Index

Abstract

Fruits and vegetables are important part of human diet but are prone to rapid deterioration. Osmotic dehydration (OD) is a method capable of retaining nutrient and organoleptic qualities of preserved food and aid drying at reduced energy requirement for minimally processed food. The study is aimed at analysing and comparing OD of fruits and vegetables using mango (Mangifera indica L.) and carrot (Daucus carota L) as case samples. The effects of sucrose concentration, residence time and temperature of OD media were investigated for water loss (WL) and solute gain (SG) regression. Optimal transport models established for maximum WL and minimum SG at 40-60 oBx, 30-50 oC and 0-180min using Modified Distance Design of the response surface methodology Design Expert 6.0 achieved 46.87% WL and 7.33% SG for mango and 36% WL and 5% SG for carrot. At the optimized conditions of in a semi-continuous process it was observed that high SC did not favour WL in mango while in carrot, increased SC resulted in a consistent increase in WL. The analysis of variance revealed R2 of 72.95% for carrot and 98.44% for mango at (P<0.05) thus showing the effects of the plant morphology on OD process effectiveness in determining the order of processing fruits and vegetables in a semi-continuous process.

Keywords: Osmotic dehydration,Semi-continuous,Process,Hypertonic medium.

Received:22 December 2016 / Revised: 3 April 2017 / Accepted:9 May 2017/ Published: 14 June 2017

1. INTRODUCTION

Fruits and vegetables as important source of nutrient for healthy living deteriorate rapidly after maturity. This may be caused by way of physiological processes called senescence or ageing [1]. The economic consequences of quality depletion of agricultural produce and the environmental nuisance of pollution associated with large-scale crop spoilage have become a major consideration in the design and operation of processing plants [2]. Promising technologies being explored to achieve this goal include: dehydration or drying, fermentation, pickling, canning, juice extraction and chilling storage, freezing, freeze-drying, the use of chemical preservatives and the synergistic combinations of two or more of these to achieve enhanced “huddle-effects” [3, 4].
Osmotic drying is an example of a modified drying technique that can be applied as a pre-treatment leading to terminal and more efficient drying if and when desired [5, 6]. Osmotic dehydration involves immersion of fresh pieces of food in hypertonic (highly concentrated) solutions containing one or more solutes [2].

Fruits prevent certain diseases such as scurvy, a potentially fatal disease marked by swollen joints, inflamed gums, and weakness which results from lack of Vitamin C [7]. It is one of the most extensively exploited fruits for food due to its potential health values, juice, flavour, fragrance and its sweetness and richness in photochemical and nutrients. The mango is the tropical fruit of the Anacardiaceae family. The fruit is formed at the end of a long, string-like stem (the former panicle), with sometimes two or more fruits to a stem. The fruit matures in 100 to 150 days after flowering and ripens in June from a January bloom, and October from an April bloom at coastal regions [8]. Mango consists of between 33-85% edible pulp, with 9-40% inedible kernel and 7-24% inedible peel. Because of this, a huge amount of waste is generated during industrial processing of the fruit posing a serious disposal problem, so a commercial use for mango peel and mango kernels is being sought intensely [9].

Figure-1. Pictorial view of mango

Carrot (Daucus carota L) is selected to represent the class of vegetables that is popular and nutritive. It is grown both in developing countries and in the tropics. About 34% of the world production is obtained from the developing countries [10]. Among vegetables, carrot is rich in sugar as indicated by its sweetness. Carrot is seasonal and perishable in nature and its shelf-life can be increased by drying, freezing, canning, and pickling [11].

The cultivated varieties are biennial. During the first season of growth, it forms a rosette of finely divided leaves useful as ingredients in salads. If left in the ground for the second season, the root becomes large and fleshy with a terminal bud at the centre that lengthens at the expense of the food stored in it. The root may also develop into a bristly-branched stem of about 91 to 152 cm (36 to 60 in) in height. A pictorial view of carrot is shown in Plate 2.

Plate-2. Pictorial view of carrot

There are two basic methods for packing vegetables such as carrot for freezing, the tray pack and the dry pack. Dry packing consists of blanched and drained vegetables   in containers or freezer bags. Packing the vegetables tightly helps to cut down on the amount of air in the container while in the tray pack method, individual pieces of blanched and drained vegetables   are stacked on a tray or shallow pan [12]. Both packing methods are primarily for freeze-drying which in a developing Country like Nigeria is not favourable because of the prevailing outage of power supply. Similarly, carrot roots are eaten raw, used as salad, cooked as vegetables, in preparation of soups, stews, curries, sweetmeats, juices, flakes, fermented pickles and soups. Hence, carrot occupies an important place among the root vegetables because of its sugar and essential mineral contents

Handling of fruits and vegetables   is of immense importance to reduce the quantity of waste resulting from bruises and unexpected compaction injury in the course of transportation to collection points or market places. Consequently, the plucking/ harvesting of fruits and vegetables should be handled with care while the medium of transportation should be well ventilated and in shock protected vans [13].

