Index

Abstract

There is high demand for cucumber because of its nutritional and medicinal implications. Despite the several benefits of the crop, there is little information on the agronomic performance of the crop in open and shaded conditions using different rates of poultry manure in south east Nigeria. The experiment was carried out to determine the effect of different rates of poultry manure on the growth and yield of cucumber in open and shaded conditions. This research was conducted in the research farm of the Agricultural Education Department, University of Nigeria, Nsukka. The experiment was laid out using RCBD (Randomized Complete Block Design) and replicated three times for both the open and shaded conditions. The poultry manure treatments applied were 0, 2 and 4ton/ha and data for the growth parameters were recorded on the 4th, 6th and 8th weeks after planting (WAP) while data on yield parameters were taken at harvest. The results indicated that cucumber planted under open system had the highest number of leaves, branches, stem girth, number of flowers, number of fruits and weight of fruits per plant when treated with 2ton/ha of poultry manure in comparison with 0ton/ha and 4ton/ha treatments under shaded system. The researchers therefore concluded that farmers in the study area can grow cucumbers in an open field with 2ton/ha poultry manure for optimal growth and yield of the crop.

Keywords: Cucumber, Growth, Open condition, Poultry manure, Sandy loam soil , Shaded condition, Yield.

Received: 3 October 2022 / Revised: 16 November 2022 / Accepted: 28 November 2022 / Published: 8 December 2022

Contribution/ Originality

We compared the growth and yield of cucumber crops grown in an open and shaded environment using poultry manure as fertilizer. The comparison revealed that cucumber growth and yield parameters are greatly affected by (open and shaded) environmental conditions which allowed us to see how importance it is.

1. INTRODUCTION

Cucumber (Cucumis sativus L.) is an important dicotyledonous vegetable crop of Cucurbitaceae family that bears cylindrical fruits [1-3]. Cucumber is one of the most cultivated and consumed species of the Cucurbitaceae in the world [3]. The yield of cucumber varies from species to species and depends on the environmental conditions such as climatic conditions, biotic elements and soil characteristics of the site [4].

The nutrient components of cucumber are vital for body development [5, 6]. This is in line with Sanni, et al. [7] that cucumber has great nutritional and health benefits which include treatment of dyspepsia in children and in skin care, cancer prevention and rehydrating of body [5, 6] aids in weight loss and digestion, cures diabetes, reduces cholesterol, helps in elimination of toxins from the human body and controls blood pressure [8]. Cucumber according to Umeh and Ojiako [9] and Opara, et al. [10] is a very good source of phytonutrients like dietary fibers, vitamins A, C, K and B6, beta-carotene, flavonoid, lycopene, potassium, phosphorus, manganese, magnesium, copper and equally rich in pantothemic acid.

However, of all this health and nutritional benefits of cucumber, Nigeria is not ranked in the production of cucumber whereas countries like China, India, Russia and US are the world major producers of cucumber [1]. This is because they only cultivate the crop in a few states in the northern part of the country. The significance of cucumber is increasing as a subsistence crop among rural and urban dwellers of Nigeria and they can link this to the nutritional and medicinal values. Nigerians consume most of the cucumbers produced and they sell very few in the markets at high prices especially in the eastern Nigeria where it is believed that cucumbers cannot grow.

Despite, the health benefits of cucumber and its contribution to food security there is a dearth of research on cucumber production in Nigeria especially in the south eastern part. These areas that have not been researched in Nigeria include growth and yield of cucumber treated with poultry manure under open and shaded conditions. The challenges stated above in the cucumber industry of Nigeria can be handled possibly through research effort. Research reports revealed contradicting outcomes; in Jordan for instance Siwek and Lipowiecka [11], reported a low yield of cucumber under shady condition whereas Gent [12] and Abu-Zahra and Ateyyat [13] reported a high yield of cucumber under open condition in summer months.  Presently the yield of cucumber in Nigeria is low and cucumber farmers do not know whether the crop thrives well under open or shaded conditions as they depend on old and poor agronomic production practices in their crop production. Therefore, research into agronomic conditions is urgently needed to know which conditions to adopt to improve the production of cucumber to enhance food security and alleviate poverty among the farmers in Nigeria. The aim of this study was to determine the effects of poultry manure on the growth and yield of cucumber in open and shaded conditions in sandy loam soil in Nigeria.

