Index

Abstract

The research predicts the application of pseudo steady-state mechanism to chain reactions. Process chain reactions taking place in a petrochemical furnace reactor generates many intermediates species, and the material balance process are written in the kinetic balance to account for the contributory effects of the intermediates species than assuming negligible concentrations in the kinetic balance process. A set of material balance model on the number of molecules cum intermediates species resulting from the free radicals’ mechanism of the initiation, propagation, and termination all taking place in the furnace reactor were developed; and resolved simultaneously with energy/temperature balance of the radiative-convective zones of the petrochemical furnace reactor. A mat-lab simulation process applying the petrochemical plant process data as boundary conditions, gave plot profiles of the molecules (ethylene, hydrogen, methane, and butane) and active intermediates of (methyl, ethyl, and hydrogen) and a clear flat plateau which mainly depicts applicability of pseudo steady-state mechanism in kinetic studies. The models predict the following results ethane cracking 5.57%. ethylene formation 14.6%, temperature effects 0.03% and pressure drop 3.5 % which is very adequate for the petrochemical furnace reactor operations industrially. Finally, the essence of the work is to demonstrate how intermediates species formed in reactions process should be incorporated in any given material balance model to account for the overall kinetic studies rather than neglecting as zero contributions in any process chemistry.

Keywords: PSS-mechanism, Free-radical, Kinetics, Energy balance, Rate equations, Furnace reactor, Species-mole balance, Pressure-drop, Molecules.

Received: 7 July 2020 / Revised: 30 September 2020 / Accepted:21 October 2020/ Published: 17 November 2020

Contribution/ Originality

The research contributes to chemical engineering view point a pseudo steady state mechanism incorporates radical species of petrochemical chain reactions in writing the material balance to account for the overall effects in kinetic studies. While, chemistry assumes radical species are spectator ions assumed to be zero in any reactions kinetics.


1. INTRODUCTION

 

Thermal cracking processes of hydrocarbons have been of great interest to chemist even before the petroleum industry existed. The industry of producing chemicals from petroleum started when chemist produced alcohol from ethylene and propylene via thermal cracking.

 Hence, cracking of hydrocarbon thermally generates vital products as C2H4, C4H10, methane, and hydrogen to chemical and petrochemical industries as basic hydrocarbon feed stocks [1].

Cracking operations in petrochemical furnace reactor may involve dehydrogenation, polymerization, isomerization, alkylation and other reactions carried out at high temperatures and low pressures of 1100K and pressure of 560 Pascal Wordu and Akinola [2]; Rase [3] sometimes catalyst is added to control the chemical reactions which occur during the process, with the goal of promoting the development of specific molecules [4].

The thermodynamic properties such as standard heat of formation (∆Hf,298) specific heat capacity(CP) and kinetic data for chemical species i of the reactions process are given in Table 1 and 2. Boris [5];  Kutepov, et al. [6] posited destructive petroleum processing applying thermal cracking of hydrocarbons as proceeding by the free-radical mechanism which involves three stages of chain initiation, chain propagation, and chain termination processes. The structural stereochemistry of the compounds undergoing chain reaction in the furnace reactor are shown in Figure 1 .

Chain propagation (free-radical reactions) the unsaturated groups of atoms or ions which contain one or more unpaired electrons, that is, which do have their full complement of electrons, and do not decompose instantaneously to more stable species, are called free radicals. As a result of an incomplete valence shell, free radicals are highly reactive, and the reactions involving them proceed at a high rate. On colliding with the molecules of the feed stock, they form a product plus yet other free radicals, and this process, once initiated, can be repeated over and over, making the reaction self-propagating. The life time of free radicals is very short, being of the order of 10-3 -10-4 –s. The entire series of reactions that follows the production of the very reactive intermediates, or free radicals, is called a chain reaction. The bulk of the reaction product results precisely from a chain reaction via the free radicals rather than from the rupture of the carbon chain. The reactions involving free radicals are as follows:

  1. The substitution reaction

CH3 + C2H6 – CH4 +C2H5

  1.   The decomposition of free radicals with the formation of   unsaturated molecules plus more free radicals

CH3CH2CHCH3 – CH2 =CHCH3 + CH3

  1. The addition of radicals in multiple bonds

CH3 + C2H4 –C3H7

  1. Isomerism (presumably, it proceeds via an intermediate cyclic state)

Chain termination at equilibrium, the probability of a free radical meeting another free radical becomes comparable with the probability of their collision with the molecules of the feedstock. The interaction of two free radicals leads to what is termed chain termination with the formation of a stable hydrocarbon:

               CH2 = CH + CH = CH2   - CH2 = CH –CH =C2
CH2 = CH + H - CH2 = CH2­
C2H5 + H – C2H4 +H2

Figure 1 chain reactions scheme.

