Index

Abstract

The entrepreneurial skills have been regarded as the vital factor for the business sustainability. The previous study confirmed that there was a gap for entrepreneurial skills between several countries. The factor driven countries (such as Indonesia, Philippines, Vietnam, etc.) are dominated with the wholesale/retail activities, while the innovation driven countries (such as Sweden, Belgium, Norway, etc.) will be more dominated with ICT/Finance or the professional services activities. The wholesale/retail activity is said to be easier to enter since it’s generally require lower skill levels. Entrepreneurship education (EE) is needed to enhance the development of the entrepreneurs in order to fulfill this gap, so it is necessary to evaluate the EE program delivered by the university in shaping the entrepreneurial competencies. This research did an evaluation towards the entrepreneurship education program by identifying the learning process (including the definition and objectives of EE, the course contents, the teaching methods, and community outreach activities), and measuring the impacts (by using entrepreneurial competencies). This research was done in the Management of Business in Telecommunications and Informatics, Faculty of Economics and Business in Telkom University. The result is aimed to improve the learning process within institution. On the other side, this research is expected to help the university to achieve the target to be a Global Entrepreneurial University in 2038, particularly to create the global entrepreneurial graduates. This study is also expected to improve the economic growth by increasing the university’s role in creating the graduate entrepreneurs.

Keywords: Entrepreneurship Intrapreneurship Entrepreneurship education Learning input, Learning process, Learning assessment Entrepreneurial competencies.

Received: 21 June 2017 / Revised: 24 August 2017 / Accepted: 15 September 2017 / Published: 26 October 2017


1. INTRODUCTION

Entrepreneurship has become an important issue in developing countries, particularly in Indonesia. For examples the high status towards entrepreneurs valued 81.4% in Indonesia, while entrepreneurship is a good career choice valued 74.4%. Becoming an entrepreneur is a popular career choice in Indonesia. It is possible because as one of efficiency-driven economies in Asia, most entrepreneurs operate in wholesale/retail industry where it is generally easier to enter as it only requires lower skills level and present fewer barriers (Kelley et al., 2016 ). In contrast with the innovation driven countries (the western countries), most of the entrepreneurs engaged in the ICT/Finance or the professional services activities which indicating a higher skill levels. There’s the skills gap that needed to be enhanced through education entrepreneurship. Matlay (2008 ) showed that most students have improved both their general business knowledge and specific entrepreneurial skills after receiving entrepreneurship education program. Besides enhancing their skills, the graduate and educated entrepreneurs of these western developed nations tend to register their businesses with government officials and pay regular taxes (Muhammad et al., 2011 ). Therefore, entrepreneurship education plays vital role in the development of the entrepreneurs.

The previous studies confirmed that EE has a vital role to guide students to become entrepreneurial graduates or become more entrepreneurial minded. The entrepreneurial minded students are characterized by having entrepreneurial competencies. It is found that early entrepreneurial competencies in adolescence had a positive effect with the progress in the venture creation process (Ghina, 2015 ). Moreover, the research also mentioned that by having entrepreneurial competencies, students could be lead to become successful entrepreneur as a job creator. Several studies have been conducted on the evaluation of EE by revealing the students’ satisfaction of the program’s effectiveness regarding the skills expectation and skills acquisition (Cheng et al., 2009 ) while others by using the attendance rates, group discussions and the completion of a business plan (Millman et al., 2008 ). Most of the study results tend to investigate the success rate of the program by measuring the students’ satisfaction without regarding the level of entrepreneurial skills acquired after the program.

There is a lack of studies that explores the learning process related to the impact by using the entrepreneurial competencies with the qualitative approach. Therefore this study explores the evaluation process of the entrepreneurship education program by identifying the learning process (including the definition and objectives of EE, the course contents, the teaching methods, and community outreach activities), and measuring the impacts (by using entrepreneurial competencies) of the program. This research was done in the Management of Business in Telecommunications and Informatics, Telkom University. The result is aimed to improve the learning process within institution. On the other side, this research is expected to help the university to achieve the target to be a Global Entrepreneurial University in 2038, particularly to create the global entrepreneurial graduates. This study is also expected to improve the economic growth by increasing the university’s role in creating the graduate entrepreneurs.

2. LITERATURE REVIEW

Mwasalwiba (2010 ) found that EE often related to educational or training process that is aimed at influencing individuals’ attitudes, behaviour, values or intentions towards entrepreneurship either as a possible career or to enhance among them an appreciation of its role in the community (i.e. creating an entrepreneurial society). In addition Cheng et al. (2009 ) also stated that EE is more than business management or starting a new business, but it also refers to a formalised programme to equip students with the needed skills and knowledge to recognise business opportunities, search customers’ insights, network and understand the needs of the market, create ideas, develop a business plan, run a business and evaluate environmental, institutional and political issues.

On the other side, research shows that competency theory is based on studying successful leaders, by breaking down their behaviours, attitudes and skills into measurable aspects, and looking for ways of bringing them together in order to create individuals who demonstrate superior performance (Mitchelmore and Rowley, 2010 ). Entrepreneurial competencies have been identified as a specific group of competencies relevant to the exercise of successful entrepreneurship (Mitchelmore and Rowley, 2013 ). Mitchelmore and Rowley (2010 ) said that according to the literatures there are three different ways through which competencies can affect performance. First, the more competent entrepreneurs choose to exploit better venture opportunities, the better quality of opportunity they could gain. Second, entrepreneurs will be more competent as they are able to formulate superior strategies that fit their business. The third is that entrepreneurs and their competencies are a critical and valuable resource of the firms (Mitchelmore and Rowley, 2010 ).

