Index

Abstract

Inulin is an oligosaccharide which can be used in the animal diet as a functional fiber. Among other natural plant-derived fructans, inulin has so many beneficial effects on the immune system, lipid metabolism, and helps in mineral absorption and has the ability to balance the intestinal microbiota of animals. Increasing global meat demand and ban of antibiotics as growth promoters in animal feed due to its residual effects in human food are the factors driving the growth of inulin as a feed additive. As feed additive in animal feed inulin has a positive effect on intestinal health and have the potential to improve the immunity of livestock and poultry. From few years, inulin has been making headlines in animal nutrition, but it remains a little-known feed ingredient and is even less used in the feed industry. Therefore, the objective of this review is to provide recently applied knowledge to the researchers about the general beneficial functions of inulin in the animal body and its application in the animal feed industry.

Keywords: Inulin, Prebiotic, Feed additive, Immunity, Intestinal microbiota, Physiological role.

Received: 9 January 2019 / Revised: 14 February 2019 / Accepted: 22 March 2019/ Published: 4 June 2019

Contribution/ Originality

Present study has much contribution of inulin use in animal nutrition. Before that lot of studies available on inulin in human. In our study we focus on inulin use in animal diet. It is considered a functional plant-based ingredient that effectively boosts digestion and other processes. From this study scientists and nutritionists get idea to use inulin in livestock and other animal feed.


1. INTRODUCTION

Inulin found in plants, fungi, and some bacteria but plants have natural storage oligosaccharide, mainly derived from dahlia tubers, chicory and elecampane roots (Hu et al., 2014; Petkova et al., 2015). Many studies revealed that inulin could balance the beneficial microflora of intestinal, have immunomodulatory effects, play an essential role in body fat metabolism and play a role in the anti-oxidation system of the body. In addition to the above, it also acts as substitutes for fats and sugars as well as probiotics (Shoaib et al., 2016). In 2018, Food and Drugs administration in the United States accepted inulin as a dietary fiber ingredient used to improve the nutritional value of manufactured food products. Nowadays inulin effects on animal production are less investigated than in food and pharmaceutical industry (Liu et al., 2015; Vassilev et al., 2016). Antibiotics residual effects and its miss use related food safety issues have gained particular importance due to increasing public safety awareness of animal products and abundantly of available scientific evidence. Breeding plan for "no resistance" will not be an easy job. So scientists are finding some novel feed additives those can have the ability to improve animal productivity and farmer profit. Inulin has much potential to improve immunity, act as antioxidant and naturally nontoxic to animal and another vital role as an additive. However, the addition of inulin in livestock and poultry production and its mechanism of action is still questionable. Therefore, this review summarizes the vital physiological functions and application of inulin in livestock and poultry production, in order to provide a theoretical reference for inulin further development and application.

2. WHAT IS INULIN?

Inulin is a type of natural fructans mixture in which fructose monomer connected by a β (2, 1) glycoside bond. This β (2, 1) linkages prevents inulin oligosaccharide from being hydrolyzed by digestive enzymes in monogastric animals with alpha-glycoside specificity (Mudannayake et al., 2015). Inulin can be hydrolyzed by β-fructan fructanohydrolases (exoinulinase and endoinulinase enzymes). The exoinulinase enzyme removes the end fructose residue from the non-reductive end of the chain, while endoinulinase enzyme acts on the internal link (Flamm et al., 2001; De Oliveira et al., 2011). Inulin hydrolyzed and in results of hydrolysis sugar and a small amount of glucose obtained, molecules less than 10 DP inulin called Fructooligosaccharide (FOS) (Ronkart et al., 2007). The inulin DP have an influence on its important physical properties, such as solubility, thermo-stability, sweetness and its prebiotic activity. Usually, the solubility of inulin decreases with the increase of DP. The solubility of inulin at room temperature is only 10%, while the solubility of FOS at room temperature is about 80% (Franck, 2002).

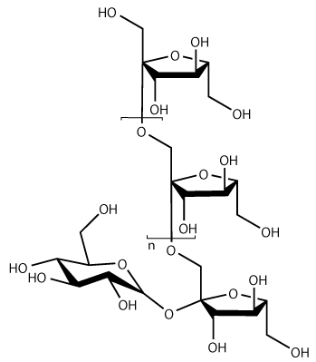
The chemical structure of inulin is shown in bellow in the Figure 1.

Figure-1. Structural formula of inulin It is a plants polysaccharides used as dietary fiber source in animal and human diet as well. It has ability to boost digestion and many other functions of animal body.

Source: Cui and Roberts (2009).