Table 1. Physiochemical properties of the study site at (0-30cm) and poultry manure samples.

Parameters
Soil test value
pH Values
Soil pH (water)
4.6
Soil pH (KCl)
3.8
Organic Matter%
Organic carbon
2.41
Organic matter
2.43
Total nitrogen
1.27
Available phosphorus (mg/kg)
7.19
Exchangeable Bases (me/100g)
K
0.09
Mg
1.80
Na
0.09
Ca
0.83
Exchangeable Acidity (me/100g)
Al
0.62
H
2.30
Cation exchangeable capacity
13.00
Textural class (%)
Sand
79
Silt
8
Clay
13
Textural class
Sandy loam

2. MATERIALS AND METHODS

2.1. Study Location

The study was conducted from the month of March to May 2019 in the research farm of the Agricultural Education Department, University of Nigeria, Nsukka. Nsukka is located on latitude 6°511E, and longitude 7°291N of 475m above sea level [14, 15]. The rainfall distribution of Nsukka zone is between 168mm - 1700mm, with a tropical climate of derived savannah marked by two distinct (dry and wet) seasons [16] and with mean annual minimum and maximum temperatures of 25ºC and 32⁰C respectively [17]. The natural day length for Nsukka is twelve hours and the relative humidity ranges from 34% to 78% [18]. Table 1 described the physicochemical composition of the composite soil surface sample (0 - 30 cm) of the experimental site as sandy Loam. The result revealed that the soil was slightly acidic and required fertilizer treatment of alkaline in nature for improve growth and development of crop [16] hence, the application different rates of poultry manure. 

2.2. Experimental Design and Treatments Application

The study was carried out using a Randomized Complete Block Design (RCBD) with three treatments replicated thrice. The experimental area was determined by marking out and measuring 11.36m x 5.8m (65.89m2).   Therefore, two equal blocks of 5.68m x 2.90m were measured out and randomly assigned to represent open and shaded conditions for the experiment. The blocks were spaced 1.30m apart and labeled I and II. Each block comprised six plots, measuring 2.58m x 0.88m spaced 0.5m apart. Shade of organic materials (bamboo and palm fronds) of 2m above the seedbed was made on block I while block II was open system. This gave a total of 9 plots for each block and 18 plots for the entire field. The treatments applied were as follows: (a) 0ton/ha, (b) 2t/ ha and (c) 4t/ ha. Before the commencement of the treatment, poultry manure samples were collected and analyzed for physicochemical properties using standard laboratory methods Table 2. The result of poultry manure analysis shows that it is alkaline in nature and suitable for treating an acidic soil [16]. The choice of poultry manure is based on availability and affordability within the study location.  The poultry manure was worked into the soil with hoe at the debt of 0-5cm in second week of March 2019 two weeks before planting to allow for decomposition, mineralization and nutrient release into the soil. There are three main varieties of cucumber thus; Slicing, Pickling and Burpless. For the purpose of this study slicing variety was considered because it is the only one available in the local markets of the study location.

The cucumber seeds were sown at a spacing of 46cm x 46cm at two seeds per hole in a single row. Supplying of vacant spaces was done a week after planting. Seedlings were thinned down to one per hole leaving five stands of cucumber seedlings per plot within two weeks after planting. Three stands of cucumber out of the five stands were randomly tagged per plot for data collection. The total population (N) of the experimental stands was ninety stands of cucumber while fifty-four stands were sampled (n) for the study.  Two weeks after planting, manual weeding was done using hoe and pulling and repeated every two weeks’ interval and no additional inputs were added (water and fertilizer). The crops were sprayed with Ironforce and Glomectin, and RemildoGold66WP (insecticides and fungicide respectively) at the rate of 20ml/20l of water at 3 and 4 weeks after sowing to protect the crops against insects and fungi diseases. Harvesting was done by handpicking the matured fruits.