Generally, processing of some fruits and vegetable in developing countries are established for one or more reasons, which may include primarily prevention of losses and elongation of the shelf life. Others may be of economic reason and government industrialisation or agricultural policy to reduce present dependence on importation as well as encouragement to avail fruits and vegetables during on and out of-season. All these possibilities have immense economic potentials when carrot and mango are processed to generate new sources of income for farmers/artisans; and develop new value-added products. About 40% of agricultural produce is wasted in developing countries, mainly due to unavailability of processing and preservation technologies [14].

Osmotic dehydration has been proposed in combination with air drying to improve quality attributes of air dried fruit pieces [15, 16] However, there is need for further studies to bridge the gap between laboratory research and industrial application. The application of osmotic dehydration as a pre-treatment did not only elongate the shelf-life but helped to keep the products in a close-to-natural state even after further treatments [17]. At constant temperature, the osmotic pressure (π) of a solution is proportional to the molecular concentration of the solute. Where concentration C is defined as the number of moles of solute per unit volume of solution (i.e. n/v), then osmotic pressure (π) assume the relationship defined in equation 1:

where (π) is Osmotic pressure, R is the universal gas constant, C is concentration and M is  molecular weight.

Osmotic pressure (π) exerted in a liquid medium is directly dependent on the prevailing temperature and concentration of the solute (osmolite) in the liquid medium. However, in Osmosis no feasible reaction is expected other than the passage of water (H2O) and perhaps some micro-molecules of solute across the semi-permeable membrane.

Osmotic dehydration uses the principle of osmosis to concentrate cellular material of food such as fruits and vegetables   when they are placed either whole or in pieces, into a hypertonic solution with high osmotic pressure. The complex cellular structure of food acts as a semi-permeable membrane for the transfer of water between the food tissue and the osmotic solution until equilibrium is attained. At equilibrium, the chemical potential of water (µw) in the food tissue and in the osmotic solution (µs) become equal. Water activity (aw) is related to osmotic pressure (π) according to equation (6):

(where osmotic pressure π is equal to the pressure gradient (P2-P1 ). Water activity aw is equal to P/P0, as P is the pressure of the liquor while Po is atmospheric pressure).

In foods, water is regarded as the solvent, hence equation (6) is simplified for the estimation of the osmotic pressure of a solution in equation (7) [18, 19].

Osmotic pressure has an inhibitory effect on micro-organisms. Most bacteria, yeast and moulds do not proliferate at osmotic pressure (π) >12.7Mpa, (π)>17.3Mpa and (π)>30.1 Mpa respectively. Hence, the shelf life of foods can be regulated by the osmotic pressure of the solution in the material [20].

The major ingredients and materials required in osmotic dehydration include water, simple sugars (mono and disaccharides) such as glucose and sucrose, common salt (99.9% sodium chloride), and other impregnating agents which may be starch, grape juice, corn syrup, glycerol or extracted juice from other fruits [21]. Sugars such as glucose, fructose, maltose and sucrose, all share the following characteristics in varying degrees with respect to fruits and vegetable processing technology. They are source of energy, readily fermented by micro-organisms, and in high concentration, prevent the growth of micro-organisms.  Therefore, they are used as preservative. Osmotic dehydration processes are designed with the aim of maximizing mean water removal while retaining solid uptake so as to obtain a stable product [22]. The purpose of this research is to investigate the mechanism of OD in treatment of fruits and vegetables in same processing medium, assist in the understanding of underlying phenomena and perhaps to make predictions about the response of a system to the imposed conditions temperature, concentration and time of immersion.

2. MATERIALS AND METHODS

2.1. Materials

The raw materials used in this study were carrot, mango and commercial food grade sucrose. The carrot was procured from a distribution outlets in Lagos. Fresh mature mango fruits (Tommy Atkins specie)obtained directly from a local farm in Epe town suburb of Lagos State were used. The sucrose purchased from a local supermarket in Lagos was kept in a custom-made airtight container to prevent contamination and humidification.

