Index

Abstract

 

This work deals with the synthesis and cytotoxicity of some heterocyclic compounds starting from 2-acetylfuran. The title compound was used for the synthesis of thiophene derivative 3 through its reaction with elemental sulfur and ethyl cyanoacetate. Compound 3 was used for the synthesis of thiophene, thieno[2,3-c]pyrazole, thieno[2,3-d]pyrimidine and pyridine derivatives through its reaction with different reagents. The newly synthesized compounds were screened through three cancer cell lines.  Compound 13b showed the highest potency among the synthesized compounds.

 

Keywords: 2-Acetylfuran,Thiophene,Pyridine,Pyrimidine,Pyrazole,Cytotoxicity.

Received: 31 March 2017 / Revised: 2 May 2017 / Accepted:24 May 2017/ Published: 13 June 2017

Contribution/ Originality

This study contributes in the existing literature that thiophene derivatives can be produced from simple commercially available starting materials. The reactions of the produced thiophene derivative with different reagents gave both pyrazole and pyridine derivatives. The cytotoxicity of the produced products gave that some compounds with high potency.


1. INTRODUCTION

Thiophene and its derivatives constitute one of the major classes in heterocyclic chemistry. They have been shown to have interesting biological properties such as antiproliferative [1, 2] and anti-inflammatory [3]. Several synthetic routes for polyfunctional fused or pendant pyridine systems have been reported in the literature. They mainly involve intramolecular cyclization [4, 5] multi component intermolecular cyclization [6] metal assisted coupling [7] microwave assisted coupling [8, 9] or cycloaddition [10] azo electronic coupling [11] regioselective hetero Diels-Alder [12] and internal Mannich reaction [13]. They have been used in a wide variety of biological applications [14]. In this work we are demonstrating the synthesis of biologically active thiophene derivatives using 2-acetylfuran as the key starting reagent.

2. EXPERIMENTAL

2.1. General        

All melting points were determined on an electrothermal digital melting point apparatus and are uncorrected. IR spectra (KBr discs) were recorded on a FTIR plus 460 or Pye Unicam SP-1000 spectrophotometer. 1H NMR & 13C NMR spectra were recorded with Varian Gemini-200 (200 MHz) instrument. Spectra were performed in DMSO-d6 as solvent using TMS as internal standard and chemical shifts are expressed as δ ppm. MS (EI) spectra were recorded with Hewlett Packard 5988 A GC/MS system and GCMS-QP 1000 Ex Shimadzu instruments. Analytical data were obtained from the Micro-analytical Data Unit at Cairo University and were performed on Vario EL III Elemental analyzer.

2.2. Ethyl 2-amino-4-(furan-2-yl) thiophene-3-carboxylate (3)

To a solution of  2-acetylfuran (1.10 g, 0.01 mol) in 1,4-dioxane (40 mL) containing triethylamine (1.0 mL), ethyl cyanoacetate (1.13 g, 0.01 mol)  and elemental sulfur (0.32 g, 0.01 mol) were added. The reaction mixture was heated under reflux for 2 h then left to cool. The solid product formed upon pouring onto ice/water containing few drops of hydrochloric acid was collected by filtration and crystallized to obtain pale yellow crystals from acetic acid, yield 55 % (1.30 g), m.p. = 105-107°C. Anal. Calculated for C11H11NO3S (237.27): C, 55.68; H, 4.67; N, 5.90; S, 13.51. Found: C, 55.77; H, 4.89; N, 5.61; S, 13.34. MS: m/e 237 (M+, 22 %), IR, υ: 3470, 3321 (NH2), 3058 (CH, aromatic), 1703 (CO), 1631 (C=C). 1H-NMR (DMSO-d6, 200 MHz):δ=1.13 (t, 3H, J = 7.12 Hz, CH3), 4.22 (q, 2H, J = 7.12 Hz, CH2), 4.82 (s, 2H, D2O exchangeable,  NH2), 6.04 (s, 1H, thiophene H-5), 7.31-7.38 (m, 3H, furan H). 13C NMR (DMSO) δ : 16.7 (ester CH3), 53.8 (ester CH2), 120.3, 121.8, 123.9, 128.9, 130.5, 133.9, 136.0, 139.4 (thiophene, furan C), 163.5 (CO).

2.3. Ethyl 2-acetamido-4-(furan-2-yl)thiophene-3-carboxylate (5)

A solution of compound 3 (2.37 g, 0.01 mol) in acetic acid (40 mL) containing acetic anhydride (10 mL) was heated under reflux for 3 h then poured onto ice/water. The formed solid product was collected by filtration and crystallized to obtain pale yellow crystals from 1,4-dioxane, yield 70 % (1.95 g), m.p. = 130-133 °C. Anal. Calculated for C13H13NO4S (279.31): C, 55.90; H, 4.69; N, 5.01; S, 11.48. Found: C, 55.68; H, 4.63; N, 4.98; S, 11.23. MS: m/e 279 (M+, 20 %), IR, υ: 3466-3329 (NH), 3055 (CH, aromatic), 1707, 1693 (2CO),  1630 (C=C). 1H-NMR (DMSO-d6, 200 MHz): δ= 1.14 (t, 3H, J = 7.18 Hz, CH3), 2.62 (s, 3H, CH3), 4.23 (q, 2H, J = 7.18 Hz, CH2),  6.04 (s, 1H, thiophene H-5), 7.29-7.37 (m, 3H, furan H), 8.30 (s, 1H, D2O exchangeable, NH).

2.4. Ethyl 2-(benzylideneamino)-4-(furan-2-yl)thiophene-3-carboxylate (7)

To a solution of compound 3 (2.37 g, 0.01 mol) in 1,4-dioxane (40 mL), benzaldehyde (1.08 g, 0.01 mol) was added. The reaction mixture was heated under reflux for 4 h then poured onto ice/water containing few drops of hydrochloric acid.  The formed solid product was collected by filtration and crystallized to obtain yellow crystals from 1,4-dioxane, yield 68 % (2.21g), m.p. = 187-189 °C. Anal. Calculated for C18H15NO3S (325.38): C, 66.44; H, 4.65; N, 4.30; S, 9.85. Found: C, 66.72; H, 4.80; N, 4.59; S, 10.02. MS: m/e 325 (M+, 18 %), IR, υ: 3466-3329 (NH), 3056 (CH, aromatic), 1693  (CO), 1632 (C=C). 1H-NMR (DMSO-d6, 200 MHz): δ= 1.14 (t, 3H, J = 6.09 Hz, CH3), 4.22 (q, 2H, J = 6.09 Hz, CH2), 6.06 (s, 1H, thiophene H-5), 6.99 (s, 1H, CH=N), 7.30-7.43 (m, 8H, C6H5, furan H). 13C NMR (DMSO) δ: 16.9 (ester CH3), 53.4 (ester CH2), 120.5, 121.2, 122.3, 124.6,  125.9, 128.4, 129.6, 130.8, 132.9, 134.2, 136.6, 139.1 (C6H5, thiophene, furan C), 163.8 (CO), 165.8 (C=N).

