.Available at: https://doi.org/10.1007/s11356-014-3849-9.
Arnon, D. (1949). E949. Copper enzymes in chloroplasts. Polyphenoh oxidases in Beta vuignris. Plant Physiol, 24, 1-15.Available at: https://doi.org/10.1104/pp.24.1.1.
Arumugam, R., Rajasekaran, S., & Nagarajan, S. (2010). Response of Arbuscular mycorrhizal fungi and Rhizobium inoculation on growth and chlorophyll content of Vigna unguiculata (L) Walp Var. Pusa 151. Journal of Applied Sciences and Environmental Management, 14(4), 113-115.Available at: 10.4314/jasem.v14i4.63282.
Asgharipour, M., Khatamipour, M., & Razavi-Omrani, M. (2011). Phytotoxicity of cadmium on seed germination, early growth, proline and carbohydrate content in two wheat varieties. Advances in Environmental Biology, 5(4), 559-565.
Ayako, N.-Y., Yabuta, Y., & Shigeoka, S. (2008). The contribution of carbohydrates including raffinose family oligosaccharides and sugar alcohols to protection of plant cells from oxidative damage. Plant Signaling & Behavior, 3(11), 1016-1018.Available at: 10.4161/psb.6738.
Bates, L. (1973). Waldren. F. apiddetennmation of free proline for water stress study Plnrrt Sorl, 33, 205-208.Available at: https://doi.org/10.1007/BF00018060.
Begum, N., Qin, C., Ahanger, M. A., Raza, S., Khan, M. I., Ahmed, N., . . . Zhang, L. (2019). Role of arbuscular mycorrhizal fungi in plant growth regulation: Implications in abiotic stress tolerance. Frontiers in Plant Science, 10, 1-15.Available at: 10.3389/fpls.2019.01068.
Biró, I., Nemeth, T., & Takács, T. (2009). Changes of parameters of infectivity and efficiency of different glomus mosseae arbuscular mycorrhizal fungi strains in cadmium-loaded soils. Communications in Soil Science and Plant Analysis, 40(1-6), 227-239.Available at: https://doi.org/10.1080/00103620802646852.
Bradford, N. (1976). A rapid and sensitive method for the quantitation microgram quantities of a protein isolated from red cell membranes. Anal Biochem, 72, 248-254.Available at: 10.1006/abio.1976.9999.
Burleigh, S. H., & Bechmann, I. E. (2002). Plant nutrient transporter regulation in arbuscular mycorrhizas. Plant and Soil, 244(1-2), 247-251.
Carrenho, R., Alves, L. D. J., & Santos, I. D. S. (2018). Arbuscular mycorrhizal fungi, interactions with heavy metals and rehabilitation of abandoned mine lands. In: Prasad, M.N.V., Favas, P. de Campos., Maiti, S.K. (Eds), Bio-Geotechnologies for Mine Site Rehabilitation (pp. 261-279). USA: Elsevier.
Chapman, H. D., & Pratt, P. F. (1961). Methods of analysis for soils, plants and waters. Division of Agricultural Sciences (pp. 150-210). Berkley, USA: University of California.
Chen, S., Zhao, H., Zou, C., Li, Y., Chen, Y., Wang, Z., . . . Ahammed, G. J. (2017). Combined inoculation with multiple arbuscular mycorrhizal fungi improves growth, nutrient uptake and photosynthesis in cucumber seedlings. Frontiers in Microbiology, 8, 25–16.Available at: 10.3389/fmicb.2017.02516.
Cherif, I., Mediouni, C., Ben Ammar, W., & Jemal, F. (2011). Interactions of zinc and cadmium toxicity in their effects on growth and in antioxidative systems in tomato plants (Solanum lycopersicon). Journal of Environmental Sciences, 23(7), 837-844.Available at: 10.1016/s1001-0742(10)60415-9.
Clemens, S. (2001). Developing tools for phytoremediation: Towards a molecular understanding of plant metal tolerance and accumulation. International Journal of Occupational Medicine and Environmental Health, 14(3), 235-239.
Coccina, A., Cavagnaro, T. R., Pellegrino, E., Ercoli, L., McLaughlin, M. J., & Watts-Williams, S. J. (2019). The mycorrhizal pathway of zinc uptake contributes to zinc accumulation in barley and wheat grain. BMC Plant Biology, 19(1), 1-14.
Cui, G., Ai, S., Chen, K., & Wang, X. (2019). Arbuscular mycorrhiza augments cadmium tolerance in soybean by altering accumulation and partitioning of nutrient elements, and related gene expression. Ecotoxicology and Environmental Safety, 171, 231–239.Available at: https://doi.org/10.1016/j.ecoenv.2018.12.093.
Doidy, J., Grace, E., Kühn, C., Simon-Plas, F., Casieri, L., & Wipf, D. (2012). Sugar transporters in plants and in their interactions with fungi. Trends in Plant Science, 17, 413-422.Available at: https://doi.org/10.1016/j.tplants.2012.03.009.
Dražić, G., Mihailović, N., & Stojanović, Z. (2004). Cadmium toxicity: the effect on macro-and micro-nutrient contents in soybean seedlings. Biologia Plantarum, 48(4), 605-607.