Most of the journals about EE program studied several aspects including the learning input, learning process, and learning assessment. Studies about learning input usually discuss about the student recruitment process in targeting the right audience for the EE program, such as business students, entrepreneurs/SME owners/managers/employees, non-business students at university, policy-makers/bankers/public, unemployed, and minority groups (Mwasalwiba, 2010 ). Several journals also discuss about learning process through activities to connect the students with the experience to be an entrepreneur, such as mentoring, knowledge sharing from local entrepreneur, visiting entrepreneurs, the entrepreneurship dinner, student presentations, business simulations, video and filming, real venture setting up, games and competitions, role models and guest speakers, projects, workshops, presentations, discussion and group work, study visits, case studies, business plan creation, and lectures and theory based (Jack and Anderson, 1999 ; Mwasalwiba, 2010 ). Studies about the learning assessment process including business plans and business reports, presentation, class activity, test, essay, case studies, reflective assessment, peer assessment, and interviews (Pittaway and Edwards, 2012 ). Another study showed learning assessment can also be done through business performance, resulting innovations, contribution to society/technology transfers, number of start-ups, academic standards of students (GPA/exam scores), students/alumni satisfaction, attitudes and intentions to act, and general awareness/interest in entrepreneurship (Mwasalwiba, 2010 ). Previous studies about the evaluation of EE program were mostly done by using the quantitative methods to measure the students’ satisfaction. A study conducted by Cheng et al. (2009 ) revealing the students’ satisfaction towards the EE program’s regarding the skills expectation and skills acquisition. The others by using both quantitative and qualitative to measure attendance rates, group discussions and the completion of a business plan (Millman et al., 2008 ). This study also included the description about the learning process including the material offered and the delivery method, but the success of the program is still measured by using the students’ satisfaction rate.

Most previous studies measured the impact of EE program by the learning assessment process (Mwasalwiba, 2010; Pittaway and Edwards, 2012 ) or through students’ satisfaction level (Millman et al., 2008 ; Cheng et al., 2009 ). None of them discuss about students’ entrepreneurial competencies after enrolling in the EE program in the university, even though it is said that EE has a vital role in developing students’ entrepreneurial competencies (Izquierdo et al., 2005 ; Ghina et al., 2015 ). This study will review the learning process (including the definition and objectives of EE, the course contents, the teaching methods, and community outreach activities) in the relation with the learning outcomes (the entrepreneurial competencies) by using the qualitative method.

3. RESEARCH FRAMEWORK

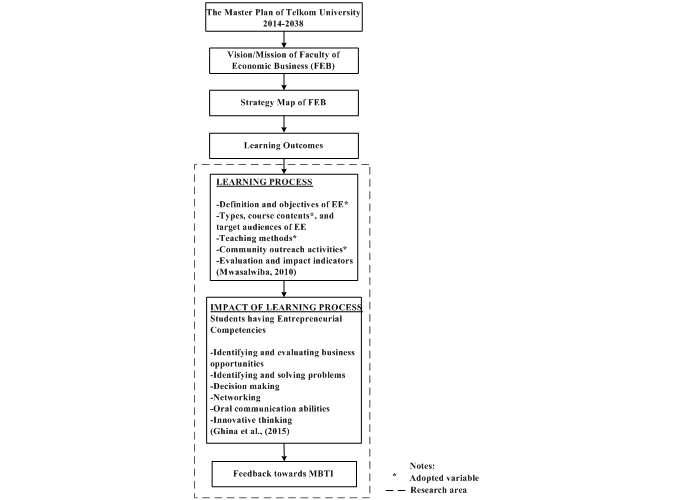
A company’s strategy is being a foundation for the entire department to set the long term and the short term objectives by considering the company resources (Pearce and Robinson, 2008 ). This framework explained how strategy (The Master Plan of Telkom University) developed to be the long term and the short term objectives (the vision/mission of FEB, the strategy map of FEB, and the learning outcomes) in Telkom University. The learning outcomes then defined again as the learning process and the impact of learning process, which one of them is about the EE program. This study is expected to be a feedback for MBTI to improve the learning process of the EE program. Below is the framework used for this research.

Figure-1. Research Framework

Source: Field Data Analysis

This study is focused on Telkom University as it has a grand vision to be a Global Entrepreneurial University in 2038, as explained in The Master Plan of Telkom University.  This strategic decision will be the foundation to set the company’s long term and short term objectives by considering the company resources (Pearce and Robinson, 2008 ). The Faculty of Economic and Business (FEB) set the faculty vision/mission based on the Master Plan 2014-2038, and this vision/mission will be the foundation for the FEB to set the strategic map. This strategy is used by Management of Business in Telecommunications and Informatics (MBTI) to set the learning outcomes of the curriculum delivered by the program, which one of them concerns about the education entrepreneurship program. This study is limited to evaluate EE program that delivered by MBTI Telkom, started by identifying the entrepreneurial learning process, and then it will be continued with measuring the impacts of the learning process by using the entrepreneurial competencies. This research is expected give feedbacks towards the EE program delivered by MBTI Telkom.

