Index

Abstract

In this work, the nonlinear dynamical model of a lactic fermentation process is widely analysed and control experiments are achieved. More precisely, a production of yogurt by Streptococcus termophilus and Lactobacillus bulgaricus in batch operation is taken into consideration. The process model is expressed by a set of nonlinear differential equations that describes the evolution of concentrations in the fermentation process. To validate the model, several simulations are performed in the Matlab programming and development environment. Furthermore, two experimental setups are used for batch fermentation experiments. From control point of view, the temperature and the pH are the basic dynamical factors that need monitoring and control in order to regulate the microbial growth and the lactic acid production. Different control architectures and tuning procedures are implemented. Specialized data acquisition and control software tools are used to perform the experiments. By using the features of these software tools, the time evolution of various process variables can be plotted and analysed. Several comparisons between the results obtained via simulation and with the two bioreactor setups are achieved.

Keywords: Biotechnology,Fermentation processes,Modelling,Control engineering.

Received: 25 January 2017 / Revised: 17 March 2017 / Accepted:30 March 2017/ Published: 19 April 2017

Contribution/ Originality

This paper’s main contribution is to validate the dynamical model of a lactic fermentation process by using simulators and laboratory bioreactors. A production of yogurt by Streptococcus termophilus and Lactobacillus bulgaricus in batch operation is considered. Different control architectures and tuning procedures are implemented, and several comparisons are achieved.


1. INTRODUCTION

Biotechnological processes such as lactic, baker yeast’s and alcoholic fermentation are widespread in food industry. The lactic fermentation process is one of the most used in bioindustry, and the range of applications is quite large: dairy industry, production of wine and of various fermented vegetable products, meat industry, pharmaceutical and cosmetics industry, production of biodegradable materials based on poly lactic acid polymers, etc (Taskila and Ojamo, 2013); (Kostov et al., 2009).

The bioprocess modelling is an extensive procedure that requires an interdisciplinary effort to understand the complex interactions between various structures and compartments. Several transport, propagation and growth phenomena occur in such processes. An accurate yet simple model is required in order to efficiently operate and to control a bioprocess. Such a model needs an appropriate validation by means of simulation and experiments. The bioprocess models suitable for control design purposes are usually obtained by using methods based on mass or energy conservation balances, but also the black-box models and neural networks. A practical problem is that for monitoring and control applications, only few measurements are available, because the sensors do not exist or are too expensive, or because the measuring devices do not offer reliable measurements under particular conditions (Dochain, 2008); (Selişteanu et al., 2007).

In this paper, the nonlinear dynamical model of a lactic fermentation process is analysed and several control experiments are performed. A production of yogurt by Streptococcus termophilus and Lactobacillus bulgaricus in batch operation is considered. The process model is obtained as a nonlinear system of differential equations that describes the evolution of concentrations in the fermentation process. In order to validate the model, some numerical simulations are performed. Moreover, two experimental setups are used for batch fermentation experiments: the autoclavable bioreactors Biostat - A Plus (manufactured by Sartorius Biotech GmbH, Germany) (BIOSTAT, 2006) and New Brunswick BioFlo115 (manufactured by Eppendorf, Germany) (Eppendorf, 2012). The temperature and the pH are the basic dynamical factors that need monitoring and control in order to regulate the microbial growth and the lactic acid production. Different control architectures and tuning procedures are implemented. Specialized data acquisition and control software tools are used to perform the experiments: microDCU and MFCS/DA (MultiFermenter Control System/Data Acquisition) - Biostat, and New Brunswick BioCommand software, respectively. Several comparisons between the results obtained via simulation and with the two bioreactor setups are achieved.

The paper is structured as follows. Section 2 deals with the nonlinear model of the lactic fermentation bioprocess. In Section 3 the experimental setups are presented and the control architectures are described. Section 4 is dedicated to the analysis of simulation and experimental results. Finally, Section 5 concludes the paper.

2. NONLINEAR MODEL OF THE LACTIC FERMENTATION PROCESS

Streptococcus termophilus and Lactobacillus bulgaricus are homo-fermentative bacteria widely used for cheese and yoghurt production. Due to an interaction between these two species, the so-called proto-cooperation (Kostov et al., 2009) that is a symbiotic relationship and a metabolism mechanism, there are some positive effects on the fermentation product. Moreover, these bacteria have the ability to produce lactic acid, which is an important ingredient used in the food, chemical and textile industries.

In the lactic fermentation processes, the temperature and the pH are dynamical variables that can be monitored and regulated in order to control the microbial growth and the formation of the lactic acid. From biotechnological point of view, L. bulgaricus and S. termophilus are acido-lactic microorganisms that convert the lactose into glucose and galactose by using specific enzymes (Lan et al., 2006). The glucose and the galactose are then converted in pyruvate and ATP (Adenosine triphosphate) by a glycolytic way, and after that the pyruvate is transformed into lactic acid. The culture medium composition is very important in the growth of microbial cells (Lan et al., 2006). The process of glucose conversion in lactic acid can be described by the following reaction scheme:

C6H12O6→CH3CHOHCOOH                                                                            (1)

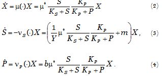
The nonlinear dynamical model of a lactic fermentation process can be obtained by using the mass conservation balances. As a result, a system of differential equations that describes the evolution of the concentrations is achieved (Dochain, 2008). Next, a lactic fermentation process that takes place inside a batch bioreactor is considered. The nonlinear dynamical model is given by the following equations (Lan et al., 2006); (Dima, 2015):