El-Beltagi, H. S., Mohamed, A. A., & Rashed, M. M. (2010). Response of antioxidative enzymes to cadmium stress in leaves and roots of radish (Raphanus sativus L.). Notulae Scientia Biologicae, 2(4), 76-82.
El-Beltagi., H. S., & Mohamed, H. I. (2013). Alleviation of cadmium toxicity in Pisum sativum L. seedlings by calcium chloride. Notulae Botanicae Horti Agrobotanici, 41, 157–168.Available at: https://doi.org/10.15835/nbha4118910.
Fair, P., Tew, J., & Cresswell, C. (1973). Enzyme activities associated with CO2 exchange in illuminated leaves of Hordeum vulgare L. effect of light period, leaf age and position on CO2 compensation point. Annals of Botany, 37(4), 831-844.
Feigl, G., Molnár, Á., Szőllősi, R., Ördög, A., Törőcsik, K., Oláh, D., . . . Kolbert, Z. (2019). Zinc-induced root architectural changes of rhizotron-grown B. napus correlate with a differential nitro-oxidative response. Nitric Oxide, 90, 55-65.Available at: 10.1016/j.niox.2019.06.003.
Ferrol, N., Tamayo, E., & Vargas, P. (2016). The heavy metal paradox in arbuscular mycorrhizas: From mechanisms to biotechnological applications. Journal of Experimental Botany, 67(6253–6265).Available at: 10.1093/jxb/erw403.
Fodor, F., Gáspár, L., Morales, F., Gogorcena, Y., Lucena, J. J., Cseh, E., . . . Sárvári, É. (2005). Effects of two iron sources on iron and cadmium allocation in poplar (Populus alba) plants exposed to cadmium. Tree Physiology, 25(9), 1173-1180.Available at: 10.1093/treephys/25.9.1173.
Garcia, K., & Zimmermann, S. (2014). The disregarded mycorrhizal contribution to plant potassium nutrition. Frontiers in Plant Science, 5, 337.Available at: 10.3389/fpls.2014.00337.
Garg, N., & Kaur, H. (2013). Response of antioxidant enzymes, phytochelatins and glutathione production towards Cd and Zn stresses in Cajanus cajan (L.) Millsp. genotypes colonized by arbuscular mycorrhizal fungi. Journal of Agronomy and Crop Science, 199(2), 118-133.Available at: https://doi.org/10.1111/j.1439-037X.2012.00533.x.
Garg, N., & Singh, S. (2018). Arbuscular mycorrhiza Rhizophagus irregularis and silicon modulate growth, proline biosynthesis and yield in Cajanus cajan L. Millsp.(pigeonpea) genotypes under cadmium and zinc stress. Journal of Plant Growth Regulation, 37(1), 46-63.Available at: https://doi.org/10.1007/s00344-017-9708-4.
Giovannetti, M., & Mosse, B. (1980). An evaluation of techniques for measuring vesicular arbuscular mycorrhizal infection in roots. New Phytol, 84, 489–500.Available at: https://doi.org/10.1111/j.1469-8137.1980.tb04556.x.
Gonçalves, J. F., Antes, F. G., Maldaner, J., Pereira, L. B., Tabaldi, L. A., Rauber, R., . . . de Moraes Flores, E. M. (2009). Cadmium and mineral nutrient accumulation in potato plantlets grown under cadmium stress in two different experimental culture conditions. Plant Physiology and Biochemistry, 47(9), 814-821.Available at: 10.1016/j.plaphy.2009.04.002.
Grieve, C., & Grattan, S. (1983). Rapid assay for determination of water soluble quaternary ammonium compounds. Plant and Soil, 70(2), 303-307.
Gupta, A. K., & Sinha, S. (2006). Chemical fractionation and heavy metal accumulation in the plant of Sesamum indicum (L.) var. T55 grown on soil amended with tannery sludge: Selection of single extractants. Chemosphere, 64(1), 161-173.Available at: https://doi.org/10.1016/j.chemosphere.2005.10.016.
Hasanuzzaman, M., Banerjee, A., Bhuyan, M. B., Roychoudhury, A., Al Mahmud, J., & Fujita, M. (2019). Targeting glycinebetaine for abiotic stress tolerance in crop plants: physiological mechanism, molecular interaction and signaling. Phyton, 88(3), 185-221.Available at: 10.32604/phyton.2019.07559.
Hashem, A., Abd_Allah, E. F., Alqarawi, A. A., Aldubise, A., & Egamberdieva, D. (2015). Arbuscular mycorrhizal fungi enhances salinity tolerance of Panicum turgidum Forssk by altering photosynthetic and antioxidant pathways. Journal of Plant Interactions, 10(1), 230-242.Available at: https://doi.org/10.1080/17429145.2015.1052025.
Helgason, T., & Fitter, A. H. (2009). Natural selection and the evolutionary ecology of the arbuscular mycorrhizal fungi (Phylum Glomeromycota). Journal of Experimental Botany, 60(9), 2465-2480.