Entrepreneurial learning process is adopted from Mwasalwiba (2010 ) that will be described by (a) the definition and objectives of EE (how entrepreneurship defined by relating to the supposed outcomes); (b) the course contents (regarding the institution approach in building the curriculum, the modules offered in the entrepreneurship program); (c) the teaching methods (regarding the teaching methods which aligned with course objectives, environments, even the type of students enrolling in the program); and (d) community outreach activities (the role of entrepreneurship education in community improvement). The impact of learning process will be measured by using entrepreneurial competencies adopted from Ghina et al. (2015 ) including (a) identifying and evaluating business opportunity (regarding the commitment to be proactive in seeking opportunities); (b) identifying and solving problems (regarding the way to address conflicts and resolve conflicts); (c) decision making (the ability to identify and understand issues and opportunities, draw conclusions, and develop appropriate solutions); (d) networking (the ability to identify opportunities and build strategic relationships); (e) communication (how to gain a full understanding of issues, comprehend written material, present information both orally and in writing, adapt message, style, and tone to accommodate a variety of audiences); and (f) innovative thinking (how to apply creative problem-solving skills to develop solutions, take “smart” risks and learn from mistakes, develop multiple alternatives and understands the feasibility of each, share and implement ideas).

4. RESEARCH METHODOLOGY

Dana (2004 ) stated that because of the nature of entrepreneurship being an emerging field, the research conducted in this field should be emphasized on interpretation and understanding, rather than a purposive–rational explanation and prediction. In this case the understanding process is done through a description regarding the entrepreneurial learning process in the management program in Telkom University by using the case study approach. The research methodology could be seen below.

Figure-2. Research Methodology

Source: A qualitative research process, by O’Donnell and Cummins (1999 )

The study was started by doing literature review regarding entrepreneurship education to gain a thorough understanding, then to set the research objection. Research framework was developed as in Figure 1, followed by the data collecting process in the field. The analysis process was conducted by using the Miles and Huberman qualitative analysis process (Sugiyono, 2014 ). The data collected from the field will through the reduction process to gain the keynotes of interview results. These keynotes then will be displayed (data display) to ease the analysis for conclusion. The data display will through the validity and reliability process to ensure that the research is done through a logic process, traceable, and well documented (Sugiyono, 2014 ). 

The validity process of this research will be done in two steps. The internal validity was conducted by doing the source triangulation, where the interview results were compared with the written material (existing documents), as well as cross-checking the answers from different respondents to prove that they consistently said the same answers. In addition, this research will also do theory triangulation by using some perspective or theory to interpret data. The external validity was conducted through the transferability process. It is used to test the extent to which research can be generalized, or to what extent research can be used or applied to other situations (Neergaard and Ulhøi, 2007 ). In order for the results of qualitative research to be understood, the researchers must make the report in detail, clear, and systematic, and reliable (Sugiyono, 2014 ). The reliability process was done through the dependability testing, by conducting an audit of the overall research results. The audit process can be done by an independent auditor or in this case by the advisor to audit the overall activity of the researcher in conducting the research (Sugiyono, 2014 ). The data display answered the first research question regarding the learning process, while the conclusion will answer the second research question regarding the impact of learning process. The feedback will be discussed based on the conclusion withdrawn.

The semi structured interview is conducted using a protocol that consists of two parts. The first part of interview discussed about the learning process by developing the protocol using the variables adopted from Mwasalwiba (2010 ). The second part discussed about the impact of learning process using a tested protocol that adopted from Ghina et al. (2015 ). The unit analysis of this research is Program Study (MBTI Telkom), there are 9 respondents in this research that divided into 3 groups. The data sources for this study can be seen in the table below.

Table-1. Data Sources

Source Description Interview Duration
Interview Non-Graduate Students (3 persons) The students in their final years who have completed their entrepreneurship program, aiming to have a career after the graduation. Total duration of 2 hours and 41 minutes
Graduate Students (3 persons) The students in their final years who have completed their entrepreneurship program, aiming to be an entrepreneur after the graduation, and currently managing their own business. Total duration of 2 hours and 5 minutes
Lecturers (3 persons) Lecturers of MBTI who teach entrepreneurship subjects (including the compulsory and optional subjects) Total duration of 1 hour and 24 minutes
Document Curriculum Book 2016 of MBTI Telkom (online version)  

     Source: Field Data Analysis

5. FINDINGS

a. The Learning Process

Discussion including the definition and objectives of EE, the course contents, the teaching methods, and community outreach activities.

1. The Definition and Objectives of EE

MBTI set the definition and objectives of their program based on the the faculty’s goals. Below are the goals of FEB Telkom:

a) To produce graduates that qualified in the fields of management, accounting, and economics, and having a global insight in accordance with the needs of the telecommunications industry, media, and creative industries

b) To produce leading in management, accounting, and economics for telecommunication, media, and creative industries

c) Being a place of reference for the management, accounting, and economics sciences, especially in the telecommunications industry, media, and creative industries, both for academics and national and international practitioners

d) Being a well-established business school in Asia with the support of the telecommunications, media, and creative industries in Indonesia, Asia, and the world

This set of objectives is the foundation for MBTI to set their learning outcomes, which one of them in concerns with the education entrepreneurship program.