2.5. 2-Amino-4-(furan-2-yl)-N-phenylthiophene-3-carboxamide (9)

To a solution of compound 3 (2.37 g, 0.01 mol) in dimethylformamide (30 mL), aniline (0.93 g, 0.01 mol) was added. The reaction mixture was heated under reflux for 3 h then poured onto ice/water containing few drops of

hydrochloric acid. The formed solid product was collected by filtration to obtain yellow crystals from 1,4-dioxane, yield 73 % (2.07 g), m.p. = 166-168 °C. Anal. Calculated for C15H12N2O2S (284.33): C, 63.36; H, 4.25; N, 9.85; S, 11.28. Found: C, 63.51; H, 4.39; N, 9.54; S, 11.06. MS: m/e 284 (M+, 16 %), IR, υ: 3493-3378 (NH2, NH), 3050 (CH, aromatic), 1689  (CO), 1630 (C=C). 1H-NMR (DMSO-d6, 200 MHz): δ= 4.43 (s, 2H, D2O exchangeable, NH2), 6.05 (s,1H thiophene H-5), 7.26-7.38 (m, 8H,C6H5, furan H), 8.25 (s, 1H, D2O exchangeable NH). 13C NMR (DMSO) δ: 119.6, 120.2, 123.5, 124.2,  125.5, 127.6, 129.6, 131.3, 132.9, 134.5, 135.4, 139.3 (C6H5, thiophene, furan C), 163.6 (CO).

2.6. 4-(Furan-2-yl)-1H-thieno[2,3-c]pyrazol-3-ol (11)

To a solution of compound 3 (2.37 g, 0.01 mol) in 1,4-dioxane (40 mL), hydrazine hydrate (0.50 g, 0.01 mol)  was added. The reaction mixture was heated under reflux for 3 h then poured onto ice/water containing few drops of hydrochloric acid. The formed solid product was collected by filtration and crystallized to obtain orange crystals from ethanol, yield 70 % (1.44 g), m.p. = 225-228 °C. Anal. Calculated for C9H6N2O2S (206.22): C, 52.42; H, 2.93; N, 13.58; S, 15.55. Found: C, 52.59; H, 3.06; N, 13.69; S, 15.62. MS: m/e 206 (M+, 29 %), IR, υ: 3536-3440 (OH, NH), 3055 (CH, aromatic), 1631 (C=C). 1H-NMR (DMSO-d6, 200 MHz): δ= 6.03 (s, 1H, thiophene H-5), 7.30-7.37 (m, 3H, furan H), 8.28 (s,1H, D2O exchangeable, NH),10.16 (s, 1H, D2O exchangeable, OH).

2.7. General Procedure for the Synthesis of the Thiophene Derivatives (13a-c)

To a cold solution  (0-5 oC) of compound 3 (2.37g, 0.01 mol)   in ethanol (40 mL) containing sodium hydroxide (5 mL, 10 %) a solution of the aryl diazonium chloride [prepared by the addition of sodium nitrite solution (0.70 g, 0.01 mol, in 10 mL water) to a cold solution of either aniline (0.93 g, 0.01 mol), 4-chloroaniline (1.28 g, 0.01 mol) or 4-methoxyaniline (1.24 g, 0.01 mol)  dissolved in concentrated hydrochloric acid (8.0 mL)] was added with continuous stirring. The whole reaction mixture, in each case, was stirred at room temperature for 2h and the formed solid product was collected by filtration and crystallized from the suitable solvent.

2.7.1. Ethyl 2-amino-4-(furan-2-yl)-5-(phenyldiazenyl)thiophene-3-carboxylate (13a)

Orange crystals from ethanol, yield 84 % (2.86 g), m.p. = 189-192 °C.Anal. Calculated for C17H15N3O3S (341.38): C, 59.81; H, 4.43; N, 12.31; S, 9.39. Found: C, 59.88; H, 4.64; N, 12.53; S, 9.47. MS: m/e 341 (M+, 26 %), IR, υ: 3476, 3322  (NH2), 3054 (CH, aromatic), 1692 (CO),   1630 (C=C). 1H-NMR (DMSO-d6, 200 MHz):        δ= 1.13 (t, 3H, J = 6.91 Hz, CH3), 4.22 (q, 2H, J = 6.91 Hz, CH2), 4.76 (s, 2H, D2O exchangeable, NH2), 7.25-7.41 (m, 8H, C6H5, furan H). ). 13C NMR (DMSO) δ: 16.8 (ester CH3), 53.5 (ester CH2), 120.1, 120.6, 123.8, 124.2,  125.7, 128.8, 129.3, 131.3, 132.6, 133.2, 135.6, 139.4 (C6H5, thiophene, furan C), 164.1 (CO).

2.7.2. Ethyl 2-amino-5-((4-chlorophenyl)diazenyl)-4-(furan-2-yl)thiophene-3-carboxylate (13b)

Orange crystals from ethanol, yield 80 % (3.00g),   m.p. = 231-233 °C. Anal. Calculated for C17H14ClN3O3S (375.83): C, 54.33; H, 3.75; N, 11.18; S, 8.53. Found: C, 54.42; H, 3.80; N, 11.07; S, 8.73. MS: m/e 375 (M+, 32 %), IR, υ: 3487, 3322  (NH2), 3056 (CH, aromatic), 1693 (CO),   1631 (C=C). 1H-NMR (DMSO-d6, 200 MHz): δ= 1.15 (t, 3H, J = 7.17 Hz, CH3), 4.23 (q, 2H, J = 7.17 Hz, CH2), 4.73 (s, 2H, D2O exchangeable, NH2), 7.24-7.42 (m, 7H,  C6H4, furan H).

2.7.3. Ethyl 2-amino-4-(furan-2-yl)-5-((4-methoxyphenyl)diazenyl)thiophene-3-carboxylate (13c)

Orange crystals from ethanol, yield 70 % (2.60 g),   m.p. = 220-225 °C. Anal. Calculated for C18H17N3O4S (371.41): C, 58.21; H, 4.61; N, 11.31; S, 8.63. Found: C, 58.44; H, 4.52; N, 11.08; S, 8.73. MS: m/e 371 (M+, 22 %), IR, υ: 3485,  3429 (NH2), 3056 (CH, aromatic), 1689   (CO),   1636 (C=C). 1H-NMR (DMSO-d6, 200 MHz): δ= 1.13

(t, 3H, J = 7.15 Hz, CH3), 3.68 (s, 3H, CH3), 4.21 (q, 2H, J = 7.15 Hz, CH2), 4.68 (s, 2H, D2O exchangeable, NH2), 7.29-7.41 (m, 7H,  C6H4, furan H).

