The chemical industry is part of the industries, which supply the chemicals needed by other industries through the conversion of raw materials into the required products. The current cluster study of Iranian Chemical Industries (ICI) encompassed all input and output materials streams, ICI energy demands and technologies applied based on the assessment carried out by both Iranian Industries Organization (IIO) and Iranian Environment Protection Agency (IEPA). Then the raw data were empirically evaluated via traditional to novel decision-making models, SPSS software and Excel 2013 to make a decision about the classification of ICI and pave the way for further industrial ecology studies in a certain cluster as the objective of current research. T-test analysis had presented no significant difference among the main criteria of ICI such as the number of staff, power, water, and fuel demands and the land area occupied by ICI individually. Finally, the obtained values in the weighing and ranking systems and Data Envelopment Analysis (DEA) was composed to classify ICI as a cluster ranking and prioritized them from the highest weighting value and efficiency score to the lowest one based on the main criteria and an inventory of availability.
Keywords: Decision-making models, Iranian chemical industries, Assessment, Evaluator team, DEA, EIA, Screening of projects.
Received: 15 January 2020 / Revised: 20 February 2020 / Accepted: 24 March 2020/ Published: 13 April 2020
This study contributes in the existing literature to Environmental Impact Assessment (EIA) of industrial projects conducted by the Iranian evaluator team. The screening of ICI scrutinized the existing properties of projects as a first report. The methodology employed traditionally to new decision-making models towards sustainable development of projects.
The chemical industry is part of the industries, which supply the chemicals needed by other industries through the conversion of raw materials into the required materials. Refineries and petrochemical units that convert petroleum raw materials into fuel, solvent, resin, etc. are examples of the chemical industries. Small industries in most countries of the world are considered as the most important executive program to achieve a fair distribution of income and wealth, job creation, productivity growth, economic growth and the most efficient way to reduce dependence on oil revenues. In this regard, the provision of suitable platforms for entrepreneurship has been seriously considered in the direction of the economic development of the country. A large part of the small and medium industries of each country is dedicated to the chemical industries sector [1].
Globally the chemical industries comprise 4 clusters as (1) manmade fibers & chemical products (2) Chemical products (3) chemical products (content) (4) petroleum products. The chemical industries are included a cluster of around 118 various types of both small and medium manufacturing units plus a separate cluster including about 21 kinds of various plastic industries according to the database of IIO. The current study has only covered 118 various types of chemical industries and excluded to explain and evaluate the plastic industries.
According to our knowledge, all industrial projects need to pass through the economic, environmental, technical, and financial assessments once before getting the license to construct. The projects should pass through some steps and decision making processes to get acceptability for the establishment. The stages are called preparation of engineering projects including the timing for implementation of the plan, the location of the project, the drafting and design of the plant, the design of the factory and the final selection of technology and equipment. Acquisition of permits and necessary administrative procedures claim to obtain initial permissions such as licensing, registration of companies, as well as the principled approval and passing of related administrative procedures in this field. Negotiation and contracts for project financing, technology acquisition, plant building, facilities, machinery and equipment for the operational phase are also done. Establishment, construction and facility implementation involve preparing the site for the construction of a factory, buildings and other construction works, along with the installation of facilities and equipment according to timetables. The experimental operation stage of the project is usually periodic short, but technically this stage is very sensitive and important. This step connects the pathways and the previous periods to the project operation phase. The investment phase involves very heavy financial commitments and any major modifications to the project that will have significant financial implications. The operational phase should be examined from two short and long-term perspectives. Problems that may appear in the short term, in the early stages of launching the project and starting operations, are often involved with issues related to the deployment of technology, the commissioning, and operating machines and equipment, or the lack of specialized staff or workforce desirability [2].
The present study encompassed all input materials streams, energy consumed and technologies implemented for ICI individually based on findings of in charge organizations in this regard. Then the raw data were evaluated via DEA, Technique for Order of Preference by Similarity to Ideal Solution (TOPSIS), Simple Additive Weighting (SAW), Additive Ratio ASsessment (ARAS), Weighted Aggregated Sum-Product Assessment (WASPAS), COmbinative Distance-based ASsessment (CODAS), Multi-Attributive Border Approximation area Comparison (MABAC) and Measurement Alternatives and Ranking according to COmpromise Solution (MARCOS) models to decide on the classification of ICI as the objective of current research.
By the present study, it was attempted to classify and rank initial data of the Iranian evaluator team for ICI and conduct them towards decision making systems from traditional to novel models. The efficiency score classification of ICI is a method that rarely we can find it in the literature review for Iranian industries in the EIA plan. It encountered a bereavement of a similar study in this regard. So, it proves the necessity and importance of present research towards designing a framework of the database for Iranian industries.
Roshandel, et al. [3] assigned the Fuzzy TOPSIS approach for assessment of 4 suppliers of Tripolyphosphate comprising the initial input materials stream to generate the detergent powder about 25 important criteria in an Iranian industry. Obtained results led to developing a weighing system and ranking of data. Rahdari [4] studied the connections among three major criteria such as corporate governance, corporate social responsibility, and corporate financial performance via AHP-TOPSIS in the Iranian petrochemical industry as a case study that resulted to offer a weighting system along with the ranking of alternatives. Hosseini, et al. [5] weighed and ranked around fifty large industries on Tehran Stock Exchange depending on some criteria such as liquidity, operation, and profitability and leverage ratios via the TOPSIS model and questionnaire procedures since 2009- 2011. Onat, et al. [6] used the TOPSIS model to rank and weigh the existing sustainability efficiency of alternative vehicles via expert opinion and experience and data collection by questionnaire methods. So findings approached to offer that both hybrid and plug-in hybrid electric vehicles were the excellent options to supersede. Tobiszewski, et al. [7] assigned the TOPSIS method to assess the environmental distribution of solvents, so it reported that both alcohols and esters were posed as harmless hydrocarbons in comparison with aromatic hydrocarbons and in the following they have ranged from 1 to 78 chemical groups. Indahingwati, et al. [8] applied the TOPSIS procedure based on some criteria such as price, tree size, fruit size, flavor, number of fruits and leaf amount. So obtained results classified 4 kinds of fertilizer based on the aforementioned criteria and ranking system designed to select. Georgiadis, et al. [9] conducted a study to figure out an overwhelming technique of weapon systems by taking into account a variety of criteria and weighing systems to judge. The TOPSIS method employed to integrate the existing criteria and arrange them as a decision-making framework. The research completed by Mehdiabadi, et al. [10] upon 15 various sectors of industries resulted to rank efficient units via DEA and TOPSIS procedures along with some recommendations like identification of 8 efficient units. By the way, the chemical industry took into consideration as the most attractive industry for investment. Tash and Nasrabadi [11] employed the TOPSIS model to rank Iran's Monopolistic Industries and realizing the most dominant industries in this field. Kavousi and Salamzadeh [12] utilized the TOPSIS model to classify and arrange criteria influenced by the outcome promotion program in National Iranian Copper Industries. So, the weighing and ranking of factors were the output of research. Farzami and Vafaei [13] assigned the TOPSIS model to select the best contractor for implementing a project, regarding lots of qualitative and quantitative factors in terms of work experience and ability to run and execute different directions of the project in Kermanshah Gas Company. Results proved that the Nil AbMostahkam Gharb Company comprised lots of qualified parameters to lead and conduct the project in an excellent way based on ranking and weighing systems developed. Dace, et al. [14] used the TOPSIS technique to select a relevant catalyst about CO2 conversion rate and CH4 selectivity to stop culminating greenhouse gasses components dissipated into the environment. By the way, lots of factors and criteria integrated to find the best alternative catalyst. Thus, the ranking system revealed that the RU based catalyst can be included the required involvements for the defined purpose.