2.3. Data Collection and Analysis

Data on the growth and yield parameters were collected from three randomly selected plants from each plot using a counting method, measuring tape and Vernier calipers.  For the growth parameters, data on a number of leaves, flowers and branches were collected using counting method, data on vine length was collected using measuring tape while for the stem girth was collected using Vernier caliper at 4, 6 and 8 weeks after planting (WAP). Data on the yield parameters such as number of flowers and fruits per plant were collected using counting methods while fruit weight was collected using a 10-kg scale.  Data collected were subjected to Analysis of Variance (ANOVA) using Statistical Package for the Social Sciences SPSS version 21 and significant means were compared using Least Significant Difference (LSD) at (p≤ 0.05) level of significance.

Table 2. Physicochemical properties of poultry manure sample used for the study.

S/N
Parameters
Poultry manure test value
1
pH
8.4
2
Organic matter
721gKg-1
3
N
60.3 gKg-1
4
P
0.7 gKg-1
5
Ca
35.6 gKg-1
6
Mg
6.6 gKg-1
7
K
4.8 gKg-1
8
Na
0.6 gKg-1
9
Fe
376 gKg-1
10
Mn
398 gKg-1
11
Cu
23.1 gKg-1
12
Zn
321 g-1

3. RESULTS

3.1. Effect of Poultry Manure on the Growth Parameters of Cucumber in Open and Shaded conditions

Table 3 revealed the growth parameters of cucumber grown under open and shaded conditions in sandy loam at 4, 6 and 8 WAP. The growth parameters were all significantly affected by planting conditions and poultry manure treatments at (P ≤ 0.05). The data analysis revealed that at 4, 6 and 8 WAP cucumber crops grown under open condition had a greater number of leaves per plant than the ones grown under shaded condition. This could be because that cucumber crops grown in an open field had favourable temperature and light intensity than those in shaded conditions. The result equally showed that cucumber grown with 2ton/ha poultry manure treatment had the highest number of leaves when compared with 4ton/ha and control treatments. This could be that 2ton/ha poultry manure had the appropriate nutrients needed for optimal vegetative performance of cucumber cumber crops.

Table 3. Effect of poultry manure on the growth parameters of cucumber in open and shaded conditions.
 
4WAP
6WAP
8WAP
Poultry manure
Open
Shade
Mean
Open
Shade
Mean
Open
Shade
Mean
Leaves/plant
0ton/ha-1
4.00
2.10
3.05***
2.33
1.50
1.92***
4.67
2.67
3.67***
2t/ ha-1
12.33
12.17
12.25*
22.33
18.17
20.25*
18.67
15.17
16.92*
4t/ ha-1
11.67
9.50
10.59**
21.17
17.83
19.50**
16.17
10.84
13.51**
Mean
9.33a
7.92b
15.28a
12.5b
13.17a
9.56b
Branches/plant
0ton/ha-1
1.00
1.00
1.00*
1.00
1.00
1.00*
1.00
1.00
1.00*
2t/ ha-1
1.50
1.17
1.34*
2.17
1.33
1.75**
2.17
1.50
1.84**
4t/ ha-1
1.17
2.00
1.59**
2.00
1.17
1.59**
2.17
1.33
1.75**
Mean
1.22a
1.39a
1.72a
1.22b
1.78a
1.50a
Vine length/plant (cm)
0ton/ha-1
2.90
5.17
4.04***
5.67
8.17
6.92***
6.34
8.67
7.51***
2t/ ha-1
54.34
67.83
61.06*
132.33
140.50
136.42*
143.67
145.34
144.51*
4t/ ha-1
46.84
50.33
48.59**
121.17
129.84
125.51**
132.34
137.00
134.67**
Mean
34.69b
41.11a
86.39b
92.84a
94.12b
97.00a
Stem girth/plant (cm)
0ton/ha-1
0.44
0.19
0.32**
0.46
0.28
0.37***
0.67
0.47
0.57**
2t/ ha-1
1.03
0.88
0.96*
1.98
1.10
1.54*
2.10
1.31
1.71*
4t/ ha-1
0.97
0.83
0.90*
1.10
1.00
1.05**
1.65
1.41
1.53*
Mean
0.81a
0.63a
1.18a
0.79a
2.21a
1.06a

Note: Along the column means of the same number of asterisks (*) or (letter) are statistically similar (LSD, 5%).