2.8. General Procedure for the Synthesis of the Thiophene Derivatives (15) and (17):

To a cold solution (0-5 oC) of compound 3 (2.37g, 0.01 mol) in acetic acid (30 mL) and hydrochloric acid (10 mL) a cold solution of sodium nitrite (0.70 g, 0.01 mol in water (5 mL) was added with continuous stirring. The formed intermediate diazonium salt was added to a cold solution of either ethyl cyanoacetate (1.13 g, 0.01mol) or acetylacetone (1.00 g, 0.01mol) in ethanol (50 mL) containing sodium hydroxide (5 mL, 10 %) with continuous stirring. The whole reaction mixture, in each case, was stirred at room temperature for 2h and the formed solid product was collected by filtration and crystallized from the suitable solvent.

2.8.1. Ethyl 2-(2-(1-cyano-2-ethoxy-2-oxoethylidene)hydrazinyl)-4-(furan-2-yl)thiophene-3-carboxylate (15)

Orange-red crystals from ethanol, yield 77 % (2.78 g),     m.p. 231-234 °C. Anal. Calculated for C16H15N3O5S (361.37): C, 53.18; H, 4.18; N, 11.63; S, 8.87. Found: C, 53.22; H, 3.92; N, 11.79; S, 8.92. MS: m/e 361 (M+, 20 %), IR, υ: 3487- 3336 (NH), 3055 (CH, aromatic), 2222 (CN), 1690, 1685 (2CO),   1632 (C=C).  1H-NMR, (DMSO-d6, 200 MHz):  δ = 1.12, 1.15 (2t, 6H, J = 7.01, 7.33 Hz, 2CH3), 4.21, 4.27 (2q, 4H, J = 7.01, 7.33 Hz, 2CH2), 6.02 (s, 1H, thiophene H-5), 7.29-7.46 (m, 3H, furan H), 8.30 (s, 1H, D2O exchangeable, NH).

2.8.2. Ethyl 2-(2-(2,4-dioxopentan-3-ylidene)hydrazinyl)-4-(furan-2-yl)thiophene-3-carboxylate (17)

Orange crystals from acetic acid, yield 80 % (2.78 g), m.p. 190-193 °C. Anal. Calculated for C16H16N2O5S (348.37): C, 55.16; H, 4.63; N, 8.04; S, 9.20. Found: C, 55.31; H, 4.51; N, 8.26; S, 8.94. MS: m/e   348 (M+, 28%), IR, υ: 3489- 3338  (NH), 3055  (CH, aromatic), 1693-1686  (3CO),   1636 (C=C). 1H-NMR, (DMSO-d6, 200 MHz): δ= 1.14 (t, 3H, J = 6.53 Hz, CH3), 2.66, 2.83 (2s, 6H, 2CH3), 4.23 (q, 2H, J = 6.53 Hz, CH2), 6.03 (s, 1H, thiophene H-5), 7.23-7.46 (m, 3H, furan H), 8.26 (s, 1H, D2O exchangeable, NH).

2.9. Ethyl 4-(furan-2-yl)-2-(3-phenylthioureido)thiophene-3-carboxylate (19)

To a solution of compound 3 (2.37, 0.01 mol)   in 1,4-dioxane (40 mL) containing triethylamine (0.50 mL), phenylisothiocyanate (1.35 g, 0.01 mol) was added. The reaction mixture was heated under reflux for 4 h then poured onto ice/water containing few drops of hydrochloric acid. The formed solid product was collected by filtration and crystallized to obtain Orange-red crystals from ethanol, yield 74 % (2.75 g), m.p. = 188-191 °C. Anal. Calculated for C18H16N2O3S2 (372.46): C, 58.04; H, 4.33; N, 7.52; S, 17.22. Found:  C, 57.92; H, 4.25; N, 7.60; S, 17.39. MS: m/e 372 (M+, 22 %), IR, υ: 3489- 3328  (2NH), 3055  (CH, aromatic), 1689 (CO),   1630 (C=C). 1H-NMR, (DMSO-d6, 200 MHz):  δ= 1.14 (t, 3H, J = 7.08 Hz, CH3), 4.22 (q, 2H, J = 7.08 Hz, CH2), 6.04 (s, 1H, thiophene H-5), 7.29-7.37 (m, 8H, C6H5, furan H), 8.27, 8.30 (2s, 2H, D2O exchangeable, 2NH). 13C NMR (DMSO) δ: 16.6 (ester CH3), 53.3 (ester CH2), 119.3, 120.8, 123.5, 124.6,  126.9, 128.8, 129.8, 131.2, 132.6, 133.0, 135.3, 139.1 (C6H5, thiophene, furan C), 163.8 (CO), 180.3 (C=S).

2.10. General Procedure for the Synthesis of Thienopyrimidine Derivatives (23a,b)

To a solution of compound 3 (2.79, 0.01 mol)   in acetic acid (40 mL) both of ethyl orthoformate (1.48, 0.01 mol) and either aniline (0.93 g, 0.01 mol) or 4-methylaniline (1.08 g, 0.01 mol) was added. The whole reaction mixture, in each case, was heated under reflux for 6 h then poured onto ice/water. The formed solid product was collected by filtration and crystallized from the suitable solvent.

2.10.1. 5-(Furan-2-yl)-3-phenylthieno[2,3-d]pyrimidin-4(3H)-one (23a)

Pale yellow crystals from acetic acid, yield 70 % (2.06 g), m.p. = 166-168 °C. Anal. Calculated for C16H10N2O2S (294.33): C, 65.29; H, 3.42; N, 9.52; S, 10.89. Found: C, 65.40; H, 3.28; N, 9.63; S, 10.63. MS: m/e 294 (M+, 18 %), IR, υ: 3063 (CH, aromatic), 1688  (CO), 1630 (C=C). 1H-NMR, (DMSO-d6, 200 MHz): δ= 6.04 (s, 1H, thiophene H-5), 6.91 (s, 1H, pyrimidine CH), 7.25-7.38 (m, 8H, C6H5, furan H). 13C NMR (DMSO) δ: 122.3, 124.2, 126.1, 127.4,  127.9, 128.2, 129.1, 131.7, 133.0, 133.2, 135.8, 137.2 (C6H5, thiophene, furan C), 164.8 (CO), 172.3 (C=N).