2) The Course Contents

According to the curricula the management program offers three mandatory subjects for all students and three optional subjects for students that aim to focus their study on entrepreneurship or prefer to be an entrepreneur after graduating. Students don’t have to take all the three subjects, but they can mix entrepreneurship and other subjects as part of their optional subjects. The table below described the entrepreneurship subjects offered in MBTI Telkom.

Table-2. Entrepreneurship subjects

  Subject Output
Compulsory (all students of management program must take these lessons as part of mandatory subjects) Creative Thinking in Business Students learn to develop creative ideas, especially in information and technology, students were tasked to develop a business idea until the prototype phase in group
Entrepreneurship Students learn about entrepreneurship theory and focus to produce a business plan
Entrepreneurship Project Students were tasked to develop a real business in group for 1 semester. Students joined the entrepreneurship exhibition at the end of semester where they set out their business and interact with the market
Optional (students choose to participate in one (or more) of these lessons as part of optional subjects) Business Development Students learn to develop a product by using new product development, new market development or new strategy development
New Venture Development Students learn to develop a proper business by using Business Model Canvas
Community Development Students visit local SMEs in group, and try to identify the problems there and give a practical solution as part of their contribution to the community.

 Source: Field Data Analysis

3) The Teaching Methods

Besides the curricula, the faculty also provides various teaching methods in order the support the learning lesson, as described below. Before the interview process, a list of teaching methods has been created to make it easier for the respondents to describe set of teaching methods that they experienced during the learning process. Exist means that MBTI has already applied these methods, while non-exist means that the methods have not yet or not existed anymore.

Table-3. Teaching methods

  Exist Non Exist
Education Program 1. Lecturers giving business mentoring, the mentoring process could be done inside and outside lesson hours, as long as the discussion takes place in the campus area 1. Student entrepreneurial community specifically for MBTI
2. Guest lecturer, invited from the local entrepreneurs or experts 2. Funding for start-up business
3. Entrepreneurship exhibition, embedded with the compulsory subject "Entrepreneurship", where students execute their business for one day 3. Business managed by student and lecturer
4. Student exchange to learn entrepreneurship 4. Company visit as part  embedded with entrepreneurship subject
  5. Apprentice programme embedded with  entrepreneurship subjects
  6. Investor Day, where selected students could pitch their business to gain investment from real investors
7. Boot camp for entrepreneurs
Education Facilities 1. Teaching materials 1. Entrepreneurship center
2. Intellectual property rights, embedded with the compulsory subject Creative Thinking in Business",  where lecturers will help to file the intellectual property rights of selected business ideas 2. Business incubator
3. Culinary trade permit, lecturers will give contact person to help file the culinary trade permit 3. Legal permit, regarding the help to execute business permit for business
Learning Assessment 1. Aspect of learning assessment, not only the knowledge but lecturers also observe students' skill and attitude 1. Entrepreneurial competencies, where the entrepreneurial competencies of students evaluated after completing the EE program
2. Composition of learning assessment, consists of 60% of theory assessment, and 40% of practical/teamwork tasks 2. Start-up successful criteria, where start-ups initiated by students evaluated according to successful criteria
3. Method of learning assessment, including test, class presentation and peer review  
4. Reward and punishment method, where lecturers give additional grade to proactive students and no additional grade for students who late to return the assignments (punishment)  

Source: Field Data Analysis

4) The Community Outreach Activities

This topic discussed about the role of entrepreneurship education in community improvement (Mwasalwiba, 2010 ). MBTI has also tried to give back to community through the one of the entrepreneurship courses, The Community Development. Although this subject is optional, but the students who had taken this course would passionately describe the experience they had during the learning process. They also easily remembered this course, because they have a personal experience in directly solving a specific case in groups. As to the SMEs, the lecturer has provided the students with a certain community that needed to be helped. Based on the interview summary, these students were asked to go directly in groups to local SMEs, and then they were assigned to identify the problems that exist and required to provide a solution related to existing problems, as part of their contribution to society. One of the students told how his group solved the marketing problem in the community by setting the online marketing tools using the social media. The other told how her group tried to educate elder businessmen through a seminar by bringing in the other local entrepreneurs and government agencies to educate this community.

What I get is more to help the society... Because we help SMEs in West Java, that time I happened to be in Banjaran, so we spend time and energy to help SMEs to be developed. At that time I was in SME Digital Baraya Banjaran... There were a lot of businesses, a community like that, there is a fashion, there is a hijab, there is culinary as well, there is a welding workshop as well. At that time we asked them what their problem was. So most of them, they have not been able to use social media or the internet to introduce their products. After one semester we help, we keep chatting with the local chairman too. Apparently I think they really need help to do a promotion via the internet. So the solution at that time was that we help them to create a photo of their products, if there were products, also for the welding workshop services, we help them take photos, we continue to edit them all and such. As for the output, we provided a social media Instagram, the name is Digital SME Baraya Banjaran. Now the Instagram belongs to them. If supposedly they have new members who want to enter the SME's group, they can post its products to Instagram... So that as the solution... Yeah we teach them how to use it.

b) The Impact of Learning Process (Entrepreneurial Competencies)

Table-4. Students’ entrepreneurial competencies

Entrepreneurial Competencies
Graduate Entrepreneurs
Non Graduate Entrepreneurs
Identify and Evaluate Business Opportunity
Medium
Medium
Identify and Solving Problems
Medium
Medium
Decision Making
Medium
Medium
Networking
Medium
Medium
Communication
Medium
Medium
Innovative Thinking
Medium
Medium

Source: Field Data Analysis

This research shows that both groups are in the same entrepreneurial level. It indicates that the current EE programme is merely enough to educate them to be in the same level. Below are further discussions regarding the student entrepreneurial competencies.