Hidelbrant, U., Regvar, M., & Bothe, H. (2007). Asbuscular micorrhiza and heavy metals tolerance. Phytochemisty, 68, 138-146.Available at: 10.1016/j.phytochem.2006.09.023.
Hiscox, J., & Israelstam, G. (1979). Different methods of chlorophyll extraction. Canadian Journal of Chemistry, 57, 1332-1334.Available at: https://doi.org/10.1139/b79-163.
Huang, Z., Zhao, L., Chen, D., Liang, M., Liu, Z., Shao, H., & Long, X. (2013). Salt stress encourages proline accumulation by regulating proline biosynthesis and degradation in Jerusalem artichoke plantlets. PLoS ONE, 8, e62085.Available at: 10.1371/journal.pone.0062085.
Huang, X., Ho, S.-H., Zhu, S., Ma, F., Wu, J., Yang, J., & Wang, L. (2017). Adaptive response of arbuscular mycorrhizal symbiosis to accumulation of elements and translocation in Phragmites australis affected by cadmium stress. Journal of Environmental Management, 197, 448-455.Available at: https://doi.org/10.1016/j.jenvman.2017.04.014.
Irigoyen, J., Einerich, D., & Sánchez-Díaz, M. (1992). Water stress induced changes in concentrations of proline and total soluble sugars in nodulated alfalfa (Medicago sativd) plants. Physiologia Plantarum, 84(1), 55-60.Available at: https://doi.org/10.1111/j.1399-3054.1992.tb08764.x.
Islam, M. M., Hoque, M. A., Okuma, E., Jannat, R., Banu, M. N. A., Jahan, M. S., . . . Murata, Y. (2009). Proline and glycinebetaine confer cadmium tolerance on tobacco bright yellow-2 cells by increasing ascorbate-glutathione cycle enzyme activities. Bioscience, Biotechnology, and Biochemistry, 73, 2320-2323.Available at: https://doi.org/10.1271/bbb.90305.
Ismael, M. A., Elyamine, A. M., Moussa, M. G., Cai, M., Zhao, X., & Hu, C. (2019). Cadmium in plants: uptake, toxicity, and its interactions with selenium fertilizers. Metallomics, 11(2), 255-277.Available at: https://doi.org/10.1039/c8mt00247a.
Jacobsen, I., Smith, S. E., & Smith, F. A. (2002). Function and diversity of arbuscular mycorrhizae in carbon and mineral nutrition,” In: M. G. A. van der heijden and I. R. Sanders (Eds.) Mycorrhizal ecology (pp. 75-92). New York: Springer-Verlag Berlin, Heidelberg.
Jain, R., Srivastava, S., S. Solomon, Shrivastava, A. K., & Chandra, A. (2010). Impact of excess zinc on growth parameters, cell division, nutrient accumulation, photosynthetic pigments and oxidative stress of sugarcane (Saccharum spp.). Acta Physiologiae Plantarum, 32, 979-986.Available at: 10.1007/s11738-010-0487.
Jaleel, C. A., Changxing, Z., Jayakumar, K., & Iqbal, M. (2009). Low concentration of cobalt increases growth, biochemical constituents, mineral status and yield in Zea mays. Journal of Scientific Research, 1(1), 128-137.Available at: 10.3329/jsr.v1i1.1226.
Jia-Dong, H., Tao, D., Hui-Hui, W., Zou, Y. N., Wu, Q. S., & Kamil, K. (2019). Mycorrhizas induce diverse responses of root TIP aquaporin gene expression to drought stress in trifoliate orange. Scientia Horticulturae, 243, 64–69.Available at: https://doi.org/10.1016/j.scienta.2018.08.010.
Kanwal, S., Bano, A., & Malik, R. N. (2015). Effects of arbuscular mycorrhizal fungi on metals uptake, physiological and biochemical response of Medicago sativa L. with increasing Zn and Cd concentrations in soil. American Journal of Plant Sciences, 6(18), 2906-2923.Available at: 10.4236/ajps.2015.618287.
Karcz, W., & Kurtyka, R. (2007). Effect of cadmium on growth, proton extrusion and membrane potential in maize coleoptile segments. Biologia Plantarum, 51(4), 713-719.Available at: https://doi.org/10.1007/s10535-007-0147-0.
Kaur, H., & Garg, N. (2017). Zinc-arbuscular mycorrhizal interactions: effect on nutrient pool, enzymatic antioxidants, and osmolyte synthesis in pigeonpea nodules subjected to Cd stress. Communications in Soil Science and Plant Analysis, 48(14), 1684-1700.Available at: https://doi.org/10.1080/00103624.2017.1374400.
Khan, K., Moses, S., & Kumar, A. (2017). Physical properties of pigeon pea grains at different moisture content. International Journal of Pure and Applied Bioscience, 5(2), 556-562.Available at: http://dx.doi.org/10.18782/2320-7051.2534 .
Kolahi, M., Kazemi, E. M., Yazdi, M., & Goldson-Barnaby, A. (2020). Oxidative stress induced by cadmium in lettuce (Lactuca sativa Linn.): Oxidative stress indicators and prediction of their genes. Plant Physiology and Biochemistry, 146, 71-89.Available at: https://doi.org/10.1016/j.plaphy.2019.10.032.
