Index

Abstract

Bangladesh has been referred to as “the birthplace (and sometimes as the 'Mecca') of microfinance all over the world. However, there are very few studies that investigate the efficiency of this industry. This paper aims to find the efficiency of the top 10 (in terms of market share) Microfinance Institutions (MFIs) of Bangladesh. The data were collected from secondary sources and annual reports of the 10 MFIs were used extensively.  Data Envelopment Analysis (DEA) method was used to measure the efficiency of those MFI and regression analysis to test the hypothesis. The DEA method measures efficiency by analyzing the inputs and outputs. The inputs for this paper were the number of employees (NE), Fixed Asset (FA) and Operating Expenses (OE) of each MFI. Based on these inputs, DEA measures the efficiency by comparing the outputs. The outputs were the amount of Loan Outstanding (LO) and Deposits of Members (DM) of each firm. This method not only measures the efficiency but also provides recommendation to minimize the inputs and maximize the outputs. The result of this study reveals that only 30% of the top 10 MFIs are operating with their full potential and their average efficiency rate is 65.5%. MFIs that are not operating under their optimal size, they have a 94.9% of average efficiency rate. However, it was found that in terms of collecting deposits, 60% of the top 10 MFIs are efficient whereas, only 10% are efficient in terms of disbursing loans.

Keywords: Microfinance, Efficiency, Bangladesh, Data envelopment analysis, (DEA), Input, Output.

Received: 22 January 2020 / Revised: 26 February 2020 / Accepted: 30 March 2020/ Published: 17 April 2020

JEL Classification:G21.

Contribution/ Originality

This study documents by focusing on the efficiency of some of the leading MFIs, who are campaigning that they are working for poor women, but are seemed to be inefficient and having public perceptions that these MFIs have their own agenda of making wealth in the name of helping poor.


1. INTRODUCTION

Bangladesh is known as the hub of microfinance institutions (MFIs) and many countries around the world have replicated the model to spread financial inclusion in their particular countries (Hossain & Bayes, 2015). The concept of microfinance/microcredit was introduced in our country by Professor Muhammad Yunus. The approach of lending to the poor without any collateral was pioneered in August 1976. He later on turned this project into Grameen Bank in 1983. As the concept was new in our country, Dr. Yunus demonstrated microfinance as a safe lending service. The rate of recovery is higher, and the borrowers return the money even there is no collateral needed to take the service. The success of this plan and its subsequent conversion into a bank led to the proliferation of microcredit institutions to grab the microcredit opportunity in Bangladesh. As a result, Bangladesh has appeared as the “cradle of the microcredit movement” (Develtere & Huybrechts, 2005) and is now commonly regarded as a mature microcredit market (Bagazonzya, Safdar, Abdullah, Niang, & Rahman, 2010).

The microcredit market in Bangladesh has gain incredible exposure in last three decades and it has showed that poor people are credit worthy and they repay loan regularly. The market which was essentially credit service for the poor has added other financial services (e.g. insurance, savings, financial transfers etc.) and recognized itself a dominant industry which works as alternative to the expensive informal credits and fill the gaps in the formal credit division. The expansion of microfinance was introduced based on the principle of financial inclusion of the poor and making the industry sustainable. These dual objectives to reach credit operations to the rural households and make the microcredit industry financially viable put the market in a competitive position (Wahid, Hasan, & Rabbani, 2015). However, the outreach- sustainability trade off can be achieved successfully by appropriate targeting and better designing of the microcredit services. Banking with the poor needs effective targeting and risk mitigating tactics. Many lending methods were tried initially in this sector and the group-based approach was proved to be the most successful. Despite of its positive impact, microcredit has been criticized recently almost all over the world largely by the policy makers for its higher rate of return than usual banking. According to those critics, this imbalance between the formal banking and microfinance service is contributing to higher indebtedness of debtors and facing peer pressure of loan collection (Duvendack et al., 2011).

Many countries around the world have already adopted the Micro Credit model of Bangladesh. If a research can be done with a bigger sample size, the impact of the result would have been more effective. As a result, the countries that have already adopted our model and the countries which are looking for adopting it can be beneficial with the research. Even the existing MFIs could conduct such research to measure their efficiency and take necessary steps according to the results of the research. Furthermore, the model (Data Envelopment Analysis) that has been used to conduct this study can be very useful to measure the efficiency of various industries/institutions. This model can provide a concrete idea of how efficient an industry/institution is. This model can also be used to make comparison among different industries/institutions.

