Index

Abstract

This paper investigated the impact of practical work in promoting the learning of kinematics graphs in Tanzanian teachers’ training colleges. The study employed a quantitative research approach and experimental design. A total of 150 pre-service Physics teachers from two teachers’ training colleges were distributed into control and experimental groups. Pre-service teachers in the control group were taught through the usual lecture method while those in the experimental group were taught through practical work. Developed and validated physics teachers’ kinematics graphs concept inventory was used for measuring pre-service teachers’ achievement by administering tests before and after interventions. Simple descriptive (mean, minimum, standard deviations, and maximum) and inferential statistics (t-tests, effect size, p-value, and normalized score gains) were analyzed by using Statistical Package for Social Sciences version 22 and Microsoft Excel. The group of pre-service teachers in the experimental group performed better than those in the control group by achieving average normalized learning gains of 39.6% compared to normalized learning gains of 1.52% for the lecture class. There was also a statistically significant difference (p-value < 0.001) in performance when pre-service teachers were taught through practical work. The study concluded that the use of practical work in teaching and learning was a good approach because it improved pre-service teachers’ understanding of kinematics graphs significantly. Based on these findings, the study recommends using practical work in the teaching and learning process for better performance of learners in kinematics graphs and other topics of physics.

Keywords: Graphs, Kinematics, Learning , Practical work, Pre-service teachers, Teachers’ colleges.

Received: 15 December 2022 / Revised: 20 March 2023/ Accepted: 6 April 2023/ Published: 18 April 2023

Contribution/ Originality

This study contributes to the practical applications of kinematics graphs concept inventory assessment tool which was used to test the effectiveness of practical work and lecture teaching and learning methods. It identifies the need of using practical work in teaching for effective performance of students in kinematics graphs as opposed to traditional lecture method.

1. INTRODUCTION

1.1. Background to the Study

Improving students’ performance in Science, Technology, Engineering, and Mathematics (STEM)  has been a matter of concern for several years (Tugirinshuti, Mugabo, & Alexis, 2021). As a result, many countries have shifted from content-based curricula  to Competence-Based Curricula (CBC) (Ndihokubwayo, Uwamahoro, & Ndayambaje, 2020). The CBC emphasizes the use of learner-centered teaching and learning approaches such as practical work, videos, and oral presentations (Tanzania Institute of Education, 2007). Tanzania, one of the African countries, shifted from the content based curriculum to CBC in 2005 (Tanzania Institute of Education, 2010). The shift to CBC was meant to prioritize the acquisition of knowledge, skills and competence for practical applications in students’ real life. Physics is one of the fundamental science subjects that currently follow CBC in the teaching process (Tanzania Institute of Education, 2007).

The significance of physics is that it leads to the development of new technologies which are beneficial to mankind (llermeijer & Tran, 2019). For example, the application of physics principles is evident in modern discoveries like nuclear weapons (Kristensen, 2016), electricity (Pandey, 2020), and computer discoveries (Wolf, 2016). Despite the contribution of physics to global development, students’ performance in many countries has not been good over the years. For example, results from President's Office - Regional Administration and Local Government in Tanzania showed students’ performance in the Certificate of Secondary Education Examination was below 50% in 2017, 2018, and 2019 (President's Office - Regional Administration and Local Government, 2019, 2020).

Several topics contribute to the overall poor performance of students in each examination one of them is motion in a straight line. The topic consists of concepts such as displacement, distance, velocity, speed, and acceleration. The importance of the topic is that it consists of concepts that build the foundations of learning other topics (Beichner, 1994). Concepts of motion in a straight line are presented as kinematics formulas and displayed as kinematics graphs. Kinematics graphs consist of position, velocity, and acceleration as the ordinate and time as the abscissa. There are numerals, and fundamental errors found when students are plotting, interpreting, and analyzing kinematics graphs. For example, in illustrating the position-time graph, students often make mistakes in plotting graphs of remaining objects (Amin et al., 2020), and face difficulty in interpreting area under kinematics graphs (Antwi, Savelsbergh, & Eijkelhof, 2018; Beichner, 1994), and confusion between slope and height (McDermott, Rosenquist, & Van Zee, 1987; Phage, Lemmer, & Hitge, 2017).

Results from the National Examination Council of Tanzania (NECTA) indicate that students are not performing well for the topic in Form Four and Form Two national examinations. For example, form four candidates in 2019 were required to find the time taken by an object to reach the maximum height after being moved upward at a height of 20m. Most of them failed to provide a correct answer because they had little understanding of kinematics concepts for the motion of objects under gravity (National Examination Council of Tanzania, 2019b). Moreover, according to NECTA (National Examination Council of Tanzania, 2017, 2018, 2019a, 2020, 2021), students had a low performance for consecutively five years on the same topic in the Form Two national assessment as shown in Figure 1.

Figure 1. Students' performance on motion in a straight-line topic from 2017 to 2021.

Figure 1 presents that students’ highest average performance for consecutively five years was 20.9% and the lowest was 11.7% in 2018 and 2020 respectively. The performance is considered to be good if students’ mean percentage performance lies in the interval of 65 to 100, average if lies in interval of 30 to 64, and weak if lies in the interval of 0 to 29 (National Examination Council of Tanzania, 2018). Therefore, for five years students’ achievements on the topic were weak because their mean percentage performance lay in the interval of 0 to 29.