Aikhuele, et al. [15] applied the Fuzzy TOPSIS model for identification of the main causes of defeat in offshore boat engines considering a wide range of major reasons in the field. By the way, expert’s based opinions revealed the research purposes as a ranking system and classification of overall scores. Rostami, et al. [16] utilized the TOPSIS Model to assess the financial performance of chemical companies outlined as large industries in the Tehran stock exchange from 2013-2015. Thus, findings revealed an efficiency classification among the companies so Ahvaz Petrochemical Company, Persian Gulf Petrochemical, and Iran chemical industries companies have encompassed the highest efficiency. Askarifar, et al. [17] evaluated Mokran coasts in terms of existing investment opportunities for public demands, so the availability and requirements prepared as an inventory and the TOPSIS model assigned to integrate and rank the criteria. Obtained results came out with determining potential areas for implementing public applications and requirements as prioritized items. The study accomplished by Dinmohammadi and Shafiee [18] included a method of evaluation to figure out and align the different practices of operation for wind turbine systems via the TOPSIS Model. Therefore, the wide range of factors and sub-alternatives taken into account and prioritized to make the decision-making process applicable and discernible. Forghani, et al. [19] determined the priority among 4 suppliers of the pharmaceutical chain via TOPSIS equations considering some factors such as product quality, its price, and past record documentation, etc.
Hassanpour [20] employed fuzzy set theory to classify 21 Iranian plastic industries as a cluster study with the same issues so it was developed a classification as below for them. Congressional sheets of Polypropylene and Polystyrene > Flat sheets of Polypropylene and Polystyrene > Polyvinylchloride flooring > Polypropylene bag > Plastic bottle > Polyethylene pipes and fitting > Plastic waste recycling > Polyvinylchloride film for agricultural use > Plastic shaver > Plastic bags > Plastic rope > Polyvinylchloride shoe bed > Cellular Plastic Sheets > Polyvinylchloride pipes and joints > Plastic flashlight = Plastic buttons > Plastic Box (Fruit, Chilli) > Polyvinylchloride hose > Plastic welding artifacts > Polyvinylchloride gum > Plastic products.
CODAS model used to rank and classify alternatives and criteria in lots of studies based on positive and negative distances considering the higher values of positive distances and vice versa [21]. The MABAC model introduced recently regarding the distance of the criterion function of each of the observed alternatives from the approximate border area. So recently this model has been employed in a variety of researches such as patient-centered care, Supplier selection considering the risk factors and lots of other studies [22]. Also, SAW, COPRAS, CODAS, TOPSIS, MABAC models, used to analyze in multi-criteria decision-making problems and difficulties by many scientists such as Mukhametzyanov and Pamucar [23]; Adar and Delice [24]; Milosavljević, et al. [25] etc.
3.1. Sampling Design and Procedures
Sampling has done by taking out a single case of each industry and designed to include the ICI as a cluster. The data were analyzed as secondary results. Figure 1 shows the flow-diagram of followed work by the present study in completing the project identification program by the Iranian evaluator team.
Figure-1. The flow-diagram of followed work by present study in completing the project identification program by the Iranian evaluator team.
The current cluster study of ICI was empirically accomplished to investigate and evaluate their raw data encompassing input and output materials flows and energy required. The initial resource of existing data refers to findings of the IIO database along with the EIA program of IEPA to issue the required license once before the implementation of industries. So present data were gathered from the aforementioned resources as secondary results which we tried to process them. Initial results were undergone the decision-making models supported by SPSS software (IBM SPSS Statistic 20) and Excel 2013. The 5 main criteria of ICI (water, fuel, power consumptions, number of staff and land area) were composed as the hierarchical classification factors.
3.2. Weighing System
3.2.1. Friedman Test
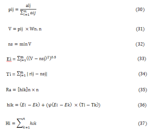
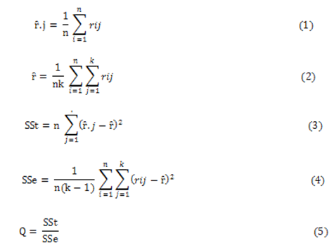
To find the values of weights for our 5 main criteria was used Friedman test as a special vector initially. The framework of the Friedman test has been made up as a matrix besetting some columns and rows to process the values via SPSS [26]. In the matrix of [rij] n the entry rij is the rank of Xij within block i according to Equations 1 to 5. The test statistic is calculated by Equation 5.
3.3. Ranking Models
3.3.1. TOPSIS Model
The discipline of the TOPSIS technique is based on the notion that the choice option should be the smallest distance with the positive ideal solution and the greatest distance to the negative ideal solution (worst case possible). Assigning the TOPSIS model to calculate the amounts needs to comply with 6 steps as below.
1. Quantify the decision scale matrix.
2. Determining the weight of the index using Hwang's rule.
3. Obtain a non-scale matrix.
4. Identifying an ideal positive solution and an ideal negative solution.
5. Determine relative proximity.
6-Ranking options.
In Equation 6, aij is the numerical value of each industry i.
The non-dimension matrix obtained from the first step contains some values as the weights (Wn.n), in which a special vector was conducted to rows of the matrix according to Equation 7. Thus, the special vector (extracted via the Friedman test) was inducted upon the data of the non-dimension matrix (Nd) to collect the values for V.
In the next step to figure out the ideal positive solution (A+) and the ideal negative solution (A-) were employed the Equations of 8 and 9. To carry out the values were highlighted the selected values at each column of the matrix. The best values for positive indicators were assumed as the largest values (Vij), and for negative indicators, the smallest values. The worst values for the positive indicators are the smallest values, and for the negative indicators, are the largest values.
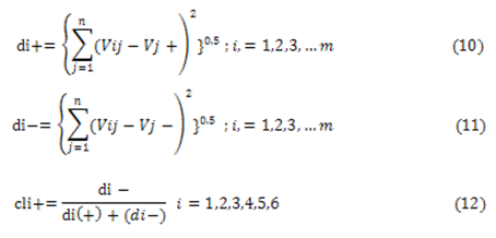
To find out the distance between each option from the positive and negative ideal solutions was used the Euclidean distance. By the way, the distance was estimated based on both positive ideal options (dj+) and the negative ideal options (dj-) according to Equations 10 and 11 and the following formula of 12 was applied to determine the relative approach to the ideal solution. The higher the cli+, the higher the weighting value will be released [27].