Koleva, L., Semerdjieva, I., Nikolova, A., & Vassilev, A. (2010). Comparative morphological and histological study on zinc-and cadmium-treated durum wheat plants with similar growth inhibition. General and Applied Plant Physiology, 36(1/2), 8-11.
Krishnamoorthy, R., Kim, C.-G., Subramanian, P., Kim, K.-Y., Selvakumar, G., & Sa, T.-M. (2015). Arbuscular mycorrhizal fungi community structure, abundance and species richness changes in soil by different levels of heavy metal and metalloid concentration. PLoS One, 10(6), e0128784.Available at: https://doi.org/10.1371/journal.pone.0128784.
Kumar, P., Lucini, L., Rouphael, Y., Cardarelli, M., Kalunke, R. M., & Colla, G. (2015). Insight into the role of grafting and arbuscular mycorrhiza on cadmium stress tolerance in tomato. Frontiers in Plant Science, 6, 1-16.Available at: 10.3389/fpls.2015.00477.
Laspina, N., & Groppa, M. (2005). Nitric oxide protects sunflower leaves against Cd-induced oxidative stress. Plant Sci, 169, 323-330.Available at: https://doi.org/10.1016/j.plantsci.2005.02.007.
Lee, Y. P., & Takahashi, T. (1966). An improved colorimetric determination of amino acids with the use of ninhydrin. Analytical Biochemistry, 14(1), 71-77.Available at: https://doi.org/10.1016/0003-2697(66)90057-1.
Lee, K. R., & Roh, K. S. (2003). Influence of cadmium on rubisco activation inCanavalia ensiformis L. leaves. Biotechnology and Bioprocess Engineering, 8(2), 94-100.Available at: https://doi.org/10.1007/BF02940263.
Leport, L., Turner, N. C., Davies, S., & Siddique, K. (2006). Variation in pod production and abortion among chickpea cultivars under terminal drought. European Journal of Agronomy, 24(3), 236-246.Available at: https://doi.org/10.1016/j.eja.2005.08.005.
Li, T., Hu, J. L., Hao, Z. P., Li, H., Wang, Y. S., & Chen, B. D. (2013). First cloning and characterization of two functional aquaporin genes from an arbuscular mycorrhizal fungus Glomus intraradices. New Phytol, 197, 617–630.Available at: 10.1111/nph.12011.
Lindner, R. (1944). Rapid analytical methods for some of the more common inorganic constituents of plant tissues. Plant Physiology, 19(1), 76-89.Available at: https://doi.org/10.1104/pp.19.1.76.
Liu, Z., He, X., Chen, W., Yuan, F., Yan, K., & Tao, D. (2009). Accumulation and tolerance characteristics of cadmium in a potential hyperaccumulator- Lonicera japonica Thunb. Journal of Hazardous Materials, 169, 170-175.Available at: https://doi.org/10.1016/j.jhazmat.2009.03.090.
Liu, C. (2011). Effects of cadmium and salicylic acid on growth, spectral reflectance and photosynthesis of castor bean seedlings. Plant Soil, 344(1), 131-141.
Liu, Z., Chen, W., & He, X. (2011). Cadmium-induced changes in growth and antioxidative mechanisms of a medicine plant (Lonicera japonica Thunb.). Journal of Medicinal Plants Research, 5(8), 1411-1417.Available at: https://doi.org/10.5897/JMPR.9000317.
Maggio, A., Miyazaki, S., Veronese, P., Fujita, T., Ibeas, J. I., Damsz, B., . . . Bressan, R. A. (2002). Does proline accumulation play an active role in stress-induced growth reduction? The Plant Journal, 31(6), 699-712.Available at: 10.1046/j.1365-313x.2002.01389.x.
Meena, M., Divyanshu, K., Kumar, S., Swapnil, P., Zehra, A., Shukla, V., . . . Upadhyay, R. (2019). Regulation of L-proline biosynthesis, signal transduction, transport, accumulation and its vital role in plants during variable environmental conditions. Heliyon, 5(12), e02952.Available at: 10.1016/j.heliyon.2019.e02952.
Mehlich, A. (1953). Determination of P, Ca, Mg, K, Na and NH4 (pp. 16). North Carolina Soil Test Division, Department of Agriculture, Raleigh, North Carolina, Mimeo 1953.
Miyasaka, S. C., Habte, M., Friday, J. B., & Johnson, E. V. (2003). Manual on arbuscular mycorrhizal fungus production and inoculation techniques (pp. 4). Honolulu (HI): University of Hawaii. (Soil and Crop Management; SCM-5).
Muneer, S., Qadri, T. N., & Siddiqi, T. (2011). Cytogenetic and biochemical investigations to study the response of Vigna radiata to cadmium stress. African Journal of Plant Science, 5(3), 183-192.Available at: https://doi.org/10.5897/AJPS.9000057.