1) Identify and Evaluate Business Opportunity

Both the graduate and non-graduate entrepreneurs are mostly in the medium level, which means that they are aware of the existence of a good opportunity and taking immediate action to execute it. They tend to use the opportunity to ask feedback from their coworkers/friends. They also like to do a sharing session in their community or friends, but the scope is usually limited between friends.

"Actually, the human resources are creative. They actually have keris village, gamelan village, and so on. But people thought that it would be better to work outside Klaten and this affects the economy in Klaten itself […] They even can’t wait to move out of Klaten, so it’s like by doing this they eliminate the Klaten's creative identity. So we start to pay attention towards the environment. They have a lot of unused coconut trees... So we decided to learn from Banyuwangi... Banyuwangi is already successful... I mean to make furniture crafts from coconut trees. And we cooperate with students from IPB too ... How to turn this coconut tree to be something valuable and where you can also gain the socio and the ecopreneur. We give seeds to people. This is the seed of the coconut tree for you to plant. Later if the tree is already big enough, I would buy it back from you... Well for me and my friend Rizal we want to make something for those people there. They are all creative. From a coconut tree, they can make a keychain or a display or what else...”

Regarding the sharing the business experience, one student from the graduate entrepreneur group is in the low level (while two other graduates are in medium level), because he didn’t usually confirm the audience understanding regarding the information he provided before. The reason is that he is more of a silent type than the one who raised a question, or it can be said that he is not a proactive person. Meanwhile Mustafa et al. (2016 ) mentioned that a proactive personality has a significant impact on students’ entrepreneurial intentions, so in this case, the silent type is being an exception. Another student from the non-graduate entrepreneur group is also in the low level (while two other non-graduates are in medium level) because he’s rarely shared his business experience. The reason is because his group society consists of students who aren’t interested in business, so they never discussed business related conversation. It could be explained because student with extrinsic business motivation do not emphasize the opportunity to learn for entrepreneurship, the course taken was simply completed in order to get a diploma (Hytti et al., 2010 ).

2) Identify and Solving Problems

Both the graduate and non-graduate entrepreneurs are mostly in the medium level, which means that they are able to provide a solution to solve a problem, but they didn’t try to understand the implicit things inside it. They also make priority and provide solution in a conflict situation.

“[…] well we continue to always give trust to handle cash register to those people that we truly trust. But it turns out no one can bear to stay work at the cash register too long, even when his/her skill was good in calculating and something like that or in his/her way to speak. But still, these people can’t stay too long to be a cashier. So I finally asked for rolling duties in cashier. It’s quite hard because the problem is that cashier handles all the expenses or incomes, right... But sometimes some I found a missing, missing in income. Like oh why the amount is this much... so where the rest of the money go, like that... I smell something bad here, so I finally do the rolling…”

There is a slight difference in the result, one of the graduate entrepreneur students show a high level regarding the ability to develop a problem solving approach, because he considers the team first before take a decision. Cheng et al. (2009 ) has defined an entrepreneur as someone who has a set of inspiration or vision, as one of the characteristics or it can be seen as someone who’s aware of the impact or opportunity beyond the current situation. For example the student realized that if one of his team members was lazy, it could affect the team productivity, and in long term it could be a barrier to reach the company’s goal. This student would consciously motivate this member to do his/her job properly. Another student from the non-graduate entrepreneur group still shows a low level regarding the ability to solve a problem. The reason was because the situation at the moment made it impossible for him to act as usual. Ajzen (1991 ) explained that people could be influenced by the experiences of acquaintances and friends. In his case, one of the team members made him unable to voice his opinion as usual.

3) Decision Making

Both the graduate and non-graduate entrepreneurs are mostly in the medium level, which means that they have the ability to analyze a conflict situation, they find it effective to make targets in solving problems, and provide a solution that still depends on the complexity of the problem. They still use standard methods in solving problems. They didn’t make anticipations for future problems, they just wait for an existing problem to be solved.

One of the non-graduate entrepreneurs student shows a high level in developing effective way to solve a problem because she consistently finds complete information on hands before finally make a decision. Her family business background makes it able for her to be in a condition where she has to consider all aspects before making up a decision, especially when it comes to their employees. She makes her father as a role model in making up a decision, specifically that her father never fired any employee before. This finding is consistent with Wang and Wong (2002 ) regarding the influence of family business in raising the interest towards entrepreneurship.

“[…] I once found in cashier and purchasing. When I saw the purchase list, I feel like why the price was different, if he did the purchase it was different, if she did it was different. Finally I decided to do a survey to the market, from several sellers that I know, and then it was like... Yes Miss, because that man asked to add for orange a kilo, or he asked to add the price for extra 4000 or 3000. So I was deceived that way […]
I looked at my father. My dad never fired his employees, never... So I think the best solution, rather than he did more sin so instead I replace that guy, like that. So if he usually purchased, he changed position from purchasing. Or if he usually holds the cashier, he changed position from cashier. But usually I did that to avoid suspicion in that place, like for example he may hold the cashier position for two months or three months, later it will be rolling again, but he just can stay for two weeks or one week […]”

4) Networking

Both the graduate and non-graduate entrepreneurs are mostly in the medium level, which means that they have a positive attitude when working with others. They also treat the opportunity to make a new networking channel as an important thing and they are able to utilize their network to build business related collaboration.