3.3.2. Additive Ratio Model Based on ARAS Model to Calculate DEA
Actually, additive models are introduced as a mix of DEA model with ranking systems when we have a variety of units, dimension, and scale for criteria. Therefore, the normalization process is a way to form non-dimension criteria. Equations 15 to 17 included the way to achieve normalized values. By the way, the ARAS model mixed with DEA to divide the weighted average of output amounts (Ur * Yrj) to the weighted average of input amounts (Vi * Xij) and determine the efficiency score.
3.3.3. ARAS Model
To allocate a ranking system for classifying ICI were applied the Equations 13 to 17 plus 23. The degree of utility of each option was investigated by Equation 23. The is the greatest weighted and normalized value in the matrix.
3.3.5. WASPAS Model
WASPAS model also needs normalization and in the following the weighing process. To do the ranking system Equation 26 was applied to normalize the data. The calculation of the relative importance of the alternatives accomplished via Equations 27 and 28. The value for λ was assumed around 0.5 in Equation 29 [28].
3.3.7. MARCOS Model
This method also needs to set up a matrix of data (1) initially. The procedure posed to compute the ranks values undergo some steps such as (2) distinguish ideal (AI) and anti-ideal (AAI) solutions (3) according to Equations 38 to 39. B offers a benefit group of criteria, while C offers a non-benefit group of criteria. (4) Normalization process using Equations 40 to 41. Xij and Xai include the elements of the matrix. (5) Assign the values of weight into the matrix according to Equation 42. (6) Utility degree (division between the sum of Normalized and Weighted (NW) values in the matrix of data to the sum of maximum NW values in the matrix) identification using Equations 43 to 45. (7) Determination of the utility function of alternatives f (Ki) associated with AI and AAI, Equations 46 to 48.
3.3.8. MABAC model
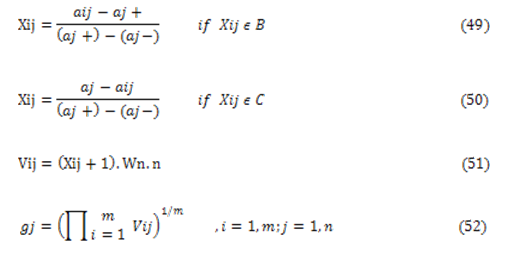
To rank the defined criteria along with certain alternatives the MABAC model encompassed some steps such as (1) Normalization of the composed matrix via Equation 49 to 50. The symbols of aj+ and aj- introduce the elements of the initial decision matrix. (2) Set up the weighted matrix via Equation 51. (3) Calculation of the approximate border area matrix using Equation 52. Vij is the element of the weighted matrix, m introduces the number of alternatives. (4) Ranking of options via the sum of the distance of options of the border approximate areas considering Equation 53. By Equation 53 n presents the number of criteria [23].
4.1. Flow-Diagram of Running Technologies
Most of the technologies that have been transferred to developing countries underwent some appropriate practices through unbalanced processes limited to hardware transfers about technical knowledge, often regardless of sufficient information. Technological performance criteria may change as a result of new information or a change of value and attitude. There are many barriers to technology transfer. The nature and severity of such challenges depend on things like the prevailing environmental conditions, the diversity of technology, its specific uses, and the characteristics of the provider and receiver of technology such as lack of adequate resource allocation for technology, environmental barriers to optimal technology performance, inadequate and unreliable information and various requirements in choosing the right technology, needs must be defined, recorded and understood. Hereby, Figure 2 displays the ICI and their running technologies extracted from the report released by both IIO and IEPA in the national language.
Up to down: Animal Feed from Agricultural Waste (1), Animal drugs (2), Ammonium Chloride (3), Antifreeze (4), Baby carriage (5), Blood Powder (6), Buds of different seeds (7), Barium carbonate (8), Braided wax plates (9), Calcium carbonate (light and active) (10), Calcium carbide (11), Clothes hanger and pin (12), Disinfectants (13), Fiberglass boat (14), Fiberglass pieces (15), Fragrant aromas (16), Glass- strip away (17), Glucose from starch (18), Healthy Soap (19), Helmet (20), High pressure hoses (21), Household Lighting Candles (22), Insecticide coil (23), Isolator (24), Kitchen lighter (25), Knife with injectable handle (26), Adhesive plaster (27), Lining materials and insulating gas pipes (28), Liquid fertilizer (29), Matches (30), Mechanical disposable lighters (31), Medicinal glycerin (32), Melamine dishes (33), Metal flexible hose pipes (34), Nitrobenzene (35), Potassium chloride (36), Printing ink (37), Rubber parts (38), Shoe wax (39), Soft polyurethane foam (40), Starch from wheat (41), Throw-away crockery (42), Tooth brush (43), Detergents (Shampoo, etc) (44), Welding glasses (45), Insecticide spray containing flavoring materials (46), Acetic acid ester (47), Phthalic anodic esters (48), Calcium stearates (49), Boric acid (50), Hydrochloric acid (51), Chromic acid (52), Zinc oxide (53), Oxygen; Ar and N2 (54), Alcohol from beet molasses (55), Types of gaskets (56), Acid and distilled water (57), Rubber plugs (58), Sprinkler (59), Sodium hypochlorite (60), Recycling silver from film and its solution (61), Industrial Paraffin (62), Raw silk fabrics (63), Pacifier (64), Unsaturated polyester (65), Bleach powder (66), Electrostatic coating (67), Tri-calcium phosphate (68), Hub and rubber ball (69), Synthetic leather of polyurethane (70), Gum stick (71), Wood gum (polyvinyl acetate) (72), Shoe adhesive (73), Medical and sanitary adhesives (74), Toothpastes and health cosmetics (75), Hexagon pen (76), Pen (77), Plugs and screws head (78), Diethyl ether (79), CO2 (80), Epoxy resin (81), Alkyd resin (82), Bakelite resin (83), Resin; urea formaldehyde gum (84), Dyeing and printing of fabrics (85), Transformer Oil (86), Used motor oil and grease recycling (87), Drying oils (88), Rubber profiles (89), Insecticide spray (90), Rubber glass head (91), Canopy (92), Agricultural liquid pesticides (93), Zinc sulfate (94), Sodium sulfate (95), Alkyl benzene sulphonation (96), Sodium sulfite (97), Sodium sulfide (98), Sodium silicate (99), Drop irrigation system (100), Glasses frames (101), Oil filter recycling (102), Thermos and ice box (103), Industrial and consumable taps (104), Teflon strips (105), Hair comb (106), Glass artifacts (107), Industrial crystals (108), Spectacle glass (109), Chinese insulator (110), Ceramic magnet (111), Tape (for electronic equipment) (112), Fruit concentrate (113), Shuttered windows (114), Hygiene products made of artificial stone (115), Household, industrial and medical gloves (116), Metal octet (117), Refrigerator above zero for crops (118).
The project identification step assessed by both IIO and IEPA has calculated the amount of energy consumed, including water, electricity and fuel demands for each industry was individual. By the way, an assessment is done once before the construction of each industry and all the requirements for the construction of the industry are estimated using the right equations. In addition to energy requirements, the number of employees and the land area needed for the construction of industries is also calculated. Table 1 includes the main criteria of ICI, their energy consumption and land area applied based on Nominal Capacity (NC). The NC reported as the ton, number (No), L (length), meter, square meter (m2), cubic meter (m3), pair and, etc.