3. EFFECT OF INULIN AS A PROBIOTIC/PREBIOTIC

 In general, beneficial microorganisms such as Lactobacillus and Bifidobacterium bacteria in intestine play an essential role in protecting intestinal health. Inulin can increase the number of Bifidobacterium and Lactobacillus in the colon and increase their activity (Samanta et al., 2012) hence protecting intestinal health, this effect is known as the prebiotic effect. Inulin play role indirect role as probiotics by forming of short-chain fatty acids in large intestine after its fermentation (Tarini and Wolever, 2010; Ríos-Covián et al., 2016). The fermentation of inulin and FOS in the posterior part of intestine produced short-chain fatty acids (acetic acid, butyric acid and propionic acid), which reduced the pH of the intestine and thus stimulate the beneficial bacteria proliferation. Short-chain fatty acids not only provides a source of energy for the host but also has a range of effects, such as regulating the proliferation, differentiation and migration of intestinal epithelial cells, affecting the metabolism of glucose and lipid. Moreover, it plays a vital role in maintaining the gut environment stability and affecting the mucosal barrier of the intestine (Rebolé et al., 2010). The increased number of Lactobacillus in the cecum was observed when adding inulin @10 g/kg in broiler diet while when the addition level of inulin was increased to 20 g/kg, the increased number of Lactobacillus and Bifidobacterium was observed in the cecum and distal part of the small intestine. Inulin DP has much influence on its mechanism of regulation of intestinal microbial flora (Zhu et al., 2017). FOS results were better than inulin in the regulation of intestinal microorganisms in mice, the likely reason is that FOS and inulin hydrolyze into monosaccharides before being used by intestinal microbes, and fructose with low polymerization experience relatively rapid microbial fermentation. Long-chain fructose is more resistant to the fermentation process and remains longer in the gastrointestinal tract (Van et al., 2007). Short chain and long-chain inulin can affect the intestinal microflora growth and activity to varying degree (Patterson et al., 2010). Arcia et al. (2011) reported that the mixing of short-chain and long-chain inulin with a ratio of 50:50 has more beneficial effects in reducing the production of harmful gases and enhancing the beneficial effects of inulin.  Inulin-type fructans prevent colonization by pathogenic bacteria via competitive exclusion (Xu et al., 2003). In addition, it has also been advised that feeding inulin and FOS to broilers could increase the nutrients absorption by improving the intestinal mucosal structure such as increasing villus height (Pelicano et al., 2005; Rehman et al., 2007; Rebolé et al., 2010).

4. IMMUNOMODULATORY EFFECTS OF INULIN

The animal immune system greatly depends on adequate nutrients supply to function properly. Non-digestible carbohydrates along with the essential nutrients may also have an impact on the immune system (Seifert and Watzl, 2007). Prebiotics has an indirect beneficial effect on the immune system of the host by increasing the growth of lactic acid producing bacteria. The immune stimulating substances produced by the bacteria react with the immune system of the animal at different levels, comprising the production of cytokines, mononuclear cells and macrophage phagocytosis as well as the induction of synthesis of large amounts of Ig, particularly IgA (Praveen et al., 2017). Moreover, feeding of inulin-type fructans can be modulate associated mucosa microorganisms so that they generally considered as health promoting (Kleessen and Blaut, 2005). It is thought that inulin boosted with oligofructose create some beneficial alterations in the immune function of GALT (Roller et al., 2004). To achieve the immunomodulatory role, inulin with toll-like receptor 2 and toll-like receptor 4 stimulate the macro macrophages, monocytes and other immune cells. On the other hand, inulin fermentation products could be work as signal conduction molecules, affecting the activity of nuclear factor NF (NF⁃κB) signal transduction pathway and adenosine activation protein excitation enzyme. Studies have reported that in rat intestinal epithelial cells, oligosaccharides enhance the immune response by activating TLR4 and participating in NF⁃κB signal transduction, resulting in non-beneficial effects (Ortega‐González et al., 2014). (Capitán-Cañadas, 2013) also pointed out that in rat mononuclear cells, probiotics oligosaccharide directly regulates the production of inflammatory cytokines by activating TLR4. Huang et al., 2015 observed significantly improvement in immune function of 21 days old broiler with 5-10g/kg inulin addition in feed but in the later stage (42 days old) the improvement effect is not as good as the early stage, the possible reason is that the intestinal and immune function of the early broiler is not perfect. Increased intestinal acidity due to acid production from inulin fermentation may also contribute to the suppression of pathogens in the chicken gut. Prebiotics have also been reported to improve the immune response of birds, resulting in rapid clearance of pathogens from the gut (Kim et al., 2011). With respect to the immune-boosting outcome of inulin as prebiotics, could be due to direct relations between prebiotics and immune cells of the intestine and also due to an indirect action of prebiotics through first colonization of useful microbes and microbial products that interact with immune cells (Janardhana et al., 2009). Further, there has been improved mucosal immunoglobulin production and improved cytokine formation in the intestinal mucosa and spleen (Schley and Field, 2002).