2. LITERATURE REVIEW

Microfinance has positive (Imai & Azam, 2012; Imai, Gaiha, Thapa, & Annim, 2012; Khandker, 2005; Mazumder & Lu, 2015; Quayes, 2012, 2015; Swain & Floro, 2012) and negative or no effect on clients level (Bateman, 2012; Ghosh, 2013; Morduch, 1999, 2000; Roodman & Morduch, 2014).

Mosley and Hulme (1998) conducted a study on 13 MFIs in 7 developing countries (Bangladesh, India, Srilanka, Indonesia, Bolivia, Malawi and Kenya). They stated that income and assets of the borrowers had increased because of the MF and also found that those households that have higher income than the poverty line had experienced higher impact of MF than the households living under the poverty line.

Khandker (2000) evaluated the impact of MF/MC on saving and found that it increased voluntary savings. However, savings of women was affected more than that of men. Ahmed, Adams, Chowdhury, and Bhuiya (2000) observed the effect of BRAC’s “Integrated Rural Development Program” (IRDP) on gender equity. They discovered that the prevalence of mobility was low among BRAC members’ households compared to non-members.

Zaman (1999) evaluated (for BRAC borrowers in Bangladesh) the influence of MC on poverty mitigation and women empowerment and found positive effect on income, decision making ability and in reducing gender disparity.

Khandker (2003) conducted a study on the MF/MC borrowers of GB, BRAC and BRDB. He discovered that households that were extremely poor in landholding and formal education have a tendency to avail more microfinance help to reduce extreme poverty than reasonable poverty. The welfare effect was also positive for all households receiving credit.

Chowdhury and Bhuiya (2004) also found the impact of microfinance programs on the Bangladeshi borrowers under the Bangladesh Rural Advance Comission (BRAC) program and concluded with a positive effect on human welfare, survival rate and schooling of children.

On the other hand, recently, in Bangladesh and India in specific, scholars and media have accused some of the MFIs that constantly apply coercive actions for debt repayment, which has resulted in suicide in India (Sriram, 2012) as well as organ (body part) selling (BDNews24 2013) and the compromise of borrowers’ overall welfare (Hussain, 2010) in Bangladesh. For this reason, MF or MC has lost its moral acceptance, not only due to its nonconformity from its stated social mission, but also due to its coercive nature, which comprises sexual harassment, violent threat, public disgrace, verbal exploitation and seizure of borrowers’ personal assets (Hulme & Maitrot, 2014).

Technology had been playing a vital role on the productivity (TFP) growth in MFIs. Researchers found the mean efficiency of microfinance firms to be 0.765, which infers that MFIs could have produced 23.5% more with the existing levels of input packages if they had been fully efficient (Bairagi, 2014). Quayes and Khalily (2013) also evaluated that the size of the MFI matters and larger MFIs are more efficient compared to the smaller MFIs. Amongst the big three, Grameen Bank and ASA are very close to the efficient frontier.

A new book published by the World Bank titling “Beyond Ending Poverty” (Khandker, Khalily, & Samad, 2016) reveals that microfinance institutions in Bangladesh had been playing a vital role for over two decades in dropping the rate of poverty and increasing the incomes. It’s also found that microcredit had been accounted for about 10 percent reduction in rural poverty in Bangladesh over that time (1991-92 to 2010-11). On another study, it was revealed that Bangladesh has made remarkable progress in her socio-economic and economic development in the last few decades.

According to Mia (2017) MF industry has placed significant contribution on such socio-economic development. While MF industry observed extraordinary growth domestically, however, the regulatory framework is still rather weak, and most of the MFIs are found to be concentrated in the well-off areas (e.g., Dhaka, Chittagong etc.). Besides this, Grameen Bank Microcredit lending model has experienced explosive growth here and elsewhere and has given hope to billions of poor and lower middle-class people. This industry is playing a vital role to alleviate poverty of our country by giving the opportunity to the poor and lower middle-class people to generate income.
The management system of this industry has overcome the structural problems of targeting and providing financial services to millions of poor people (Rahman, 2019).