Table-1. ICI, their energy consumptions and land area applied based on NC.
Land (m2) |
Fuel (GJ) |
Water (m3) |
Power (kw) |
Employees |
NC |
Industry |
9900 |
6 |
10 |
399 |
23 |
10000t |
(1) |
3300 |
3 |
5 |
102 |
20 |
500t+50000 No |
(2) |
4500 |
53 |
58 |
181 |
50 |
3500t |
(3) |
2300 |
3 |
3 |
22 |
15 |
960 m3 |
(4) |
5300 |
6 |
11 |
152 |
41 |
25000 No |
(5) |
2200 |
67 |
10 |
122 |
19 |
500t |
(6) |
3400 |
4 |
3 |
25 |
8 |
150t |
(7) |
5000 |
147 |
45 |
145 |
43 |
4187t |
(8) |
2700 |
19 |
8 |
52 |
18 |
130t |
(9) |
15800 |
29 |
27 |
775 |
120 |
19200t |
(10) |
2500 |
3 |
12 |
1510 |
31 |
1350t |
(11) |
2100 |
3 |
6 |
55 |
9 |
504000 No |
(12) |
2600 |
4 |
4 |
160 |
16 |
900000 L |
(13) |
8200 |
8 |
15 |
153 |
55 |
5000 No |
(14) |
2300 |
3 |
6 |
273 |
20 |
100t |
(15) |
4400 |
67 |
35 |
106 |
24 |
130t |
(16) |
4000 |
5 |
19 |
78 |
33 |
650t |
(17) |
4600 |
67 |
26 |
199 |
29 |
2160t |
(18) |
5300 |
53 |
18 |
221 |
20 |
1090t |
(19) |
1300 |
5 |
14 |
178 |
12 |
65000 No |
(20) |
7700 |
6 |
17 |
227 |
56 |
240t |
(21) |
1400 |
2 |
3 |
46 |
10 |
7560 No |
(22) |
3900 |
5 |
5 |
130 |
9 |
50000 No |
(23) |
8600 |
5 |
15 |
296 |
27 |
2000000 m2 |
(24) |
1900 |
3 |
4 |
46 |
23 |
100000 No |
(25) |
2700 |
5 |
10 |
161 |
26 |
800000 No |
(26) |
7000 |
31 |
26 |
229 |
68 |
1700t |
(27) |
2600 |
13 |
9 |
113 |
14 |
3500t |
(28) |
3100 |
17 |
10 |
184 |
16 |
1250t |
(29) |
5100 |
48 |
9 |
330 |
41 |
7776000 No |
(30) |
10700 |
21 |
17 |
321 |
59 |
5000000 No |
(31) |
4700 |
125 |
10 |
331 |
41 |
1500t |
(32) |
5000 |
7 |
21 |
411 |
109 |
1000t |
(33) |
2100 |
4 |
12 |
105 |
49 |
309t |
(34) |
2500 |
35 |
5 |
127 |
14 |
1620t |
(35) |
2400 |
104 |
19 |
179 |
19 |
400t |
(36) |
3300 |
3 |
9 |
229 |
16 |
500000t |
(37) |
2300 |
3 |
6 |
273 |
20 |
25t |
(38) |
1900 |
20 |
5 |
77 |
10 |
3750000 No |
(39) |
4500 |
9 |
5 |
162 |
13 |
6000t |
(40) |
5300 |
19 |
11 |
175 |
50 |
1580t |
(41) |
4400 |
4 |
26 |
137 |
51 |
962.35t |
(42) |
4000 |
15 |
6 |
247 |
26 |
5000000 No |
(43) |
4300 |
18 |
12 |
55 |
36 |
1080t |
(44) |
1300 |
2 |
5 |
44 |
16 |
50000 No |
(45) |
3300 |
5 |
5 |
128 |
20 |
2700 No |
(46) |
5800 |
54 |
13 |
76 |
24 |
1200t |
(47) |
5700 |
341 |
13 |
145 |
28 |
970t |
(48) |
5900 |
47 |
19 |
150 |
30 |
2592t |
(49) |
5100 |
100 |
24 |
311 |
45 |
6300t |
(50) |
3900 |
52 |
18 |
133 |
26 |
3000t |
(51) |
2700 |
3 |
6 |
61 |
15 |
270t |
(52) |
5000 |
161 |
32 |
266 |
29 |
1377.5t |
(53) |
8800 |
13 |
310 |
542 |
32 |
3643.2 m3 |
(54) |
7100 |
241 |
50 |
132 |
41 |
1500000 No |
(55) |
4900 |
5 |
12 |
193 |
52 |
200t |
(56) |
1900 |
19 |
7 |
32 |
15 |
1725 m3 |
(57) |
2200 |
3 |
4 |
208 |
19 |
25t |
(58) |
2100 |
8 |
6 |
52 |
23 |
81000 No |
(59) |
4700 |
3 |
15 |
529 |
29 |
217.88 m3 |
(60) |
1100 |
2 |
3 |
41 |
7 |
40.40t |
(61) |
7200 |
11 |
11 |
56 |
29 |
3000t |
(62) |
6100 |
10 |
8 |
100 |
25 |
330000 m |
(63) |
2100 |
4 |
4 |
83 |
16 |
300000 No |
(64) |
6200 |
51 |
14 |
131 |
30 |
1000t |
(65) |
2200 |
3 |
10 |
137 |
26 |
2700t |
(66) |
2200 |
4 |
18 |
173 |
16 |
81000 m2 |
(67) |
15100 |
210 |
19 |
547 |
65 |
15000t |
(68) |
1900 |
34 |
5 |
147 |
28 |
360000 No |
(69) |
12600 |
24 |
17 |
371 |
59 |
12000 m2 |
(70) |
1400 |
2 |
6 |
61 |
14 |
200000 No |
(71) |
7300 |
41 |
31 |
335 |
46 |
7000t |
(72) |
3300 |
6 |
9 |
267 |
46 |
1800t |
(73) |
1300 |
2 |
3 |
59 |
13 |
45600 No |
(74) |
2200 |
20 |
8 |
58 |
23 |
800t |
(75) |
3500 |
5 |
18 |
164 |
70 |
24000000 No |
(76) |
2200 |
4 |
8 |
116 |
36 |
2000000 No |
(77) |
1900 |
3 |
5 |
84 |
29 |
800000 No |
(78) |
3500 |
38 |
8 |
131 |
13 |
100t |
(79) |
2500 |
134 |
65 |
161 |
18 |
1800t |
(80) |
5300 |
102 |
7 |
243 |
28 |
5475t |
(81) |
2300 |
3 |
15 |
163 |
27 |
2500t |
(82) |
4500 |
35 |
11 |
200 |
24 |
2000t |
(83) |
6100 |
23 |
39 |
69 |
21 |
1000t |
(84) |
13000 |
230 |
223 |
255 |
75 |
2000 m2 |
(85) |
3900 |
36 |
5 |
191 |
18 |
8100 m3 |
(86) |
3900 |
34 |
29 |
194 |
20 |
10500t |
(87) |
2000 |
89 |
15 |
213 |
22 |
1500t |
(88) |
2500 |
50 |
13 |
133 |
19 |
200t |
(89) |
3300 |
5 |
5 |
128 |
20 |
2700 No |
(90) |
1600 |
2 |
5 |
114 |
12 |
3240 No |
(91) |
3600 |
8 |
4 |
100 |
12 |
1540t |
(92) |
3300 |
2 |
6 |
87 |
15 |
750t |
(93) |
5300 |
134 |
29 |
112 |
30 |
3400t |
(94) |
8900 |
11 |
84 |
298 |
63 |
25000t |
(95) |