Selected samples had deep pink colour and were defect-free. These were sorted manually into average sizes of 2.50 to 4.0±0.5 cm diameter and between 10.0±0.5 to 15.0±0.5 cm length. The carrots were washed in clean water and peeled manually with a sharp clean knife before cutting into two shapes: one, cylindrical disks 15.0±0.5 mm diameter and 15.0±0.5 mm length and cube-shaped specimen 15.0±0.5 mm3 to maintain relative size and weight of samples. Samples were refrigerated at 10.0±2 oC to prevent evaporative drying in air before use.

The sugar content of the carrot samples measured in a RFM300 Abbe refractometer at 20 oC was 5.20 oBx. The average initial moisture content of the fresh carrot samples was 89.24 % (wet basis) determined at 70 oC for 20 hr in a vacuum oven method [19].

Plate-1. Pictorial of view of diced mango and carrot samples before processing.

2.2. Methods

A regression design was used to investigate the relationship between a range of dependent variables of temperature 30-50 oC, sucrose concentrations 40–60 oBx and residence time ranging from 0-180 mins were explored. The approach was used to study the effects of the independent variables on the response variables [23]. A fruit to liquor ratio of 1:5 (w/w) was used for each set. Selected mango and carrot samples were labelled, osmo-dehydrated and subjected to gravimetric analysis. In each assay, the experiments were replicated three times and the average values used for calculations both in discrete experiment and for the semi-continuous dehydration. Water loss (WL), Solute gain (SG) and Weight reduction (WR)  in relation to initial fresh mass of sample (g /g) were obtained from the expressions in equation 8, 9 and 10:


where WL = water loss %; SG = solid gain % ;

MW initial = initial water content before osmotic dehydration (g);

M initial = Total weight of sample before treatment (g)

M final  = final weight of sample after OD dehydration at set time (g);

M s initial = initial solid content in fresh sample (g);

Ms final = final solid content after OD at specified time (g);

X0 and X: represent the moisture contents at initial time and at time t respectively.

3. RESULTS AND DISCUSSION

3.1. Initial Characteristics of Carrot and Mango Samples

The average moisture content of carrot samples was 89.24% on a wet basis. A range of 68-92 % (wet basis) at time of harvest was reported in the literature [24, 25]. The average sugar content in the fresh carrot was 5.20 oBx total soluble solids. The average moisture content of samples determined at 70 oC after 24 hr in a vacuum oven was 82.37±0.5 % on a wet basis. The initial sugar content in the fresh mango fruit was determined to be 15.91±0.5 oBx. These results are in agreement with reported values of sugar concentration of 15±1.2 (oBx) and water content of 0.85±0.11%, for fresh mango [26]. The final products of osmotically treated Mango and carrot is presented in Plate 2a and 2b:

3.2. Effect of Sucrose Concentration in Osmotic Dehydration of Mango

Rapid loss of water at the beginning of dehydration is apparently due to high osmotic driving force between the dilute sap of the fresh fruit and the surrounding hypertonic medium. Increased sucrose concentration led to increased water loss in the sample. It is apparent from this study that water loss increased with sucrose concentration. It revealed an initial high rate of water loss, followed by low gradient of water loss at the later stages and that the effect of solution concentration on mass transfer coefficient produced higher water loss. The result of analysis for water loss obtained at different sucrose concentrations as presented in Figure 1:

Figure-1. Effect of sucrose concentration on water loss at 30 oC in OD of mango samples

Solute gain by mango species as investigated at different concentrations of 40, 50 and 60 oBx showed that solute gain decreased exponentially at higher sucrose concentration (SC) of 50 and 60 oBx. However, the trend was different at low concentration of 40 oBx, it revealed that higher SC is favourable to solute impregnation than low SC as shown in Figure 2. This observation may be due to viscosity as sucrose concentration is increased. The resultant effect might have led to blockage of trans-membrane pores rather than infiltration of solute that was, in all likelihood, enhanced at low SC.

Figure-2.  Effects of concentration on solute gain in osmotic dehydration of mango.

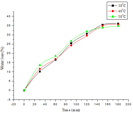
3.3. Effect of Temperature on Osmotic Dehydration Characteristics of Mango

For osmotic treatment in sucrose solution, temperature manifested mainly an indirect effect on overall water loss and solute gain within the moderate temperature range studied (30 –50°C). High temperature of osmotic media caused accelerated mass transfer and hence water loss and solute gain. In general, highly concentrated osmotic solutions enhanced both water loss and solutes uptake during the osmotic process. The results indicated higher medium concentrations led to higher water loss because of the increased osmotic pressure imposed by temperature increment.