2.10.2. 5-(furan-2-yl)-3-(p-tolyl)thieno[2,3-d]pyrimidin-4(3H)-one (23b)

Yellow crystals from 1,4-dioxane, yield 68 % (2.09 g), m.p. = 205-208 °C. Anal. Calculated for C17H12N2O2S (308.35): C, 66.22; H, 3.92; N, 9.08; S, 10.40. Found: C, 66.41; H, 3.82; N, 8.89; S, 10.29. MS: m/e 308 (M+, 22 %), IR, υ: 3056 (CH, aromatic), 1691   (CO),   1631 (C=C). 1H-NMR, (DMSO-d6, 200 MHz): δ= 2.87 (s, 3H,CH3) , 6.03 (s, 1H, thiophene H-5), 6.82 (s, 1H, pyrimidine CH), 7.27-7.44 (m, 7H,  C6H4, furan H).
               
2.11. General Procedure for the Synthesis of Thiophene Derivatives (25a, b)

To a solution of compound 3 (2.37 g, 0.01 mol)   in dimethylformamide (40 mL) either ethyl cyanoacetate (1.13 g, 0.01 mol) or ethyl acetoacetate (1.30 g, 0.01 mol) was added. The reaction mixture, in each case, was heated under reflux for 3h then poured onto ice/water. The formed solid product was collected by filtration and crystallized from the suitable solvent.

2.11.1. Ethyl 2-(2-cyanoacetamido)-4-(furan-2-yl)thiophene-3-carboxylate (25a)

Yellow crystals from 1,4-dioxane, yield 77 % (2.34 g), m.p. 210-213 °C. Anal. Calculated for C14H12N2O4S (304.32): C, 55.25; H, 3.97; N, 9.21; S, 10.54. Found: C, 55.57; H, 3.84; N, 9.33; S, 10.39. MS: m/e 304 (M+, 24 %), IR, υ: 3583-3358 (NH), 3056 (CH aromatic), 2220 (CN), 1690, 1684  (2CO), 1630 (C=C). 1H-NMR, (DMSO-d6, 200 MHz): δ= 1.14 (t, 3H, J = 7.03 Hz, CH3), 3.83 (s, 2H,CH2), 4.23 (q, 2H, J = 7.03 Hz, CH2), 6.03 (s, 1H, thiophene H-5), 7.26-7.39 (m, 3H,  furan H), 8.30 (s, 1H, D2O exchangeable,NH).

2.11.2. Ethyl 4-(furan-2-yl)-2-(3-oxobutanamido)thiophene-3-carboxylate (25b)

Yellow crystals from 1,4-dioxane, yield 70 % (2.25 g), m.p. 177-180 °C. Anal. Calculated for C15H15NO5S (321.35): C, 56.06; H, 4.70; N, 4.36; S, 9.98. Found: C, 56.22; H, 4.58; N, 4.52; S, 10.18. MS: m/e 321 (M+, 28 %), IR, υ: 3484-3328 (NH), 3058 (CH, aromatic), 1692-1686  (3CO), 1630 (C=C). 1H-NMR, (DMSO-d6, 200 MHz): δ= 1.13 (t, 3H, J = 7.33 Hz, CH3), 2.87 (s, 3H, CH3), 4.96 (s, 2H, CH2), 4.23 (q, 2H, J = 7.33 Hz, CH2), 6.04 (s, 1H, thiophene H-5), 7.27-7.39 (m, 3H,  furan H), 8.32 (s, 1H, D2O exchangeable, NH).

2.12. Ethyl 2-(2-cyano-2-(2-phenylhydrazono)acetamido)-4-(furan-2-yl)thiophene-3-carboxylate (26)

To a cold solution (0-5 oC) of compound 25a (3.04 g, 0.01 mol)   in ethanol (40 mL) containing sodium hydroxide (5 mL, 10 %), a solution of benzenediazonium chloride [prepared by the addition of sodium nitrite solution (0.70 g, 0.01 mol, in 10 mL water) to a cold solution of aniline (0.93 g, 0.01 mol), dissolved in concentrated hydrochloric acid (8.0 mL)] was added with continuous stirring. The whole reaction mixture was stirred at room temperature for 2h. The formed solid product was collected by filtration and crystallized to obtain yellow crystals from 1,4-dioxane, yield 60 % (2.45 g), m.p. = 233-236 °C. Anal. Calculated for C20H16N4O4S (408.43): C, 58.81; H, 3.95; N, 13.72; S, 7.85. Found: C, 58.64; H, 3.72; N, 13.55; S, 7.94. MS: m/e 408 (M+, 26 %), IR, υ: 3449-3348 (2NH), 3053 (CH, aromatic), 2220 (CN), 1701, 1685  (2CO),   1630 (C=C). 1H-NMR, (DMSO-d6, 200 MHz): δ= 1.14 (t, 3H, J = 7.30 Hz, CH3),  4.23 (q, 2H, J = 7.30 Hz, CH2), 6.03 (s, 1H, thiophene H-5), 7.24-7.42 (m, 8H,  C6H5, furan H), 8.28, 8.36 (2s, 2H, D2O exchangeable, 2NH).

2.13. Ethyl 2-(2-cyano-3-phenylacrylamido)-4-(furan-2-yl)thiophene-3-carboxylate (27)

To a solution of compound 25a (3.04 g, 0.01 mol) in 1,4-dioxane (40 mL) containing piperidine (0.50 mL), benzaldehyde (1.08 g, 0.01 mol) was added. The reaction mixture was heated under reflux for 4 h then poured onto ice/water containing few drops of hydrochloric acid. The formed solid product was collected by filtration and crystallized to obtain yellow crystals from ethanol, yield 78 % (3.06 g), m.p. = 244-247 °C. Anal. Calculated for C21H16N2O4S (392.43): C, 64.27; H, 4.11; N, 7.14; S, 8.17. Found: C, 64.52; H, 4.06; N, 7.30; S, 8.25. MS: m/e 392 (M+, 22 %), IR, υ: 3480-3332 (NH), 3056 (CH, aromatic), 2987, 2890 (CH3, CH2), 2220 (CN), 1710, 1685 (2CO),   1632 (C=C).  1H-NMR, (DMSO-d6, 200 MHz): δ= 1.12 (t, 3H, J = 7.08 Hz, CH3),  4.24 (q, 2H, J = 7.08 Hz, CH2), 6.04 (s, 1H, thiophene H-5), 7.03 (s, 1H, CH=C),  7.24-7.39 (m, 8H,  C6H5, furan H), 8.33 (s, 1H, D2O exchangeable, NH).

