Global concern is on the rise of ecological and human health risk associated with unregulated and unabated discharge of potentially toxic elements (PTEs) into the environment. This work investigated the concentration of PTEs, evaluated the sources and level of soil pollution and analyzed the level of ecological and human health risks. The study involves sample size (n =120) of one hundred and twenty soil samples collected from six spatial different areas of Ebonyi State. Determination of the concentration of the PTEs was executed using atomic absorption spectrophotometry. The degree of discrete distribution of the concentration of PTEs and relationship among them was achieved using descriptive statistical analysis and correlation coefficient. Automobile sites based on the result proved to have higher concentrations of PTEs in relation to nonerosive soils. The mean concentration of Zn, Cd, Pb, Ni, Fe and Cu were 689.48, 0.649, 694, 48.84, 6039.82 and 91.02 mg/kg respectively in automobile sites while in nonerosive soils, it was 8.33, 0.26, 2.82, 1.21, 11.99 and 4.36 mg/kg respectively. The overall ecological risk index and degree of contamination are 317.21 and 59.69 for automobile sites and 72.22 and 2.76 for non –erosive sites respectively. This indicates automobile sites to be of high degree of contamination and of high ecological risk. Evaluation of carcinogenic risk shows that Zn, Cu, Ni and Pb are of high cancer risks in the automobile sites for children and adults. Among all the studied PTEs, Zn and Pb poses significant health and ecological risks.
Keywords: Automobile sites, Contaminants, Descriptive statistical analysis , Geo-accumulation factor, Human health risk, Pollution indices, Potentially toxic elements.
Received: 5 August 2022 / Revised: 22 September 2022 / Accepted: 7 October 2022 / Published: 20 October 2022
This study is original and available literature indicates that no such work has been done in the study area. The evaluation of the human health and ecological assessment of the potentially toxic elements in the studied sites is a plus to the study when compared to existing research.
Potentially toxic elements are natural components of the earth's crust [1, 2] though studies throughout the world have identified anthropogenic activities such as vehicular traffic, industrial and commercial activities as responsible for high concentration in the environment [3]. Some authors [1, 3] noted that large quantities of pollutants have continuously been introduced into ecosystems as a consequence of urbanization and industrialization. Interest in the levels of contaminants associated with soil has risen in the last decades, particularly in the concentration and distribution of lead, cadmium, zinc and nickel [1, 4] and other elemental concentrations such as copper and iron. Studies [5] have shown that environmental threats are associated with auto mechanic repair activities which include spilling of oils, greases, petrol, diesel battery electrolyte, paints and other potentially toxic elements containing material unto the soil.
Anthropogenic release of potentially toxic elements through atmospheric particulate deposition, disposal of metal enriched sewage and metallurgical processes makes soil one of the repositories of anthropogenic wastes. Consequently, anthropogenic releases result in higher than normal background concentrations of the potentially toxic elements. Potentially toxic elements are toxic, persistent and non -degradable, and constitute serious harm to biological organisms including humans [6, 7] . It has been noted [1, 3] that potentially toxic elements as a result of their uncontrolled anthropogenic releases may lead to bioaccumulation, bio-magnifications and geo-accumulations in the earth crust.
Potentially toxic element (PTEs) as toxicants are deposited in soils in the form of a low solubility compound such as pyrite, as hydroxides, phosphates and carbonates or Pb-organic complexes [8]. Among the PTEs, cadmium has the greatest potential for transmission through the food chain in levels that present risk to consumers probably because of its lower affinity for metal sorbing phases such as the oxides compared to other PTEs like Zn, Mo and Se. Potentially toxic element accumulation and pollution of soils entails plant uptake which invariably accumulates in plant tissues leading to change in plant community and phytotoxicity [9]. Metals present in waste dumpsites according to studies [8] were relatively mobile with the mobility dependent on depth. This suggests that potentially toxic elements in erosive sites may be less compared to non-erosive sites as a result of mobility factor.
Lead occurs naturally but can anthropogenically be introduced into the environment as dust particles or aerosols and weathering of lead products from industries and shooting ranges including rocks, animals, soils and plants as natural sources [10]. Excessive accumulation of lead in living organisms is always detrimental and is potentially toxic [11]. Exposure to lead can lead to mental retardation, behavioural disorder and seizures. Cadmium toxicity results from its bioaccumulation and absorption in tissues and has toxicological effects on kidney, liver and gastrointestinal tracts [12]. Potentially toxic elements even in low doses pose a major threat and most of these metals enter the environment through mining and smelting processes and combustion of fuels [13]. Some authors [8] observed that potentially toxic elements enter into a water supply by industrial or consumer waste even from acidic rain breaking down soil and releasing potentially toxic elements into streams, lakes, rivers, ground water. Nickel and chromium arise from wear of mechanical parts of vehicles while zinc and cadmium are derived from tyre abrasion [14]. Potentially toxic elements could arise mainly from coal or oil combustion, power, generation plants, incineration, waste disposal and building materials units, agricultural sources and mining and smelting processes. Some potentially toxic element such as antimony, nickel, silver and tin are known to be released in significant quantities in the terrestrial environment and have received lesser degree of attention. However metals such as zinc, lead, iron, copper, cadmium and mercury are essentially toxic, show high geochemical abundance and receive more attention in terms of source and effect. Some authors [15] have noted that increased allergic reactions, genetic mutation and increased competition with good trace metals for biochemical sites, killing of harmful and beneficial bacteria when potentially toxic elements are taken into the body through inhalation, ingestion and skin absorption.