Several factors are associated with students’ poor performance in kinematics such as students' insufficient knowledge of reading graphs, low ability to solve tests in graphical form, and low understanding of the formula used to describe graphs (Amin et al., 2020). Other factors not fixed to kinematics but Physics in general include students’ negative attitude towards the subject (Mbonyiryivuze, Yadav, & Amadalo, 2021) and the dominance of traditional methods of teaching like lecturing and taking notes (Mukuka, Mutarutinya, & Balimuttajjo, 2019; Ndihokubwayo et al., 2020). Traditional methods make teaching less interactive and more difficult for learners to understand. Subsequently, learners develop negative attitudes towards the subject because the adopted pedagogy fails to present the concept in ways relevant to them. Thus, deliberate efforts are required to increase students’ performance in the topic and Physics in general.

One of the efforts is the use of practical work. Practical work is the learning strategy that engages students in hands-on activities by assisting them to develop various skills such as observation, data collecting, data recording and drawing charts to understand the natural world (Lunetta, Hofsein, & Clough, 2007; Stoffels, 2005). The use of practical work in teaching and learning has been accepted among scholars as a strategy that promotes students' conceptual understanding of the natural world (Dkeidek, Mamlok-Naaman, & Hofstein, 2012; Millar, 2004). It has been argued that students learn better when they engage directly in the laboratory or outdoor activities such as touching, measuring, recording data, feeling, manipulating, marking charts, and drawing conclusions than being recipients of transmitted knowledge from teachers (Ateş & Eryilmaz, 2011). This argument is linked to the notion that “I hear and forget, I see and remember, I do and understand” (Sharpe, 2012). Therefore, this study assessed the impact of practical work in promoting pre-service physics teachers' understanding of kinematics graphs in Tanzania.

1.2. Research Questions

Is there any statistically significant difference in performance between pre-service teachers who were taught kinematics graphs through practical work and the ones through lecture methods?

1.3. Research Hypothesis

There is no statistically significant difference between pre-service teachers who were taught kinematics graphs through Practical work and the ones through lecture methods.

2. LITERATURE REVIEW

2.1. Practical Work as a Teaching Method

Teaching and learning physics by nature requires a hands-on (doing) and minds-on (critical thinking) inquiry-based discipline that is best learnt through involving practical work (Ologo, 2016). Practical work, laboratory work, investigations, and experiments are regarded by literature as the same thing but with distinct meanings (Babalola, 2017; Leite & Dourado, 2013). Abrahams and Millar (2008) preferred to use “practical work” over other terms because practical work can be done inside the laboratory or be conducted outside the classroom. The use of practical work in teaching and learning has been accepted among scholars as a strategy that promotes students' conceptual understanding of the natural world (Dkeidek et al., 2012; Millar, 2004).

Practical work in physics provides opportunities to learn by doing the same way physics scientists do (Adeyemi, 2011). For practical work to be effective, there is a need to clarify the purpose of practical work before involving learners (Needham, 2014). The context in which practical work is being conducted has a strong influence on the performance of students (Abrahams & Millar, 2008). It has been argued that students learn better when they engage directly in the laboratory or outdoor activities such as touching, measuring, recording data, feeling, manipulating, marking charts, and drawing conclusions than being recipients of transmitted knowledge from teachers (Ateş & Eryilmaz, 2011). Therefore, the use of practical work in teaching and learning has a potential impact on students’ achievements.

2.2. Challenges of Kinematics Graphs

The knowledge of kinematics graphs is essential to learners, especially during practical sessions, yet a large number of students have difficulties with them. According to Maries and Singh (2016), many students have difficulties with graphs in kinematics even after learning relevant concepts. Beichner (1994) pointed out seven misconceptions that learners were facing when dealing with kinematics graphs which included; learners seeing the graph as a picture, confusion between slope and height, confusion of variables, difficulty in determining the slope of the line, confusion of area under kinematics graphs, and confusion between area, slope and height. The study by Hestenes, Wells, and Swackhamer (1992) revealed misconceptions in kinematics such as difficulty to discriminate position and velocity, and velocity and acceleration.

Meanwhile, Phage et al. (2017) and Núñez, Suárez, and Castro (2022) found that very few students could associate the slope with velocity or acceleration.  Insufficient understanding of the slope concepts contributed to the low performances of students on kinematics graphs. Findings by Antwi (2015) reported four difficulties students had with kinematics graphs; difficulties in describing shapes of kinematics graphs, calculating slopes from curved graphs, interpreting areas under kinematics graphs and converting between kinematics graphs. Furthermore, the study by Amin et al. (2020) outlines factors causing students difficulties in interpreting kinematics graphs such as; insufficient knowledge of reading graphs and low understanding of the formula used to describe graphs. Moreover, McDermott et al. (1987) revealed two kinds of students’ difficulties with kinematics graphs which include difficulties in connecting graphs to physical concepts and connecting graphs to the real world. Therefore, the identification of challenges facing students about kinematics graphs is importance in order to find a proper way of solving them.