Microfinance has taken its position in much of the world. The unique about Bangladesh is the size of the borrowers,   which   is   more   than   80   lakhs   (8   millions) (The Daily Star, 2019).   Another distinctive thing about microfinance in Bangladesh is that about 90 percent of borrowers are women. Women in Bangladesh are very much well- organized and able to repay the loans on time. When a woman's income increases, she will use most of her earnings to   social impact than to men and women are the agents of change in society. Given the large scale operation in Bangladesh, and given that these MFIs are working for women empowerment, we do not know the efficiency of those organizations as there were some public perceptions that these MFIs have their own agenda of making wealth in the name of helping poor. Unfortunately, there is no empirical research so far to investigate the efficiency of these originations. So there is a gap in the literature about this area of research. Thus our research would bridge some of the gaps in the literature.

2.1. Research Questions

2.2. Research Hypothesis

As the main function of an MFI is to disburse loans and collect deposits, the amount of Loan Outstanding (LO) and the amount of Deposit collection from their Members (DM) are used as the key performing indicators. The following hypothesis are used to conclude the results:

H1: There is association between the Number of Employee (NE) and Loan Outstanding (LO).

H2: There is association between the Fixed Asset (FA) and Loan Outstanding (LO).

H3: There is association between the Operating Expense (OE) and Loan Outstanding (LO).

H4: There is association between the Number of Employee (NE) and Deposit of Member (DM).

H5: There is association between the Fixed Asset (FA) and Deposit of Member (DM).

H6: There is association between the Operating Expense (OE) and Deposit of Member (DM).

3. METHODOLOGY

A quantitative approach was taken to conduct the study. The data was collected from secondary data sources. For the purpose of the study, 10 micro finance were taken into consideration. They are- Grameen Bank, BRAC, ASA, Buro Bangladesh, TMSS, Society for Social Service, Jagoroni Chakra Foundation, Sajida foundation, Padakkhep Manabik Unnayan Kandra and UDDIPAN. All the institutions except Grameen Bank are licensed by the Microcredit Regulatory Authority (MRA). All the data were collected from the respective institutions’ annual reports, websites, MRA website and various online sources.
The software STATA (version 15.0) was used to test the hypothesis. The Data Envelopment Analysis (DEA) model was used to find the efficiency and some other analysis (e.g. regression analysis, mean etc.) were used to find the association between the variables.

Variable declaration: The amount of Loan Outstanding (LO) and Deposit of Members (DM) as the dependent/output variables, and Number of Employee (NE), Fixed Asset (FA) and Operating Expense (OE) as the independent/input variables are chosen.

Estimation method: We evaluated the relative efficiency of top 10 MFIs (according to (MRA) Microcredit Regulatory Authority) including Grameen Bank in 2018-2019. The term “relative efficiency” refers to attained efficiency of evaluated production unit (MFI) within the group of evaluated production units (top 10 MFIs). Here, we compared the relative efficiency of each from the top 10 MFIs and the average efficiency of them. According to classical microeconomic theory, there are three approaches to measure the inputs & outputs of a financial organization (Assessing output and productivity growth in the banking industry, 2008):

  1. The production approach.
  2. The intermediation approach.
  3. The user-cost approach.

For evaluating the relative efficiency, the “production approach” which was initially developed by Benston (1965) and Bell and Murphy (1968) was used. This approach supports the view that banks (financial institutions) produce (outputs) several categories of loans (LO) and deposits (DM), using labor (NE) and capital (FA) as inputs. According to Benston, Hanweck, and Humphrey (1982) “output should be measured in terms of what banks do and create operating expenses (OE) to be incurred”.

Data Envelopment Analysis is used to find a best practice group of units and to determine which units are inefficient compared to the best practice groups and to show the extent of the inefficiencies present. From the set of available data, DEA models identify (Kočišová, 2013):

Recommendation for each inefficient DMU, it means the target values of inputs and outputs (projection on the efficiency frontier).