Based on the result of the analysis of the plant branches, it shows that at 4WAP there are no significant differences in the number of branches of cucumber grown under open and shaded conditions. Among treatments used for the study, cucumber grown with 4ton/ha of poultry manure had the highest number of branches when compared with 2ton/ha and 0ton/ha treatments. The result further revealed that there are no significant differences in the number of branches per plant of cucumber when grown with 2ton/ha poultry manure and control treatments under open and shaded conditions. At 6WAP cucumber grown under open conditions had the highest number of branches per plant when compared with shady condition. The result further indicated, that there are no significant differences in number of branches per plant when treated with 4ton/ha and 2ton/ha poultry manure at 6 and 8WAP. At 8WAP, the result revealed that there are no significant differences in number of branches per cucumber plant when grown under open and shaded conditions.

The vine length was significantly affected by the planting conditions and poultry manure treatments applied. The result shows that at 4 (41.11cm), 6 (92.84cm), and 8(97.00cm) WAP cucumber crops grown under shaded environment had the highest vine length when compared with the ones planted under open condition. This could be that reduction in temperature and light intensity promote elongation of cucumber vine under shaded condition than in an open field.

The result revealed that there was no significant difference in the stem girth of cucumber crops grown under open and shaded conditions at 4, 6 and 8 weeks after planting.  The result equally revealed significant difference between the control treatment and the other treatments. However, there is no significant differences in the stem girth of cucumber crops grown with 2ton/ha and 4ton/ha poultry manure. In terms of fertilizer treatments used, the study revealed that cucumber crops grown in an open field with 2ton/ha poultry manure had the highest interactive effect on stem girth, number of leaves, branches and vine length at 4, 6 and 8 WAP. 

3.2. Effect of Poultry Manure on the Yield Parameters of Cucumber Crops Grown under Open and Shaded conditions

Figure 1 show the effects of poultry manure on number cucumber flowers grown under open and shaded conditions. The figure revealed that there are significance differences on the effect of poultry manure on number of cucumber flowers grown under open and shaded conditions.

The Figure 1 revealed that in control treatment, cucumber crops grown under both open and shaded conditions failed to bear flowers at 4, 6 and 8WAP. The result of the study show that the highest number of cucumber flowers were recorded in an open field at4, 6 and 8WAP when treated with 2ton/ha poultry manure and 4 and 8WAP when nourished with 4ton/ha poultry manure. The figure equally revealed that at 4 weeks after planting both open and shaded environment had equal number of flowers when grown with 4ton/ha poultry manure treatment.

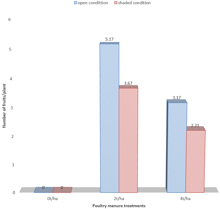
Figure 2 show significance differences on the effects of poultry manure in terms of number of cucumber fruits per plant under open and shaded conditions. The figure shows that cucumber crops grown in both open and shaded conditions failed to bear fruits under control treatment. The figure 2pointed out that cucumber crops grown under open condition performed better in terms of number of fruits per plant than those grown under shaded condition. The figure further show that cucumber crops planted in an open field condition had the highest number of fruits per plant when 2ton/ha poultry manure was applied in comparison with 4ton/ha treatment.

Figure 1. Effect of poultry manure on number of flowers/plant of cucumber grown under open and shaded conditions at 4, 6 and 8 WAP.


Figure 2.Effect of poultry manure on number of fruits/plant of cucumber grown under open and shaded conditions at 8 WAP.

Figure 3 revealed the effect of poultry manure on average fruit weight per plant of cucumber crops grown under open and shaded conditions. The figure reveled that cucumber crops grown under open condition had the highest average fruit weight when nourished with2ton/ha poultry manure. Findings equally alien with Azarmi, et al. [19] that cucumber fruit weight and number per crop in the shaded conditions was severely decreased by 57% and 69.5% respectively when compared with open filed plant. The study also revealed that poultry manure rate of 2ton/ha performed better than control and 4ton/ha treatment in both open and shaded conditions.

Figure 3. Effect of poultry manure on average fruits weight/plant of cucumber grown under open and shaded conditions.