2.3. Theoretical and Conceptual Framework

The study was underpinned by the constructivism learning theory. Constructivism learning theory has its roots in Levy Vygotsky (1896-1943), Jean Piaget (1896-1980), John Dewey (1859-1952) and Jerome Bruner (1915-2016). Constructivist learning theory is based on the following assumptions: knowledge is actively constructed by individual, assessment should focus on hands on activities and should be authentic; teacher perform the role of facilitators, and  learning is both an individual and social process (Bada & Olusegun, 2015). Constructivism learning theory in this study focused on Piaget’s cognitive constructivism, Vygotsky’s social constructivism and Brunner’s discovery constructivism learning theories. Piaget’s cognitive constructivism focus on learning through assimilation and accommodation (Piaget, 1976). Assimilation is a process of taking in new information or experiences and incorporating them into the existing ideas while accommodation is a process of modifying existing cognitive schema to include new information. Vygotsky’s social constructivism focuses on learning through social interaction process (Vygotsky, 1980). This idea is based around what Vygotsky called the Zone of Proximal Development. Vygotsky describes it as "the distance between the actual development level as determined by independent problem solving and the level of potential development as determined through problem solving under adult guidance or in collaboration with more capable peers". Brunner’s discovery constructivism focuses on learners to discover facts and relationship for themselves (Bruner, 1961). Bruner puts an emphasis on the active learning process in which learners construct new ideas or concepts based upon their prior knowledge.

The theory played an important role in teaching and assessments of pre-service physics teachers. The study had both experimental and control groups. After taking the pre-test, the pre-service teachers in the experimental group received interventions through practical work while the control group received only through conventional lectures. In line with the constructivism learning theory, which advocates learning by doing, pre-service teachers in the experimental group were subjected to a series of experiments before taking the post-test. Thereafter, the post-test was conducted to assess the impact of newly acquired knowledge through practical work and lecture method interventions. The conceptual framework used is shown in Figure 2.

Figure 2. Conceptual framework of practical work and lecture interventions.

Figure 2 indicates the conceptual framework whereby pre-service physics teachers in the experimental group and control group after the pre-test were subjected to a series of practical works and lectures respectively. All efforts were made to prevent the insertion of their characteristics in the study. Finally, pre-service physics teachers took the post-test to assess their improvement in interpreting kinematics graphs as a result of the acquired changes from practical work and lecture interventions.

3. RESEARCH METHODOLOGY

3.1. Approach and Design

This study adopted the quantitative research approach with an experimental research design. In this design, one group of participants (experimental) received an intervention and the other group (control) did not receive interventions or was left with the normal practice (Farghaly, 2018). In this study, pre-service teachers in experimental and control groups took a pre-test to assess their prior understanding of kinematics graphs which was followed by interventions through practical work and usual traditional (lecture) methods respectively.  After interventions, both participants in experimental and control groups took a post-test to assess their improved knowledge on interpreting kinematics graphs.

3.2. Research Participants

A total of 150 respondents comprising 75 pre-service Physics teachers from each of the two selected teachers’ training colleges in Tanzania participated in the study. Half of the respondents were in year 1 and the other half were in year 2 pursuing diploma teachers’ programs by majoring in Physics, education, and one more science subject. Males were 120 and females were 30 with their ages ranging from 21 to 23 years of age. Pre-service Physics teachers were targeted because they were future physics teachers and the kinematics graphs concept inventory was developed for physics teachers. Apart from pursuing physics, each year during their course of study, participate in teaching practice in ordinary-level secondary schools where kinematics graphs were being taught. All respondents were sampled randomly from their respective classes and two teachers’ training colleges.

3.3. Instruments and Validation

Pre-service teachers were assessed by using developed and validated kinematics graphs concept inventory for physics teachers. Some of the questions in the concept inventory were adapted from Beichner (1994) and McDermott et al. (1987) while others were constructed by the researcher. To ensure the validity, multiple-choice questions were examined by a panel of 11 Physics experts comprising secondary school physics teachers, diploma teachers’ college tutors, pre-service teachers, and university physics lecturers from Tanzania. Test items were also piloted with pre-service Physics teachers’ focus group discussion and then re-piloted after 3 months. Thereafter, re-test reliability was calculated and found to have a correlation coefficient of 0.878. The developed kinematics concept inventory for physics teachers with 25 multiple-choice conceptual questions has been attached in the Appendix section.

3.4. Data Collection Procedures

Pre-service Physics teachers in experimental and control groups were taught using practical work and lecture methods respectively. The process used for this study is shown in Figure 3 .

Figure 3. The process of data collection for control and experimental groups.

In Figure 3 the pre-test was administered to the control and experimental groups.  It was given to assess whether groups had a similar level of understanding of kinematics graphs. For 10 weeks, pre-service teachers in the experimental group received interventions through practical work while the control group was taught through a series of lectures. Materials used in the experimental group included two hired motorcycles, one car owned by the assistant researcher, tape measures, and stopwatches. Firstly, pre-service teachers in the experimental group were divided into 5 groups, each with 15 respondents. Secondly, distances were measured using tape measures on grounds at the teachers’ training college.

During the experiment, pre-service teachers recorded the time car and motorcycles took to cover a certain distance. Because none of the pre-service teachers was able to drive a car and only five were able to drive motorcycles, all pre-service teachers were involved in the process of generating and collecting data through walking and running at different velocities. Four Physics tutors (2 per group) were involved in the teaching process. The instructional plan for experimental and a control group is summarized in Table1.