5. REGULATING LIPID METABOLISM

It was reported that prebiotic feeding lowers the blood concentration of both cholesterol and triglycerides; showing greater importance for their lipidemia and cardiovascular welfares in both animal as well as in human (Samanta et al., 2013). In short-chain fatty acids, the inulin fermentation product except that some butyric acid salts in the intestine others are used as energy source by the metabolism of colon cells. The leftovers are transported to the liver and propionic acid is largely recycled as a precursor of glycogen (Roy et al., 2006). Acetate and butyric acid are generally involved in lipid synthetic (Ríos-Covián et al., 2016). Furthermore, to be used as a substrate, short chain fatty acids could also be observed as a signaling molecule by a specific G protein coupling receptor (GPRS) and aids in regulating lipid and glucose metabolism (Den Besten et al., 2013). In rat, the serum content of phospholipid, triglycerides and very low-density lipoprotein (VLDL) significantly decreased due to the addition of fructose oligosaccharide in the feed. This is mostly mediated by decreasing the fatty acid synthase activity such as fat-producing enzyme, malic acid enzyme, ATP citric acid cleavage enzyme, acetyl coenzyme a decarboxylase and glucose -6-phosphoric acid 1-dehydrogenase (Kok et al., 1996). Beylot (2005) have confidence in that the effects obtained in the rat trial have clearly demonstrated that inulin will lessen the content of triglycerides, a further rational explanation is: inulin oligosaccharide can reduce the expression of the fat-producing enzymes in the liver and reduce their activity, consequently reducing the fatty acids and triglycerides synthesis observed the lower content of cholesterol in the blood of rat fed with inulin by increasing the secretion of bile acid and inhibiting the activity of 3-hydroxyl -3-methyl glutaraldehyde CO-A reductase (Yusrizal and Chen, 2003) found a significant decrease in serum cholesterol content of broiler fed with inulin (Park and Park, 2012) found that in two test group the content of total blood cholesterol and triglycerides (250, 300mg/kg, respectively) significantly lower than that in the control group. While on the other hand, the study (Velasco et al., 2010) revealed that the addition of inulin would not lead to a decrease in cholesterol, LDL cholesterol (LDL⁃C) and HDL cholesterol (HDL⁃C) content of serum (Dewulf et al., 2011) the study revealed that body fat related with strong expression of GPR43 increased in subcutaneous adipose tissue, while the addition of inulin could decrease the expression of GPR43 and also reduce the increase of fat in mice fed with high-fat diet. Though, it has also been proposed that inulin oligosaccharide leads to a difference in the metabolism of triglycerides, depending on the type of feed given to animals (Delzenne et al., 2002). It was proposed that prebiotics may alter gene expression of lipogenic enzymes. Prebiotics sets the plasma free cholesterol levels in rat fed on the high-fat diet; implicating its extra-hepatic regulation of the metabolism of lipid. The prebiotic effect could be linked with insulin which potentiate the effect of gene expression (Samanta et al., 2013). The effect of inulin on the decrease of serum cholesterol level is controversial and still to be more investigated.

6. PROMOTES MINERAL ABSORPTION

The results show that the addition of inulin to livestock and poultry diet has a positive effect on the absorption and metabolism of some minerals like calcium, phosphorus, iron, zinc and copper (Chen and Chen, 2004). A study conducted by Ortiz et al. (2009) stated that the addition of inulin and Fructo-oligosaccharides to the feeding of poultry increased the content of blood calcium and significantly increased the content of total ash, calcium and phosphorus in the tibia.  They also proved that in broiler birds the dietary inulin enhanced the retention rate of calcium, zinc and copper increased by 18.4%, 35. 5% and 46. 6% respectively but did not effect on the retention rate of magnesium and iron. There are so many different opinions that exist at present about the mechanism of inulin to improve mineral absorption: short-chain fatty acids and organic acids produced by the inulin in the gut, resulting in lower intestinal pH, which raises the minerals solubility and through ion exchange systems short-chain fatty acids may also affect the calcium absorption. In addition, inulin through intestinal microbial fermentation products has a proliferative effect on intestinal cells, hence increasing the surface area for intestinal absorption, increasing the calcium binding protein expression and releasing bone regulator (Świątkiewicz et al., 2010). Tako et al. (2007); Yasuda et al. (2009) studied that on iron metabolism inulin has a positive effect by affecting the iron transporter protein expression, related enzymes and ferritin encoded genes in intestinal epithelial cells and its inhibition of genes related to inflammation. Their results indicated that there are so many other factors influence the absorption and utilization of mineral by inulin are present, such as the animal age and physiological stage of animals. The additional effect of inulin is more noticeable when animals are in the stage of rapid growth and development, or when estrogen secretion is inadequate, and the demand for calcium in animals is higher. Agreement with above author’s findings (Roberfroid, 2002) finds that addition of 5-10% chicory inulin in the feed of rats in developmental stage significantly enhances the mineral content and bone density of the entire body of rats.