4700 |
38 |
13 |
503 |
56 |
5000t |
(96) |
6600 |
23 |
65 |
328 |
39 |
5000t |
(97) |
2700 |
4 |
27 |
202 |
33 |
3000t |
(98) |
3300 |
127 |
6 |
90 |
29 |
3000t |
(99) |
4600 |
5 |
17 |
176 |
52 |
1000 No+383.9t |
(100) |
4900 |
101 |
10 |
206 |
46 |
80000 No |
(101) |
2400 |
3 |
4 |
71 |
16 |
2000t |
(102) |
7000 |
44 |
15 |
343 |
44 |
150000 No |
(103) |
2600 |
9 |
5 |
99 |
22 |
3000 No |
(104) |
2200 |
4 |
9 |
148 |
55 |
12393000 No |
(105) |
2100 |
4 |
4 |
112 |
14 |
1000000 No |
(106) |
6200 |
207 |
11 |
168 |
38 |
1787.5t |
(107) |
4300 |
605 |
14 |
276 |
70 |
1000t |
(108) |
2500 |
4 |
0 |
365 |
55 |
500000 pairs |
(109) |
10200 |
14 |
21 |
350 |
84 |
730t |
(110) |
1100 |
2 |
9 |
78 |
27 |
869565 m |
(111) |
3500 |
6 |
6 |
137 |
25 |
3370000 No |
(112) |
7000 |
149 |
39 |
265 |
29 |
19820t |
(113) |
4400 |
5 |
13 |
296 |
66 |
330000 No |
(114) |
10100 |
14 |
17 |
182 |
59 |
4500t |
(115) |
7800 |
127 |
31 |
200 |
75 |
12600000 pair |
(116) |
3400 |
3 |
4 |
137 |
16 |
1000t |
(117) |
10100 |
1 |
19 |
331 |
21 |
5000t |
(118) |
Source: IIO and IEPA.
Current research tried to process the existing raw data of ICI using decision-making models. Therefore, raw data were undergone SPSS software analysis. To compose a special vector of the main criteria in Table 1, the Friedman test was used. Therefore, the special vector obtained had shown values around 2.52, 3.94, 1.6, 1.94 and 5 for the criteria such as employees, power, and water, fuel, and the land area used based on existing data in Table 1. The test statistic (N=118) was presented amounts of about 388.645 and 0.00 for Chi-square and significant difference supported by Friedman test for existing data. One sample Kolmogorov Smirnov Test had proved significant differences around 0.001, 0.002, and 0.012 for the number of employees, power, and land respectively. The distribution was obtained as same according to related samples Friedman's two-way analysis of variance by ranks for them. In the following process, the special vector was applied to the values using Equation 7. Then, Equations of 6 to 53 were employed to find out the rank values by TOPSIS, DEA, ARAS, SAW, CODAS, WASPAS, MARCOS and MABAC, models and final weights for alternatives (industries). Table 2 denotes the obtained values.
Table-2. The values of rank and their weights
MABAC |
MARCOS |
WASPAS |
CODAS |
SAW |
ARAS |
DEA |
TOPSIS |
Industry |
14 |
16 |
14 |
17 |
23 |
23 |
30 |
11 |
(1) |
83 |
85 |
85 |
94 |
92 |
92 |
58 |
91 |
(2) |
36 |
36 |
35 |
35 |
29 |
29 |
59 |
37 |
(3) |
109 |
109 |
109 |
112 |
113 |
113 |
9 |
112 |
(4) |
46 |
46 |
47 |
56 |
59 |
59 |
99 |
49 |
(5) |
88 |
88 |
88 |
74 |
71 |
71 |
85 |
90 |
(6) |
101 |
101 |
102 |
102 |
110 |
110 |
90 |
98 |
(7) |
33 |
33 |
31 |
24 |
21 |
21 |
56 |
34 |
(8) |
97 |
97 |
98 |
98 |
98 |
98 |
100 |
101 |
(9) |
1 |
1 |
1 |
4 |
3 |
3 |
28 |
2 |
(10) |
9 |
12 |
8 |
5 |
6 |
6 |
86 |
6 |
(11) |
113 |
113 |
113 |
112 |
112 |
112 |
21 |
111 |
(12) |
92 |
92 |
92 |
89 |
91 |
91 |
3 |
88 |
(13) |
20 |
22 |
20 |
32 |
38 |
38 |
117 |
28 |
(14) |
*&&& |
*& |
**** |
****** |
** |
** |
106 |
61 |
(15) |
56 |
56 |
56 |
52 |
45 |
45 |
109 |
58 |
(16) |
63 |
64 |
64 |
72 |
68 |
68 |
80 |
72 |
(17) |
48 |
48 |
49 |
41 |
40 |
40 |
64 |
48 |
(18) |
47 |
47 |
50 |
42 |
41 |
41 |
93 |
43 |
(19) |
107 |
106 |
107 |
92 |
96 |
96 |
73 |
92 |
(20) |
19 |
20 |
19 |
31 |
31 |
31 |
104 |
26 |
(21) |
117 |
117 |
117 |
117 |
117 |
117 |
102 |
117 |
(22) |
80 |
80 |
83 |
82 |
88 |
88 |
75 |
77 |
(23) |
23 |
23 |
26 |
30 |
32 |
32 |
10 |
21 |
(24) |
106 |
107 |
106 |
110 |
111 |
111 |
95 |
109 |
(25) |
77 |
77 |
76 |
80 |
79 |
79 |
22 |
80 |
(26) |
18 |
19 |
16 |
29 |
27 |
27 |
72 |
25 |
(27) |
96 |
96 |
96 |
95 |
94 |
94 |
27 |
97 |
(28) |
73 |
73 |
73 |
73 |
75 |
75 |
69 |
73 |
(29) |
34 |
34 |
33 |
36 |
36 |
36 |
18 |
32 |
(30) |
7 |
7 |
9 |
12 |
14 |
14 |
52 |
9 |
(31) |
29 |
29 |
30 |
25 |
24 |
24 |
77 |
30 |
(32) |
13 |
14 |
10 |
14 |
15 |
15 |
87 |
16 |
(33) |
72 |
72 |
68 |
77 |
78 |
78 |
91 |
75 |
(34) |
95 |
95 |
95 |
90 |
84 |
84 |
49 |
95 |
(35) |
69 |
68 |
69 |
54 |
51 |
51 |
97 |
79 |
(36) |
68 |
69 |
72 |
68 |
69 |
69 |
1 |
66 |
(37) |
*&&& |
*& |
**** |
****** |
** |
** |
114 |
60 |
(38) |
110 |
110 |
110 |
109 |
105 |
105 |
13 |
110 |