Table 1. Instructional plan for control and experimental groups.
Weeks Day 1 Day 2
Week 1 Pre-testing Introducing the topic
Week 2 Position-time graphs with objects moving forward and backwards Position-time graphs with objects at rest, forward, and backward directions
Week 3 Position-time graphs with objects moving at constant velocities Position-time graphs with objects moving at different velocities
Week 4 Interpret the slope of a position-time graph Determine the total distance covered in position-time graphs
Week 5 Velocity-time graphs with objects moving at constant velocity Velocity-time graphs with objects moving at constant acceleration
Week 6 Velocity-time graphs with objects moving at different accelerations Interpret the slope of the velocity-time graphs
Week 7 Interpret the area under velocity-time graphs Convert position-time graphs to velocity-time graphs
Week 8 Convert velocity-time graphs to position-time graphs Acceleration-time graphs with constant accelerations
Week 9 Interpret the area under acceleration-time graphs Convert acceleration-time graphs to velocity-time graphs
Week 10 Convert velocity-time graphs to acceleration-time graphs Post-testing

Table1 indicates in detail how the interventions were carried out in both groups. After interventions, both groups sat for the post-test. The post-test was given to assess whether the interventions had any effect on pre-service teachers’ understanding of kinematics graphs. The items used for the post-test were similar to those used during the pre-test.

3.5. Data Analysis Procedures

Simple descriptive (mean, minimum, standard deviations, and maximum) and inferential statistics (t-tests, effect size, p-value, and normalized score gains) were analyzed by using Statistical Package for Social Sciences version 22 and Microsoft Excel. The study also compared the average normalized learning gain scores according to interventions that were given for each group. Average normalized learning gain is the percentage ratio of the mean difference between the post- and pre-test over the mean difference between the highest expected score (100%) and pre-test score (Hake, 1998).

3.6. Ethical Considerations

Ethical issues which were considered in this study include having research permits, participants signing consent forms to give consent for their willingness to participate, and acknowledging the sources of information by citing and putting their bibliography inside the main text and in the reference section respectively.

4. RESULTS

The average performance of all 150 pre-service physics teachers during the pre-test was expected to be above 50% because they studied the topic of motion in a straight line when in ordinary-level secondary schools. However, findings showed their mean score and standard deviation during the pre-test was 36.51±7.8. This performance was lower than what was expected from the population who studied the topic in secondary schools. Previous findings have identified challenges facing pre-service teachers such as difficulties in interpreting constant velocity, difficulties in interpreting the slope and height, and challenges in calculating distance in forward and backward directions. Others included difficulties in converting between kinematics graphs, difficulties in presenting graphs of stationary objects, and challenges in describing areas under kinematics graphs. The identified misconceptions were indicators that pre-service Physics teachers lacked understanding of some kinematics graphs concepts which required interventions to address them.

Pre-service teachers' performance in two interventions indicated that practical work interventions had more impact on their understanding of kinematics graphs. Table 2 provides a summary of the maximum, minimum, mean, and standard deviation for all groups in pre-and post-tests.

Table 2. The overall pre-service teachers' achievements from two interventions.
S/N
Interventions
N
Test
Pre-service teachers’ performance
Mean
STD
Minimum
Maximum
1
Lecture method
75
Pre-test
36.69
7.9
24
48
63
Post-test
37.65
6.95
28
52
2
Practical work
75
Pre-test
36.32
7.75
12
56
65
Post-test
61.54
7.25
36
84

Table 2 indicates that practical work interventions had both the lowest and the highest mean performance at pre-and post-test respectively. It implies that practical work potentially increased pre-service teachers’ performance on kinematics graphs. The standard deviation for the lecture method was higher than that of practical work during the pre-test, as was revealed on the contrary in the findings from the post-test. The lowest score was 12% and the highest was 84% for pre-and post-tests in a class taught through practical work. Generally, the indication is that practical work positively improved pre-service teachers' performance compared to the lecture method.

The mean difference of 0.96% and 25.22% equates to the average normalized score gain of 1.52% and 39.6% for the lecture method and practical work respectively. Figure 4 shows the mean performance and average normalized score gains for each class according to the interventions which were given.

Figure 4. Teaching interventions and outcome results.

Figure 4 entails significant gain of pre-service teachers who were taught through practical work compared to those taught through the lecture method. These findings suggest that the use of practical work in teaching and learning kinematics graphs improves students’ performance. Meanwhile, before opting on whether to perform parametric or non-parametric analysis, the Shapiro and Wilk (1965) normality test was performed in both groups. All scores were revealed to be normally distributed as indicated in Table 3.

Table 3. Shapiro-wilk normality test results for pre-and post-pilots.
Groups Tests
N
Significance
Results distribution
Control Pre-test
75
0.107
Normal
Post-test
63
0.121
Normal
Experimental Pre-test
75
0.104
Normal
Post-test
65
0.097
Normal

From Table 3, the significance values for pre-and post-test scores distributions in both control and experimental groups were ≥0.05. These findings signify that scores were normally distributed, thus allowing analysis of parametric tests. Parametric analysis in terms of independent samples and paired samples t-tests were carried out.

Table 4 shows the mean, standard deviation (STD), t-test, degree of freedom (df), p-value and effect size for the independent sample.