4. DISCUSSION

Table 3 showed the growth indices of cucumber planted under open and shaded systems in sandy loam at 4, 6 and 8 weeks after planting.  The findings of the study indicated that cucumber growth parameters were greatly affected by growing conditions and varying rates of poultry manure applied. The result showed that cucumber crops grown in open condition did better in terms of number of leaves when treated with 2 t/ha poultry manure when comparing it with the shaded condition.  This affirmed Masabni, et al. [20] and Torres-Olivar, et al. [21] findings that cucumber crops grown under open field had the highest number of leaves per plant, plant fresh and dry weight when compared with the ones grown under shaded condition.

The finding however contradicts Sandri, et al. [22] and Abu-Zahra and Ateyyat [23] reports that cucumber crops under shaded conditions performed better in terms of number of leaves per plant and in other growth parameters.  The findings contradict the report of Law-Ogbomo and Osaigbovo [24] and Enujeke [25] that vegetative parameters like number of leave, branches and vine length per plant increased with an increase in quantity of poultry manure applied.

The findings of the study pointed out that numbers of branches per plant increased in an open condition when nourished with 4 t/ha poultry manure whereas in the shaded condition the reversed was the case. The finding agreed with Law-Ogbomo and Osaigbovo [24] and Okoli and Nweke [26] that cucumber branches per plant increase with an increasing rate of poultry manure. The findings concord with the previous research findings that cucumber grown in an open condition produced a greater number of branches than those grown in a shaded environment [19, 20, 27].

In terms of vine length, the current findings revealed that cucumber grown under shaded conditions produced the longest vines length in comparison with those grown in an open field when treated with different rates of poultry manure. The finding is in line with Sandri, et al. [22] that recorded longest vine in cucumber grown under shaded condition. The findings equally collaborate with Azarmi, et al. [19]and Semida, et al. [27] that cucumber grown under shaded condition had longer stem with larger internodes, thinner leaves and lager leave area. The result further indicated that at 4, 6 and 8 WAP, cucumber crops grown with 2ton/ha poultry manure had the highest vine length when compared with 4ton/ha and 0ton/ha treatments which was in disagreement with Law-Ogbomo and Osaigbovo [24]; Enujeke [25].

There was no observable difference in the stem girth of cucumber crop grown with different rates of poultry manure in different growing environmental conditions as revealed by the findings of the present study. The study further exposed that the interaction effect was more in an open condition when comparing it with shaded condition. The result is in agreement with the findings of Torres-Olivar, et al. [21]  that there is significant increase in growth parameters of cucumber grown in an open field whereas reduction in growth parameters occurred under the shaded condition. However, the findings of this study disagree with Semida, et al. [27]that number of leaves, leaf area, vine length and stem girth per plant increased under shady condition.

The findings indicated that the numbers of flowers per cucumber stand are influenced by growing conditions and different rates of fertilizer treatment. The findings as displayed in Figure 1 showed that in an open field condition cucumber crops produced more numbers of flowers than the shaded environment especially when 2 t/ha poultry manure was applied. The result equals Semida, et al. [27] research report of higher number of cucumber flowers under open condition. The result indicates that increase in poultry manure quantity does not translate to increase in flowers. This is in agreement with Ali Kabeh, et al. [28] that increase in organic manure does not translate to increase in number of watermelon flowers and fruits in sandy loam.

The findings of the study in Figure 2 showed that the number of fruits per cucumber stand were influenced by the growing conditions and rates of poultry manure applied in the study area. Cucumber stands grown in an open or unshaded condition and fertilized with 2 t/ha poultry manure produced more numbers of fruits than the ones grown in shaded condition. The findings showed the control treatment did not produce neither flowers nor fruits in open and shaded conditions. This is an indication that cucumber crops do not thrive in an infertile soil [29] irrespective of the environmental conditions in which they are grown. The result collaborates with Ombódi, et al. [30] that shading net treatments did not increase yields of sweet peppers. The finding paralleled with Enujeke [25] and Chinasa, et al. [31] that cucumber plants that received the highest rate of poultry manure had the highest number of leaves, branches, vine length, flowers and fruits.