"I usually established relationship from hobby... our hobbies are same, we do the hobby together. For example supposedly my business relationship liked basketball, so we... well not all of them, but some of them we met that way.. Yeah not really, but usually I join HIPMI organization in campus. In the HIPMI organization they offered like an open relationship, open like that. So for example if there was a gathering with an entrepreneur, this man would join us here, we were welcomed to join. Well there we can ask things, sharing things... "

Regarding the attitude when work with others, most of the graduate entrepreneur students show a high level because they join a business community that enable them to build new business relationships. One of the non-graduate entrepreneur students also shows a high level in the attitude when working with others, since she gets to build networking from her family’s connection and she is able to extend that relationship into a business relation.

"Once I handled in Cirebon, at that time he had been to MTC for several times, so I asked for his number and such. It’s just... I mean he is an outsider, so I do not know how he would treat me later. Finally I tried to... And actually he was nice, and he also has a position there, which means it will be easier for me to get there. Finally he has a place in Cirebon, I went there, I asked people to measure the place and such. Because the design must be from us so, right. Because we didn’t do franchise, but we can gain benefit from that, from designing to raw materials and equipment, like that. So it turns that it is possible to gain from a relationship with other people, but again we have to be more careful [...]”

Using the family business knowledge, she shows a higher level performance in managing a business. This finding is consistent with Wang and Wong (2002 ) statement about the early family business influenced to the interest level towards entrepreneurship.

5) Communication

Both the graduate and non-graduate entrepreneurs are mostly in the medium level, which means that they have the ability to interpret information from others. They will adjust the way of speaking towards different audience. They mostly are the talkative type, but they still show a willing to listen. They usually use their own language to deliver interpreted information.

"If towards the supplier I... I talked the way I am, I use the formal language. Mostly like to say hello and such. But if for example towards my employees, I must really, this is the way, this is the way, I have to nurture them, teach them, especially if there are new crews. Sometimes what others teach would be different from what I teach. So I really need to slow down like that...”

Consider the ability to interpret information from others, both of the graduates and non-graduate entrepreneurs show a high level, where they’re able to understand the information correctly and use their own language to deliver the message to other people, but one of them still shows a medium level. Because he prefers to use the same way as previous to deliver a message to others. In addition, he also doesn’t confirm to other parties whether they received the message properly to avoid any miscommunication. The student said that if he used his own language, he’s worried that the message will be misinterpreted. Ajzen (1991 ) mentioned that people could also be influenced by other factors that could increase or reduce the perceived difficulty of performing the behavior in question. In this case, he is worried about other factors and found it difficult to use his own language, so he decided to deliver the message using the same way as previous.

6) Innovative Thinking

Both the graduate and non-graduate entrepreneurs are mostly in the medium level, which means that they show interest to find a better way to do a job. They are open towards new ideas. They are willing to try implementing new approaches that proved to be effective. They are also willing to find new information about new technologies.

"[...] technology like finance application, and then like... our cooperation with IPB in research. So if a coconut tree usually grows for 7 years, yeah 7 years. Now it can only for 5 years [...]”

One of of the graduate entrepreneur shows a low level. The reason is because he doesn’t like to find out a new way to do a job regarding the interest to find a better way to do a job. The student said that since he didn’t master the current way to do things, he thought it would be a waste to find out a new way, so it’s better for him to focus on learning the current way first. Ajzen (1991 ) stated that people will also be influenced by other factors that could increase or reduce the perceived difficulty of performing the behavior in question. In this case, he finds that the current way is already difficult to do, so finding a new ways might make it more difficult for him to do his job. That’s why he decided to focus on doing his job using the standard ways. Most of the non-graduate entrepreneurs also show a low level because they’re simply not interested in finding new ways to do things because they simply don’t take any interest in business related matter (Hytti et al., 2010 ) since their first priority is to find a job after the graduation.

6. DISCUSSION

Findings result shows that after the EE program, both graduate and non-graduate students acquire medium level of entrepreneurial competencies. This indicates that both groups have the same capability to start a business. The difference lies on their desire to become one. For instance one of the students from the non-graduate group stated that she preferred to work after graduation, in order to gain more experience in an organization and also to save the capital investment needed to start a new business. This way she doesn’t have to depend on her parents to invest in her future business. The medium level also indicates that the current programme have successfully educated both groups to be in the same level of competencies. But it also means that there’s a room for improvement to increase the level of competencies. Below is our suggestion regarding the improvement for the entrepreneurship curriculum in consideration with the definition and objectives of EE that set by MBTI. This program has been adjusted with the existing entrepreneurship courses in MBTI.