Table 4. Pre-service teachers’ performance in pre-and post-test across groups.
Test Groups
N
Mean
STD
T
Df
Sig. (2-Tailed)
Effect size
Pre-test Control
75
36.69
7.90
0.292
148
0.771
0.30
Experimental
75
36.32
7.75
Post-test Control
63
37.65
6.95
-12.78
97.76
˂0.001
10.78
Experimental
65
61.54
7.25

It is clear from Table 4 that the p-value˃0.05 and p-value < 0.001) implies no statistically significant difference between pre-service teachers in the experimental group and those in the control group during the pre-test while there was a statistically significant difference for the post-test. These findings signify those pre-service teachers in both the control and experimental groups had a similar understanding of kinematics graphs before interventions. Similarly, the effect size of 0.30 and 10.78 for the pre-and post-test indicate low and high effect sizes respectively. According to Cohen (1988), the size effect below 0.2 is regarded as a small effect size, above 0.5 is medium, and above 0.8 is a large effect size. Therefore, practical work produced a higher effect among pre-service teachers than the use of the lecture method. Meanwhile, the paired sample test also indicated no statistically significant difference in performance between pre-and post-tests for the control group. However, there was a statistically significant difference between pre-and post-tests for the experimental group as shown in Table 5.

Table 5. Pre-service teachers’ performance in pre-and post-test within groups.
Groups Test
N
Mean
STD
T
Df
Sig. (2-Tailed)
Effect size
Control Pre-test
63
36.76
7.96
-1.525
62
0.132
0.12
Post-test
63
37.65
6.95
Experimental Pre-test
65
36.55
7.58
-22.242
64
˂0.001
10.7
Post-test
65
61.54
7.25

From Table 5 the effect, size was 0.12 and 10.7 for the control and experimental group respectively. This suggests that there was a minor effect from the lecture method and a larger effect from practical work within groups for pre-and post-testing. Moreover, the p-value ˃ 0.05 for the control group and p-value ˂ 0.001 for the experimental group indicated that only the difference in performance between pre-and post-tests within the practical work class was statistically significant. In other words, practical work interventions had increased pre-service teachers' performance in kinematics graphs, indicating that educators can teach effectively with practical work. Therefore, there was enough evidence to reject the null hypothesis, which stated to have no statistically significant difference between practical work and lecture methods.

5. DISCUSSION

Findings revealed that practical work improved preservice teachers' understanding of kinematics graphs as opposed to the traditional (lecture) method. Therefore, the null hypothesis, which stated there existed no statistically significant difference between pre-service Physics teachers taught through practical work and ones through lecture method, was rejected. Practical work instructional strategy received a larger effect size than lecture methods. The pre-service teachers taught using practical work also achieved a higher mean performance and statistically significant increase (p˂0.01) than students taught using lecture methods. Pre-service teachers’ involvement in measuring, recording data, and drawing kinematics graphs, changed their conceptual thinking about kinematics graphs. The use of practical work to enhance students' understanding of kinematics graphs are in line with Beichner (1994) and Núñez et al. (2022) who suggest that experiment improves learner' critical thinking and abilities to interpret kinematics graphs. In addition, the study aligns with the findings by Wakumire, Nkundabakura, Mollel, Nazziwa, and Wakhata (2022) who found that involving students in hands-on activities, substantially improved performance in their understanding of kinematics. Findings further concur with (Hernández, Núñez, & Gamboa, 2021) who indicated learners’ improvement in performance when students in the intervention group, work in small groups through experiments with kinematic concepts such as changes in speed, position, and acceleration. Moreover, Antwi (2015) concluded that the lecture method had no impact on students' skills in drawing and interpreting kinematics graphs. Therefore, the use of practical work to teach kinematics graphs has a positive impact on improving students' conceptual understanding. However, some science educators have raised considerable doubts about the effectiveness of using practical work as a way to enhance students learning of physics. For example, Abrahams (2011) asserted that practical work is not an effective tool for understanding theoretical concepts. The study by Needham (2014) asserted that if the purpose of practical work is not well clarified before involving learners in the teaching process, will tend to confuse students. Despite practical work being one of the learner-centered approaches to teaching and learning, reports from Ndihokubwayo et al. (2020) and Mukuka et al. (2019) show that many teachers are reluctant to use learner-centered teaching and learning approaches.

6. CONCLUDING REMARKS

It has been noted that the use of practical work in teaching and learning kinematics graphs has significantly improved pre-service teachers’ understanding of kinematics graphs concepts; interpreting constant velocity, calculating distance in forward and backward directions, interpreting slopes of position-time graphs, converting between kinematics, and interpreting the area under acceleration time graphs. Also, the use of practical work in teaching and learning kinematics graphs promoted pre-service teachers’ interactive engagement: touching, measuring, recording data, feeling, manipulating, marking charts, and drawing conclusions.  On the contrary, pre-service teachers were just recipients of transmitted knowledge from teachers when the lecture method was used in the teaching and learning of kinematics graphs, hence in the control group, very little conceptual understanding of kinematics graphs was achieved. Based on the findings and conclusions drawn from the study, the study recommends for better performance of students in kinematics graphs, practical work should be used in the teaching and learning process.

Funding: This research is supported by African Centre of Excellence for Innovative Teaching and Learning Mathematics and Science based at the University of Rwanda (Grant number: ACE II(P151847)).

Competing Interests: The authors declare that they have no competing interests.