The health and ecological hazards associated with the PTEs is currently a subject of discussion. Therefore, degree of contamination, contamination factor, potential ecological risk factor, geo-accumulation index, carcinogenic risk and enrichment factor are popular methods used for the evaluation and estimation of the degree of soil pollution and associated risks. Most studies of potentially toxic element contamination in automobile sites focused on lead, zinc and cadmium with little attention paid to other elements.
The objectives of this study are to determine average concentrations of PTEs in automobile and non-erosive sites in Ebonyi State, gauge the relationship between PTEs concentration in automobile sites and non-erosive site, identify the degree of anthropogenic influence on PTEs contamination of the soil of Ebonyi state and extract the human health risks associated with interaction of PTEs in automobile and non-erosive sites in Ebonyi State.
2.1. Location of the Study Areas
Ebonyi State is located in the South-Eastern part of Nigeria with a population of over 2 million, an area of approximately 5, 935 square kilometers and lies between latitude 7°30' and longitude 5° 501E and 6° 451 [16]. The mean annual rainfall is between 1,500 mm and 1,800mm and characterized by tropical hot humid climate. The mean temperature is 30°C between February -April and 21oC between December-January. The soil is Chernozem-like and ranges from humus, loamy, sandy to clay and sometimes a mixture of both types of soil [16].
There are several mechanic workshops in different towns of Ebonyi State especially the State capital which houses more than 900 of such. Very close to these mechanic workshops popularly regarded as mechanic site or village are Ebonyi and lyiokwu rivers and their tributaries. There are residential areas, schools, markets and agricultural farmlands very close to the site. Some of the activities in the mechanic workshops include 'Panel beating', auto repair and maintenance, painting, welding, fabrication and casting and sales of spare parts.
2.2. Sampling and Analysis
Samples were collected from sampling location Figure 1 with L1, L2, L3, L4, L5 and L6 representing Abakaliki, Afikpo, Onueke, Inyimahgu-unuhu, Umuezeokoha and Ezzamgbo respectively. A total of 120 replicate samples (10 from automobile and 10 from non-erosive sites in each area) were collected from these areas of Ebonyi State during June of 2017, 2018 and 2019. Soil samples were collected using 2.5cm diameter mild steel screw auger at depths ranging 0-15cm and kept in polyethene bag.
The collected soil samples were dried in ambient temperature on waxed paper in aluminum alloy trays in an oven at 100°C overnight, ground in agate mortar and homogenized. The samples were sieved through a 200 nylon mesh sieve (air-bone diameter 66m) [17]. Analysis was carried out using HNO3 and HCl (1:3 v/v) extracts of 1.0 g sample diluted to 50 mL with doubly distilled water. The determination of the concentration of the PTEs in the various sites was performed according to standard procedure [17]. In the analytical procedure, sample of weight 1.0 g for each soil was dissolved in 2 mL HN03 and HC1 (1:3 V/V) in Foss Tecator digestion vessel and mixture further diluted to 50 mL with distilled deionized water. The mixture was heated in an electric hot plate set at 350 oC for 2 h until a clear solution was obtained. The solution was cooled, filtered and transferred to a 100 mL volumetric flask pending analysis. Concentrations of the PTEs (Zn, Cd, Pb, Ni, Fe and Cu) were determined using atomic absorption spectrophotometer (Perkin-Elmer, model 460) [16]. Data were assessed for accuracy and precision using a quality control system integral to the analytical procedure [18]. Blank samples, duplicated samples and spiked samples were simultaneously determined in the analysis as quality control and significant statistical relationships determined at the 95% level of confidence. Data were processed using statistical Package for the Social Sciences SPSS 22.0 (IBM, New York, NY, USA).
Figure 1. Map showing the sampling location.
2.3. Descriptive Analysis and Correlation Coefficient
Data analysis such as mean, median, standard deviation (SD), range, variation coefficient (VC) expressed as SD/mean were carried out to indicate the activeness and discrete distribution of the metal concentrations. Correlation coefficient was calculated to determine relationships among different metals.
Descriptive statistical analysis of the concentrations of PTEs in automobile sites and non-erosive sites of some parts of Ebonyi State are presented in Tables 1 and 2 respectively. The mean concentrations of Zn. Cd, Pb, Mn, Fe and Cu in automobile sites are 689.48, 0.649, 694, 48.84, 6039.82 and 91.02 mg/kg respectively. These concentration levels are comparable to those of other studies [19]. The elevated Zn, Cd, Pb, Ni, Fe and Cu in the top soils are due to ongoing deposition of the PTEs in soils within the automobile sites and their consequent retention in the upper layers of the soil. The elevated concentration of the metals reflects the impact of anthropogenic effects due to past uses of the PTEs in industrial processes and consumer products (for example paints, gasoline, diesel, petrochemicals, accumulators), agricultural practices, atmospheric deposition, mining and quarrying activities [20].
The mean concentrations of Zn, Cd, Pb, Mn, Fe and Cu in non- erosive sites are 8.33, 0.26, 2.82, 1.21, 11.99 and 4.36 mg/kg respectively as shown in Table 2. There exists difference between the mean values of the PTEs in automobile and non-erosive sites indicating that anthropogenic contamination is significant in automobile sites. Most values from non-erosive sites compares with the allowable limits of PTEs concentrations in soils of countries like France, Germany, Austria, Sweden, United Kingdom and Netherlands [21] and studies by Nworie and Nwali [16].