High sucrose concentrations are higher in viscosity and this may affect contact effectiveness between solvent medium and product surface. In addition, sucrose allows the formation of sugar surface layers, which become a barrier to both the withdrawal of water and solute uptake by the sample. Consequently, a decrease in the rate of water loss was recorded after about 150 min of dehydration. This effect may be due to increased viscosity as shown in Figure 3.

Figure-3. Influence of temperature on water loss in mango samples in 40oBx sucrose.

Increase in temperature resulted in a decrease of viscosity of the sugar solution. This improved the surface contact between material and solution and resulted in enhanced dewatering effect. The most concentrated sucrose concentration of 60 oBx had the highest solute impregnation of about 9.6±0.2 % of initial sample content recorded. Increase in the kinetics of mass transfer at high temperatures could be attributed to diffusion rate enhancement due to swelling and plasticizing of cell membranes and better water transfer characteristics on the product surface. It has been established that cell membrane destruction at higher temperatures lead to higher solid uptake by plant-based food materials during osmotic treatment [23, 27].

3.4. Effect of Sucrose Concentration on Osmotic Dehydration of Carrot

The initial high rates of dehydration recorded may be due to greater driving force (osmotic pressure) between food pieces and the hypertonic solution. From this study, effective dehydration is suggested in the first two hours of the process. This observation revealed that higher sucrose concentration induced higher water loss than low concentration. Water loss by the carrot samples was between 40-48% of the initial content. The effects time of immersion of sample in different sucrose concentration (SC) as is plotted in Figure 4:

Figure-4. Effect of immersion time on water loss at different sucrose concentration

3.5. Comparative Analysis of OD in Mango and Carrot Samples

Osmotic dehydration kinetics for mango and carrot as studied were analysed for water loss (WL) and solid gain (SG) in a time-dependent semi-continuous contactor. The effect of sucrose concentration on water loss (WL) at 180 min of dehydration and sucrose concentrations (SC) in the range of 40 to 60 oBx were evaluated in mango and carrot samples respectively. The result of the sample analysis for water loss is presented in Figure 5.

Figure-5. Effect of osmotic dehydration on water loss in Mango and carrot samples

For carrot samples, WL increased exponentially as sucrose concentration was increased up to about 60 oBx at which a sharp decline in WL was observed. The initial increase was mainly because of increased osmotic pressure of the medium while the decline may be attributed to blockage of pores imposed by high SC leading to decreasing water loss. A final sudden rise in WL may have resulted from shrinkage around the concentric layers of carrot samples allowing for solute impregnation and subsequent increase in water loss as evident in the trend observed in Figure 5. In mango samples, it was evident that high SC did not favour WL in mango while in carrot; increased SC resulted in a consistent increase in WL. Hence, the performance of OD at different solute concentration levels may be considered to be material-specific.

The solute gain in mango samples compared to that of carrot under the same conditions of treatment as presented in Figure 6 showed that solute gain in mango was higher than in carrot samples as the sucrose concentration increased

Figure-6. Effect immersion time on solute gained by mango and carrot samples

with a considerably wide differential margin. The differential patterns recorded may be attributed to differences in their biological structures. Besides, high SC is capable of blocking the surface layers of the product thereby imposing an additional resistance to mass transfer thus lowering the rate of dehydration. The average water loss in treated carrot was between 36.0 to 42.5% while for mango, the water loss was in the range of 42.0 and 50.1% of their initial water content.

These two cases would appear to confirm that Osmotic dehydration as an upstream partial dehydration. Water loss in mango decreased as concentration increased while in carrot, the reverse was observed. The responses of both mango and carrot as analysed at different SC ranging from 40 to 70 oBx clearly gave the picture that plant tissues as living material play an important role during osmotic dehydration as demonstrated in Figure 7. While in carrot sample there was consistent increase in WL as SC increases, however a reverse was seen in case of mango. This implies that in the treatment of fruits and vegetables, it may not be advisable to have group dehydration. Rather, individual fruits or vegetables should be treated exclusively and isolation from the others.