2.14. Ethyl 4-(furan-2-yl)-2-(2-oxo-2H-chromene-3-carboxamido)thiophene-3-carboxylate (29)

To a solution of compound 25a (3.04g, 0.01 mol) in 1,4-dioxane (40 mL) containing piperidine (0.50 mL), salicylaldehyde (1.22 g, 0.01 mol) was added. The reaction mixture was heated under reflux for 4 h then poured onto ice/water containing few drops of hydrochloric acid. The formed solid product was collected by filtration and crystallized to obtain Yellow crystals from ethanol, yield 78 % (3.19 g), m.p. = 168-171 °C. Anal. Calculated for C21H15NO6S (409.41): C, 61.61; H, 3.69; N, 3.42; S, 7.83. Found: C, 61.83; H, 3.80; N, 3.51; S, 7.92. MS: m/e 409 (M+, 23 %), IR, υ: 3480-3348 (NH), 3054 (CH, aromatic), 2988, 2890 (CH3, CH2), 1706-1685 (3 CO),   1634 (C=C).    1H-NMR, (DMSO-d6, 200 MHz);    δ= 1.14 (t, 3H, J = 7.16 Hz, CH3),  4.23 (q, 2H, J = 7.16 Hz, CH2), 6.02 (s, 1H, thiophene H-5), 6.39 (s, 1H, coumarin H-4), 7.25-7.46 (m, 7H, C6H4, furan H), 8.30 (s, 1H, D2O exchangeable, NH).

2.15. General Procedure for the Synthesis of Thiophene Derivatives (31a,b)

To a solution of compound 25a (3.04 g, 0.01 mol) in 1,4-dioxane (40 mL) containing triethylamine (0.50 mL), either ethyl cyanoacetate (1.13 g, 0.01 mol) or malononitrile (0.66 g, 0.01 mol) was added. The reaction mixture, in each case, was heated under reflux for 4 h and the solid product formed upon pouring onto ice/water containing few drops of hydrochloric acid was collected by filtration and crystallized from the suitable solvent.

2.15.1. Ethyl2-(4-amino-3-cyano-6-hydroxy-2-oxopyridin-1(2H)-yl)-4-(furan-2-yl)thiophene-3 carboxylate (31a)

Yellow crystals from ethanol, yield 62 % (2.30 g), m.p. 155-158 °C. Anal. Calculated for C17H13N3O5S (371.37): C, 54.98; H, 3.53; N, 11.31; S, 8.63. Found: C, 54.79; H, 3.62; N, 11.49; S, 8.80. MS: m/e 371 (M+, 26 %), IR, υ: 3490-3370 (OH, NH2), 3055 (CH, aromatic), 2982, 2893 (CH3, CH2), 2220 (CN), 1706, 1686 (2CO), 1630 (C=C). 1H-NMR, (DMSO-d6, 200 MHz): δ= 1.13 (t, 3H, J = 6.05 Hz, CH3),  4.23 (q, 2H, J = 6.05 Hz, CH2), 4.82 (s, 2H, D2O exchangeable, NH2), 6.05 (s, 1H, thiophene H-5), 7.03 (s, 1H, pyridine H-5), 7.22-7.43 (m, 3H, furan H), 10.23 (s, 1H, D2O exchangeable, OH).

2.15.2. Ethyl 2-(4,6-diamino-3-cyano-2-oxopyridin-1(2H)-yl)-4-(furan-2-yl)thiophene-3-carboxylate (31b)

Yellow crystals from ethanol, yield 59 % (2.18 g),   m.p. = 130 °C. Anal.  Calculated for C17H14N4O4S (370.38): C, 55.13; H, 3.81; N, 15.13; S, 8.66. Found: C, 55.20; H, 3.58; N, 15.02; S, 8.72. MS: m/e 370 (M+, 22 %), IR, υ: 3480-3338 (2NH2), 3054 (CH, aromatic), 2989, 2883 (CH3, CH2), 2220 (CN), 1711, 1684  (2CO),   1630 (C=C). 1H-NMR, (DMSO-d6, 200 MHz): δ= 1.13 (t, 3H, J = 7.31 Hz, CH3),  4.24 (q, 2H, J = 7.31 Hz, CH2), 4.48, 4.71 (2s, 4H, D2O exchangeable, 2NH2), 6.05 (s, 1H, thiophene H-5), 7.03 (s, 1H, pyridine H-5), 7.24-7.42 (m, 3H, furan H).

2.16. General Procedure for the Synthesis of the Thiophene Derivatives (32a, b)

To a solution of  compound  25a (3.04, 0.01 mol) in 1,4-dioxane (40 mL) containing triethylamine (1.0 mL),  either of ethyl cyanoacetate (1.13g, 0.01 mol) or malononitrile (0.66 g, 0.01 mol)  and elemental sulfur (0.32 g, 0.01 mol) were added. The reaction mixture was heated under reflux for 1 h then left to cool. The solid product formed upon pouring onto ice/water containing few drops of hydrochloric acid was collected by filtration and crystallized from the suitable solvent.

2.16.1. Ethyl 2,4-diamino-5-((3-(ethoxycarbonyl)-4-(furan-2-yl)thiophen-2-yl)carbamoyl)thiophene-3-       carboxylate (32a)

Yellow crystals from ethanol, yield 73 % (3.28 g), m.p. 220-223°C. Anal. Calculated for C19H19N3O6S2 (449.50): C, 50.77; H, 4.26; N, 9.35; S, 14.27. Found: C, 50.82; H, 4.08; N,  9.44; S, 14.58. MS: m/e 449 (M+, 38 %), IR, υ: 3489-3358 (2NH2, NH), 3056 (CH, aromatic), 2993, 2887 (CH3, CH2), 1701-1685  (3CO),   1630 (C=C). 1H-NMR, (DMSO-d6, 200 MHz): δ= 1.12, 1.14 (2t, 6H, J = 6.83, 7.29 Hz, 2CH3),  4.21, 4.26 (2q, 4H, J = 6.83, 7.29 Hz, 2CH2) 4.41, 4.59 (2s, 4H, D2O exchangeable, 2NH2), 6.04 (s, 1H, thiophene H-5), 7.23-7.39 (m, 3H, furan H), 8.23 (s, 1H, D2O exchangeable, NH).

2.16.2. Ethyl 2-(3,5-diamino-4-cyanothiophene-2-carboxamido)-4-(furan-2-yl)thiophene-3-carboxylate (32b)

Yellow crystals from ethanol, yield 77 % (3.10 g), m.p. 190-192°C. Anal. Calculated for C17H14N4O4S2 (402.45): C, 50.74; H, 3.51; N, 13.92; S, 15.93. Found: C, 50.92; H, 3.48; N, 14.09; S, 16.28. MS: m/e 402 (M+, 22 %), IR, υ: 3493-3378 (2NH2, NH), 3055 (CH, aromatic), 2983, 2890 (CH3, CH2), 2221 (CN), 1716, 1686 (2CO),   1633 (C=C). 1H-NMR, (DMSO-d6, 200 MHz): δ= 1.13 (t, 3H, J = 7.26 Hz, CH3),  4.23 (q, 2H, J = 7.26 Hz, CH2), 4.40, 4.58 (2s, 4H, D2O exchangeable, 2NH2), 6.03 (s, 1H, thiophene H-5), 7.28-7.39 (m, 3H, furan H), 8.32 (s, 1H, D2O exchangeable, NH).