The mean concentrations of the PTEs in automobile sites are higher than the normal and critical concentrations as proposed [21]. Lead for instance is considered a hazard when the concentration is equal to or exceeds 400 mg/kg in bare soils and for Canadian soils. The concentration of lead in commercial premises should be within 260 mg/kg [21] but lead in automobile site has a mean concentration of 694mg/kg. The major source of lead in automobile site is vehicle batteries and alloys. The mean concentration of Ni and Cu Compares with those of other studies in England and Wales but differs significantly from those from non-erosive site [3]. Some studies [22] have noted that global input of nickel to the human environment is approximately 150,000 and 180,000 metric tons per year from natural and anthropogenic sources respectively including fossil fuel combustion and use and discard of alloys of nickels and its compounds.
Activities like welding, electroplating, grinding, wear of mechanical parts and cutting of nickel and its alloys take place in automobile shops exposing people to inhalation, ingestion and skin contact. High chances of developing cancers of lung, nose, prostate and larynx when plants grows in nickel rich soils are consumed. Accumulation of nickel in plants, sedimentation from the atmosphere and solubilization of nickel compounds from oils lead to increased nickel in water and its derivation from the biological cycle. Increased consumption causes respiratory failures, birth defects and heart disorders [2].
Cadmium is highly dispersed by human activities and this affects the background concentrations. Earlier studies [23] proposed that the range of cadmium concentration in soils even with anthropogenic contamination is likely 0.07-1.1 mg/kg. The mean concentration of cadmium in automobile soil is 0.649mg/kg. The highly elevated cadmium content of the automobile site reflects significant anthropogenic inputs like tyre abrasion [14] on its concentration on the top soils. It has been proposed that the average cadmium content of soils should not exceed 0.5 mg/kg [18]. The mean concentration of cadmium is lower than those of other metals may be as a result of mobility factor. According Njoku and Ngene [24] cadmium tends to be more mobile in soil systems than many other potentially toxic elements. Some authors [16] noted that chronic exposure to cadmium could result in kidney damage, bone deformities and cardiovascular problems. Studies [15] have observed that consumption of cadmium contaminated foods have resulted to human diseases.
The mean concentration of copper in automobile sites is 91.02mg/kg and compares with those of other studies [5]. Elevated concentrations of copper in automobile site could be as a result of the use of copper wires, tubes, solders, vessels and alloys in myriads of mechanical and electrical works. Studies [4] have shown that copper does not travel very far after release and because of its limited mobility, it tends to accumulate in soils. The mean concentration of zinc in automobile site was 689.48mg/kg. This concentration was far above the critical level of zinc in the soil as proposed [8]. The high concentration of zinc could be as a result of anthropogenic contamination from abrasion of tyres [25]. There are low solubility zinc minerals which are increasingly adsorbed by negatively charged colloidal soil particles and as plants grow in soils, they accumulate zinc to a great proportion in the roots which could present real health hazards [3]. Studies [15, 25] have shown that long term potentially toxic element contamination of soils has deleterious effects on microbial respiration and enzyme activity of the soil. Potentially toxic elements such as Zn, Cd, Pb, Fe, Cu and Ni bio-accumulate in plant tissues leading to phytotoxicity and change in plant community [9, 12]. Studies [4] have noted that some potentially toxic elements such as Fe and Mn are found in a variety of physiochemical forms as oxyhydroxides, sulphides or organic matter.
Studies [26, 27] have shown that the concentration of Fe in abandoned mechanic site at the depth of 20-40cm is 28.90 mg/kg. This differs significantly with soil of mechanic site that the concentration has a mean value of 6039.82mg/kg. The high concentration of Fe in mechanic site could have emanated from anthropogenic- sources such as panel beating of vehicle bodies, scrapping of old vehicle body coats, grinding, threading and other working of metal parts during repairs, depth and mobility factor.
Some studies [1, 28-30] observed that areas that experience intense human activities like mechanic site are likely to have higher potentially toxic elements than non-mechanic sites. The mean concentration of potentially toxic elements in automobile site are within the critical levels set by the Government of Taiwan for their soil and which is l0mg/kg Cd,16 mg/kg Cr, 1000mg/kg Ni and 120mg/kg Pb. Certain plants known as hyper accumulating plant accumulate more than 20,000mg/kg Zn, 40,000mg/kg Zn and I000mg/kg Cd posing serious health hazards to humans and animals [29]. The mean concentration of Zn, Pb, Cu,Cd and Fe in automobile sites exceeds the approved consumption limits of potentially toxic elements which is 5.0, 0.05,1.0, 0.01 and 0.3mg/L respectively [29].
The variation coefficient (VC) seems to classify the elements into two groups; those whose source could be mainly natural with VC less than 0.4 and those highly affected by anthropogenic source whose VCs are above 0.4. Critical evaluation of Tables 1 and 2 showed that only Cu has VC less than 0.4. This indicates negligible anthropogenic influence which could be as a result of low use of copper related materials in the study areas. In Table 3, the mean pH values of the soils of automobile and non-erosive sites are presented. Result indicated that the soils of automobile sites are more acidic than those of non-erosive sites.