There was an obvious significant difference in the weight of cucumber fruits grown with varying rates of poultry manure in open and shaded conditions. The findings indicated that the cucumber fruits’ weight was high among those grown in an open field than those in shaded condition. Figure 3 is in line with the research report of Abu-Zahra and Ateyyat [13] that fruit weight in shaded crops was lower than in an open field condition.  Findings equally alien with Azarmi, et al. [19] that cucumber fruit weight and number per crop in the shaded conditions was severely decreased by 57% and 69.5% respectively when compared with open filed plant. The reason being that shading of cucumber crops result in thinner and larger leaves, elongation of internode, excessive vine length, and reduction in number of flowers and fruits, poor fruit formation and fruit weight Azarmi, et al. [19]and Hashem, et al. [32]. Researchers like Azarmi, et al. [19] and Tabatabaei, et al. [33] stated that shading decrease photosynthesis, levels of carbohydrate, translocation of photoassimilates from vegetative parts to the flower buds and fruits. The study also revealed that poultry manure rate of 2ton/ha performed better than control and 4ton/ha treatment in both open and shaded conditions which is in agreement with Kabeh, et al. [28].

5. CONCLUSION

In this study, open condition played an important role in determining the general performance of cucumber in sandy loam soil. Open condition increased the cucumber vegetative growth and yield of individual cucumber plants except for the plant vine length. Based on the findings from this research, cultivation of cucumber in an open field using 2ton/ha poultry manure which produced the highest number of leaves, branches, stem girth, flowers, fruits and fruits weight is recommended to farmers in the study area.

Funding: This study received no specific financial support.  

Competing Interests: The authors declare that they have no competing interests.

Authors’ Contributions: All authors contributed equally to the conception and design of the study.

REFERENCES

[1]         B. N. Allam, T. Lu, H. Yu, Q. Li, Z. Sarfraz, M. S. Iqbal, S. Khan, H. Wang, P. Liu, and W. Jiang, "Productivity enhancement of cucumber (Cucumis sativus L.) through optimized use of poultry manure and mineral fertilizers under greenhouse cultivation," Horticulturae, vol. 7, pp. 256-261, 2021.Available at: https://doi.org/10.3390/horticulturae7080256.

[2]         Z. A. Elum, E. B. Etowa, and A. U. Ogonda, "Economics of cucumber production in rivers state Nigeria," Agro-Science, vol. 15, pp. 48-53, 2016.Available at: https://doi.org/10.4314/as.v15i2.7.

[3]         C. Ume, C. Onunka, and A. I. Achike, "A pilot production of dry season cucumber using inorganic fertilizers in the university of Nigeria farm Nsukka Enugu State Nigeria," International Journal of Agriculture Environment and Bioresearch, vol. 2, pp. 24-42, 2017.

[4]         R. Boampong, S. K. Boateng, R. A. Amoah, B. A. Gyamfi, L. M. Aboagye, and E. O. Ansah, "Growth and yield of taro (colocasia esculenta (l) schott.) as affected by planting distance," International Journal of Agronomy and Agricultural Research, vol. 1, pp. 1-8, 2020.Available at: https://doi.org/10.1155/2020/8863099.

[5]         B. W. Abbey, N. Nwachoko, and G. N. Ikiroma, "Nutritional value of cucumber cultivated in three selected states of Nigeria," Biochemistry and Analytical Biochemistry, vol. 6, pp. 1-3, 2017.Available at: https://doi.org/10.4172/2161-1009.1000328.

[6]         A. Raza, C. M. Ayyub, M. A. Ghani, and N. Ahmed, "Assessment of variation in fruit mineral contents of cucumber germplasm of Pakistan," International Journal of Agriculture and Environmental Research, vol. 6, pp. 35-40, 2020.

[7]         B. S. Sanni, B. Ewulo, K. G. Godonu, and M. O. Animashaun, "Effects of nutrient sources on the growth and yield of cucumber (Cucumis sativus) and on soil properties in Ikorodu," Agro-Ecological Zone Rep Opin, vol. 7, pp. 24-32, 2015.

[8]         R. S. Agu, R. A. Ezema, O. N. Udegbunam, and A. C. Okoro, "Effect of different rates of poultry manure on growth and yield of cucumber cucumis sativum in Iwollo," Southeastern Nigeria Agro-Science, vol. 14, pp. 41-44, 2015.