7. INULIN APPLICATION IN LIVESTOCK AND POULTRY PRODUCTION

Weaning stress in piglets is often a predisposing factor which can easily cause diarrhea and other diseases in piglets due to damage of intestinal villi and imbalance of gut microbiota. When we add inulin in diet, the disease occurrence decreased. This inulin used by beneficial lactic acid producing bacteria (Bifidobacterium) in the intestine and due to lactic acid and short-chain fatty acid production intestinal pH reduce and stimulate the production of immunoglobulin and help in competitive exclusion of pathogens thus protecting intestinal health. In the cecum contents of piglets number of Bifidobacterium and Lactobacillus was increased and also significantly increased expression of mucin gene in duodenum was observed by Tako et al. (2007) when they add 4% inulin in the diet of piglets. It showed that inulin-type fructo-oligosaccharide significantly increase the height of intestinal villi in weaning piglets (Spencer et al., 1997). Pierce et al. (2006) also found that inclusion of 150 g/kg inulin in weaning piglet diet resulted in significant improvement in intestinal health through intestinal pH reduction and also significantly increase in villous height.  In addition reduction in ammonia emissions by 34% were observed in fattening pig feed with 15% inulin in diet (Hansen et al., 2007). Petkevičius et al. (2003) found that inulin can significantly reduce the number of fecal eggs (Oesophagostomum dentatum) in pigs so has an excellent deworming effect. The above studies showed that inulin fructo-oligosaccharide has many beneficial effects on the intestinal health of pigs and poultry. Adding inulin to broiler feed can activate genes and pathways those involved in the immune process, therefore regulating the immune status and raising the production of long chain fatty acids in broilers feed with 5g/kg inulin in the diet of broilers (Sevane et al., 2014). The contents of immunoglobulin G (IgG), immunoglobulin M (IgM) and immunoglobulin A (IGA) in the serum of inulin fed group increased significantly by adding microencapsulated inulin and antibiotics to the feeding of the broiler. The addition of microcapsulated inulin oligosaccharide 250 mg/kg into the diet of laying hens can stimulate the growth of beneficial cecum bacteria and concurrently improve egg production and quality. In addition, Nabizadeh et al. (2012) observed that the addition of inulin in broiler diet led to a significant increase in total anti-SRBC and IgG titers of broiler at 35 days of age. They conclude that inulin supplementation improved growth significantly and also may enhance broiler chicken immune response. In addition, inulin supplementation also potentially improved the intestinal health by stimulating the production of short chain fatty acid (butyric acid) and mucin (Zhu et al., 2017). Huang et al. (2015) the study indicated that dietary inulin has beneficial effects on enhancing intestinal immune function (IGA content of the cecum) at the levels of 5–10 g/kg of broiler chicken diet at a younger age when the intestinal function is not fully established. It is stated that dietary inulin significantly enhanced the apparent ileal digestibility coefficient of crude protein and crude fat. Furthermore, there was a significant improvement in the digestibility of most amino acids and fatty acids were observed in inulin fed diet broilers (Alzueta et al., 2010). Inulin (4-6 g/kg of diet) with the higher degree of polymerization (DP ≥ 23) provided better results of the blood metabolic profile during the broiler fattening period. Though, the influence of the degree of polymerization is not clear (Kowalczuk-Vasilev et al., 2017).

8. SUMMARY

As a feed supplement inulin has a diversified physiological functions, help in the balance of intestinal microflora and also maintain the intestinal environment of livestock and poultry, inhibiting pathogenic microorganisms, regulating the body's immunity, help in mineral absorption, enhance weight gain, build up the skeletal system, and improve slaughter performance and egg production and egg quality in poultry. Inulin mode of action on the animal body is not straight, multidirectional and still not fully understood by researchers. Its effects on animal depend on various factors such as inulin contents in feed, its prebiotic origin, feed type, sex and age of animals and environmental stress may also affect the response to inulin as a feed additive in animal diet. Prebiotic feed additives in animal feed are a relatively new concept in developing countries as compared to developed countries. Regardless of a number of unresolved problems, the existing data on the positive aspects of inulin are favorable for livestock production. Moreover, detailed research is required to fully understand and exposed its positive effects on the characters that are important for meat and egg production.