3.1. Correlation Coefficient Analysis
Pearson's correlation coefficients of potentially toxic elements in automobile and non-erosive soils of Ebonyi State are summarized in Tables 4 and 5 respectively. From Table 4, the potentially toxic elements Zn, Cd, Pb, Ni Fe and Cu are positively correlated which may suggest a common source in automobile sites. In non-erosive sites Table 5, Zn is positively correlated to Cd, Pb and Ni indicating that human activities may also have influenced their concentrations. Fe and Cu are poorly correlated to Fe and Ni is also poorly correlated to Cu showing different sources of the metals.
The high Pb and Zn concentrations could be linked to vehicular activities due to use of leaded gasoline [3, 19]. Studies [24] noted that Zn may be derived from mechanical abrasion of vehicles and hence it’s high concentration. Previous studies [1, 19] observed that Zn compounds act as antioxidants (e.g, Zinc sulphonates), as detergents or dispersant improvers for lubricating oils and in wear of tyre contributes significantly to high concentration of zinc. Generally, apart from quasi -poor correlation among some of the elements, there is significant associations between most of the elements as indicated for both automobile and non-erosive sites suggesting that common processes govern their distribution.
| PTEs | Range |
Mean |
Median |
SD |
VC |
| Zn | 332.40-901.30 |
689.48 |
645.30 |
494.57±0.23 |
0.717 |
| Cd | 0.330-8.90 |
0.649 |
0.694 |
1.215±0.09 |
1.87 |
| Pb | 149.39-1258.0 |
694.0 |
693.0 |
445±0.15 |
0.641 |
| Ni | 3.40-141.40 |
48.84 |
70.58 |
51.92±0.19 |
1.06 |
| Fe | 789.20-11397.10 |
6039.82 |
4949.30 |
4500±0.43 |
0.74 |
| Cu | 81.50-100.84 |
91.02 |
90.11 |
7.61±0.02 |
0.08 |
Note: SD = standard deviation, VC = Variation coefficient. |
| PTEs | Range |
Mean |
Median |
SD |
VC |
| Zn | 2.20-13.31 |
8.33 |
6.33 |
6.80±0.01 |
0.82 |
| Cd | 0.04-0.48 |
0.26 |
0.21 |
0.15±0.30 |
0.57 |
| Pb | 0.80-4.21 |
2.82 |
2.34 |
2.45±0.09 |
0.87 |
| Ni | 0.41-1.94 |
1.21 |
1.04 |
0.60±0.245 |
0.49 |
| Fe | 10.95-13.45 |
11.99 |
11.69 |
5.80±0.34 |
0.48 |
| Cu | 2.88-4.67 |
4.36 |
3.67 |
0.32±0.17 |
0.08 |
Note: SD = Standard Deviation, VC = Variation coefficient. |
Table 3. Average pH of soils at the depths of 0-15 cm at automobile and non –erosive sites in Ebonyi State. |
| Location | Automobile site |
Non-erosive site |
| Abakaliki | 5.62 |
6.50 |
| Onueke | 5.80 |
6.57 |
| Afikpo | 5.78 |
6.60 |
| Ngbo | 5.68 |
6.55 |
| Umuezeokoha | 5.70 |
6.60 |
| InyimaguUnuhu | 5.75 |
6.58 |
| PTEs | Zn |
Cd |
Pb |
Ni |
Fe |
Cu |
| Zn | 0.245 |
0.894 |
0.09 |
0.821 |
0.725 |
|
| Cd | 0.931 |
0.028 |
0.05 |
0.121 |
0.211 |
|
| Pb | 0.739 |
0.913 |
0.714 |
0.925 |
0.872 |
|
| Ni | 0.739 |
0.817 |
0.884 |
0.473 |
0.570 |
|
| Fe | 0.803 |
0.934 |
0.996 |
0.945 |
0.237 |
|
| Cu | 0.582 |
1.000 |
1.000 |
0.898 |
0.972 |
Note: Zn = zinc, Cd = cadmium, Pb = lead, Ni = nickel , Fe = iron, Cu = copper. |
| PTEs | Zn |
Cd |
Pb |
Ni |
Fe |
Cu |
| Zn | 0.042 |
0.992 |
0.211 |
0.434 |
0.942 |
|
| Cd | 0.988 |
0.250 |
0.159 |
0.020 |
0.020 |
|
| Pb | 0.830 |
0.739 |
0.053 |
0.585 |
0.245 |
|
| Ni | 0.668 |
0.815 |
0.795 |
0.124 |
0.364 |
|
| Fe | 0.194 |
0.606 |
0.519 |
0.539 |
0.716 |
|
| Cu | 0.202 |
0.918 |
0.912 |
0.151 |
0.553 |
Note: Zn = zinc, Cd = cadmium, Pb = lead, Ni = nickel , Fe = iron, Cu = copper. |
3.2. Assessment of Human Health Risk, Geo-Accumulation, Potential Ecological Risk and Pollution Indices
3.2.1. Geo-Accumulation Index (LGEO)
The data from the mean concentration of the PTEs in automobile and non-erosive sites were subjected to geo-accumulation index evaluation using Equation 1[30].Ci = concentration of PTEs in the automobile and no-erosive sites.
Bi = background concentration values of PTEs in the reference soil.
1.5 is the background matrix correction factor.
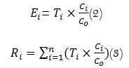
3.3. Potential Ecological Risk Index (RI)
The study evaluated the RI and Ei values of the studied sites using Equations 2 and 3 [12].
Ci = measured concentration of PTEs.
Co =reference background value.
Ti = Toxic response of individual element (Cu=Pb=Ni=5, Zn=1, Cd= 30).