[9]         O. A. Umeh and F. O. Ojiako, "Limitations of cucumber (Cucumis sativus L.) production for nutrition security in Southeast Nigeria," International Journal of Agriculture and Rural Development, vol. 21, pp. 3437-3443, 2018.

[10]       E. C. Opara, K. Zuofa, N. O. Isirimah, and D. C. Douglas, "Effects of poultry manure supplemented by NPK 15: 15: 15 fertilizer on cucumber (Cucumis sativus L.) production in Port Harcourt (Nigeria)," African Journal of Biotechnology, vol. 11, pp. 10548-10554, 2012.Available at: https://doi.org/10.5897/ajb11.1356.

[11]       P. Siwek and M. Lipowiecka, "Cucumber cultivation under plastic covers economic results," Folt.Horticult, vol. 16, pp. 40-55, 2004.

[12]       M. P. Gent, "Density and duration of shade affect water and nutrient use in greenhouse tomato," Journal of the American Society for Horticultural Science, vol. 133, pp. 619-627, 2008.Available at: https://doi.org/10.21273/jashs.133.4.619.

[13]       T. Abu-Zahra and M. Ateyyat, "The impact of various shading methods on cucumber growth and production," International Journal of Tropical Agriculture, vol. 33, pp. 191-197, 2015.

[14]       P. E. Ogbonna and U. P. Chukwudi, "Evaluation of sixteen cucumber (Cucumis sativus L.) genotypes in derived savannah environment using path coefficient analysis," Notulae Scientia Biologicae, vol. 8, pp. 85-92, 2016.Available at: https://doi.org/10.15835/nsb.8.1.9722.

[15]       E. C. Nzeh, C. I. Akogwu, U. J.N., and C. E. Nzeh, "Cost-return analysis of cocoyam marketing in Nsukka agricultural zone of Enugu State Nigeria," Sky Journal of Agricultural Research, vol. 3, pp. 215-222, 2014.

[16]       C. C. Ali, T. E. Ejiofor, F. O. Ifeanyieze, A. O. Okadi, C. M. Eze, G. E. Eze, and E. K. Ogbonna, "Proximate qualities and lycopene contents of three watermelon (citrullus lanatus) fruit varieties grown with climate-smart integrated fertilizer management in sandy loam soil," African Journal of Food Agriculture Nutrition and Development, vol. 20, pp. 16997-17011, 2021.Available at: https://doi.org/10.18697/ajfand.95.19215.

[17]       E. E. Ikenganyia, U. M. Ndubuaku, C. C. Onyeonagu, and I. N. Dimelu, "Performance of three varieties of cucumber (Cucumis sativus) in composted rice husks plus poultry manure media and the effects on soil nutrient status," International Journal of Plant & Soil Science, vol. 5, pp. 167-174, 2015.Available at: https://doi.org/10.9734/ijpss/2015/13603.

[18]       O. C. Ume, C. Onunka, and C. Oranu, "A comparative pilot production of dry season green pepper using organic inorganic and a combination of inorganic and organic fertilizers in the University of Nigeria farm Nsukka Enugu State Nigeria," Net Journal of Agricultural Science, vol. 4, pp. 63-66, 2016.

[19]       R. Azarmi, S. J. Tabatabaei, and N. Chaparzadeh, "Interactive effects of mg and shading on the yield physiology and antioxidant activity in cucumber grown in hydroponics," Journal Plant Process Function, vol. 22, pp. 63-71, 2018.

[20]       J. Masabni, Y. Sun, G. Niu, and P. Del Valle, "Shade effect on growth and productivity of tomato and chili pepper," Hort Technology, vol. 26, pp. 344-350, 2016.Available at: https://doi.org/10.21273/horttech.26.3.344.

[21]       V. Torres-Olivar, L. A. Valdez-Aguilar, A. Cárdenas-Flores, H. Lira-Saldivar, M. Hernández-Suárez, and L. Ibarra-Jiménez, "Effect of colored plastic mulch on growth yield and nutrient status in cucumber under shade house and open field conditions," Journal of Plant Nutrition, vol. 39, pp. 2144-2152, 2016.Available at: https://doi.org/10.1080/01904167.2016.1201108.