Hence, Pseudo Steady-State mechanism (PSS) is applied in species concentrations balancing process of the intermediate species generated due to chain reactions in the petrochemical furnace reactor.

Therefore, the research introduced PSS-mechanistic approach as the underlying kinetic principles accounting for the intermediates species effects in chain reaction process of furnace reactor. 

2. MATERIALS AND METHOD

2.1. Materials

The materials for the analytical technique research are obtained from industrial petrochemical plant as shown in Table 1 and 2.

Table-1. Properties values at 25oc and atmospheric pressure.

Properties
Values
Molecular weight
30.07
Specific gravity
01.04
Density of liquid and B.Pt (Kg/m3 and k)
34.10, 546.49
Absolute viscosity (Centipoises)
0.095
Specific heat (cp) in J/kgk
171
Thermal conductivity (W/Moc)
0.017
Latent heat of vaporization at B.Pt (J/kg)
488000
Flammable
yes
Heat of combustion (KJ/kg)
51800

Sources: Perry and Green [7]; Smith, et al. [8].

2.1.1. Petrochemical Furnace Reactor Parameters

Table-2. Industrial plant data petrochemical plant, Rivers State-Nigeria.

Source: [EPCL Nigeria Petrochemical Reactor Plant]; Wordu and Akinola [2];  Wordu and Ojong [9].             

2.2. Methods

2.2.1. Development of Kinetic Model – PSS-Mechanism Applied Fogler [1]

The concept of PSS-mechanism applied in material balance of intermediate species formed in depleting of feed in reactors is quite innovative as previous balances considers intermediate species as zero ie having no effects on material balance in reaction process.

The research made use of the concept in the development of the material balances for the chain reactions taking place in the petrochemical furnace reactors. 

Therefore, the general formula for the saturated hydrocarbon cracking to ethylene as desired product accompanied by active intermediates and molecular hydrogen and methane gas are given by the chemical Equation 1.

The yield of ethylene can be as high as 65-70%.

The chemical process Equation 2 is a multiple and complex reaction taking place in the petrochemical furnace reactor. The recognized sequence of initiation, propagation and termination are the fundamental basis of researching on the chain reactions mechanism of a given petrochemical plant operations.
A little insight into initiation is the process of generating the active intermediate with which to kick-start entire process; propagation or chain transfer is the process of interaction of active intermediate with the reactant or product to produce another active intermediate, and finally, deactivation of the active intermediate to form products.

Therefore, the research adopts kinetic balance of the chain reactions concepts elucidated and can be applied to the thermal decomposition of ethane to ethylene, methane, and butane and hydrogen gas.

The model development applies the PSS-mechanism to derive the rate laws for the formation of ethylene, and material balance for furnace reactor operating pyrolytically at temperature of 1100K, plant pressure of 560 Pascal and feed rate of 55,000Kg/hr.

Typical kinetic process taking place in the plug flow furnace reactor maintain the reaction sequence stated as follows:

2.2.1.1. Initiation

The starting material feed component having to kick-start the pyro lytic process by decomposing to generate the much needed methyl radical with an unpaired electron ready for transfer process.

Equation 5 expresses the ethane feed cracking to generate the needed radicals to initiate the process.

2.2.1.2. Propagation

The methyl radical with an unpaired electron undergoes chain transfer by having to interact with the feed or product to produce another active intermediates ethyl and hydrogen radicals, and products methane, ethylene, butane and hydrogen gas;

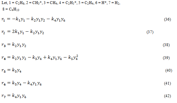
Equation 7 reaction is deactivation of the active intermediate to produce the desired products of ethylene, methane, butane, and hydrogen gas, bringing the entire chain reactions into abrupt end. The rate equations expressing the three kinetic processes are:

Subsequently, Equations 8, 9, 10, 11, 12a and 12b are the equivalent rate equations for the kinetics taking place in the reactor. While the superscripts * indicates radical species.