Data envelopment analysis (DEA) was initially developed by Charnes, Cooper, and Rhodes (1978).  Sherman and Gold (1985) applied DEA to banking as the first. DEA calculates the relative efficiency scores of various Decision-Making Units (DMUs) in a particular sample. The DMUs could be MFI industry, MF institutions or branches of any MFI. DEA compare each of MFI industry, MFI institutions or branches of any MFI in the sample with the best practice in the sample. This way it can be found, which of the DMUs in the sample are efficient and which aren’t.

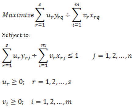
In this study the units of analysis are MFIs. Consider n MFIs (DMUj, j=1,2,...,n), each consumes m different inputs (xij, i=1,2,...,m) to produce s different outputs (yrj, r=1,2,...,s). The matrix of inputs is marked as follows X = (xij, i=1,2,…,m; j=1,2,…,n) and the matrix of outputs Y = (yrj, r=1,2,…,s; j=1,2,…,n). Since the used inputs and produced outputs have different level of significance for each production unit (MFI), they have different weights. The advantage of DEA models is that the weights of used inputs and produced outputs are result of the solving optimization of linear programming problem and aren’t allocated on the basis of subjective perception. The optimal weights are obtained by solving following mathematical programming problem:

\

where: ur is optimized weight of rth output (r=1,2,...,s), vi is optimized weight of ith input (i=1,2,...,m), yrq is produced amounts of rth output (r=1,2,...,s) for DMUq, xiq is consumed amounts of ith input (i=1,2,...,m) for DMUq, yrj is produced amounts of rth output (r=1,2,...,s) for DMUj (j=1, 2,...,n), xij is consumed amounts of ith input (i = 1,2,...,m) for DMUj (j=1, 2,...,n).

This functional linear program has two models:

CCR (Charnes, Cooper and Rhodes) model.

BCC (Banker, Charnes, Cooper) model.

The CCR model assumes that the DMUs are operating under the condition of their optimal size (constant return to scale). But what if the DMUs are not operating under their optimal size? BCC model comes here as the solution of this problem. This model assumes that the DMUs are not operating udder their optimal size (variable return to scale). However, both the models have two sub models:

Input oriented model (provides recommendation for the input minimization).

Output oriented model (provides recommendation for output maximization).

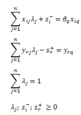
The efficiency of a particular DMUq can be obtained by solving the linear programming programs. Input oriented model with slack variables, which assumes variable return to scale (BCC model), can be defined as follow (Yang, 2006):

Subject to:

Where: θq is efficiency of DMUq, ε is non-Archimedean constant (10–6 or 10–8 ), sr+ and si– are input or output slacks, λj is weight assigned to the DMUj (j=1,2,…,n).

Performing a DEA analysis in fact requires solving of n linear programming problems of the above form, one for each DMU. DMUq is termed fully efficient if and only if the optimal value θq=1 and all the slack variables are equal to zero. If θq=1, but slack variables aren’t equal to zero we can talk about the “pseudo-efficiency”. If the slack variables are equal to zero but θq<1, then the value θq signalizes the inefficiency. This inefficiency can be eradicated by proportional (radial) reduction in all inputs of DMUq by (1–θq)100% and thus achieve the shift on the efficiency frontier. If the slack variables aren’t equal to zero and θq < 1, to attain efficiency is necessary also the non-radial shift expressed by slack variables.

4. FINDINGS & ANALYSIS

As various mathematical & statistical test was used to measure the efficiency, all those results are summarized below with proper explanation.

Table-1 . Descriptive statistics.

Variables
Observation
Mean
Std. Dev.
Min
Max
NE
10
18691.4
29315.53998
3014
103934
FA (in Million)
10
1549.4
1259.840085
351
4362
OE (in Million)
10
7337.8
8602.119016
1267
29599
LO (in Million)
10
67152.4
72799.1943
8441
207978
DM (in Million)
10
35319.4
48455.82925
3656
157137

Table 1 summarizes the dependent variables: Loan Outstanding (LO), Deposits of Members (DM) and the independent variables: Number of Employee (NE), Fixed Asset (FA), and Operating Expense (OE).

Table-2. Overall efficiency analysis.