Mysliwa-Kurdziel, B., Prasad, M. N. V., & Strzalka, K. (2004). Photosynthesis in metal stressed plants,” In: M. N. V. Prasad (Ed) Heavy metal stress in plants: From biomolecules to ecosystems (2nd ed., pp. 146-181). Heidelberg, Narosa, New Delhi: Springer-Verla.
Nayuki, K., Chen, B., Ohtomo, R., & Kuga, Y. (2014). Cellular imaging of cadmium in resin sections of arbuscular mycorrhizas using synchrotron micro X-ray fluorescence. Microbes and Environments, 29(60), 60-66.
Nelson, D. W., & Sommers, L. E. (1980). Total nitrogen analysis of soil and plant tissues. Journal of the Association of Official Analytical Chemists, 63(4), 770-778.Available at: https://doi.org/10.2134/agronj1973.00021962006500010033x.
Olsen, S. R., & Sommers, L. E. (1982). Phosphorus,” In: A. L. Page, (Ed) Methods of soil analysis, Agron. No. 9, Part 2: Chemical and microbiological properties (2nd ed.). Madison, WI, USA: American Society of Agronomy.
Pathak, G. C., Gupta, B., & Pandey, N. (2012). Improving reproductive efficiency of chickpea by foliar application of zinc. Brazilian Journal of Plant Physiology, 24(3), 173-180.Available at: https://doi.org/10.1590/s1677-04202012000300004.
Perveen, R., Faizan, S., Tiyagi, S. A., & Kausar, S. (2011). Performance of Cd stress condition on growth and productivity parameters of Trigonella foenum-graecum Linn. World Journal of Agricultural Sciences, 7(5), 607-612.
Phillips, J. M., & Hayman, D. S. (1970). Improved procedures for clearing and staining parasitic and vesicular–arbuscular mycorrhizal fungi for rapid assessment of infection. Transactions of the British Mycological Society, 55, 158-161.Available at: https://doi.org/10.1016/S0007-1536(70)80110-3.
Qiu, Q., Wang, Y., Yang, Z., & Yuan, J. (2011). Effects of phosphorus supplied in soil on subcellular distribution and chemical forms of cadmium in two Chinese flowering cabbage (Brassica parachinensis L.) cultivars differing in cadmium accumulation. Food and Chemical Toxicology, 49(9), 2260-2267.Available at: 10.1016/j.fct.2011.06.024.
Rask, K. A., Johansen, J. L., Kjøller, R., & Ekelund, F. (2019). Differences in arbuscular mycorrhizal colonisation influence cadmium uptake in plants. Environmental and Experimental Botany, 162, 223-229.Available at: 10.1016/j.envexpbot.2019.02.022.
Rivera-Becerril, F., van Tuinen, D., Martin-Laurent, F., Metwally, A., Dietz, K.-J., Gianinazzi, S., & Gianinazzi-Pearson, V. (2005). Molecular changes in Pisum sativum L. roots during arbuscular mycorrhiza buffering of cadmium stress. Mycorrhiza, 16(1), 51-60.Available at: 10.1007/s00572-005-0016-7.
Schubler, A., & Walker, C. (2010). The Glomeromycota: A species list with new families and genera,” Edinburgh & Kew, UK, The Royal Botanic Garden; Munich, Germany: Botanische Staatssammlung Munich and Oregon. USA: Oregon State University.
Senbayram, M., Gransee, A., & Wahle, V. (2015). Role of magnesium fertilisers in agriculture: Plant–soil continuum. Crop & Pasture Science, 66, 1219-1229.Available at: https://doi.org/10.1071/cp15104.
Sharma, S. S., & Dietz, K. J. (2006). The significance of amino acids and amino acid-derived molecules in plant responses and adaptation to heavy metal stress. Journal of Experimental Botany, 57, 711-726.Available at: https://doi.org/10.1093/jxb/erj073.
Shekoofeh, E., Sepideh, H., & Roya, R. (2012). Role of mycorrhizal fungi and salicylic acid in salinity tolerance of Ocimum basilicum resistance to salinity. African Journal of Biotechnology, 11, 2223–2235.Available at: 10.5897/AJB11.1672.
Sheng, M., Tang, M., Chan, H., Yang, B., Zhang, F., & Huang, Y. (2008). Influence of arbuscular mycorrhizae on photosynthesis and water status of maize plants under salt stress. Mycorrhiza, 18, 287–296.Available at: https://doi.org/10.1007/s00572-008-0180-7.
Shukla, U., Murthy, R., & Kakkar, P. (2008). Combined effect of ultraviolet-B radiation and cadmium contamination on nutrient uptake and photosynthetic pigments in Brassica campestris L. seedlings. Environmental Toxicology: An International Journal, 23(6), 712-719.Available at: 10.1002/tox.20378.
Srivastava, R., Khan, R., Manzoor, N., & Mahmooduzzafar. (2011). Responses of cadmium exposures on growth, physio-biochemical characteristics and the antioxidative defence system of soybean. Journal Phytol, 3(10), 20-25.
Tandon, P. K., & Srivastava, M. (2004). Effect of cadmium and nickel on metabolism during early stages of growth in gram (Cicer arietinum L.) seeds. Indian Journal of Agricultural Biochemistry, 17(1), 31-34.