Ei= potential ecological risk factor of a single element.
RI = potential ecological risk index of the PTEs.
Results of the study is presented in Table 6 and 7 for automobile and non-erosive sites respectively. The RI values for the automobile and non-erosive sites are 317.21 and 72.22 respectively. The RI values shows that the automobile site is of considerable ecological risk and polluted as values is in the range of 300≤RI≤600 [8, 28]. For the non-erosive sites, the low value of RI indicated low ecological risk with value in the range of RI≤150 [31]
The Ei values of Cd and Pb in automobile sites are 177 and 111.95 respectively indicating considerable risk. Cadmium and lead are highly harmful, toxic and carcinogenic. Other PTEs studied in the automobile sites are of Ei
40 and as such of low ecological risk. In the non-erosive sites, only cadmium has Ei within the range 40. The Ei of cadmium is 70.8 indicating moderate ecological risk. Other PTEs have Ei less than 40 and as such are of low ecological risk. Cadmium and lead bio-accumulate and man and other animals eat plants such as vegetables grown in the automobile and non-erosive sites. The consumption of such plants poses serious health concern for humans and other animals as the PTEs are mutagenic, carcinogenic, corrosive and deleterious.
3.4. Health Risk Assessment of Ptes in Automobile and Non-Erosive Sites
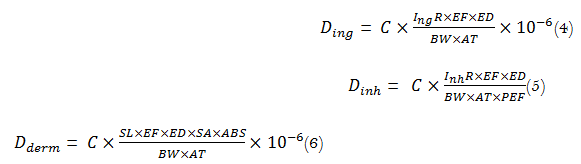
Evaluation of the health risks associated with PTEs in both automobile and non-erosive sites were executed using Equations 4-9 [30, 31] and results presented in Tables 8-10.
PTEs have access to human body through ingestion (Ding), inhalation (Dinh) and dermal penetration (Dderm). The average daily dosage of PTEs contacted through the processes are
3.5. Non-Carcinogenic Risk
3.6. Carcinogenic Risk (CR)
The result of the study of non-carcinogenic effects of the PTEs indicated that the route of intake of the PTEs follows the increased order of inhalation This suggests that ingestion is the main and primary route of contact and exposure and the result is consistent with results of other studies [1]. As shown in Tables 8 and 9, ingestion and dermal contact are the main exposure contact of PTEs for adult persons. In the study, inhalation is in a two to three decreased orders of magnitude in comparison with the ingestion and dermal exposure contact. Similarly, in HQ values as shown in Table 10, the values for the children are lower than those of the adults up to one magnitude. This shows that children are prone to greater risks than adult in both the automobile and non-erosive sites. The result is consistent with those of other studies and indicated that children easily pick and eat soil contaminated food [1]. Assessment of the HI values for both the automobile and non-erosive sites indicated that they are less than unity implying that there is absence of non-carcinogenic effects for adults and children.
3.7. Pollution Indices
3.7.1. Contamination factor and Degree of contamination (Cdeg)
The mean values of the contamination factors and degree of contamination of the PTEs are shown in Tables 6 and 7 as evaluated using Equations 10 and 11 for the automobile and non-erosive sites [3].
Ci = Measured concentration of PTEs.
Co = Background concentration of PTEs.
Based on the results of the study, all the PTEs have average elevated contamination factor above 1 except Ni whose Cfi was 0. 87 in the automobile sites. The average contamination factor of Pb and Fe are 22.39 and 19.625 respectively indicating considerable degree of pollution. Other PTEs are within contamination factor of 3.25 to 7.66 indicating moderate degree of contamination. Results from the non-erosive sites indicated that the contamination factor for all the PTEs is less than 1 apart from cadmium with Cfi of 2.36. Therefore, the Cfi of Cd is between 1 and 3 (1 ≤ Cf< 3) implicating moderate pollution of the non-erosive site. For other PTEs, there is observed low contamination and low pollution. For the automobile sites, the estimated degree of pollution evaluated from Equation 11 was 59.695 which is implicating very high degree of contamination and pollution [1]. Result of the degree of contamination from non-erosive sites is 2.76 which is <8 implicating low degree of contamination and pollution.
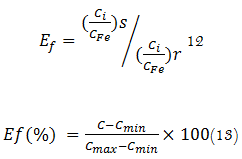
3.8. Enrichment factor (Ef) and Percentage enrichment factor (Ef %)
Enrichment factor and percentage enrichment factor were evaluated from Equations 12 and 13 [3] and presented in Tables 6 and 7.
Where (Ci/CFe)s is the ratio of concentration of PTE in sample to concentration of iron at the sampling point and (Ci/CFe)r is the ratio of concentration of PTE with reference
The Ef values of the PTEs in automobile sites are less than 1 except Pb with Ef of 1.14 in 49.12% of the soil. Therefore the PTEs present are mainly of background concentration emanating from automobile activities such as welding, smelting, painting and other activities. In the non-erosive sites, the Ef values of Cd (60.728)was very high above 40 ()implicating extremely high enrichment in 50% of the soil. The enrichment factor of Zn, Ni and Cu is within Ef 2-5 implicating moderate enrichment. The enrichment factor of cadmium is elevated because of its high mobility potentials in comparison to other [8].