Authors’ Contributions: Both authors contributed equally to the conception and design of the study.

REFERENCES

Abrahams, I. (2011). Practical work in secondary science: A minds-on approach. London: Continuum.

Abrahams, I., & Millar, R. (2008). Does practical work really work? A study of the effectiveness of practical work as a teaching and learning method in school science. International Journal of Science Education, 30(14), 1945-1969. https://doi.org/10.1080/09500690701749305

Adeyemi, T. O. (2011). A comparative study of students’ academic performance in public examinations in secondary schools in Ondo and Ekiti States, Nigeria. Current Research Journal of Economic Theory, 3(2), 36-42.

Amin, B. D., Sahib, E., Harianto, Y., Patandean, A. J., Herman, H., & Sujiono, E. H. (2020). The interpreting ability on science kinematics graphs of senior high school students in South Sulawesi, Indonesia. Journal of Indonesian Science Education, 9(2), 179-186. https://doi.org/10.15294/jpii.v9i2.23349

Antwi, V. (2015). Impact of the use of MBL, simulation and graph samples in improving Ghanaian SHS science students understanding in describing kinematics graphs. Advance in Life Science and Thecnology, 31(1), 24-33.

Antwi, V., Savelsbergh, E., & Eijkelhof, H. (2018). Understanding kinematics graphs using MBL tools, simulations and graph samples in an interactive engagement context in a Ghanaian university. In Journal of Physics: Conference Series, 1076(1), 012002. https://doi.org/10.1088/1742-6596/1076/1/012002

Ateş, Ö., & Eryilmaz, A. (2011). Effectiveness of hands-on and minds-on activities on students' achievement and attitudes towards physics. In Asia-Pacific Forum on Science Learning and Teaching, Hongkong, 12(1), 1-22.

Babalola, F. (2017). Advancing practical physics in Africa’s schools. United Kingdom: Open University.

Bada, S. O., & Olusegun, S. (2015). Constructivism learning theory: A paradigm for teaching and learning. Journal of Research & Method in Education, 5(6), 66-70.

Beichner, R. J. (1994). Testing student interpretation of kinematics graphs. American Journal of Physics, 62(8), 750-762. https://doi.org/10.1119/1.17449

Bruner, J. S. (1961). The act of discovery. Massachusetts: Harvard University Press.

Cohen, J. (1988). Statistical power analysis for the behavioral sciences. In (2nd ed., pp. 567). New York: Routledge.

Dkeidek, I., Mamlok-Naaman, R., & Hofstein, A. (2012). Assessment of the laboratory learning environment in an inquiry-oriented chemistry laboratory in Arab and Jewish high schools in Israel. Learning Environments Research, 15, 141-169. https://doi.org/10.1007/s10984-012-9109-3

Farghaly, A. (2018). Comparing and contrasting quantitative and qualitative research approaches in education: The peculiar situation of medical education. Education in Medicine Journal, 10(1), 3-11.

Hake, R. R. (1998). Interactive-engagement versus traditional methods: A six-thousand-student survey of mechanics test data for introductory physics courses. American Journal of Physics, 66(1), 64-74. https://doi.org/10.1119/1.18809

Hernández, C. A., Núñez, R. P., & Gamboa, A. A. (2021). Gains in active learning of physics: A measurement applying the test of understanding graphs of kinematics. Journal of Physics: Conference Series, 2073(1), 012003.

Hestenes, D., Wells, M., & Swackhamer, G. (1992). Force concept inventory. The Physics Teacher, 30(3), 141-158.

Kristensen, H. M. (2016). The basics of nuclear weapons: Physics, fuel cycles, effects and arsenals. Washington D.C: Federation of American Scientists.

Leite, L., & Dourado, L. (2013). Laboratory activities, science education and problem-solving skills. Procedia-Social and Behavioral Sciences, 106, 1677-1686. https://doi.org/10.1016/j.sbspro.2013.12.190

llermeijer, T., & Tran, T. B. (2019). E-technology in teaching physics: Benefits, challenges, and solutions. In. upgrading physics education to meet the needs of society. In (pp. 35-67). Cham: Springer.

Lunetta, V. N., Hofsein, A., & Clough, M. P. (2007). Learning and teaching in the school science laboratory: An analysis of research, theory and practice. Handbook of Research on Science Education, 2, 393-441.

Maries, A., & Singh, C. (2016). Performance of graduate students at identifying introductory physics students' difficulties related to kinematics graphs. In 2014 PERC Proceedings, USA, 171-174. https://doi.org/10.1119/perc.2014.pr.039

Mbonyiryivuze, A., Yadav, L. L., & Amadalo, M. M. (2021). Students’ attitudes towards physics in nine years basic education in Rwanda. International Journal of Evaluation and Research in Education, 10(2), 648-659. https://doi.org/10.11591/ijere.v10i2.21173

McDermott, L. C., Rosenquist, M. L., & Van Zee, E. H. (1987). Student difficulties in connecting graphs and physics: Examples from kinematics. American Journal of Physics, 55(6), 503-513. https://doi.org/10.1119/1.15104

Millar, R. (2004). The role of practical work in the teaching and learning of science. Commissioned paper-committee on high school science laboratories: Role and vision. In (Vol. 308). Washington DC: National Academy of Sciences.