(39) |
66 |
66 |
67 |
70 |
74 |
74 |
23 |
64 |
(40) |
37 |
38 |
37 |
45 |
44 |
44 |
65 |
41 |
(41) |
49 |
49 |
46 |
56 |
53 |
53 |
78 |
54 |
(42) |
57 |
57 |
57 |
60 |
62 |
62 |
11 |
56 |
(43) |
60 |
61 |
61 |
71 |
67 |
67 |
66 |
70 |
(44) |
115 |
115 |
115 |
115 |
115 |
115 |
63 |
116 |
(45) |
*&&&$ |
*&& |
***** |
******* |
*** |
*** |
* |
71 |
(46) |
53 |
53 |
54 |
55 |
57 |
57 |
71 |
53 |
(47) |
26 |
26 |
25 |
7 |
10 |
10 |
94 |
14 |
(48) |
43 |
42 |
44 |
43 |
42 |
42 |
53 |
42 |
(49) |
28 |
28 |
28 |
28 |
22 |
22 |
40 |
29 |
(50) |
59 |
59 |
62 |
63 |
60 |
60 |
46 |
69 |
(51) |
100 |
100 |
100 |
103 |
103 |
103 |
83 |
102 |
(52) |
30 |
30 |
32 |
22 |
18 |
18 |
82 |
31 |
(53) |
4 |
4 |
4 |
2 |
2 |
2 |
16 |
4 |
(54) |
16 |
17 |
15 |
9 |
7 |
7 |
31 |
17 |
(55) |
40 |
41 |
39 |
46 |
46 |
46 |
103 |
44 |
(56) |
111 |
111 |
111 |
111 |
109 |
109 |
42 |
113 |
(57) |
89 |
89 |
90 |
78 |
83 |
83 |
113 |
74 |
(58) |
102 |
102 |
101 |
105 |
102 |
102 |
61 |
107 |
(59) |
31 |
31 |
34 |
26 |
30 |
30 |
34 |
22 |
(60) |
118 |
118 |
118 |
118 |
118 |
118 |
105 |
118 |
(61) |
42 |
43 |
45 |
49 |
61 |
61 |
39 |
38 |
(62) |
52 |
52 |
53 |
62 |
64 |
64 |
7 |
51 |
(63) |
105 |
105 |
105 |
108 |
106 |
106 |
26 |
106 |
(64) |
39 |
40 |
43 |
44 |
43 |
43 |
76 |
40 |
(65) |
91 |
90 |
89 |
91 |
90 |
90 |
36 |
93 |
(66) |
94 |
93 |
94 |
83 |
82 |
82 |
14 |
84 |
(67) |
2 |
2 |
3 |
6 |
5 |
5 |
35 |
3 |
(68) |
87 |
87 |
86 |
84 |
81 |
81 |
33 |
87 |
(69) |
5 |
5 |
5 |
8 |
8 |
8 |
98 |
7 |
(70) |
114 |
114 |
114 |
114 |
114 |
114 |
29 |
114 |
(71) |
17 |
18 |
18 |
23 |
19 |
19 |
47 |
19 |
(72) |
54 |
54 |
52 |
53 |
55 |
55 |
57 |
50 |
(73) |
116 |
116 |
116 |
116 |
116 |
116 |
62 |
115 |
(74) |
99 |
99 |
99 |
99 |
99 |
99 |
67 |
103 |
(75) |
45 |
45 |
38 |
50 |
48 |
48 |
5 |
45 |
(76) |
84 |
84 |
78 |
88 |
87 |
87 |
19 |
89 |
(77) |
98 |
98 |
97 |
100 |
100 |
100 |
20 |
99 |
(78) |
74 |
74 |
77 |
75 |
76 |
76 |
108 |
78 |
(79) |
61 |
60 |
58 |
33 |
34 |
34 |
84 |
52 |
(80) |
38 |
37 |
40 |
37 |
37 |
37 |
37 |
35 |
(81) |
82 |
82 |
81 |
81 |
80 |
80 |
41 |
81 |
(82) |
55 |
55 |
55 |
58 |
58 |
58 |
54 |
57 |
(83) |
50 |
50 |
51 |
47 |
50 |
50 |
79 |
46 |
(84) |
3 |
3 |
2 |
1 |
1 |
1 |
111 |
1 |
(85) |
64 |
62 |
66 |
65 |
65 |
65 |
4 |
63 |
(86) |
58 |
58 |
59 |
61 |
54 |
54 |
60 |
59 |
(87) |
71 |
71 |
71 |
57 |
56 |
56 |
70 |
65 |
(88) |
85 |
83 |
84 |
76 |
70 |
70 |
118 |
85 |
(89) |
*&&&& |
*&& |
***** |
******* |
*** |
*** |
* |
83 |
(90) |
112 |
112 |
112 |
107 |
108 |
108 |
110 |
108 |
(91) |
86 |
86 |
87 |
93 |
93 |
93 |
43 |
86 |
(92) |
90 |
91 |
91 |
96 |
97 |
97 |
107 |
94 |
(93) |
41 |
39 |
41 |
34 |
33 |
33 |
55 |
39 |
(94) |
10 |
13 |
11 |
10 |
9 |
9 |
24 |
10 |
(95) |
25 |
25 |
23 |
18 |
20 |
20 |
44 |
18 |
(96) |
24 |
24 |
24 |
19 |
17 |
17 |
51 |
23 |
(97) |
67 |
67 |
65 |
64 |
63 |
63 |
45 |
68 |
(98) |
62 |
63 |
63 |
48 |
52 |
52 |
89 |
62 |
(99) |
44 |
44 |
42 |
51 |
49 |
49 |
96 |
47 |
(100) |
35 |
35 |
36 |
38 |
35 |
35 |
88 |
55 |
(101) |
103 |
103 |
103 |
106 |
104 |
104 |
32 |
105 |
(102) |
21 |
21 |
21 |
27 |
26 |
26 |
74 |
24 |
(103) |
93 |
94 |
93 |
97 |
95 |
95 |
112 |
96 |
(104) |
65 |
65 |
60 |
69 |
66 |
66 |
8 |
67 |
(105) |
104 |
104 |
104 |
101 |
101 |
101 |
15 |
100 |
(106) |
27 |
27 |
27 |
16 |
16 |
16 |
81 |
27 |
(107) |
8 |
8 |
6 |
3 |
4 |
4 |
101 |
5 |
(108) |
51 |
51 |
48 |
40 |
47 |
47 |
17 |
36 |
(109) |
6 |
6 |
7 |
11 |
11 |
11 |
92 |
8 |
(110) |
108 |
108 |
108 |
104 |
107 |
107 |
2 |
104 |
(111) |
70 |
70 |
70 |
79 |
77 |
77 |
12 |
76 |
(112) |
22 |
15 |
22 |
15 |
13 |
13 |
25 |
20 |
(113) |
32 |
32 |
29 |
39 |
39 |
39 |
50 |
33 |
(114) |
12 |
10 |
13 |
21 |
25 |
25 |
48 |
13 |
(115) |
11 |
9 |
12 |
13 |
12 |
12 |
6 |
15 |
(116) |
81 |
81 |
82 |
85 |
89 |
89 |
68 |
82 |
(117) |
15 |
11 |
17 |
20 |
28 |
28 |
38 |
12 |
(118) |
*&& Same rank 78, 79 *&&& Same rank 75, 76 *&&&& Same rank 78, 79 |
***** Same rank 79, 80 ****** Same rank 66, 67 ******* Same rank 86, 87 *& Same rank 75, 76 |
*Same rank=115, 116 ** Same rank=72, 73 *** Same rank 85, 86 **** Same rank 74, 75 |
4.2. Sensitivity Analysis (SA) - Comparison Methods
In this part of the research, it was conducted a SA among ranking systems of TOPSIS, CODAS, MARCOS, MABAC, WASPAS, ARAS, SAW, and DEA according to Table 3.