Funding: This study received no specific financial support.   
Competing Interests: The authors declare that they have no competing interests. 
Contributors/Acknowledgement: All authors contributed equally to the conception and design of the study.

REFERENCES

Alzueta, C., M. Rodriguez, L. Ortiz, A. Rebolé and J. Trevino, 2010. Effects of inulin on growth performance, nutrient digestibility and metabolisable energy in broiler chickens. British Poultry Science, 51(3): 393-398.Available at: https://doi.org/10.1080/00071668.2010.503482.

Arcia, P., E. Costell and A. Tárrega, 2011. Inulin blend as prebiotic and fat replacer in dairy desserts: Optimization by response surface methodology. Journal of Dairy Science, 94(5): 2192-2200.Available at: https://doi.org/10.3168/jds.2010-3873.

Beylot, M., 2005. Effects of inulin-type fructans on lipid metabolism in man and in animal models. British Journal of Nutrition, 93(S1): S163-S168.Available at: https://doi.org/10.1079/bjn20041339.

Capitán-Cañadas, F., 2013. Prebiotic oligosaccharides directly modulate proinflammatory Cytokine production in monocytes via activation of TLR4. Molecular Nutrition & Food Research, 58(5): 1098–1110.

Chen, Y. and T. Chen, 2004. Mineral utilization in layers as influenced by dietary oligofructose and inulin. International Journal of Poultry Science, 3(7): 442-445.Available at: https://doi.org/10.3923/ijps.2004.442.445.

Cui, S.W. and K.T. Roberts, 2009. Dietary fiber: fulfilling the promise of added-value formulations. In Modern biopolymer science. Academic Press. pp: 399-448.

De Oliveira, A.J.B., R.A.C. Gonçalves, T.P.C. Chierrito, M.M. dos Santos, L.M. de Souza, P.A.J. Gorin, G.L. Sassaki and M. Iacomini, 2011. Structure and degree of polymerisation of fructooligosaccharides present in roots and leaves of Stevia rebaudiana (Bert.) Bertoni. Food Chemistry, 129(2): 305-311.Available at: https://doi.org/10.1016/j.foodchem.2011.04.057.

Delzenne, N.M., C. Daubioul, A. Neyrinck, M. Lasa and H. Taper, 2002. Inulin and oligofructose modulate lipid metabolism in animals: Review of biochemical events and future prospects. British Journal of Nutrition, 87(S2): S255-S259.Available at: https://doi.org/10.1079/bjnbjn/2002545.

Den Besten, G., K. Lange, R. Havinga, T.H. van Dijk, A. Gerding, K. van Eunen, M. Müller, A.K. Groen, G.J. Hooiveld and B.M. Bakker, 2013. Gut-derived short-chain fatty acids are vividly assimilated into host carbohydrates and lipids. American Journal of Physiology-Gastrointestinal and Liver Physiology, 305(12): G900-G910.Available at: https://doi.org/10.1152/ajpgi.00265.2013.

Dewulf, E.M., P.D. Cani, A.M. Neyrinck, S. Possemiers, A. Van Holle, G.G. Muccioli, L. Deldicque, L.B. Bindels, B.D. Pachikian and F.M. Sohet, 2011. Inulin-type fructans with prebiotic properties counteract GPR43 overexpression and PPARγ-related adipogenesis in the white adipose tissue of high-fat diet-fed mice. The Journal of Nutritional Biochemistry, 22(8): 712-722.Available at: https://doi.org/10.1016/j.jnutbio.2010.05.009.

Flamm, G., W. Glinsmann, D. Kritchevsky, L. Prosky and M. Roberfroid, 2001. Inulin and oligofructose as dietary fiber: A review of the evidence. Critical Reviews in Food Science and Nutrition, 41(5): 353-362.Available at: https://doi.org/10.1080/20014091091841.

Franck, A., 2002. Technological functionality of inulin and oligofructose. British Journal of Nutrition, 87(S2): S287-S291.Available at: https://doi.org/10.1079/bjn/2002550.

Hansen, C.F., G. Sørensen and M. Lyngbye, 2007. Reduced diet crude protein level, benzoic acid and inulin reduced ammonia, but failed to influence odour emission from finishing pigs. Livestock Science, 109(1-3): 228-231.Available at: https://doi.org/10.1016/j.livsci.2007.01.133.