Particulars
CCR Model
BCC Model
Number of DMUs
10
10
Number of efficient DMUs
3
8
%
30.00%
80.00%
Minimum
0.43
0.56
Maximum
1
1
Average efficiency (M)
65.50%
94.90%
Standard deviation (σ)
0.2327338
0.1313354

Among the 10 DMUs (MFIs) from the above Table 2, we found 3 and 8 of them as CCR and BCC efficient respectively. That’s mean, only 30% of the MFIs can operate under their optimal size. However, 80% MFIs are operating efficiently although they cannot operate under their optimal size.

The minimum efficiency levels that are found for CCR and BCC models are 0.43 and 0.56 respectively. Which indicates, if the MFI that has the least efficiency could operate under its full potential, it’d need to reduce its input by 57% (100-43) and if it cannot operate under its optimal size, it’d need to decrease its input by 44% (10-56).

The overall efficiency of the MFI industry (considering the 10 MFIs as the sample) is 65.50% under CCR model and 94.90% under BCC model.

Table-3. Efficiency Analysis for each variable.

Slack Variables
 
islack (Input Slack Variable)
oslack (Output Slack Variable)
NE
FA
OE
LO
DM
Count of Slack = 0
2
3
5
1
6

Table 3 shows the number of DMUs that have a slack variable equal to 0. This indicates that they are efficient in the respective sector (i.e. NE, DM etc.).

Only 2 (BRAC & UDDIPAN) out of 10 MFIs are efficiently using their human resource and only 3 (Grameen Bank, BRAC & Buro Bangladesh) out of 10 MFIs are efficiently using their Fixed Asset (property, plant & equipment). When it comes to operating expense, 50% of the MFIs are utilizing their operational expenses.

However, in terms of output maximization, only 1 (Jagoroni Chakra Foundation) MFI out of 10 is able to distribute the maximum amount of loan using the inputs but when it comes to collecting deposits from their members, 60% MFIs are able to collect the maximum amount of deposits using the inputs.

Table-4. Regression Analysis (Loan Outstanding).

LO
Coefficients
Standard Error
P-value
Sig. (P < 5%)
Intercept
4749.187462
18270.47248
0.803601508
NA
NE
-1.40929025
1.123254834
0.256265115
NA
FA
-2.3389071
12.00237451
0.851925551
NA
OE
12.58806768
3.418700322
0.010304682
NA
Adjusted R Square
0.842102
Significance F
0.002449

Table 4 indicates that the amount of Loan Outstanding (LO) has a negative correlation with the Number of employee (NE) and Fixed Asset (FA), and it has a positive correlation with the Operating Expense (OE). The adjusted R square value of 0.84 indicates that 84% of the dependent variable is explained by the independent variables and the significance F of 0.0024 indicates that there is only 0.24% probability of being the regression model wrong.

Table-5. Regression analysis (Deposits of Members).

DM
Coefficients
Standard Error
P-value
Sig. (P < 5%)
Intercept
-9622.989099
8155.270021
0.282670023
NA
NE
-3.469468214
0.501379835
0.00045076
Significant
FA
-0.356097209
5.357420566
0.949164675
NA
OE
15.03766037
1.525982663
0.00006297
Significant
Adjusted R Square
0.928990718
Significance F
0.000227911

Table 5 indicates that the amount of Deposit collection from the Members (DM) has a negative correlation with the Number of employee (NE) and Fixed Asset (FA), and it has a positive correlation with the Operating Expense (OE). The adjusted R square value of 0.928 indicates that 93% of the dependent variable is explained by the independent variables and the significance F of 0.000227 indicates that there is only 0.023% probability of being the regression model wrong.

Table-6. Overall hypothesis result (At the level of significance of 5%).

Hypothesis
Significance Value (P-value)
Result
H1: There is association between the Number of Employee (NE) and Loan Outstanding (LO)
0.256265115
Cannot be accepted
H2: There is association between the Fixed Asset (FA) and Loan Outstanding (LO)
0.851925551
Cannot be accepted
H3: There is association between the Operating Expense (OE) and Loan Outstanding (LO)
0.010304682
Cannot be accepted
H4: There is association between the Number of Employee (NE) and Deposit of Member (DM)
0.00045076
Can be accepted
H5: There is association between the Fixed Asset (FA) and Deposit of Member (DM)
0.949164675
Cannot be accepted
H6: There is association between the Operating Expense (OE) and Deposit of Member (DM)
0.00006297
Can be accepted