2.17. Antitumor Evaluations

2.17.1. Antitumor and Normal Cell Line Activity Tests

Reagents: Fetal bovine serum (FBS) and L-glutamine, were from Gibco Invitrogen Co. (Scotland, UK). RPMI -1640 medium was from Cambrex (New Jersey, USA). Dimethyl sulfoxide (DMSO), doxorubicin, penicillin, streptomycin and sulforhodamine B (SRB) were from Sigma Chemical Co. (Saint Louis, USA).

Cell cultures: Three human tumor cell lines, MCF-7 (breast adenocarcinoma), NCI-H460 (non-small cell lung cancer), and SF-268 (CNS cancer) were used. MCF-7 was obtained from the European Collection of Cell Cultures (ECACC, Salisbury, UK), NCI-H460, SF-268 and normal fibroblast cells (WI 38) were kindly provided by the National Cancer Institute (NCI, Cairo, Egypt). They grow as monolayer and routinely maintained in RPMI-1640 medium supplemented with 5% heat inactivated FBS, 2 mM glutamine and antibiotics (penicillin 100 U/mL, streptomycin 100 µg/mL), at 37°C in a humidified atmosphere containing 5% CO2. Exponentially growing cells were obtained by plating 1.5x105cells/mL for MCF-7 and SF-268 and 0.75x104cells/mL for NCI-H460, followed by 24 h of incubation. The effect of the vehicle solvent (DMSO) on the growth of these cell lines was evaluated in all the experiments by exposing untreated control cells to the maximum concentration (0.5%) of DMSO used in each  assay .

2.17.2. Tumor Cell Growth Assay

The effects of compounds on the in vitro growth of human tumor cell lines were evaluated according to the procedure adopted by the National Cancer Institute (NCI, USA) in the 'In vitro Anticancer Drug Discovery Screen' that uses the protein-binding dye sulforhodamine B to assess cell growth, cells growing in 96-well plates were then

exposed for 48 hr to five serial concentrations of each compound, starting from a maximum concentration of 150 µM. Following this exposure period adherent cells were fixed, washed, and stained. The bound stain was solubilized and the absorbance was measured at 492 nm in a plate reader (Bio-Tek Instruments Inc., Power wave XS, Wincoski, USA). For each tested compound and cell line, a dose–response curve was obtained and the inhibitory concentration of 50% (IC50), corresponding to the concentration of the compounds that inhibited 50% of the net cell growth was calculated as described elsewhere. Doxorubicin was used as a positive control and tested in the same manner .

2.17.3. Structure Activity Relationship

It is clear from Table 1 that some of the newly synthesized compounds showed high cytotoxicity towards the three cancer cell lines. The thiophene derivative 3 showed low potency. However, the acetyl derivative 5 showed high potency especially against MCF-7 and NCI-H460 cell lines. On the other hand, the Schiff’s base 7 showed low potency but the anilide derivative 9 showed high cytotoxicity and this was attributed to the presence of the CONHPh moiety. Reaction of compound 3 with hydrazine hydrate gave the pyrazole derivative 11 which showed a moderate potency. But upon the reaction of compound 3 with any of the aromatic diazonium salts 12a-c gave the arylazo derivatives 13a-c. It is obvious from Table 1 that compound 13b with the 4-chlorophenyl moiety showed high cytotoxicity. The reaction of the diazonium salt 14 with ethyl cyanoacetate gave the azo derivative 15 which showed a high potency towards the three cancer cell lines.  Compounds 17, 19, 23a, 23b and 25a showed low potency. It is of great value to notice that the thiophene derivative 25b with the COOEt moiety showed high potency towards the three cancer cell lines. Compounds 26, 27, 31b and 32a showed low potency while compounds 29, 31a and 32b showed moderate potency.

Table-1. Effect of compounds on the growth of the three human tumour cells

Compound
IC50 (µg L-1)
MCF-7
NCI-H460
SF-268
WI 38
3
64.29 ± 5.26
58.36 ± 822
48.40 ± 7.29
na
5
0.32 ± 0.06
0.86 ± 0.02
1.38 ± 0.69
68.11 ± 8.66
7
38.20 ± 1.36
32.69 ± 1.84
33.69 ± 3.50
28.81 ± 3.63
9
0.36 ± 0.20
0.83 ± 0.19
1.20 ± 0.66
70.45 ± 0.90
11
9.23 ± 1.69
12.61 ± 2.73
14.06 ± 2.69
na
13a
62.28 ± 6.53
60.51 ± 8.59
52.59 ± 6.80
na
13b
0.01 ± 0.008
0.02 ± 0.009
0.01 ± 0.003
na
13c
2.57 ± 1.26
13.50± 1.73
20.26 ± 5.73
na
15
0.06 ± 0.002
0.05 ± 0.008
1.53 ± 0.59
na
17
28.22 ± 2.73
38.8± 4.77
20.53 ± 4.62
na
19
30.27 ± 5.80
32.58 ± 11.41
29.36 ± 4.28
na
23a
16.84 ± 2.63
21.49 ± 3.69
30.37 ±  2.43
na
23b
38.22 ± 4. 18
39.03 ± 8.01
22.59 ± 4.01
na
25a
18.12 ± 2.36
12.74 ± 2.41
6.64 ± 1.34
77.32 ± 6.89
25b
3.80 ± 0.42
0.67 ± 0.31
1.39 ± 0.28
na
26
20.47 ± 2.64
26.8 ± 4.72
18.3 ± 2.63
na
27
33.61 ± 8.15
40.32 ± 12.43
30.40 ± 2.83
na
29
1.63 ± 0.88
0.68 ± 0.20
6.09 ± 1.87
na
31a
3.85 ± 1.39
18.62 ± 1.59
22.57 ± 2.51
na
31b
18.42 ± 3.52
18.42 ± 3.52
22.95 ± 0.46
72.77 ± 8.16
32a
12.48 ± 2.59
10.73 ± 3.61
18.09 ± 4.66
na
32b
6.08 ± 1.32
8.26 ± 2.44
8.39 ± 1.59
na
Doxorubicin
0.04 ± 0.008
0.09±0.008
0.09±0.007
> 100

Source: National Cancer Institute, Cairo, A. R. Egypt

Results are given in concentrations that were able to cause 50 % of cell growth inhibition (GI50) after a continuous exposure of 48 hr and show means ± SEM of three-independent experiments performed in duplicate.