[22]       M. A. Sandri, J. L. Andriolo, M. Witter, and T. D. Ross, "Effect of shading on tomato plants grown undergreenhouse," Horticultura Brasileira, vol. 21, pp. 642-645, 2003.Available at: https://doi.org/10.1590/S0102-05362003000400013.

[23]       T. R. Abu-Zahra and M. A. Ateyyat, "Effect of various shading methods on cucumber (Cucumis sativus L.) growth and yield production," International Journal of Environment and Sustainability, vol. 5, pp. 10-17, 2016.Available at: https://doi.org/10.24102/ijes.v5i1.659.

[24]       K. E. Law-Ogbomo and A. U. Osaigbovo, "Growth and yield responses of cucumber (Cucumis sativum L.) to different nitrogen levels of goat manure in the humid ultisols environment," Biological Science Notes, vol. 10, pp. 228-232, 2018.Available at: https://doi.org/10.15835/nsb10210227.

[25]       E. C. Enujeke, "Response of watermelon to five different rates of poultry manure in asaba area of delta state Nigeria," IOSR Journal of Agriculture and Veterinary Science, vol. 5, pp. 45-50, 2013.Available at: https://doi.org/10.9790/2380-0524550.

[26]       P. S. O. Okoli and I. A. Nweke, "Effects of different rates of poultry manure on growth and yield of Amarathus Amaranthus crueutus," Scholars Journal of Agriculture and Veterinary Sciences, vol. 8, pp. 73-76, 2015.

[27]       W. M. Semida, M. S. Ammar, and N. A. El-Sawah, "Effects of shade level and microenvironment on vegetative growth physiological and biochemical characteristics of transplanted cucumber Cucumis sativus," Archives of Agriculture and Environmental Science, vol. 2, pp. 361-368, 2017.Available at: https://doi.org/10.26832/24566632.2017.020421.

[28]       J. D. Kabeh, H. O. Eke, and K. Balogun, "Evaluation of varietal infochemicals and bio-pesticidal effects in the management of cucumber beetles in cucumber (Cucumis Sativus Linn.) in the Southern Guinea Savanna," African Journal of Agriculture and Food Science, vol. 4, pp. 1-13, 2021.Available at: https://doi.org/10.52589/AJAFS-YMSKZWF8.

[29]       E. K. Eifediyi and S. U. Remison, "Growth and yield of cucumber (Cucumis sativus L.) as influenced by farmyard manure and inorganic fertilizer," Journal of Plant Breeding and Crop Science, vol. 2, pp. 216-220, 2010.

[30]       A. Ombódi, Z. Pék, P. Szuvandzsiev, Z. T. Tóthné, Z. Koházi-kis, A. Kovács, A. L. Darázsi, and H. L., "Effects of external coloured shade nets on sweet peppers cultivated in walk-in plastic tunnels not bot horti agrob," Cluj-Napoca, vol. 43, pp. 398-403, 2015.Available at: https://doi.org/10.15835/nbha4329863.

[31]       O. C. Chinasa, O. Henry, O. S. Nathaniel, and O. E. Adaobi, "Variation in seed yield of two cucumber (Cucumis sativus) cultivars as affected by poultry manure in Awka Rain         forest zone of Nigeria," International Journal of Biological Sciences, vol. 15, pp. 396-404, 2019.

[32]       F. Hashem, M. MA, E.-M. EM Abd, and A. MMF, "Influence of green-house cover on potential evapotranspiration and cucumber water requirements," Arab Universities Journal of Agricultural Sciences, vol. 19, pp. 205-215, 2011.Available at: https://doi.org/10.21608/ajs.2011.14657.

[33]       S. Tabatabaei, M. Yusefi, and J. Hajiloo, "Effects of shading and NO3: NH4 ratio on the yield quality and N metabolism in strawberry," Scientia Horticulturae, vol. 116, pp. 264-272, 2008.Available at: https://doi.org/10.1016/j.scienta.2007.12.008.

Views and opinions expressed in this article are the views and opinions of the author(s), Current Research in Agricultural Sciences shall not be responsible or answerable for any loss, damage or liability etc. caused in relation to/arising out of the use of the content.