Hu, Y., J. Zhang, C. Yu, Q. Li, F. Dong, G. Wang and Z. Guo, 2014. Synthesis, characterization, and antioxidant properties of novel inulin derivatives with amino-pyridine group. International Journal of Biological Macromolecules, 70: 44-49.Available at: https://doi.org/10.1016/j.ijbiomac.2014.06.024.

Huang, Q., Y. Wei, Y. Lv, Y. Wang and T. Hu, 2015. Effect of dietary inulin supplements on growth performance and intestinal immunological parameters of broiler chickens. Livestock Science, 180: 172-176.Available at: https://doi.org/10.1016/j.livsci.2015.07.015.

Janardhana, V., M.M. Broadway, M.P. Bruce, J.W. Lowenthal, M.S. Geier, R.J. Hughes and A.G. Bean, 2009. Prebiotics modulate immune responses in the gut-associated lymphoid tissue of chickens. The Journal of Nutrition, 139(7): 1404-1409.Available at: https://doi.org/10.3945/jn.109.105007.

Kim, G.-B., Y. Seo, C. Kim and I. Paik, 2011. Effect of dietary prebiotic supplementation on the performance, intestinal microflora, and immune response of broilers. Poultry Science, 90(1): 75-82.Available at: https://doi.org/10.3382/ps.2010-00732.

Kleessen, B. and M. Blaut, 2005. Modulation of gut mucosal biofilms. British Journal of Nutrition, 93(S1): S35-S40.Available at: https://doi.org/10.1079/bjn20041346.

Kok, N., M. Roberfroid, A. Robert and N. Delzenne, 1996. Involvement of lipogenesis in the lower VLDL secretion induced by oligofructose in rats. British Journal of Nutrition, 76(6): 881-890.Available at: https://doi.org/10.1079/bjn19960094.

Kowalczuk-Vasilev, E., E.R. Grela, W. Samolinska, R. Klebaniuk, B. Kiczorowska, R. Krusinski, A. Winiarska-Mieczan, K. Kepka and M. Kwiecien, 2017. Blood metabolic profile of broiler chickens fed diets with different types and levels of inulin. Veterinary Medicine, 73(12): 774-780.Available at: https://doi.org/10.21521/mw.5821.

Liu, J., J.-f. Lu, X.-y. Wen, J. Kan and C.-h. Jin, 2015. Antioxidant and protective effect of inulin and catechin grafted inulin against CCl4-induced liver injury. International Journal of Biological Macromolecules, 72: 1479-1484.Available at: https://doi.org/10.1016/j.ijbiomac.2014.09.066.

Mudannayake, D.C., K.M. Wimalasiri, K.F. Silva and S. Ajlouni, 2015. Comparison of properties of new sources of partially purified inulin to those of commercially pure chicory inulin. Journal of Food Science, 80(5): C950-C960.Available at: https://doi.org/10.1111/1750-3841.12857.

Nabizadeh, A., O. Gevorkyan and A. Golian, 2012. Effect of inulin on some hematological, immunological parameters and broiler chickens performance. Journal of Animal and Veterinary Advances, 11(18): 3304-3311.Available at: https://doi.org/10.3923/javaa.2012.3304.3311.

Ortega‐González, M., B. Ocón, I. Romero‐Calvo, A. Anzola, E. Guadix, A. Zarzuelo, M.D. Suárez, F. Sánchez de Medina and O. Martínez‐Augustin, 2014. Nondigestible oligosaccharides exert nonprebiotic effects on intestinal epithelial cells enhancing the immune response via activation of tlr 4-nf κ b. Molecular Nutrition & Food Research, 58(2): 384-393.Available at: https://doi.org/10.1002/mnfr.201300296.

Ortiz, L., M. Rodriguez, C. Alzueta, A. Rebolé and J. Trevino, 2009. Effect of inulin on growth performance, intestinal tract sizes, mineral retention and tibial bone mineralisation in broiler chickens. British Poultry Science, 50(3): 325-332.Available at: https://doi.org/10.1080/00071660902806962.

Park, S.-O. and B.-S. Park, 2012. Effect of feeding inulin oligosaccharides on cecum bacteria, egg quality and egg production in laying hens. African Journal of Biotechnology, 11(39): 9516-9521.Available at: https://doi.org/10.5897/ajb12.5250.

Patterson, J.K., K. Yasuda, R.M. Welch, D.D. Miller and X.G. Lei, 2010. Supplemental dietary inulin of variable chain lengths alters intestinal bacterial populations in young pigs. The Journal of Nutrition, 140(12): 2158-2161.Available at: https://doi.org/10.3945/jn.110.130302.