Thompson, A. R., & Vierstra, R. D. (2005). Autophagic recycling: Lessons from yeast help define the process in plants. Current Opinion in Plant Biology, 8(2), 165-173.
Van der Heijden, E. W., & Kuyper, T. W. (2001). Does origin of mycorrhizal fungus or mycorrhizal plant influence effectiveness of the mycorrhizal symbiosis? Plant and Soil, 230(2), 161-174.Available at: https://doi.org/10.1023/A:1010377320729.
Vassilev, A., Perez-Sanz, A., Cuypers, A., & Vangronsveld, J. (2007). Tolerance of two hydroponically grown Salix genotypes to excess zinc. Journal of Plant Nutrition, 30(9), 1471-1482.Available at: https://doi.org/10.1080/01904160701555671.
Vijayaragavan, M., Prabhahar, C., Sureshkumar, J., Natarajan, A., Vijayarengan, P., & Sharavanan, S. (2011). Toxic effect of cadmium on seed germination, growth and biochemical contents of cowpea (Vigna unguiculata L.) plants. International multidisciplinary research journal, 1(5), 1-6.
Walkley, A. (1947). A critical examination of a rapid method for determining organic carbon in soils—effect of variations in digestion conditions and of inorganic soil constituents. Soil Science, 63(4), 251-264.
Wang, H., Zhao, S., Liu, R., Zhou, W., & Jin, J. (2009). Changes of photosynthetic activities of maize (Zea mays L.) seedlings in response to cadmium stress. Photosynthetica, 47(2), 277-283.Available at: https://doi.org/10.1007/s11099-009-0043-2.
Whetherley, P. (1950). Studies in the water relations of cotton plants. I. The field measurement of water deficit in leaves. New Phytol., 49, 81-87.Available at: https://doi.org/10.1111/j.1469-8137.1950.tb05146.x.
Wu, N., Li, Z., Wu, F., & Tang, M. (2016). Comparative photochemistry activity and antioxidant responses in male and female Populus cathayana cuttings inoculated with arbuscular mycorrhizal fungi under salt. Scientific Reports, 6, 37663.Available at: https://doi.org/10.1038/srep37663.
Wu, C., Dun, Y., Zhang, Z., Li, M., & Wu, G. (2020). Foliar application of selenium and zinc to alleviate wheat (Triticum aestivum L.) cadmium toxicity and uptake from cadmium-contaminated soil. Ecotoxicology and Environmental Safety, 190, 110091.Available at: 10.1016/j.ecoenv.2019.110091.
Xu, J., Sun, J., Du, L., & Liu, X. (2012). Comparative transcriptome analysis of cadmium responses in Solanum nigrum and Solanum torvum. New Phytologist, 196(1), 110-124.
Yang, L. P., Zhu, J., Wang, P., Zeng, J., Tan, R., Yang, Y. Z., & Liu, Z. M. (2018). Effect of Cd on growth, physiological response, Cd subcellular distribution and chemical forms of Koelreuteria paniculata. Ecotoxicology and Environmental Safety, 160, 10-18.Available at: 10.1016/j.ecoenv.2018.05.026.
Yousuf, P. Y., Ahmad, H. A., Ganie, A. H., Aref, I. M., & Iqbal, M. (2015). Potassium and calcium application ameliorates growth and oxidative homeostasis in salt stressed Indian mustard (Brassica juncea) Plants. Pakistan Journal of Botany, 47(5), 1629–1639.
Zaefarian, F., Rezvani, M., Rejali, F., Ardakani, M. R., & Noormohammadi, G. (2011). Effect of heavy metals and arbuscular mycorrhizal fungal on growth and nutrients (N, P, K, Zn, Cu and Fe) accumulation of alfalfa (Medicago sativa L.). American-Eurasian Journal of Agricultural & Environmental Sciences, 11(3), 346-352.
Zare, A., Khoshgoftarmanesh, A., Malakouti, M., Bahrami, H., & Chaney, R. (2018). Root uptake and shoot accumulation of cadmium by lettuce at various Cd: Zn ratios in nutrient solution. Ecotoxicology and Environmental Safety, 148, 441-446.Available at: 10.1016/j.ecoenv.2017.10.045.
Zhang, S., Zhou, J., Wang, G., Wang, X., & Liao, H. (2015). The role of mycorrhizal symbiosis in aluminum and phosphorus interactions in relation to aluminum tolerance in soybean. Applied Microbiology and Biotechnology, 99, 10225–10235.Available at: 10.1007/s00253-015-6913-6.
Zhou, J., Cheng, K., Huang, G., Chen, G., Zhou, S., Huang, Y., . . . Fan, H. (2020). Effects of exogenous 3-indoleacetic acid and cadmium stress on the physiological and biochemical characteristics of Cinnamomum camphora. Ecotoxicology and Environmental Safety, 191, 109998.Available at: https://doi.org/10.1016/j.ecoenv.2019.109998.