2.3. Rate Laws

PSS-mechanism balance Intermediate Species.
The rate of depletion leading to formation of ethylene desired reaction 5, given by the Equation   13

3. SOLUTION TECHNIQUES PROCESS - MODELS FOR ITERATIVE PROCESS

4. RESULTS AND DISCUSSIONS

The results and discussions of the conceptual research are conjunctively taken using the plot profiles of figures 1 to 7. The complex cracking rate laws of component species cum energy balances of radiation-convective zones and pressure effects were evaluated simultaneously to predict the PSS-mechanism on the chain reactions of the ethane cracking in the petrochemical furnace reactor.

The application of PSS-mechanism accounts for the balances of the three short-lived intermediate species which are so reactive that they never accumulate in large quantities and are difficult to detect in the cracking process.

While, the molecular hydrogen formed was routed to the methanol blending plant for (CO+H2) mixture as synthesis gas feed for fertilizer production.

The butane gas which is the heavier stuff of the cracked gases majorly contributes to the coke formations on the cracking furnace, and also serves for blending with propane gas in some determined percentages for domestic gas purpose.

Figure-1. Mole fraction of ethane depletion with distance z.

Figure 1 exhibits the mole fraction-for the ethane feed depletion in the furnace reactor.

Figure 2 Composite plots of mole fractions and pressure drop with reactor distance z.

Figure 2 depicts a composite plot of ethane depletion, ethylene formation and pressure drop along the length of the reactor. From the plot as ethane is cracked in the furnace reactor ethylene increases to a maximum point, while pressure drop is fairly constant.

Figure-3. Comparisons plot of temperatures T1, T5 and pressure drop.

Figure 3 exhibits a progressive formation ethylene at a reactor pressure of operations.

Figure-4. Methyl radical variations along reactor length (m).

Figure-6. Plot of mole fraction of methane versus reactor distance.

Figure-7. Mole fractions with distance for Butane formation.

Figures 6 and 7 profiles for methane and butane formation are expected as cracking process continues these two gases becomes molecularly favored by the chain reactions process. The aggregate formation of methane is routed to the ammonia plant for fertilizer production, while, butane serves as major feed for (LPG) liquefied petroleum gas for domestic purposes. 

5. CONCLUSION

The research shows that the chemical reaction engineering concepts of pseudo steady state mechanism can be applied to chain reactions processes in the material balance at steady state process to account for the radical formations in the depleting or cracking of ethane feed or any other feed cracking processes in a reactor.

NOMENCLATURE

Funding: Departmental Soft Research Grant from the University: A] Rivers State University, Port Harcourt, Rivers State – Nigeria. Value of grant was N1,000,000.0 equivalent 2,380.95 US dollars.

Competing Interests: The author declares that there are no conflicts of interests regarding the publication of this paper.

REFERENCES

[1]           H. S. Fogler, Elements of chemical reaction engineering, 3rd ed. India: Prentice Hall, 1998.

[2]           A. A. Wordu and B. S. Akinola, "Numerical design model of furnace reactor for ethane cracking," International Journal of Research in Engineering and Technology, vol. 5, pp. 204-215, 2016.

[3]           H. F. Rase, Chemical reactor design for process plant (1) principles and techniques. New York: John Wiley and Sons, 1997.

[4]           D. K. Kim, C. Y. Cha, W. T. Lee, and J. H. Kim, "Microwave dehydrogenation of ethane to ethylene," Journal of Industrial and Engineering Chemistry, vol. 7, pp. 363-374, 2001.

[5]           V. K. Boris, "Basic chemical engineering with practical applications translated from the Russian, revised from the Russian edition 1985," ed: Mir Publishers, 1988, pp. 418-421.

[6]           A. M. Kutepov, T. I. Bondareva, and M. G. Berengaten, Basic chemical engineering with practical applications, Russian ed.: Union of Soviet Socialist Republics, 1985

[7]           R. H. Perry and D. W. Green, "Perry’s chemical engineering handbook," 8th ed New York: McGraw Hill, 2008, pp. 2-14-184, 7.1-38, 8.1 -8.39

[8]           J. M. Smith, H. C. Van Ness, and M. M. Abbot, Introduction to chemical engineering thermodynamic, 5th ed. New York: McGraw Hill, 1996.

[9]           A. A. Wordu and O. E. Ojong, "Application of laplace transform to ethane cracking in furnance reactor," International Journal of Engineering Trends & Technology (IJETT), vol. 36, pp. 415-421, 2016.

Views and opinions expressed in this article are the views and opinions of the author(s), International Journal of Chemical and Process Engineering Research shall not be responsible or answerable for any loss, damage or liability etc. caused in relation to/arising out of the use of the content.