Pelicano, E.R.L., P. Souza, H. Souza, D. Figueiredo, M. Boiago, S. Carvalho and V. Bordon, 2005. Intestinal mucosa development in broiler chickens fed natural growth promoters. Brazilian Journal of Poultry Science, 7(4): 221-229.Available at: https://doi.org/10.1590/s1516-635x2005000400005.

Petkevičius, S., K.B. Knudsen, K. Murrell and H. Wachmann, 2003. The effect of inulin and sugar beet fibre on oesophagostomum dentatum infection in pigs. Parasitology, 127(1): 61-68.Available at: https://doi.org/10.1017/s0031182003003251.

Petkova, N., M. Ognyanov, M. Todorova and P. Denev, 2015. Ultrasound-assisted extraction and characterisation of inulin-type fructan from roots of elecampane (Inula Helenium L.). Acta Scientifica Naturalis, 1(1): 225-235.

Pierce, K., T. Sweeney, P. Brophy, J. Callan, E. Fitzpatrick, P. McCarthy and J. O'Doherty, 2006. The effect of lactose and inulin on intestinal morphology, selected microbial populations and volatile fatty acid concentrations in the gastro-intestinal tract of the weanling pig. Animal Science, 82(3): 311-318.Available at: https://doi.org/10.1079/asc200634.

Praveen, T., T. Munegowda, H.C. Indresh and Jayanaik, 2017. Effect of supplementation of various levels of inulin on immunity and lymphoid organs weight in Raja II Broilers. International Journal of Current Microbiology and Applied Sciences, 6(8): 1912-1916.Available at: https://doi.org/10.20546/ijcmas.2017.608.225.

Rebolé, A., L. Ortiz, M.L. Rodríguez, C. Alzueta, J. Treviño and S. Velasco, 2010. Effects of inulin and enzyme complex, individually or in combination, on growth performance, intestinal microflora, cecal fermentation characteristics, and jejunal histomorphology in broiler chickens fed a wheat-and barley-based diet. Poultry Science, 89(2): 276-286.Available at: https://doi.org/10.3382/ps.2009-00336.

Rehman, H., C. Rosenkranz, J. Böhm and J. Zentek, 2007. Dietary inulin affects the morphology but not the sodium-dependent glucose and glutamine transport in the jejunum of broilers. Poultry Science, 86(1): 118-122.Available at: https://doi.org/10.1093/ps/86.1.118.

Ríos-Covián, D., P. Ruas-Madiedo, A. Margolles, M. Gueimonde and N. Salazar, 2016. Intestinal short chain fatty acids and their link with diet and human health. Frontiers in Microbiology, 7: 185-185.Available at: https://doi.org/10.3389/fmicb.2016.00185.

Roberfroid, M.B., 2002. Functional foods: Concepts and application to inulin and oligofructose. British Journal of Nutrition, 87(S2): S139-S143.Available at: https://doi.org/10.1079/bjn/2002529.

Roller, M., G. Rechkemmer and B. Watzl, 2004. Prebiotic inulin enriched with oligofructose in combination with the probiotics lactobacillus rhamnosus and bifidobacterium lactis modulates intestinal immune functions in rats. The Journal of Nutrition, 134(1): 153-156.Available at: https://doi.org/10.1093/jn/134.1.153.

Ronkart, S.N., C.S. Blecker, H. Fourmanoir, C. Fougnies, C. Deroanne, J.-C. Van Herck and M. Paquot, 2007. Isolation and identification of inulooligosaccharides resulting from inulin hydrolysis. Analytica Chimica Acta, 604(1): 81-87.Available at: https://doi.org/10.1016/j.aca.2007.07.073.

Roy, C.C., C.L. Kien, L. Bouthillier and E. Levy, 2006. Short-chain fatty acids: Ready for prime time? Nutrition in Clinical Practice, 21(4): 351-366.Available at: https://doi.org/10.1177/0115426506021004351.

Samanta, A., N. Jayapal, S. Senani, A. Kolte and M. Sridhar, 2013. Prebiotic inulin: Useful dietary adjuncts to manipulate the livestock gut microflora. Brazilian Journal of Microbiology, 44(1): 1-14.Available at: https://doi.org/10.1590/s1517-83822013005000023.

Samanta, A., S. Senani, A.P. Kolte, M. Sridhar, R. Bhatta and N. Jayapal, 2012. Effect of prebiotic on digestibility of total mixed ration. Indian Veterinary Journal, 89(1): 41-42.

Schley, P. and C. Field, 2002. The immune-enhancing effects of dietary fibres and prebiotics. British Journal of Nutrition, 87(S2): S221-S230.Available at: https://doi.org/10.1079/bjn/2002541.