Zhu, G., Xiao, H., Guo, Q., Zhang, Z., Zhao, J., & Yang, D. (2018). Effects of cadmium stress on growth and amino acid metabolism in two Compositae plants. Ecotoxicology and Environmental Safety, 158, 300-308.Available at: 10.1016/j.ecoenv.2018.04.045.
Zouari, M., Ahmed, C. B., Zorrig, W., Elloumi, N., Rabhi, M., Delmail, D., . . . Abdallah, F. B. (2016). Exogenous proline mediates alleviation of cadmium stress by promoting photosynthetic activity, water status and antioxidative enzymes activities of young date palm (Phoenix dactylifera L.). Ecotoxicology and Environmental Safety, 128, 100-108.Available at: 10.1016/j.ecoenv.2016.02.015.
Table-ESM1. Result of the four way ANOVA test for independent variables [Cadmium (Cd), Zinc (Zn), Arbuscular Mycorrhiza (AM), Genotype (G)] and interactions amongst them in roots and leaves of pigeonpea genotypes.
| Parameter studied | Cd |
Zn |
AM |
G |
Cd×Zn |
Cd×AM |
Cd×G |
Zn×AM |
Zn×G |
AM×G |
Cd×Zn×AM |
Cd×Zn×G |
Cd×AM×G |
Zn×AM ×G |
Cd×Zn×AM×G |
| MC | - |
- |
- |
- |
- |
* |
- |
ns |
- |
* |
* |
- |
ns |
ns |
ns |
| MD | - |
- |
- |
- |
- |
* |
- |
* |
- |
* |
* |
- |
ns |
ns |
ns |
| Total plant biomass | * |
ns |
* |
* |
* |
* |
* |
ns |
ns |
* |
* |
* |
ns |
ns |
ns |
| RSR | * |
ns |
* |
* |
* |
* |
* |
ns |
ns |
* |
* |
* |
ns |
ns |
ns |
| HI | * |
ns |
* |
* |
* |
* |
* |
ns |
ns |
* |
* |
* |
ns |
ns |
ns |
| RWC (leaves) | * |
ns |
* |
* |
* |
* |
* |
* |
ns |
* |
* |
* |
* |
* |
ns |
| Chlorophyll a/b ratio | * |
ns |
* |
* |
* |
ns |
ns |
ns |
ns |
ns |
ns |
ns |
ns |
ns |
ns |
| Total chlorophyll | * |
ns |
* |
* |
* |
* |
* |
* |
ns |
* |
* |
* |
* |
* |
ns |
| Rubisco (leaves) | * |
ns |
* |
* |
* |
* |
* |
* |
ns |
* |
* |
* |
* |
* |
ns |
| N content (roots) | * |
ns |
* |
* |
* |
ns |
* |
ns |
ns |
* |
* |
* |
ns |
ns |
ns |
| N content (leaves) | * |
* |
* |
* |
* |
* |
* |
ns |
* |
* |
* |
* |
ns |
ns |
ns |
| P content (roots) | * |
ns |
* |
* |
* |
ns |
* |
ns |
ns |
* |
* |
* |
ns |
ns |
ns |
| P content (leaves) | * |
ns |
* |
* |
* |
ns |
* |
ns |
ns |
* |
* |
* |
ns |
ns |
ns |
| K content (roots) | * |
ns |
* |
* |
* |
ns |
* |
ns |
ns |
* |
* |
* |
ns |
ns |
ns |
| K content (leaves) | * |
ns |
* |
* |
* |
ns |
* |
ns |
ns |
* |
* |
* |
ns |
ns |
ns |
| Ca content (roots) | * |
ns |
* |
* |
* |
ns |
* |
ns |
ns |
* |
* |
* |
ns |
ns |
ns |
| Ca content (leaves) | * |
ns |
* |
* |
* |
ns |
* |
ns |
ns |
* |
* |
* |
ns |
ns |
ns |
| Mg content (roots) | * |
ns |
* |
* |
* |
ns |
* |
ns |
ns |
* |
* |
* |
ns |
ns |
ns |
| Mg content (leaves) | * |
ns |
* |
* |
* |
ns |
* |
ns |
ns |
* |
* |
* |
ns |
ns |
ns |
| Fe content (roots) | * |
ns |
* |
* |
* |
ns |
* |
ns |
ns |
* |
* |
* |
ns |
ns |
ns |
| Fe content (leaves) | * |
ns |
* |
* |
* |
ns |
* |
ns |
ns |
* |
* |
* |
ns |
ns |
ns |
| Total proteins (roots) | * |
* |
* |
* |
* |
* |
* |
* |
* |
* |
ns |
* |
ns |
ns |
ns |
| Total proteins (leaves) | * |
* |
* |
* |
* |
* |
* |
* |
* |
* |
ns |
* |
ns |
ns |
ns |
| FAA (roots) | * |
* |
* |
* |
* |
* |
* |
ns |
ns |
* |
ns |
* |
ns |
ns |
ns |
| FAA (leaves) | * |
* |
* |
* |
* |
* |
* |
ns |
ns |
* |
ns |
* |
ns |
ns |
ns |
| TSS (roots) | * |
* |
* |
* |
* |
* |
* |
ns |
ns |
* |
* |
* |
ns |
ns |
ns |
| TSS (leaves) | * |
ns |
* |