Figure-7. Effect of sucrose concentration on water loss in mango and carrot samples

3.6. Model Equations of the Osmotic Dehydration of Mango and Carrot

3.6.1. Model Equations of the Osmotic Dehydration of Carrot

The analysis of variance (ANOVA) of independent variables applied to test the suitability of experimental data used was carried out with the Design Expert 6.0 to revealed the respective effects of each variable and levels of interactions as shown in equations 11 and 12 respectively for the WL and SG in carrot: The regression square (R2) of 0.9763 and Adjusted R2 of 0.9497 were very close to the Predicted R2 of 0.9839,

Water Loss (%) =31.40+3.047 X1 +1.329 X2 + 11.46 X3 + 1.873 X12 + 0.3501X32 + 0.9477X1X2 + 0.3647 X1X3 + 2.010 X2X3                                                           (11)

Solute Gain (%) = 6.891+0.8160 X1 + 0.3390 X2 + 1.352 X3 + 0.7230 X12 + 1.642 X22 +0.4851X1 X2 - 0.4225 X1 X3                

                                                                                              (1.2)

[where (X1 ) is sucrose concentration; (X2) is temperature and (X3 ) is time of immersion]. Among the interactions (Xi Xj); X1X2, is the only significant model term while X22 and X32 are significant quadratic terms

3.6.2. Model Equations of the Osmotic Dehydration of Mango

In the same manner, model equation was developed for mango, the Analysis of variance gave Modelling of Osmotic dehydration for water loss in mango samples was obtained from the modified final equations in terms of coded factors showing the regression coefficients obtained for water loss (WL) in equation (13) and for SG in equation (14):

Water loss = 28.64+5.15X1 + 1.89X2 + 11.7 X3 + 2.29 X12 + 2.99X22-3.66X32 + 1.30 X1X1 -1.91X2X3          (13)

Solute gain= 3.599-0.685 X1 + 1.638 X2 + 2.466 X3 + 3.318 X22 - 0.9362 X1 X3              (14)

where Xi, for i= 1,2 and 3  represents  concentration, temperature and time, respectively.

The analysis of variance in the percentage water loss in mango and the carrot at (P<0.05) had R2 of 72.95% for carrot and 98.44% for mango.

4. CONCLUSION

Osmotic dehydration is capable of reducing the water content in fruits and vegetable as minimally processed food. However the processing in a semi-contnuous medium of contactor may not exhibit the great improvent obtained when treated seperately as in batch operation. Therefore, in osmotic dehydration processing, eventhough the liquor can be recycled, should be used to treat foods separately as both fruuits and vegetables responds differently to sucrose concentrations under the same conditions.

Funding: This study received no specific financial support.

Competing Interests: The authors declare that they have no competing interests.

Contributors/Acknowledgement: All authors contributed equally to the conception and design of the study.

REFERENCES

[1]          E. Azarpazhooh and H. S. Ramaswamy, Osmotic dehydration, in drying of foods, vegetables and fruits, Jangam, S.V., Law, C.L. and Mujumdar, A.S. vol. 1. Singapore, 2010.

[2]          N. K. Rastogi, K. S. M. S. Raghavarao, K. Niranjan, and D. Knorr, "Recent developments in osmotic dehydration: Methods to enhance mass transfer," Trends in Food Science and Technology, vol. 13, pp. 48–59, 2002. View at Google Scholar | View at Publisher

[3]          N. K. Rastogi and K. S. M. S. Raghavarao, "Mass transfer during osmotic dehydration of pineapple considering fickian diffusion in cubical configuration," Lebensmittel- Wissenschaft und-Technologie, vol. 37, pp. 43–47, 2004. View at Google Scholar | View at Publisher

[4]          F. Prothon, L. M. Ahrne, T. Funebo, S. Kidman, M. Langton, and I. Sjoholm, "Effects of combined osmotic and microwave dehydration of apple on texture, microstructure and rehydration characteristics," Lebensmittel-Wissenschaft-und-Technologie, vol. 34, pp. 95-101, 2001. View at Google Scholar | View at Publisher

[5]          W. Wang and G. H. Chen, "Numerical investigation on dielectric material assisted microwave freeze-drying of aqueous mannitol solution," Drying Technology, vol. 21, pp. 995-1017, 2003. View at Google Scholar | View at Publisher

[6]          M. Zhang, C. L. Li, and X. L. Ding, "Effects of heating conditions on the thermal denaturation of white mushroom suitable for dehydration," Drying Technology, vol. 23, pp. 1119-1125, 2005. View at Google Scholar | View at Publisher

[7]          E. S. Zdzislaw, Chemical and functional properties of food components, 3rd ed. New York: CRC Press, 2007.