Table-5. Suggestion for the entrepreneurship curriculum program in MBTI (Ghina, 2017 )

Semester 1 2 3 4 5 6 7 8
Theme Foundation Program Creativity Program Entrepreneurship Program Hatchery Program (Business Project)
Objective Understanding The Business Environment Understanding The Basic Management Functions Scanning, Identifying and Analyzing The Opportunity Scanning, Identifying and Analyzing The Opportunity Experien cing The Process to Become Entre preneur Experiencing Being The Entrepreneur
Courses ICT Iliteracy; Business Management System and Business Telecommunication Operation and Quality Management; Marketing Management; Human Resource Management; Financial Management Creative Thinking in Business Entrepreneurship Entrepre neurship Project Business Project (Final Assignment Colloquium) Business Project (Final Assignment)
Partici pant All Students (Compulsory) Selected Students
Delivery Methods
  1. Providing and delivering business mentoring from local entrepreneurs in class
  2. Delivering entrepreneurship course with simulation game
  3. Establishing a business community for MBTI Telkom
  4. Assigning tasks for students in random groups chose by lecturer
  5. Conducting company visit to various startups that embedded in the entrepreneurial course
  6. Investor Day, where selected students could pitch their business to gain investment from real investors (particularly for students in the fourth year)
Evalua tion
  1. Written test
  2. Oral presentation
  3. Peer review
  4. Business selection to be pitched in front of investors
  5. Entrepreneurial Competencies
  6. Start-up successful criteria
Output Course Assignments:
a. Written Report
b. Video Report
ICT Based Prototype:
a. Report
b. Group File
Business Plan (Report) Start-Up Creation:
  1. Report
  2. Real Products/Services
  3. Company Profile
Business Development:
a. Report
b. Real Products/Services
c. Company Profile
Outcomes
  1. IPR; Research Topic;
    Community Service Topic
  2. Webometrics
a. IPR
b. Webometrics
IPR
  1. IPR
  2. Job Opportunity Improvement
  3. Webometrics
  1. IPR
  2. Job Opportunity Improvement
  3. Webometrics

Source: Teaching roadmap, presented at Rapat Start Up and Small Business Development (SSBD) in Universitas Telkom

From the table above, it can be seen that the development of EE program contains of a series of separate themes that are actually a whole piece of entrepreneurial learning that is split up over 4 years of learning. Each year is having a given them with certain objectives. The first year is the Foundation Program, to create an understanding about the business environment. The next stage is the Creativity Program, to create an understanding about the basic of management functions and how to scan, identify and analyze the opportunity. It’s followed with the Entrepreneurship Program as the learning continuation about analyzing opportunity and to experience the process of becoming an entrepreneur. The final stage is The Hatchery Program, to experience being an entrepreneur.

In this program, each year will be focused on the core courses of entrepreneurship that are integrated with the supporting courses, for instance in the term of assignments. As an illustration, in the fourth year by the fifth semester, the core course is Entrepreneurship. In this semester, one of the supporting courses is Strategic Management, so it is expected that the assignment in this course leads to the core courses of entrepreneurship, such as creating a strategic formulation to start a new business. This task will be aligned with the core of Entrepreneurship courses that expect students to be able to plan a new business start-up. The first three years of the program are mandatory, which means that the courses must be taken by all of MBTI students, while the fourth year is selected for several students who wished to be an entrepreneur after the graduation. The students who continued to focus their study in entrepreneurship, can complete their final assignment by using their business as the object study.

This curriculum can be equipped with several delivery methods to make the learning more experiential. Besides providing local entrepreneurs as a guest lecturer, it is also necessary to give a chance to be mentored directly by these entrepreneurs. It can help improve students' confidence in managing a new startup. A game is also necessary to help the students simulate a situation when a business is in profit or loss, to help them practice in solving problems. A business community will help the students to build networking and gain insights from other entrepreneurs. Random groups will enable students to communicate in diverse teams. A company visit that embedded directly in the entrepreneurial course could also help the students gain inspiration to start a business, and the course will make it compulsory for the students not to only learn, but also to report and analyze important things that they could gain. The Investor Day, to give opportunity for selected students to pitch their business ideas in front of investors. All of these activities could be included as to support the learning process in shaping the entrepreneurial competencies.

Evaluation process including the written test, oral presentation, peer review, selecting the best business proposal in front of investors, measuring the entrepreneurial competencies of students after completing the EE program, and evaluating start-ups initiated by students according to the successful start-ups criteria. The plan also explains about the output of each semester, where students were asked to deliver reports, even to provide the real products/services. As the long term progress, this program is expected to increase the Intellectual Property Index (IPR), job opportunity improvement, and the ranking web of university (Webometrics).

7. CONCLUSION

The paper’s primary contribution is finding that most of the students are in the medium level of entrepreneurial competencies, which indicates that the current EE programme is quite enough to educate both groups to be in the same level and there’s still a room for improvement to enhance the level of students’ entrepreneurial competencies to become a higher one. Hence the paper proposed the learning goals in the entrepreneurship curriculum program in order to improve the current student’s entrepreneurial competencies level.

This research is still partially do in one faculty, further research can be done at other faculties at Telkom University to get the overall picture of university’s entrepreneurship program, in order to provide an input to support the university’s plan to become Global Entrepreneurial University. This study is expected to be replicated in other universities to improve their EE programme, as well as to compare how entrepreneurial competencies students are formed through the EE program. These comparisons can be an input for each university to improve existing EE programs.

This study measures the level of entrepreneurial competencies of students after getting the EE program. It is necessary to measure the importance of these entrepreneurial competencies in order to determine which level of competence is the most important among these six competencies, to be properly developed in the program. The analysis result indicates that there is a link between entrepreneurial competencies variables, which means that by following one entrepreneurship course, students can form several competencies. Future research can be dedicated to do a confirmatory factor analysis, to examine whether these entrepreneurial competencies variables can be independently developed for each variable.