3. RESULTS AND DISCUSSION

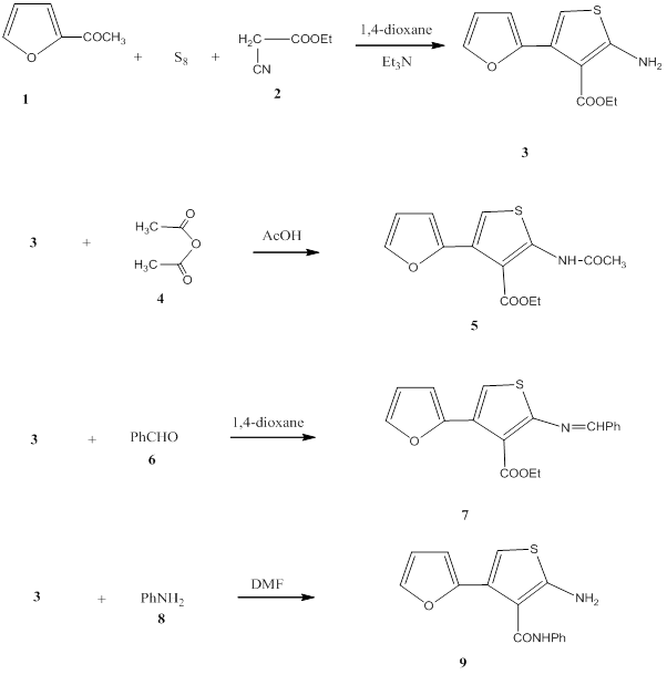
In the present work we started with 2-acetylfuran (1) as the key starting material. Thus, the reaction of 2-acetylfuran (1) with elemental sulfur and ethyl cyanoacetate (2) gave the thiophene derivative 3. The structure of compound 3 was based on analytical and spectral data. Thus, the 1H-NMR spectrum showed the presence of a triplet at δ1.13 ppm for the ester CH3 group, a quartet at δ 4.22 ppm for the ester CH2 group, a singlet (D2O exchangeable) at δ 4.82 ppm for the NH2 group, a singlet at δ 6.04 ppm for the thiophene H-5 and a multiplet at δ 7.31-7.38 for the furan protons. Further confirmation for the structure of compound 3 was obtained through studying its reactivity towards some chemical reagents.

Thus, the reaction of compound 3 with acetic anhydride (4) and acetic acid gave the 2-acetamidothiophene derivative 5. Moreover, the reaction of compound 3 with benzaldehyde (6) gave the Schiff’s base 7. The analytical and spectral data of compounds 5 and 7 were based on their respective analytical and spectral data (see experimental section). In addition, the reaction of compound 3 with aniline (8) gave the anilide derivative 9, (Scheme1).

The reaction of compound 3 with hydrazine hydrate (10) gave the thieno[2,3-c]pyrazole derivative 11. The latter product was formed through the first formation of the hydrazide derivative followed by ammonia elimination. The structure of compound 11 was based on the analytical and spectral data. Thus, the 1H-NMR spectrum   showed the presence of a singlet a δ 6.03 ppm indicating the presence of the thiophene H-5, a multiplet at δ 7.30-7.37 ppm for the furan protons and two singlets (D2O exchangeable) at δ 8.28, 10.16 ppm for the NH and OH groups, respectively.

The C-5 of compound 3 reacted with any of benzenediazonium chloride (12a), 4-chlorobenzenediazonium chloride (12b) or 4-methoxybenzenediazonium chloride (12c) in ethanol containing sodium hydroxide solution to give the corresponding arylazo derivatives 13a-c, respectively (Scheme 2). 

On the other hand, the 2-amino group present in compound 3 is capable for diazotization. Thus, the cold solution (0-5 ºC) of compound 3 in acetic/hydrochloric acid reacted with sodium nitrite solution to give the intermediate 2-diazonium salt 14. The latter coupled with either ethyl cyanoacetate (2) or acetylacetone (16) to afford the hydrazo derivatives 15 and 17, respectively. On the other hand, the 2-amino group in compound 3 reacted with phenylisothiocyanate (18) to give the 2-N-phenylthiourea derivative 19 (Scheme 3).

Next we moved towards studying the reactivity of compound 3 towards the reaction with ethyl orthoformate followed by condensation reactions. Thus, compound 3 reacted with ethyl orthoformate (20) and either aniline (21a) or p-toluidine (21b) in acetic acid solution to give the thieno[2,3-d]pyridine derivatives 23a and 23b, respectively. The reaction took place through the intermediate formation of the 2-alkylatedaminothiophene derivative 22a, b. The structure of compounds 23a and 23b was based on the analytical and spectral data. The reaction of compound 3 with either ethyl cyanoacetate (2) or ethyl acetoacetate (24) gave the 2-amido derivatives 25a and 25b, respectively. The analytical and spectral data of compounds 25a, b was consistent with their respective structures (see experimental section). Compound 25a reacted with benzenediazonium chloride in ethanolic sodium hydroxide solution to give the phenylhydrazo derivative 26 (Scheme 4).

Furthermore, compound 25a reacted with benzaldehyde (6) in piperidine solution to give the benzylidene derivative 27.  On the other hand, compound 25a reacted with salicylaldehyde (28) to give the coumarin derivative 29.

Our research program was directed towards the uses of compound  25a towards the synthesis of pyridine derivatives with potential biological activities [15]. Thus, the reaction of compound 25a with either ethyl cyanoacetate (2) or malononitrile (30) gave the pyridine derivatives 31a and 31b, respectively. Compound 25a reacted with elemental sulfur and either of ethyl cyanoacetate (2) or malononitrile (30) to give the thiophene derivatives 32a and 32b, respectively (scheme 5). The analytical and spectral data of the latter products are in agreement with their respective structures. Thus, the 1H-NMR spectrum of compound  32a (as an example) showed The presence of two triplets at δ  1.12, 1.14 ppm equivalent to the two ester CH3 groups, two quartets at δ 4.21, 4.26 ppm for the two ester CH2 groups, two singlets (D2O exchangeable) at δ 4.41, 4.59 ppm indicating the two NH2 groups, a singlet at δ 6.04 ppm equivalent to  the thiophene  H-5 proton, a multiplet at δ7.23-7.39 ppm for the furan protons and a singlet (D2O exchangeable) at δ 8.23 ppm for the NH group.

4. CONCLUSION

The work described here concerned with the synthesis of thiophene derivatives starting from 2-acetylfuran followed by studying of the chemical transformations through the thiophene ring system. The screening of the resulting compounds towards three cancer cell lines showed that compound 13b gave the maximum inhibitory effect among the synthesized products.