If it’s assumed that (CCR model) any changes in the resources (e.g. Employees, Assets etc.) will result a proportionate change in the production (e.g. Loans, Deposits etc.) level, only 30% of the top 10 MFIs are using their resources (e.g. Employees, Assets etc.) efficiently. The minimum efficiency of an MFI (TMSS) under this model is found to be 0.43 which means if that particular MFI wants to increase its efficiency (Maximizing the production level using the lowest level of resources), it’d need to reduce (either through the number of employee or the value of the fixed asset or the operational expense) its resources by 57% (100-43). The average efficiency under this model is 65.50% which indicates the top 10 MFIs need to reduce (on average) their resources by 34.50% (100-65.50) while maintaining the same level of production (amount of Loan Outstanding/Deposits of Members) to become 100% efficient.

However, if it’s assumed that (BCC model) any changes in the resources (e.g. Employees, Assets etc.) will not result a proportionate change in the production (e.g. Loans, Deposits etc.) level, 80% of the top 10 MFIs are using their resources (e.g. Employees, Assets etc.) efficiently. The minimum efficiency of an MFI (TMSS) under this model is found to be 0.56 which means if that particular MFI wants to increase its efficiency (Maximizing the production level using the lowest level of resources), it’d need to reduce (either through the number of employee or the value of the fixed asset or the operational expense) its resources by 44% (100-56). The average efficiency under this model is 94.90% which indicates the top 10 MFIs need to reduce (on average) their resources by 5.10% (100-94.90) while maintaining the same level of production (amount of Loan Outstanding/Deposits of Members) to become 100% efficient.

This study also reveals that regardless of the model (CCR/BCC), Only 2 (BRAC & UDDIPAN) out of 10 MFIs are efficiently using their human resource and only 3 (Grameen Bank, BRAC & Buro Bangladesh) out of 10 MFIs are efficiently using their Fixed Asset (property, plant & equipment). When it comes to operating expense, 50% of the MFIs are utilizing their operational expenses.

However, in terms of output (production. e.g. loans, deposits etc.) maximization, only 1 (Jagoroni Chakra Foundation) MFI out of 10 is able to distribute the maximum amount of loan using the existing resources but when it comes to collecting deposits from their members, 60% MFIs are able to collect the maximum amount of deposits using the same resources.

5. RECOMMENDATION AND CONCLUSION

From the hypothesis test it can be said that, there is some strong association between the number of employee and operating expense with the amount of deposit collected by the institutions from their member, it’s quite alarming that only 30% MF institution can operate under their optimal potential. The average efficiency rate is quite lower as well as an industry.

However, institutions that cannot operate under their optimal size, they have quite a good average efficiency rate. Another point of concern is that the main operation of an MFI is to collect deposits and disburse loan. 60% of the MFIs are collecting the maximum amount of deposits while only 10% of the MFIs are able to maximize the amount of loan disbursement. The MFIs should focus more on providing loan as it generates their revenue and also work for alleviating the national poverty. As Bangladesh is known as the hub of MF industry all over the world, it should focus more on the efficiency to take this industry to the next level.

Funding: This study received no specific financial support.  

Competing Interests: The authors declare that they have no competing interests.

Acknowledgement: Both authors contributed equally to the conception and design of the study.

REFERENCES

Ahmed, S. M., Adams, A. M., Chowdhury, M., & Bhuiya, A. (2000). Gender, socioeconomic development and health-seeking behaviour in Bangladesh. Social Science & Medicine, 51(3), 361-371.Available at: https://doi.org/10.1016/s0277-9536(99)00461-x.

Bagazonzya, H., Safdar, Z., Abdullah, A., Niang, C., & Rahman, A. (2010). Linking up and reaching out in Bangladesh Information and communications technology for microfinance. Retrieved from: http://documents.worldbank.org/curated/en/873311468209949206/pdf/528630PUB0link101Official0use0Only1.pdf [Accessed 9 Apr. 2020].

Bairagi, S. (2014). Productivity and efficiency analysis of microfinance institutions (MFIS) in Bangladesh - Munich personal repec archive. Uni-muenchen.de. Retrieved from: https://mpra.ub.uni-muenchen.de/67917/ [Accessed 11 Jun. 2019].