Table 6. Assessment of geo-accumulation index, potential ecological risk index, contamination factor enrichment factor and percentage enrichment of automobile sites in Ebonyi State. |
| PTEs | Ci(mg/kg) |
Co* |
Ti* |
Ci/Co |
Ei |
Sf* |
Igeo |
EF |
EF% |
Af |
Cf |
| Zn | 689.48 |
90 |
1 |
7.66 |
7.66 |
0.0075 |
1.53 |
0.537 |
62.76 |
7.66 |
7.66 |
| Cd | 0.649 |
0.11 |
30 |
5.90 |
177 |
0.0005 |
1.183 |
0.299 |
3.7 |
5.90 |
5.90 |
| Pb | 694 |
31 |
5 |
22.39 |
111.95 |
0.0036 |
4.49 |
1.14 |
49.12 |
22.39 |
22.39 |
| Ni | 48.84 |
56 |
5 |
0.87 |
4.35 |
0.02 |
0.174 |
0.044 |
32.92 |
0.87 |
0.87 |
| Fe | 6039.82 |
307.75 |
- |
19.625 |
- |
0.007 |
3.93 |
- |
49.49 |
19.625 |
19.625 |
| Cu | 91.02 |
28 |
5 |
3.25 |
16.35 |
0.037 |
0.652 |
0.165 |
49.22 |
3.25 |
3.25 |
Note: * indicates reference values as adapted [30, 31], Ef= enrichment factor, Ef % = percentage enrichment, Af = anthropogenic factor, Igeo = geo-accumulation factor, Ti* = toxic response of individual element, Ei = potential ecological risk factor of a single element, Ci = concentration of element in the soil/site, Co* = reference concentration background value, Sf*=Slope function of inhalation, Cf = contamination factor. The potential ecological risk index of PTEs (RI ) and degree of contamination (Cdeg) are 317.21 and 59.69 respectively. |
Table 7. Assessment of geo-accumulation index, potential ecological risk index, contamination factor, enrichment factor and percentage enrichment of non-erosive soils in Ebonyi State. |
| PTEs | Ci(mg/kg) |
Co* |
Ti* |
Ci/Co |
Ei |
Sf* |
Igeo |
EF |
EF% |
Af |
Cf |
| Zn | 8.33 |
90 |
1 |
0.09 |
0.09 |
0.0075 |
0.018 |
2.37 |
55.17 |
0.09 |
0.09 |
| Cd | 0.26 |
0.11 |
30 |
2.36 |
70.80 |
0.0005 |
0.473 |
60.72 |
50 |
2.36 |
2.36 |
| Pb | 2.82 |
31 |
5 |
0.09 |
0.45 |
0.0036 |
0.019 |
2.33 |
48.90 |
0.09 |
0.09 |
| Ni | 1.21 |
56 |
5 |
0.022 |
0.11 |
0.02 |
0.004 |
0.55 |
52.28 |
0.022 |
0.022 |
| Fe | 11.99 |
307.75 |
- |
0.038 |
- |
0.007 |
0.007 |
- |
41.60 |
0.038 |
0.038 |
| Cu | 4.36 |
28 |
5 |
0.155 |
0.775 |
0.037 |
0.03 |
4.04 |
82.60 |
0.155 |
0.155 |
Where * indicates reference values as adapted [31], Ef= enrichment factor, Ef % = percentage enrichment, Af = anthropogenic factor, Igeo = geo-accumulation factor, Ti* = toxic response of individual element, Ei = potential ecological risk factor of a single element, Ci = concentration of element in the soil/site, Co* = reference concentration background value, Sf*=Slope function of inhalation, Cf = contamination factor. The potential ecological risk index of PTEs (RI) and degree of contamination (Cdeg) are 72.22 and 2.76 respectively. |
Table 8. Carcinogenic (Carc) and non- carcinogenic (non-carc) risks for individual PTEs and average daily dose in automobile sites contacted through ingestion, inhalation and dermal pathways. |
Table 9. Carcinogenic (Carc) and non- carcinogenic (non-carc) risks for individual PTEs and average daily dose in non-erosive sites contacted through ingestion, inhalation and dermal pathways. |
Table 10. Hazard quotient values (HQi) and carcinogenic risk (CR) of the PTEs in automobile sites and non-erosive sites. |
Based on the result of the study, higheraverage concentrations of PTEs (Pb, Zn, Cd, Cu, Fe and Ni) were observed in automobile sites in comparison to non-erosive sites and with permissible standards. Descriptive statistical evaluation using mean, standard deviation, variation coefficient and correlation coefficient indicated the source identification of PTEs to be natural or anthropogenic. The health and ecological hazards associated with the PTEs were assessed using common diagnostic tools of degree of contamination, contamination factor, potential ecological risk factor, geo-accumulation index, carcinogenic risk and enrichment factor. The PTEs in the automobile sites especially Pb, Fe, Cd and Cu are of high human health risk. The high concentration of Fe, Pb and Zn are significant and a major source of concern especially to farmers who plant crops close to the mechanic villages. These vegetables and other crops are also sold to the public for consumption. Other animals such as cows, goats and sheep drink water from lyiokwu and Ebonyi River which may be significantly polluted by PTEs from mechanic sites. Phyto-remediation of these mechanic sites and enforcement of regulatory limit of PTEs in sludge, application of phosphate, drainage of wet soil and adjusting soil pH to 6.5 or above [30] are recommended.