Scheme-1. Chemical Structure and Synthesis of compounds 3,5,7 and 9

Scheme-2. Chemical Structure and Synthesis of compounds 11 and 13a-c

Scheme-3. Chemical Structure and Synthesis of 15, 17 and 19

Scheme-4. Chemical Structure and Synthesis of compounds 23a,b 25a,b and 26

Scheme-5. Chemical Structure and Synthesis of compounds27, 29, 31a,b and 32a,b

Funding: This study received no specific financial support.

Competing Interests: The authors declare that they have no competing interests.

Contributors/Acknowledgement: All authors contributed equally to the conception and design of the study.

REFERENCES

[1]          I. Stolić, K. Mišković, I. Piantanida, M. B. Lončar, L. Glavaš-Obrovac, and M. Bajić, "Synthesis, DNA/RNA affinity and antitumour activity of new aromatic diamidines linked by 3, 4-ethylenedioxythiophene," European Journal of Medicinal Chemistry, vol. 46, pp. 743-755, 2011. View at Google Scholar | View at Publisher

[2]          L. Brault, E. Migianu, A. Néguesque, E. Battaglia, D. Bagrel, and G. Kirsch, "New thiophene analogues of kenpaullone: Synthesis and biological evaluation in breast cancer cells," European Journal of Medicinal Chemistry, vol. 40, pp. 757-763, 2005. View at Google Scholar | View at Publisher

[3]          G. Dannhardt, W. Kiefer, G. Krämer, S. Maehrlein, U. Nowe, and B. Fiebich, "The pyrrole moiety as a template for COX-1/COX-2 Inhibitors," European Journal of Medicinal Chemistry, vol. 35, pp. 499-510, 2000. View at Google Scholar | View at Publisher

[4]          G. L. Grunewald, M. R. Seim, S. R. Bhat, M. E. Wilson, and K. R. Criscione, "Synthesis of 4,5,6,7-tetrahydrothieno [3,2-c]pyridines and comparison with their isosteric 1,2,3,4-tetrahydroisoquinolines as inhibitors of phenylethanolamine N-methyltransferase," Bioorganic and Medicinal Chemistry, vol. 16, pp. 542-559, 2008. View at Google Scholar | View at Publisher

[5]          C. A. Hargreaves, G. Sandford, R. Slater, D. S. Yufit, J. A. K. Howard, and A. Vong, "Synthesis of tetrahydropyrido [2,3-b]pyrazine scaffolds from 2,3,5,6-tetrafluoropyridine derivatives," Tetrahedron, vol. 63, pp. 5204-5211, 2007. View at Google Scholar | View at Publisher

[6]          N. M. Evdokimov, A. S. Kireev, A. A. Yakovenko, M. Y. Antipin, I. V. Magedov, and A. Kornienko, "Convenient one-step synthesis of a medicinally relevant benzopyranopyridine system," Tetrahedron Letters, vol. 47, pp. 9309-9312, 2006. View at Google Scholar | View at Publisher

[7]          H. Benmansour, R. D. Chambers, G. Sandford, A. S. Batsanov, and J. A. K. Howard, "Polyhalogenoheterocyclic compounds: Part 54: [1] Suzuki reactions of   2,4,6-tribromo-3,5-difluoropyridine," Journal of Fluorine Chemistry, vol. 128, pp. 718-722, 2007. View at Google Scholar 

[8]          V. Dehlinger, F. Cordier, C. P. Dell, N. Dreyfus, N. Jenkins, A. J. Sanderson, and C. W. Smith, "A convenient microwave-assisted arylstannane generation-Stille coupling protocol," Tetrahedron Letters, vol. 47, pp. 8973-8976, 2006. View at Google Scholar | View at Publisher

[9]          S. D. Sharma, P. Hazarika, and D. Konwar, "A simple, green and one-pot four-component synthesis of 1,4-dihydropyridines and their aromatization," Catalysis Communication, vol. 9, pp. 709-714, 2008. View at Google Scholar | View at Publisher

[10]        S. M. Lukyanov, I. V. Bliznets, S. V. Shorshnev, G. G. Aleksandrov, A. E. Stepanov, and A. A. Vasil'ev, "Microwave-assisted synthesis and transformatios of sterically hindered 3-(5-tetrazolyl) pyridines," Tetrahedron, vol. 62, pp. 1849-1863, 2006. View at Google Scholar | View at Publisher

[11]        G. Pourrieux, F. Fagalde, N. E. Katz, T. Parella, J. Benet-Buchholz, and A. Llobet, "Synthesis, spectroscopic and electrochemical characterization and molecular structure of polypyridyl ruthenium complexes containing 4,4'-azobis(pyridine)," Polyhedron, vol. 27, pp. 2990-2996, 2008. View at Google Scholar | View at Publisher

[12]        R. Menegatti, G. M. S. Silva, G. Zapata-Sudo, J. M. Raimundo, R. T. Sudo, E. J. Barreiro, and C. A. M. Fraga, "Design, synthesis, and pharmacological evaluation of new neuroactive pyrazolo [3,4-b]-pyrrolo[3,4-d] pyridine derivatives with in vivo hypnotic and analgesic profile," Bioorganic and Medicinal Chemistry, vol. 14, pp. 632-640, 2006. View at Google Scholar | View at Publisher

[13]        B. Cekavicus, B. Vigante, E. Liepinsh, R. Vilskersts, A. Sobolev, S. Belyakov, A. Plotniece, K. Mekss, and G. Duburs, "Benzo [b] thiophen-3(2 H)-one 1,1-dioxide - a versatile reagent in the synthesis of spiroheterocycles," Tetrahedron, vol. 64, pp. 9947-9952, 2008. View at Google Scholar | View at Publisher

[14]        T. H. Al-Tel, R. A. Al-Qawasmeh, and R. Zaarour, "Design, synthesis and in vitro antimicrobial evaluation of novel imidazo [1,2- a] pyridine and imidazo [2,1- b][1,3] benzothiazole motifs," European Journal of Medicinal Chemistry, vol. 46, pp. 1874-1881, 2011. View at Google Scholar | View at Publisher

[15]        P. Skehan, R. Storeng, D. Scudiero, A. Monks, J. McMahon, D. Vistica, J. T. Warren, H. Bokesch, S. Kenny, and M. R. Boyd, "New colorimetric cytotoxicity assay for anticancer-drug screening," Journal of the National Cancer Institute, vol. 82, pp. 1107-1122, 1990. View at Google Scholar | View at Publisher

Views and opinions expressed in this article are the views and opinions of the author(s), International Journal of Chemistry and Materials Research shall not be responsible or answerable for any loss, damage or liability etc. caused in relation to/arising out of the use of the content.