Bateman, M. (2012). The role of microfinance in contemporary rural development finance policy and practice: Imposing neoliberalism as ‘best practice’. Journal of Agrarian Change, 12(4), 587-600.Available at: https://doi.org/10.1111/j.1471-0366.2012.00376.x.

Bell, F. W., & Murphy, N. B. (1968). Economies of scale and division of labor in commercial banking. Southern Economic Journal, 35(2), 131-139.Available at: https://doi.org/10.2307/1056322.

Benston, G. J. (1965). Branch banking and economies of scale. The Journal of Finance, 20(2), 312-331.Available at: https://doi.org/10.1111/j.1540-6261.1965.tb00212.x.

Benston, G. J., Hanweck, G. A., & Humphrey, D. B. (1982). Scale economies in banking: A restructuring and reassessment. Journal of Money, Credit and Banking, 14(4), 435-456.Available at: https://doi.org/10.2307/1991654.

Charnes, A., Cooper, W. W., & Rhodes, E. (1978). Measuring the efficiency of decision making units. European Journal of Operational Research, 2(6), 429-444.Available at: https://doi.org/10.1016/0377-2217(78)90138-8.

Chowdhury, A. M. R., & Bhuiya, A. (2004). The wider impacts of BRAC poverty alleviation programme in Bangladesh. Journal of International Development, 16(3), 369-386.Available at: https://doi.org/10.1002/jid.1083.

Develtere, P., & Huybrechts, A. (2005). The impact of microcredit on the poor in Bangladesh. Alternatives, 30(2), 165-189.Available at: https://doi.org/10.1177/030437540503000203.

Duvendack, M., Palmer-Jones, R., Copestake, J., Hooper, L., Loke, Y., & Rao, N. (2011). What is the evidence of the impact of microfinance on the well-being of poor people? Systematic review. Retrieved from: https://www.givedirectly.org/wp-content/uploads/2019/06/DFID_microfinance_evidence_review.pdf [Accessed 9 Apr. 2020].

Ghosh, J. (2013). Microfinance and the challenge of financial inclusion for development. Cambridge Journal of Economics, 37(6), 1203-1219.Available at: https://doi.org/10.1093/cje/bet042.

Hossain, M., & Bayes, A. (2015). Rural credit market. In: M. Hossain and A. Bayes, eds., Leading issues in rural development: Bangladesh perspective. Dhaka: A H Development Publishing House.

Hulme, D., & Maitrot, M. (2014). Has microfinance lost its moral compass? Economic and Political Weekly, 77-85.

Hussain, A. B. (2010). Embodiment and emotionality of women credit clients: Scrutinizing agency constraints of microcredit clients in Sunamganj, Bangladesh. Asian Social Science, 6(11), 3.Available at: https://doi.org/10.5539/ass.v6n11p3.

Imai, K. S., & Azam, M. S. (2012). Does microfinance reduce poverty in Bangladesh? New evidence from household panel data. Journal of Development Studies, 48(5), 633-653.Available at: https://doi.org/10.1080/00220388.2012.661853.

Imai, K. S., Gaiha, R., Thapa, G., & Annim, S. K. (2012). Microfinance and poverty—a macro perspective. World Development, 40(8), 1675-1689.Available at: https://doi.org/10.1016/j.worlddev.2012.04.013.

Khandker, S. (2003). Micro-finance and poverty: Evidence using panel data from Bangladesh. [online] Policy Research Working Papers. The World Bank. Retrieved from: https://openknowledge.worldbank.org/handle/10986/19180 [Accessed 9 Apr. 2020].

Khandker, S., Khalily, B., & Samad, H. (2016). Beyond ending poverty: The dynamics of microfinance in Bangladesh. OKR. Retrieved from: https://openknowledge.worldbank.org/handle/10986/24669 [Accessed 28 Mar. 2020].

Khandker, S. R. (2000). Savings, informal borrowing, and microfinance. The Bangladesh Development Studies, 26(2–3), 49-78.

Khandker, S. R. (2005). Microfinance and poverty: Evidence using panel data from Bangladesh. The World Bank Economic Review, 19(2), 263-286.Available at: https://doi.org/10.1093/wber/lhi008.