Funding: This study received no specific financial support. |
Competing Interests: The authors declare that they have no competing interests. |
Authors’ Contributions: All authors contributed equally to the conception and design of the study. |
[1] L. Ying-ju., W. Zhi-kang , Q. Fan-xin, F. Zhi-qing., L. Xin-li, and L. Gang, "Pollution indices and potential ecological risks of heavy metals in the Soil: A case study of municipal wastes site in ondo state," Southwestern” Nigeria. Jour Chem, vol. 3, pp. 78-86, 2018.Available at: https://doi.org/10.1007/s41050-020-00022-6.
[2] R. Atta and T. Xiao, "Distribution and potential ecological risk assessment of trace elements in the stream water and sediments from lanmuchang area, southwest guizhou, China," Environ SciPollut Res Int, vol. 26, pp. 3706–3722, 2019.Available at: https://doi.org/10.1007/s11356-018-3827-8.
[3] Z. Ali, R. N. Malik, Z. K. Shinwari, and A. Qadir, "Enrichment, risk assessment, and statistical apportionment of heavy metals in tannery-affected areas," International Journal of Environmental Science and Technology, vol. 12, pp. 537-550., 2015.Available at: https://doi10.1007/s13762-013-0428-4.
[4] A. Z. E. Bessa, G. Ngueutchoua, A. K. Janpou, Y. A. El-Amier, O. A. Nguetnga, U. R. K. Kayou, S. B. Bisse, S. E. C. N. Mapuna, and J. Armstrong-Altrin, "Heavy metal contamination and its ecological risks in the beach sediments along the Atlantic Ocean (Limbe coastal fringes, Cameroon)," Earth Systems and Environment, vol. 5, pp. 433-444, 2021.Available at: https://doi.org/10.1007/s41748-020-00167-5.
[5] B. A. Adelekan and K. D. Abegunde, "Heavy metals contamination of soil and groundwater at automobile mechanic villages in Ibadan, Nigeria," International Journal of the Physical Sciences, vol. 6, pp. 1045-1058, 2011.
[6] R. Bian, D. Chen, X. Liu, L. Cui, L. Li, G. Pan, D. Xie, J. Zheng, X. Zhang, and J. Zheng, "Biochar soil amendment as a solution to prevent Cd-tainted rice from China: Results from a cross-site field experiment," Ecological Engineering, vol. 58, pp. 378-383, 2013.Available at: https://doi.org/10.3390/challe6020244.
[7] R. Bian, S. Joseph, L. Cui, G. Pan, L. Li, X. Liu, A. Zhang, H. Rutlidge, S. Wong, and C. Chia, "A three-year experiment confirms continuous immobilization of cadmium and lead in contaminated paddy field with biochar amendment," Journal of Hazardous Materials, vol. 272, pp. 121-128, 2014.Available at: https://doi.org/10.1016/j.jhazmat.2014.03.017.
[8] L. T. Ogundele, P. O. Ayeku, A. S. Adebayo, A. P. Olufemi, and I. A. Adejoro, Distributional coefficients and enrichment studies of potentially toxic heavy metals in soils around itakpe iron-ore mine. North Central Nigeria: Polytechnica, 2020.
[9] G. Zhang, J. Bai, R. Xiao, Q. Zhao, J. Jia, B. Cui, and X. Liu, "Heavy metal fractions and ecological risk assessment in sediments from urban, rural and reclamation-affected rivers of the Pearl River Estuary, China," Chemosphere, vol. 184, pp. 278-288, 2017.Available at: https://doi.org/10.1016/j.chemosphere.2017.05.155.
[10] B. B. Babatunde, F. D. Sikoki, and I. Hart, "Human health impact of natural and artificial radioactivity levels in the sediments and fish of Bonny Estuary, Niger Delta, Nigeria," Challenges, vol. 6, pp. 244-257, 2015.Available at: https://doi.org/10.3390/challe6020244.
[11] S. A. Ayangbenro and O. O. Babalola, "A new strategy for heavy metal polluted environments: A review of microbial biosorbents," International Journal of Environmental Research and Public Health, vol. 14, p. 94, 2017.Available at: https://doi:10.3390/ijerph14010094.
[12] C. C. Ezeofor, J. N. Ihedioha, O. T. Ujam, N. R. Ekere, and C. O. Nwuche, "Human health risk assessment of potential toxic elements in paddy soil and rice (Oryza sativa) from Ugbawka fields, Enugu, Nigeria," Open Chemistry, vol. 17, pp. 1050-1060, 2019.Available at: https://doi.org/10.1515/chem-2019-0121.
[13] U. Bastakoti, J. Robertson, and A. C. Alfaro, "Spatial variation of heavy metals in sediments within a temperate mangrove ecosystem in northern New Zealand," Mar Pollut Bull, vol. 135, pp. 790–800, 2018.Available at: https://doi.org/10.1016/j.marpolbul.2018.08.012.
[14] E. M. Fonseca, J. R. Fernandes, L. S. Lima, J. Delgado, T. R. Correa, P. M. S. Costa, J. A. B. Neto, and V. M. C. Aguiar, "Effects of dredged sediment dumping on trace metals concentrations and macro benthic assemblage at the continental shelf adjacent to a tropical urbanized estuary," Ocean Coast Manag, vol. 196, p. 105299, 2020.Available at: https://doi.org/10.1016/j.ocecoaman.2020.105299.
[15] Q. Lu, J. Bai, G. Zhang, and J. Wu, "Effects of coastal reclamation history on heavy metals in different types of wetland soils in the Pearl River Delta: Levels, sources and ecological risks," Journal of Cleaner Production, vol. 272, p. 122668, 2020.Available at: https://doi.org/10.1016/j.jclepro.2020.122668.