Mukuka, A., Mutarutinya, V., & Balimuttajjo, S. (2019). Exploring the barriers to effective cooperative learning implementation in school mathematics classrooms. Problems of Education in the 21st Century, 77(6), 745-757.

National Examination Council of Tanzania. (2017). Students’ response item analysis report for form two national assessment: Physics. Dar es Salaam, Tanzania: National Examination Council of Tanzania.

National Examination Council of Tanzania. (2018). Students’ response item analysis report for form two national assessment: Physics. Dar es Salaam, Tanzania: National Examination Council of Tanzania.

National Examination Council of Tanzania. (2019a). Students’ response item analysis report for form two national assessment: Physics. Dar es Salaam, Tanzania: National Examination Council of Tanzania.

National Examination Council of Tanzania. (2019b). Candidates’ response item analysis report for form four national examination: Physics. Dar es Salaam, Tanzania: National Examination Council of Tanzania.

National Examination Council of Tanzania. (2020). Students’ response item analysis report for form two national assessment: Physics. Dar es Salaam, Tanzania: National Examination Council of Tanzania.

National Examination Council of Tanzania. (2021). Students’ response item analysis report for form two national assessment: Physics. Dar es Salaam, Tanzania: National Examination Council of Tanzania.

Ndihokubwayo, K., Uwamahoro, J., & Ndayambaje, I. (2020). Effectiveness of PhET simulations and YouTube videos to improve the learning of optics in Rwandan secondary schools. African Journal of Research in Mathematics, Science and Technology Education, 24(2), 253-265. https://doi.org/10.1080/18117295.2020.1818042

Needham, R. (2014). The contribution of practical work to the science curriculum. School Science Review, 95(352), 63-69.

Núñez, R. P., Suárez, A. G., & Castro, W. A. (2022). Interpreting the slope of a straight line in kinematics graphs with school students. In Journal of Physics: Conference Series, 2163(1), 012011.

Ologo, D. (2016). The effect of practical work on SHS students' understanding of some selected topics in physics. Doctoral Dissertation, University of Education, Winneba.

Pandey, D. (2020). Understanding physics for JEE main and advanced electricity and magnetism (7th ed.). Haldwani, India: Arihant Publication Pvt. Ltd.

Phage, I. B., Lemmer, M., & Hitge, M. (2017). Probing factors influencing students’ graph comprehension regarding four operations in kinematics graphs. African Journal of Research in Mathematics, Science and Technology Education, 21(2), 200-210. https://doi.org/10.1080/18117295.2017.1333751

Piaget, J. (1976). Piaget’s theory. In Piaget and his school. In (pp. 11-23). Berlin, Heidelberg: Springer.

President's Office - Regional Administration and Local Government. (2019). Basic education statistics in Tanzania. Dar es Salaam, Tanzania: President's Office - Regional Administration and Local Government.

President's Office - Regional Administration and Local Government. (2020). Basic education statistics in Tanzania. Dar es Salaam, Tanzania: President's Office - Regional Administration and Local Government.

Shapiro, S. S., & Wilk, M. B. (1965). An analysis of variance test for normality (Complete samples). Biometrika, 52(3/4), 591-611.

Sharpe, R. (2012). Secondary school students’ attitudes to practical work in school science. Doctoral Dissertation, University of York.

Stoffels, N. T. (2005). “There is a worksheet to be followed”: A case study of a science teacher's use of learning support texts for practical work. African Journal of Research in Mathematics, Science and Technology Education, 9(2), 147-157. https://doi.org/10.1080/10288457.2005.10740585

Tanzania Institute of Education. (2007). Curriculum for ordinary diploma education in Tanzania. Dar es Salaam, Tanzania: Tanzania Institute of Education.

Tanzania Institute of Education. (2010). Physics academic syllabus for teachers’ ordinary diploma in education. Dar es Salaam, Tanzania: Tanzania Institute of Education.

Tugirinshuti, G. J., Mugabo, L. R., & Alexis, B. (2021). Effectiveness of video-based multimedia to enhance the learning of astrophysics in Rwandan secondary schools. Available at SSRN 3990199. https://doi.org/10.2139/ssrn.3990199

Vygotsky, L. S. (1980). Mind in society: The development of higher psychological processes. Massachusetts: Harvard University Press.

Wakumire, R., Nkundabakura, P., Mollel, A. D., Nazziwa, C., & Wakhata, R. (2022). Impact of project based-learning on students' critical thinking skills in kinematics in Mbale District, Uganda. East African Journal of Education and Social Sciences, 3(3), 160-170. https://doi.org/10.4314/eajess.v3i3.191

Wolf, M. (2016). The physics of computing (1st ed.). Burlington, Massachusetts, United States: Morgan Kaufmann

Appendix

Kinematics Graphs Concept Inventory

  1. The displacement versus time graph for five objects is given below. Which object is moving fast in the forward direction with constant velocity?
  2. (A) II, (B) III, (C) I, (D) V, (E) IV
    (B)  
  3. An object starts from rest and then moves as shown in the area of the figure below. The total distance travelled by the object is
  4. (A) 550m, (B) 400m, (C) 24m, (D) 275m, (E) 300m


  5. Here is the position-time graph of the motion of the object. Which of the following indicates that the object is not moving at all?
  6. (A) BC and DE, (B) AB and EF, (C) CD and FG, (D) BC and CD, (E) EF and FG