Kočišová, K. (2013). Technical efficiency of top 50 world banks. Research Gate. Retrieved from: https://www.researchgate.net/publication/275347838_Technical_efficiency_of_top_50_world_banks [Accessed 10 Mar. 2020].

Mazumder, M. S. U., & Lu, W. (2015). What impact does microfinance have on rural livelihood? A comparison of governmental and non-governmental microfinance programs in Bangladesh. World Development, 68, 336-354.Available at: https://doi.org/10.1016/j.worlddev.2014.12.002.

Mia, A. (2017). An overview of the microfinance sector in Bangladesh. Research gate. Retrieved from: https://www.researchgate.net/publication/317011707_An_Overview_of_the_Microfinance_Sector_in_Bangladesh [Accessed 27 Mar. 2020].

Morduch, J. (1999). The microfinance promise. Journal of Economic Literature, 37(4), 1569-1614.Available at: https://doi.org/10.1257/jel.37.4.1569.

Morduch, J. (2000). The microfinance schism. World Development, 28(4), 617-629.Available at: https://doi.org/10.1016/s0305-750x(99)00151-5.

Mosley, P., & Hulme, D. (1998). Microenterprise finance: Is there a conflict between growth and poverty alleviation? World Development, 26(5), 783-790.Available at: https://doi.org/10.1016/s0305-750x(98)00021-7.

Quayes, S. (2012). Depth of outreach and financial sustainability of microfinance institutions. Applied Economics, 44(26), 3421–3433.

Quayes, S. (2015). Outreach and performance of microfinance institutions: A panel analysis. Applied Economics, 47(18), 1909-1925.Available at: https://doi.org/10.1080/00036846.2014.1002891.

Quayes, S., & Khalily, B. (2013). Efficiency of microfinance institutions in Bangladesh. Economics Bulletin. Retrieved from: https://ideas.repec.org/p/imb/wpaper/19.html [Accessed 10 Mar. 2020].

Rahman, T. (2019). Regulations of microcredit & financial institutions in Bangladesh. Tahmidur Rahman. Retrievedfrom: https://tahmidurrahman.com/regulations-of-microcredit-financial-institutions-in-bangladesh/ [Accessed 12 Feb. 2020].

Roodman, D., & Morduch, J. (2014). The impact of microcredit on the poor in Bangladesh: Revisiting the evidence. Journal of Development Studies, 50(4), 583-604.Available at: https://doi.org/10.1080/00220388.2013.858122.

Sherman, H. D., & Gold, F. (1985). Bank branch operating efficiency. Journal of Banking & Finance, 9(2), 297–315.

Sriram, M. (2012). The AP microfinance crisis 2010: Discipline or death? Vikalpa, 37(4), 113-128.Available at: https://doi.org/10.1177/0256090920120407.

Swain, R. B., & Floro, M. (2012). Assessing the effect of microfinance on vulnerability and poverty among low income households. Journal of Development Studies, 48(5), 605-618.Available at: https://doi.org/10.1080/00220388.2011.615917.

The Daily Star. (2019). The invisible hand of microfinance. Retrieved from: https://www.thedailystar.net/news-detail-83168 [Accessed 21 Dec. 2019].

Wahid, A., Hasan, M., & Rabbani, A. (2015). The outreach-profitability tradeoff: Evidence from an ultra-poor program in Bangladesh. Dhaka, Bangladesh.

Yang, Z. (2006). A two-stage DEA model to evaluate the overall performance of Canadian life and health insurance companies. Mathematical and Computer Modelling, 43(7-8), 910-919.Available at: https://doi.org/10.1016/j.mcm.2005.12.011.

Zaman, H. (1999). Assessing the impact of micro-credit on poverty and vulnerability in Bangladesh. Worldbank.org. 1. Retrieved from: http://documents.worldbank.org/curated/en/630461468741915080/Assessing-the-impact-of-micro-credit-on-poverty-and-vulnerability-in-Bangladesh .

Views and opinions expressed in this article are the views and opinions of the author(s), International Journal of Business, Economics and Management shall not be responsible or answerable for any loss, damage or liability etc. caused in relation to/arising out of the use of the content.