Table-3. Correlations Transformed Variables
Criteria |
Topsis |
Codas |
Marcos |
Mabac |
Waspas |
Aras |
SAW |
DEA |
TOPSIS |
1.000 |
.953 |
.970 |
.967 |
.966 |
.949 |
.949 |
.164 |
CODAS |
.953 |
1.000 |
.957 |
.954 |
.964 |
.982 |
.982 |
.190 |
MARCOS |
.970 |
.957 |
1.000 |
.998 |
.988 |
.954 |
.954 |
.171 |
MABAC |
.967 |
.954 |
.998 |
1.000 |
.986 |
.952 |
.952 |
.172 |
WASPAS |
.966 |
.964 |
.988 |
.986 |
1.000 |
.957 |
.957 |
.180 |
ARAS |
.949 |
.982 |
.954 |
.952 |
.957 |
1.000 |
1.000 |
.176 |
SAW |
.949 |
.982 |
.954 |
.952 |
.957 |
1.000 |
1.000 |
.176 |
DEA |
.164 |
.190 |
.171 |
.172 |
.180 |
.176 |
.176 |
1.000 |
Dimension |
1 |
2 |
3 |
4 |
5 |
6 |
7 |
8 |
Eigenvalue |
6.834 |
.963 |
.119 |
.043 |
.025 |
.014 |
.002 |
.000 |
According to Table 3 the highest correlation among ranking models of TOPSIS, CODAS, MARCOS, MABAC, WASPAS, ARAS and SAW were approached about 0.970 (TOPSIS-MARCOS models), 0.998 (MABAC-MARCOS), 0.998 (MARCOS-MABAC), 0.988 (MARCOS-WASPAS), 0.982 (CODAS-ARAS) and 0.982 (CODAS-SAW). The pair test analysis had shown a significant difference around (p-value ≤0.014) between values of SAW-DEA. The t-test analysis was revealed a significant analysis of (p-value ≤0.003) among values of TOPSIS, CODAS, MARCOS, MABAC, WASPAS, ARAS, SAW, and DEA. While there is no significant difference with recede the values of DEA. The distribution of values for TOPSIS, CODAS, MARCOS, MABAC, WASPAS, SAW, ARAS, and DEA were obtained the same based on related-samples Friedman's two-way analysis of variance by ranks. Therefore, the Null hypothesis was rejected. While the distribution of values for TOPSIS, MARCOS, MABAC, and WASPAS came into view normally based on a one-sample Kolmogorov Smirnov test. That is why it resulted to retain the null hypothesis. Figure 3 shows the object points labeled and discrimination measures for variable principal normalization of above-named models in 2 dimensions.
Figure-3. The object points labeled and discrimination measures for variable principal normalization of above-named models in 2 dimensions.
By present study was conducted a DEA based on an additive ratio model to find the efficiency score for ICI. By the way, the data sorted out into output and input sections and the ARAS model assigned to normalize the data along with the weighing vector induced into the matrix. As a result, the division of a weighted average of output to a weighted average of input released an efficiency score for industries individually. Then ICI was classified and ranked based on the existing score. It was found significant differences around 0.036 and 0.093 for the criteria of initial feed (m) and initial feed (L) in the calculation of DEA based on parameters of NC (No), NC (t), NC (m3), NC (m2), NC (L), NC (m), NC (pair), Initial feed (m2), Employee, Power (kW), Water (m3), Fuel (Gj), Land (m2), Initial feed (t), Initial feed (L), Initial feed (Pairs), Initial feed (m) and Initial feed (No). Using both Friedman and Kendall's W tests resulted to provide weight values around 8.88, 9.58, 5.87, 5.84, 5.69, 5.79, 5.79, 6.06, 15.3, 17.11, 13.66, 14.09, 13.71, 12.50, 6.85, 5.68, 6.04 and 12.54 for the same parameters respectively. In studies related to industrial ecology, the knowledge of the material inputs injected into the industry cycle contains particular importance.
The ecological science of industries gets back to the study of material and energy streams in industrial ambient. Industrial ecology takes into account various industrial processes and systematically records and censuses the flow of materials including raw materials, energy carriers, main products, sub-products, pollutants, and wastes. By this, the science of industrial ecology provides the opportunity to increase the efficiency of industrial processes and shows which parts of the industrial systems produce more pollutants or are inefficient in the consumption of raw materials or energy carriers. In this way, the purpose of industrial systems should be to circulate the material in a cyclic and renewable environment and avoid generating waste, because the surplus of an industrial sector should be the feed of another industrial sector, like natural ecosystems
Regarding the high precision of the decision-making methods for ranking purposes, the classification can be used as a reference in this field. SA proved the highest compliance among ranking models and enough confidence for the findings to ensure readers. The quantity of input and output materials entered into the industry cycle has provided useful information for managing the industrial ecology to stakeholders and DEA estimation. Also, the raw data employed to assess ICI can be used as a reliable source for comparing ICI with other nations as well as the benefits in the easiest way towards financial outcomes and performance assessments. Future research orientations will encompass the materials and energy outlay in the performance assessment via DEA and sustainable development aims for ICI.
Funding: This study received no specific financial support. |
Competing Interests: The author declares that there are no conflicts of interests regarding the publication of this paper. |
Acknowledgement: This research was conducted as part of the corresponding author’s Ph.D. research work. |
[1] M. Porter, "Clusters and the new economics of competition," Harvard Business Review, vol. 76, pp. 79-85, 1998.
[2] R. Munn, Environmental impact assessment, principles and procedures. New York: John Wiley and Sons, 1979.
[3] J. Roshandel, S. S. Miri-Nargesi, and L. Hatami-Shirkouhi, "Evaluating and selecting the supplier in detergent production industry using hierarchical fuzzy TOPSIS," Applied Mathematical Modelling, vol. 37, pp. 10170-10181, 2013. Available at: https://doi.org/10.1016/j.apm.2013.05.043.
[4] A. H. Rahdari, "Developing a fuzzy corporate performance rating system: A petrochemical industry case study," Journal of Cleaner Production, vol. 131, pp. 421-434, 2016. Available at: https://doi.org/10.1016/j.jclepro.2016.05.007.
[5] S.-H. Hosseini, M. E. Ezazi, M. R. Heshmati, and S. Moghadam, "Top companies ranking based on financial ratio with AHP-TOPSIS combined approach and indices of Tehran stock exchange–a comparative study," International Journal of Economics and Finance, vol. 5, pp. 126-133, 2013. Available at: https://doi.org/10.5539/ijef.v5n3p126.