      

  7. The displacement versus time graph for five objects is given below. Which object is moving slowly in the backwards direction with constant velocity?
  8. (A) I, (B) II, (C) IV, (D) III, (E) V


  9. Given five velocity-time graphs below. Which graph represents an object’s motion at constant velocity?
  10. (A) IV, (B) V, (C) II, (D) III, (E) I


  11. An acceleration-time graph is shown in the figure below. What does the area under the graph represent?
  12. (A) Change in velocity (B) Total distance travelled (C) Retardation

    (D)  Total velocity (E) Total time spent

  13. Two states of an object are shown in a position versus time graph below. How can you describe the states of an object?
  14. (A) An object is moving backwards and then forward.
    (B) An object is moving forward and then stopped.
    (C) An object is moving backwards and then stopped.
    (D) An object is stopped and then moves forward.
    (E) An object is topped and then moves backwards.


  15. You are provided with a velocity-time graph below. The acceleration of an object between time (t)=6 seconds to time (t)=9 seconds is
  16. (A) 20m/s2 (B) 10m/s2 (C) 50m/s2   (D) -20m/s2    € -10m/s2


  17. Different states of an object are shown in a displacement versus time graph below. How can you describe an object’s motion from point A to point D?
  18. (A) Forward, backward, and stationary.
    (B) Backward, stationary, and then forward.
    € Stationary, backward and then forward.
    (D) Stationary, forward and then backwards.
    € Forward, stationary, and then backwards.


  19. An object was moving as shown in the figure below. What is the velocity of an object at a time (t) = 4 seconds?
  20. (A) 2m/s, (B) 4m/s, (C) 10m/s, (D) 6m/s, (E) 5m/s


  21. Given graphs below. Identify two graphs representing objects’ motion at constant velocity
  22. (A) II and III, (B) I and II, (C) II and V, (D) III and IV, (E) IV and V


  23. The figure below represents the acceleration-time graph. The change in velocity is?
  24. (A) 10m/s, (B) 40m, (C) 40m/s, (D) 80m/s, (E) 20m/s


  25. A car was travelling as shown in the figure below. How long does it travel from time(t) = 5 hours to time(t) = 12 hours?
  26. (A) 400km  (B)200km  (C)600km     (D)1000km     (E) 800km


  27. Given the velocity-time graph below. Which sentence is the best interpretation of the object’s motion?
  28. (A) Deceleration then acceleration.
    (B) Acceleration then deceleration.
    (C) Retardation then acceleration.
    (D) Deceleration then retardation.
    (E) The object does not move.


  29. An object path is indicated in the displacement time graph below. How long does it journey from time (t) =10 seconds to time (t) =50 seconds?
  30. (A) 20m, (B) 40m, (C) 60m, (D) 80m, (E)100m


  31. Displacement-time graph for an object is shown below. The velocity at the time (t) = 2 seconds is about?
  32. (A) 5m/s, (B) 15m/s, (C) 10 m/s, (D) 2m/s, (E) 3m/s


  33. You are given a graph as shown in the figure below. What does the area represent?
  34. (A) Acceleration (B) Speed (C) Retardation (D) Total distance travelled (E) Velocity


  35. Consider the following graphs, noting the different axes

  36. Identify graphs which indicate motion with zero acceleration

    (A) I, II and IV  (B) III and IV     (C) II and V    (D) IV only     (E) V only
  37. The following graph is a position-time graph. The distance of the object from time (t) =0 seconds to time (t) = 20 seconds is 900Km, (B) 600Km, (C) 1200Km, (D) 1000Km, (E) 1500Km


  38. An object starts from rest and then moves as shown in the velocity versus time graph below. At which state an object is said to be decelerating?
  39. (A) AB and DE, (B) AB and EF, (C) DE and EF,        (D) BC and DE, (E) CD and EF


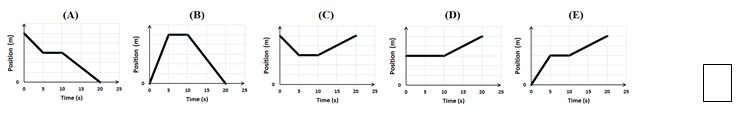
  40. An object starts from rest and moves forward with constant velocity for five seconds. It then stops for five seconds and continues forward with constant velocity for 10 seconds. Which of the following graph correctly describes this situation?


  41. By referring to the slope of the distance-time graph below. Which one of the sentences best describes the motion of object AC?
  42. (A) AC is moving slower than AB
    (B) AC and AB have the same velocity
    (C) AC is moving faster than AB
    (D) AC is moving forward and AB backwards
    (E) AC is moving backwards and AB forward


  43. The displacement-time graph below represents an object moving motion during a 60s-time interval.


  44. Which one of the following graphs of velocity versus time would best represent the object’s motion during the same time interval?

  45. The velocity-time graph below represents an object’s motion during a 50s-time interval


  46. Which of the following graphs of acceleration versus time would best represent the object’s motion during the same time interval?

  47. An acceleration graph for an object during a 50s-time interval is represented below

Which of the following velocity versus time represents the object’s motion during the same time interval?

Views and opinions expressed in this article are the views and opinions of the author(s), International Journal of Education and Practice shall not be responsible or answerable for any loss, damage or liability etc. caused in relation to/arising out of the use of the content.