[16] F. S. Nworie and C. Nwali, "Optimization of trace metal Ion binding properties of a novel schiff base using response surface methodology," Analytical and Bioanalytical Chemistry Research, vol. 7, pp. 237-250, 2020.Available at: https://doi.org/10.22036/ABCR.2019.195887.1376.
[17] X. Ma, H. Zuo, M. Tian, L. Zhang, J. Meng, X. Zhou, N. Min, X. Chang, and Y. Liu, "Assessment of heavy metals contamination in sediments from three adjacent regions of the Yellow River using metal chemical fractions and multivariate analysis techniques," Chemosphere, vol. 144, pp. 264-272, 2016.Available at: https://doi.org/10.1016/j.chemosphere.2015.08.026.
[18] O. L. Tunde and A. P. Oluwagbenga, "Assessment of heavy metals contamination and sediment quality in Ondo coastal marine area, Nigeria," Journal of African Earth Sciences, vol. 170, p. 103903, 2020.Available at: https://doi.org/10.1016/j.jafrearsci.2020.103903.
[19] O. Onweremadu, "Physico-chemical characterization of a farmland affected by wastewater in relation to heavy metals," Journal of Zhejiang University - Science A: Applied Physics & Engineering, vol. 9, pp. 366–372, 2008.Available at: https://doi:10.1631/jzus.A072210.
[20] Y. L. Idaszkin, E. S. Carol, J. M. Barcia-Piedras, P. J. Bouza, and E. Mateos-Naranjo, "Trace metal concentrations in soil-plant complex in rocky shore salt marshes of central patagonia," Cont Shelf Res, vol. 211, p. 104280, 2020.Available at: https://doi.org/10.1016/j.csr.2020.104280.
[21] M. Abubakaria, A. Moominb, G. Nyarkob, and M. M. Dawudab, "Heavy metals concentrations and risk assessment of roselle and jute mallow cultivated with three compost types," Annals of Agricultural Sciences, vol. 62, pp. 145-150, 2017.Available at: https://doi.org/10.1016/j.aoas.2017.11.001.
[22] R. A. Wuana and F. E. Okieimen, "Heavy metals in contaminated soils: A review of sources, chemistry, risks and best available strategies for remediation," Communications in Soil Science and Plant Analysis, vol. 2011, pp. 1-20, 2011.Available at: http://dx.doi.org/10.5402/2011/402647.
[23] W. J. O. Oti, S. O. Ngele, N. Elom, F. Nworie, E. U. Obini, R. O. Oti-Wilberforce, C. Ejim, N. U. Oledinma, U. P. Obinna, M. Onwei, and C. S. Nwobasi, "Profile and prospects of other metals associated with lead in enyigba lead-mine, ebonyi state, Nigeria," International Journal of Biology, Pharmacy and Allied Sciences, vol. 6, pp. 333-340, 2017.
[24] C. Njoku and P. Ngene, "Content and distribution of heavy metals in an abandoned mechanic and non-mechanic sites in Abakaliki, Southeastern Nigeria," Greener Journal of Physical Sciences, vol. 2, pp. 16-19, 2012.Available at: https://doi.org/10.9734/jaeri/2021/v22i130179.
[25] G. U. Adie and O. Asibanjo, "Assessment of soil pollution by slag from an automobile battery manufacturing plant in Nigeria," African Journal of Environmental Science and Technology, vol. 6, pp. 159-165, 2009.
[26] O. Olujimi, O. Steiner, and W. Goessler, "Pollution indexing and health risk assessment of trace elements in indoor dust from classroom, living rooms and offices in Ogun state," Journal of African Earth Sciences, vol. 101, pp. 396–404, 2014.Available at: https://doi.org/10.1016/j.jafrearsci.2014.10.007.
[27] Canadian council of Ministers of the Environment CCME, Canadian soil quality guidelines for the environment and human health; Summary tables in canadian environment quality guidelines. Winnipeg: Canadian Council of ministers of the Environment, 2020.
[28] M. Youssef, H. Madkour, R. El Attar, A. Mansour, and A. Badawi, "Assessment of metal contamination in coastal marine sediments of makadi bay on the red sea, egypt," Marine and Freshwater Research, vol. 71, pp. 1241-1251, 2020.Available at: https://doi.org/10.1071/mf19306.
[29] D. W. Helena, M. Silvie, C. Petr, and P. Jiri, "Potential ecological risk and human health risk assessment of heavy metal pollution in industrial a selected soils by coal mining and metallurgy in ostrava, czech republic," Int J Environ Res Public Health, vol. 16, p. 4495, 2019.Available at: https://doi.org/10.3390/ijerph16224495.
[30] USEPA, United states environmental protection agency handbook for non-cancer health effects evaluation. Washington: US Environmental Protection Agency, 2000.
[31] N. F. Sunday and O. Monday, "Prioritizing and optimizing sustainable measures for municipal solid waste prevention and management through online and distance learning approaches," The Journal of Solid Waste Technology and Management, vol. 48, pp. 34-46, 2022.Available at: https://doi.org/10.5276/jswtm/2022.34.
Views and opinions expressed in this article are the views and opinions of the author(s), International Journal of Chemical and Process Engineering Research shall not be responsible or answerable for any loss, damage or liability etc. caused in relation to/arising out of the use of the content. |