[6] N. C. Onat, S. Gumus, M. Kucukvar, and O. Tatari, "Application of the TOPSIS and intuitionistic fuzzy set approaches for ranking the life cycle sustainability performance of alternative vehicle technologies," Sustainable Production and Consumption, vol. 6, pp. 12-25, 2016.
[7] M. Tobiszewski, J. Namieśnik, and F. Pena-Pereira, "Environmental risk-based ranking of solvents using the combination of a multimedia model and multi-criteria decision analysis," Green Chemistry, vol. 19, pp. 1034-1042, 2017. Available at: https://doi.org/10.1039/c6gc03424a.
[8] A. Indahingwati, M. Barid, N. Wajdi, D. Susilo, N. Kurniasih, and R. Rahim, "Comparison analysis of TOPSIS logic method on fertilizer selection," International Journal of Engineering & Technology, vol. 7, pp. 109-114, 2018. Available at: https://doi.org/10.14419/ijet.v7i2.3.12630.
[9] D. R. Georgiadis, T. A. Mazzuchi, and S. Sarkani, "Using multi criteria decision making in analysis of alternatives for selection of enabling technology," Systems Engineering, vol. 16, pp. 287-303, 2013. Available at: https://doi.org/10.1002/sys.21233.
[10] A. Mehdiabadi, A. Rohani, and S. Amirabdollahiyan, "Ranking industries using a hybrid of DEA-TOPSIS," Decision Science Letters, vol. 2, pp. 251-256, 2013. Available at: https://doi.org/10.5267/j.dsl.2013.07.001.
[11] M. Tash and H. Nasrabadi, "Ranking Iran's monopolistic industry based on fuzzy TOPSIS method," Iranian Journal of Economic Studies, vol. 2, pp. 103-122, 2013.
[12] S. Kavousi and Y. Salamzadeh, "Identifying and prioritizing factors influencing success of a strategic planning process: A study on national Iranian copper industries company," Asian Social Science, vol. 12, pp. 230-244, 2016. Available at: https://doi.org/10.5539/ass.v12n8p230.
[13] S. M. Farzami and F. Vafaei, "Evaluation and selection of optimal contractor to execute project using FTOPSIS method (case study: Kermanshah Gas Company)," International Research Journal of Applied and Basic Sciences, vol. 6, pp. 450-459, 2013.
[14] E. Dace, J. Rusanova, J. Gusca, and D. Blumberga, "Selecting a catalyst for methanation process: Technical and economic performance based TOPSIS analysis," in Proceedings of the 27th International Conference on Efficiency, Cost, Optimization, Simulation and Environmental Impact of Energy Systems (ECOS 2014), Finland, Turku, 15-19 June, 2014. Turku: Åbo Akademi University, 2014, pp. 1-9.
[15] D. O. Aikhuele, S. Sorooshian, R. H. Ansah, and F. M. Turan, "Application of intuitionistic fuzzy TOPSIS model for troubleshooting an offshore patrol boat engine," Polish Maritime Research, vol. 24, pp. 68-76, 2017. Available at: https://doi.org/10.1515/pomr-2017-0051.
[16] A. A. A. Rostami, M. Saberi, M. Hamidian, and M. Esfandiyar Pour, "Evaluating and ranking the firms in chemical industry listed in Tehran stock exchange with TOPSIS," Advances in Mathematical Finance and Applications, vol. 2, pp. 73-79, 2017.
[17] K. Askarifar, Z. Motaffef, and S. Aazaami, "An investment development framework in Iran's seashores using TOPSIS and best-worst multi-criteria decision making methods," Decision Science Letters, vol. 7, pp. 55-64, 2018. Available at: https://doi.org/10.5267/j.dsl.2017.4.004.
[18] A. Dinmohammadi and M. Shafiee, "Determination of the most suitable technology transfer strategy for wind turbines using an integrated AHP-TOPSIS decision model," Energies, vol. 10, pp. 1-17, 2017. Available at: https://doi.org/10.3390/en10050642.
[19] A. Forghani, S. Sadjadi, and B. M. Farhang, "A supplier selection model in pharmaceutical supply chain using PCA, Z-TOPSIS and MILP: A case study," PloS one, vol. 13, pp. 1-17, 2018. Available at: https://doi.org/10.1371/journal.pone.0201604.
[20] M. Hassanpour, "Evaluation of Iranian plastic industries," Journal of Waste Recycling, vol. 3, pp. 1-10, 2018.
[21] D. Karabasevic, E. Kazimieras, D. Stanujkic, G. Popovic, and M. Brzakovic, "An approach to personnel selection in the IT industry based on the EDAS method," Transformations in Business & Economics, vol. 17, pp. 54-65, 2018.
[22] A. Yazdani-Chamzini, M. M. Fouladgar, E. K. Zavadskas, and H. H. Moini, "Selecting the optimal renewable energy using multi criteria decision making," Journal of Business Economics and Management, vol. 14, pp. 957-978, 2013.
[23] I. Mukhametzyanov and D. Pamucar, "A sensitivity analysis in MCDM problems: A statistical approach," Decision Making: Applications in Management and Engineering, vol. 1, pp. 51-80, 2018.
[24] T. Adar and E. Delice, "New integrated approaches based on MC-HFLTS for healthcare waste treatment technology selection," Journal of Enterprise Information Management, vol. 32, pp. 688-711, 2019. Available at: https://doi.org/10.1108/jeim-10-2018-0235.
[25] M. Milosavljević, M. Bursać, and G. Tričković, "Selection of the railroad container terminal in Serbia based on multi criteria decision making methods," Decision Making: Applications in Management and Engineering, vol. 1, pp. 1-15, 2018.
[26] R. Eisinga, T. Heskes, B. Pelzer, and M. Te Grotenhuis, "Exact p-values for pairwise comparison of Friedman rank sums, with application to comparing classifiers," BMC Bioinformatics, vol. 1, pp. 1-18, 2017. Available at: https://doi.org/10.1186/s12859-017-1486-2.
[27] J. Zagorskas, E. K. Zavadskas, Z. Turskis, M. Burinskienė, A. Blumberga, and D. Blumberga, "Thermal insulation alternatives of historic brick buildings in Baltic Sea Region," Energy and Buildings, vol. 78, pp. 35-42, 2014. Available at: https://doi.org/10.1016/j.enbuild.2014.04.010.
[28] M. Yazdani, S. Hashemkhani Zolfani, and E. K. Zavadskas, "New integration of MCDM methods and QFD in the selection of green suppliers," Journal of Business Economics and Management, vol. 17, pp. 1097-1113, 2016. Available at: https://doi.org/10.3846/16111699.2016.1165282.
[29] M. Ghorabaee, E. Zavadskas, Z. Turskis, and J. Antucheviciene, "A new combinative distance-based assessment (CODAS) method for multi-criteria decision-making," Economic Computation and Economic Cybernetics Studies and Research, vol. 50, pp. 25-44, 2016.
Views and opinions expressed in this article are the views and opinions of the author(s), International Journal of Chemistry and Materials Research shall not be responsible or answerable for any loss, damage or liability etc. caused in relation to/arising out of the use of the content. |