[8]          S. Jedele, A. M. Hau, and M. Oppen, "An analysis of the world market for mangoes and its importance for developing countries," presented at the Conference on International Agricultural Research for Development, 2003.

[9]          I. S. Ashoush and M. G. E. Gadallah, "Utilization of mango peels and seed kernels powders as sourcesof phytochemicals in biscuit world," Journal of Dairy and Food Sciences, vol. 6, pp. 35-42, 2011. View at Google Scholar 

[10]        G. Mazza, " Dehydration of carrots," International Journal of Food Science & Technology, vol. 18, pp. 113–123, 1983. View at Google Scholar | View at Publisher

[11]        K. L. Chadda, Handbook of horticulture. New Delhi, India: ICAR, 2002.

[12]        L. Helping and S. R. Osahaili, "Osmotic dehydration," Stewart Postharvest Review, vol. 1, p. 4, 2005.

[13]        W. S. Julian, "Home fruit production—mango. Agric life extension tecas." Retrieved: http://aggie-lture.tamu.edu/extension/homefruit/mango/mango.html, 2009.

[14]        G. E. Lombard, J. C. Oliveria, P. Fito, and A. Andres, "Osmotic dehydration of pineapple as a pre-treatment for further drying," Journal of Food Engineering, vol. 85, pp. 277 – 284, 2008. View at Google Scholar | View at Publisher

[15]        R. Marco, C. Stefano, A. L. Alexa, M. Andrea, and T. Danila, "Structure-property relationships in osmo-air-dehydrated apricot cubes," Food Research International, vol. 38, pp. 533 – 542, 2005. View at Google Scholar | View at Publisher

[16]        C. Tortoe, " A review of osmodehydration for food industry," African Journal of Food Science, vol. 4, pp. 303 – 324, 2011. View at Google Scholar 

[17]        R. Hosahalli and M. Michéle, Food processing- Principle and application. Boca Raton: Taylor and Francis Group, 2006.

[18]        G. Vassilis, "Mass transfer modeling " Journal of Food Engineering, vol. 4, pp. 87-102, 2001.

[19]        B. I. O. Ade-Omowaye, N. K. Rastogi, A. Angersbach, and D. Knorr, "Osmotic dehydration behaviour of paprika (Capsicum annuum L.)," Journal of Food Science, vol. 67, pp. 1790–1796, 2002. View at Google Scholar | View at Publisher

[20]        P. L. Piotr and L. Andrzej, Handbook of industrial drying, Edited by Arun S. Mujumdar' Osmotic Dehydration of Fruits and Vegetables, 3rd ed.: CRC Press, 2007.

[21]        P. P. Lewicki and A. Lenart, Osmotic dehydration of fruits and vegetables In: Handbook of Industrial Drying (A.S. Mujumdar. Ed.), 3rd ed. New York: CRC Press, 2007.

[22]        J. Shi and M. Maguer, "Osmotic dehydration of foods: Mass transfer and modeling aspects," Food Reviews International, vol. 18, pp. 305–335, 2002. View at Google Scholar | View at Publisher

[23]        C. Tortoe, J. Orchard, and A. Beezer, "Multilinear regression approach in predicting Osmo-Dehydration processes of apple, banana and potato," Journal of Food Processing & Technology, vol. 5, p. 122, 2011. View at Google Scholar | View at Publisher

[24]        A. Matusek and P. Merész, "Modeling of sugar transfer during osmotic dehydration of carrots," Periodica Polytechnica Series Chemical Engineering, vol. 46, pp. 83–92, 2002. View at Google Scholar 

[25]        B. Singh, P. S. Panesar, and V. Nanda, “Optimization of osmotic dehydration process of carrot cubes in sucrose solution," Journal of Food Process Engineering, vol. 31, pp. 1–20, 2007. View at Google Scholar | View at Publisher

[26]        L. Guzman, Z. Delgado, and G. D´ıaz, "Effect of complementary microwave drying on three shapes of 4 mango slices," Revista Mexicana de Ingeniería Química, vol. 10, p. 30, 2011.

[27]        J. L. G. Corrêa, L. M. Pereira, G. S. Vieira, and M. D. Hubinger, "Mass transfer kinetics of pulsed vacuum osmotic dehydration of guavas," Journal of Food Engineering, vol. 96, pp. 498-504, 2010. View at Google Scholar | View at Publisher

Views and opinions expressed in this article are the views and opinions of the author(s), International Journal of Chemical and Process Engineering Research shall not be responsible or answerable for any loss, damage or liability etc. caused in relation to/arising out of the use of the content.