8. CONTRIBUTION

Previous studies mostly discuss about the impact of EE program by using the learning assessment process (Mwasalwiba, 2010 ; Pittaway and Edwards, 2012 ) or through students’ satisfaction level (Millman et al., 2008 ; Cheng et al., 2009 ) while few of them discuss about the impact of entrepreneurial competencies. This study investigated about the learning process in the relation with the learning outcomes (the entrepreneurial competencies), and proposing the learning goals in order to enhance the students’ entrepreneurial competencies.

Funding: This study received no specific financial support.
Competing Interests: The authors declare that they have no competing interests.
Contributors/Acknowledgement: Both authors contributed equally to the conception and design of the study.

REFERENCES

Ajzen, I., 1991. The theory of planned behavior. Organizational Behavior and Human Decision Processes, 50(2): 179-211. View at Google Scholar | View at Publisher

Cheng, M.Y., W.S. Chan and A. Mahmood, 2009. The effectiveness of entrepreneurship education in Malaysia. Journal Education + Training, 51(7): 555 – 566. View at Google Scholar | View at Publisher

Dana, L.P., 2004. Handbook of research on international entrepreneurship. Gloucestershire: Edward Elgard Publishing Limited.

Ghina, A., 2015. The effectiveness of entrepreneurship education in developing entrepreneurial graduates within a university context. Unpublished Doctoral Dissertation. Institut Teknologi Bandung, Bandung, Indonesia.

Ghina, A., 2017. Teaching roadmap. Presented at Rapat Start Up and Small Business Development (SSBD) in Universitas Telkom, Bandung.

Ghina, A., T.M. Simatupang and A. Gustomo, 2015. Building a systematic framework for entrepreneurship education. Journal of Entrepreneurship Education, 18(2): 73-97.

Hytti, U., P. Stenholm, J. Heinonen and J. Seikkula-Leino, 2010. Perceived learning outcomes in entrepreneurship education: The impact of student motivation and team behavior. Education + Training, 52(8/9): 587-606. View at Google Scholar | View at Publisher

Izquierdo, E., D. Deschoolmeester and D. Salazra, 2005. The importance of competencies for enterpreneurship: A view from entrepreneurs and scholars’ perspective. Surrey - Reino Unido: IntEnt.

Jack, S.L. and A.R. Anderson, 1999. Entrepreneurship education within the enterprise culture. International Journal of Entrepreneurial Behavior & Research, 5(3): 110–125. View at Google Scholar | View at Publisher

Kelley, D., S. Singer and M. Herrington, 2016. Global Entrepreneurship Monitor 2015/2016 Global Report Global Report.

Matlay, H., 2008. The impact of entrepreneurship education on entrepreneurial outcomes. Journal of Small Business and Enterprise Development, 15(2): 382–396. View at Google Scholar | View at Publisher

Millman, C., H. Matlay and F. Liu, 2008. Entrepreneurship education in China: A case study approach. Journal of Small Business and Enterprise Development, 15(4): 802 – 815.View at Google Scholar | View at Publisher

Mitchelmore, S. and J. Rowley, 2010. Entrepreneurial competencies: A literature review and development agenda. International Journal of Entrepreneurial Behavior & Research, 16(2): 92-111.View at Google Scholar | View at Publisher

Mitchelmore, S. and J. Rowley, 2013. Entrepreneurial competencies of women entrepreneurs pursuing business growth. Journal of Small Business and Enterprise Development, 20(1): 125-142. View at Google Scholar | View at Publisher

Muhammad, A., S. Akbar and M. Dalziel, 2011. The journey to develop educated entrepreneurs: Prospects and problems of Afghan businessmen. Education + Training, 53(5): 433 – 447. View at Google Scholar | View at Publisher

Mustafa, M.J., E. Hernandez, C. Mahon and L.K. Chee, 2016. Entrepreneurial intentions of university students in an emerging economy: The influence of university support and proactive personality on students’ entrepreneurial intention. Journal of Entrepreneurship in Emerging Economies, 8(2): 162-179. View at Google Scholar | View at Publisher

Mwasalwiba, E.S., 2010. Entrepreneurship education: A review of its objectives, teaching methods, and impact indicators. Education + Training, 52(1): 20 – 47. View at Google Scholar | View at Publisher

Neergaard, H. and J.P. Ulhøi, 2007. Handbook of qualitative research methods in entrepreneurship. Gloucestershire: Edward Elgar Publishing Limited.

O’Donnell, A. and D. Cummins, 1999. The use of qualitative methods to research networking in SMEs. Qualitative Market Research: An International Journal, 2(2): 82 - 91. View at Google Scholar | View at Publisher

Pearce, J.A. and R.B. Robinson, 2008. Manajemen strategis-formulasi, implementasi dan pengendalian. (Y. Bachtiar & Christine, Trans.). 10th Edn., Jakarta: Penerbit Salemba Empat.

Pittaway, L. and C. Edwards, 2012. Assessment: Examining practice in entrepreneurship education. Journal Education + Training, 54(8/9): 778 – 800. View at Google Scholar | View at Publisher

Sugiyono, 2014. Memahami Penelitian Kualitatif. Bandung: Penerbit Alfabeta.

Wang, C.K. and P.K. Wong, 2002. Entrepreneurial interest of university students in Singapore. Technovation, 24(2): 163–172. View at Google Scholar | View at Publisher