Seifert, S. and B. Watzl, 2007. Inulin and oligofructose: Review of experimental data on immune modulation. The Journal of Nutrition, 137(11): 2563S-2567S.Available at: https://doi.org/10.1093/jn/137.11.2563s.

Sevane, N., F. Bialade, S. Velasco, A. Rebolé, M. Rodríguez, L. Ortiz, J. Cañón and S. Dunner, 2014. Dietary inulin supplementation modifies significantly the liver transcriptomic profile of broiler chickens. PloS One, 9(6): e98942-e98942.Available at: https://doi.org/10.1371/journal.pone.0098942.

Shoaib, M., A. Shehzad, M. Omar, A. Rakha, H. Raza, H.R. Sharif, A. Shakeel, A. Ansari and S. Niazi, 2016. Inulin: Properties, health benefits and food applications. Carbohydrate Polymers, 147: 444-454.Available at: https://doi.org/10.1016/j.carbpol.2016.04.020.

Spencer, J., K. Touchette, H. Liu, G. Allee, M. Newcomb, M. Kerley and L. Pace, 1997. Effect of spray-dried plasma and fructooligosaccharide on nursery performance and small intestinal morphology of weaned pigs. Journal of Animal Science, 75(Suppl 1): 199.

Świątkiewicz, S., J. Koreleski and A. Arczewska-Włosek, 2010. Effect of prebiotic fructans and organic acids on mineral retention in laying hens. Acta Agriculturae Scand Section A, 60(2): 125-128.Available at: https://doi.org/10.1080/09064702.2010.482593.

Tako, E., R.P. Glahn, R.M. Welch, X. Lei, K. Yasuda and D.D. Miller, 2007. Dietary inulin affects the expression of intestinal enterocyte iron transporters, receptors and storage protein and alters the microbiota in the pig intestine. British Journal of Nutrition, 99(03): 472-480.

Tarini, J. and T.M. Wolever, 2010. The fermentable fibre inulin increases postprandial serum short-chain fatty acids and reduces free-fatty acids and ghrelin in healthy subjects. Applied Physiology, Nutrition, and Metabolism, 35(1): 9-16.Available at: https://doi.org/10.1139/h09-119.

Van, D.W.T., N. Boon, S. Possemiers, H. Jacobs and W. Verstraete, 2007. Inulin-type fructans of longer degree of polymerization exert more pronounced in vitro prebiotic effects. Journal of Applied Microbiology, 102(2): 452-460.Available at: https://doi.org/10.1111/j.1365-2672.2006.03084.x.

Vassilev, D., N. Petkova, M. Koleva and P. Denev, 2016. Ultrasound-assisted synthesis of sucrose and fructooligosaccharides esters as bio-plasticizers. Journal of Renewable Materials, 4(1): 24-30.Available at: https://doi.org/10.7569/jrm.2015.634125.

Velasco, S., L. Ortiz, C. Alzueta, A. Rebole, J. Trevino and M. Rodriguez, 2010. Effect of inulin supplementation and dietary fat source on performance, blood serum metabolites, liver lipids, abdominal fat deposition, and tissue fatty acid composition in broiler chickens. Poultry Science, 89(8): 1651-1662.Available at: https://doi.org/10.3382/ps.2010-00687.

Xu, Z., C. Hu, M. Xia, X. Zhan and M. Wang, 2003. Effects of dietary fructooligosaccharide on digestive enzyme activities, intestinal microflora and morphology of male broilers. Poultry Science, 82(6): 1030-1036.Available at: https://doi.org/10.1093/ps/82.6.1030.

Yasuda, K., H.D. Dawson, E.V. Wasmuth, C.A. Roneker, C. Chen, J.F. Urban, R.M. Welch, D.D. Miller and X.G. Lei, 2009. Supplemental dietary inulin influences expression of iron and inflammation related genes in young pigs. The Journal of Nutrition, 139(11): 2018-2023.Available at: https://doi.org/10.3945/jn.109.110528.

Yusrizal, Y. and T.C. Chen, 2003. Effect of adding chicory fructans in feed on broiler growth performance, serum cholesterol and intestinal length. International Journal of Poultry Science, 2(3): 214–219.Available at: https://doi.org/10.3923/ijps.2003.214.219.

Zhu, L., S. Qin, S. Zhai, Y. Gao and L. Li, 2017. Inulin with different degrees of polymerization modulates composition of intestinal microbiota in mice. FEMS Microbiology Letters, 364(10): 1-7.Available at: https://doi.org/10.1093/femsle/fnx075.

Views and opinions expressed in this article are the views and opinions of the author(s), Journal of Food Technology Research shall not be responsible or answerable for any loss, damage or liability etc. caused in relation to/arising out of the use of the content.