* |
* |
* |
* |
ns |
ns |
* |
* |
* |
ns |
ns |
ns |
| Proline (roots) | * |
ns |
* |
* |
* |
* |
* |
ns |
ns |
* |
* |
* |
* |
ns |
ns |
| Proline (leaves) | * |
ns |
* |
* |
* |
* |
* |
ns |
ns |
* |
* |
* |
ns |
ns |
ns |
| GB (roots) | * |
* |
* |
* |
* |
* |
* |
* |
ns |
* |
* |
* |
* |
ns |
ns |
| GB (leaves) | * |
* |
* |
* |
* |
* |
* |
* |
ns |
* |
* |
* |
* |
ns |
ns |
Note: *Significant at P≤0.05; ns-Non significant; (-) no interaction; MC-Mycorrhizal Colonization; MD- Mycorrhial Dependency; RSR- Root-to-shoot ratio; HI-Harvest Index, RWC- Relative water content; N- Nitrogen; P-Phosphorus; K-Potassium; Ca- Calcium; Mg-Magnesium; Fe-Iron; FAA- Free amino acids; TSS-Total soluble sugars; GB- Glycine betaine
Table-ESM2a. Effects of arbuscular mycorrhizal (AM) inoculation on cadmium (Cd) and zinc (Zn) content (µg g-1 DW) in roots of pigeonpea genotypes under cadmium (Cd) and zinc (Zn) stress, singly and in combinations.
| Treatments | Sel 85N |
P792 |
||
Cd |
Zn |
Cd |
Zn |
|
| Control (C) | 0.93±0.135 |
50.12±2.475 |
1.56±0.277 |
46.96±1.927 |
| C+AM | 0.66±0.067 |
71.18±2.833 |
1.27±0.271 |
59.70±2.418 |
| Cd25 | 20.76*±1.948 |
- |
45.22*±2.235 |
- |
| Cd25+AM | 14.71*±1.667 |
- |
38.60*±2.071 |
- |
| Cd50 | 36.63*±1.701 |
- |
73.20*±2.743 |
- |
| Cd50+AM | 29.72*±1.456 |
- |
66.96±5.049 |
- |
| Zn1000 | - |
664.58*±11.665 |
- |
1318.76*±12.474 |
| Zn1000+AM | - |
414.16*±14.688 |
- |
1010.30*±14.73 |
| Cd25+Zn1000 | 9.36*±1.602 |
323.65*±12.532 |
25.16*±2.369 |
881.76*±11.396 |
| Cd25+Zn1000+AM | 5.74±1.096 |
168.55*±8.122 |
20.18*±1.723 |
609.82*±11.700 |
| Cd50+Zn1000 | 24.16*±1.796 |
455.93*±8.998 |
56.56*±2.402 |
1062.76*±10.606 |
| Cd50+Zn1000+AM | 17.84*±1.706 |
297.17*±9.046 |
49.31*±2.185 |
845.53*±9.730 |
Note: * denotes significant difference between exposed and control plants (P < 0.05) as determined by Dunnett’s multiple comparison test
Table-ESM2b. Effects of arbuscular mycorrhizal (AM) inoculation on cadmium (Cd) and zinc (Zn) content (µg g-1 DW) in leaves of pigeonpea genotypes under cadmium (Cd) and zinc (Zn) stress, singly and in combinations.
| Treatments | Sel 85N |
P792 |
||
Cd |
Zn |
Cd |
Zn |
|
| Control (C) | 0.41±0.075 |
32.51±2.227 |
0.96±0.441 |
29.26±2.178 |
| C+AM | 0.31±0.066 |
44.15±2.100 |
0.84±0.075 |
35.43±2.377 |
| Cd25 | 7.45*±1.065 |
- |
23.49*±1.671 |
- |
| Cd25+AM | 6.08±0.685 |
- |
21.70*±1.841 |
- |
| Cd50 | 14.36*±1.882 |
- |
42.08*±2.043 |
- |
| Cd50+AM | 12.88*±1.014 |
- |
40.17±1.670 |
- |
| Zn1000 | - |
358.28*±12.662 |
- |
715.52*±14.183 |
| Zn1000+AM | - |
264.22*±18.457 |
- |
614.97*±13.196 |
| Cd25+Zn1000+AM | 2.41±0.545 |
101.41*±5.268 |
12.04*±1.563 |
365.90*±11.489 |
| Cd50+Zn1000 | 9.12*±1.207 |
238.62*±12.921 |
31.55*±2.137 |
561.83*±9.345 |
| Cd50+Zn1000+AM | 7.53*±1.429 |
182.66*±13.514 |
29.08*±2.253 |
489.13*±9.038 |
Note: * denotes significant difference between exposed and control plants (P < 0.05) as determined by Dunnett’s multiple comparison test
Views and opinions expressed in this article are the views and opinions of the author(s), International Journal of Sustainable Agricultural Research shall not be responsible or answerable for any loss, damage or liability etc. caused in relation to/arising out of the use of the content. |