In the dynamical model (2)-(4), X is the biomass concentration, S represents the substrate (nutrient) concentration, and P is the product concentration (lactic acid).  is the specific growth rate,  is the specific substrate consumption rate and  is the specific metabolic rate of the product. The parameters of the model (2)-(4) (maximum specific growth rate , saturation coefficients , , kinetic and yield parameters , , and ) are usually imprecisely known, and some identification procedures are needed.
The dependencies of the specific rates on the state variables of the process, i.e. the concentrations, are decisive for the structure of the model. In our particular case, the system (2)-(4) is a hybrid nonlinear kinetic model. The strong nonlinear character of the model is given by the reaction rates.
The simulation of the bioprocess evolution by using the model (2)-(4) implemented in the Matlab programming and development environment (The MathWorks registered mark) was achieved. The parameters used in simulation are:

The simulation results are presented in Fig. 1, where the time profiles of the biomass, substrate and product concentrations are depicted. As can be seen, a typical symmetrical behaviour is obtained: the substrate is consumed as the biomass is growing and the lactic acid is produced. Usually, due to the batch operation, the process ends after a period of time (e.g. 7 hours).

Fig-1. Time evolution of biomass, substrate and product concentrations – the lactic fermentation bioprocess

Source: Matlab simulation.

3. EXPERIMENTAL SETUPS AND CONTROL STRUCTURES

Two experimental setups are used for batch lactic fermentation experiments: the autoclavable bioreactors Biostat - A Plus (manufactured by Sartorius Biotech GmbH, Germany) (BIOSTAT, 2006) and New Brunswick BioFlo115 (manufactured by Eppendorf, Germany) (Eppendorf, 2012). Specialized data acquisition and control software tools are used to perform the experiments: microDCU and MFCS/DA (MultiFermenter Control System/Data Acquisition) - Biostat, and New Brunswick BioCommand software, respectively (BIOSTAT, 2006); (Eppendorf, 2012); (Caraman and Selișteanu, 2013).

3.1. The Bioreactor Biostat - A Plus

The BIOSTAT® A Plus is a compact, autoclavable laboratory fermentor / bioreactor system (Manufacturer: Sartorius Stedim Biotech GmbH, Germany) (BIOSTAT, 2006). A number of easy-to-use, pre-configured versions are available for both microbial culture and cell culture. The experimental setup of the bioreactor is applicable for:

The cell culture package includes: Integrated 4 gas mixing system (Air, O2, N2, CO2); Freely selectable gas outlets to sparger or overlay; 4 Flow meters for individual gas flow rate adjustment; DO (dissolved oxygen) control via stirrer speed, gas mix and substrate addition; pH control via CO2 / Acid and Base. The microbial culture package is provided with: Airflow gassing system with oxygen enrichment capability (Air, O2); Efficient agitation system for high cell density fermentation; DO control via stirrer speed, gas mix and substrate addition.

The main components of the system are: the autoclaved bioreactor, the control unit, and the software application that can control different parameters like temperature, pH, pO2, stirrer velocity or different gas flows. This software application is called Supervisory Process Control Software: BioPAT® MFCS (MultiFermenter Control System – Data Acquisition), which is in fact a standard software tool for bioprocess control and data acquisition.

The autoclaved bioreactor contains: a culture vessel (5 litres), made of borosilicate glass that can be heated up to approximately 80°C by an electrical blanket (the autoclave sterilization of the vessel and its components is done at 121°C); a vessel lid (Fig. 2) made of stainless steel with holes for introducing the stirrer, tubes for substances, probes for pH, pO2, temperature, antifoam and level measurements; a stirrer; a heating blanket used to control the temperature.

Fig-2. The culture vessel and the vessel lid - BIOSTAT® A Plus

Source: Laboratory photo + BIOSTAT, 2006.

Fig-3. The MFCS/DA interface - bioreactor Biostat A plus


Source:
Software printscreen: MFCS/DA interface - Biostat A plus.

The control unit contains: an integrated control system, integrated pumps, gas flow controllers, control for pH/DO and foam/level, an external computer (with possibility of a touch panel attachment), three peristaltic pumps that can be linked to the acid, base and antifoam/level bottle. The monitoring and control software tool is composed by two distinct software applications: the micro-DCU graphical interface and the MFCS/DA (MultiFermenter Control System - Data Acquisition) application (Fig. 3), which allows a “batch-oriented” data management. The control structures that can be implemented are simple or cascaded control loops: control of stirrer speed, temperature, pH and pO2. The controllers are of PID (proportional – integral – derivative) type, and can be tuned by using, for example, Nichols, Ziegler-Nichols and Hokushin methods.

In order to implement the lactic fermentation process, some auxiliary equipment was used within the experiments: a laboratory drying oven Ecocell (MMM, Germany), electrochemistry Meter Consort C561, incubator with stirrer, sterilization room, analytical balance, micropipette with adjusting volume, pipettor with accumulator, laboratory glass, etc.

3.2. The Bioreactor New Brunswick Bioflo115

New Brunswick BioFlo115 is a new generation compact and autoclavable bioreactor, manufactured by Eppendorf (2012). This bioreactor can be used in batch, fed-batch and continuous operation, and the process control is ensured by regulating process variables such as pH, DO, stirrer speed, temperature, pumps flows, foam, level. The structure of New Brunswick BioFlo115 (Fig. 4) is similar with the Biostat reactor:

The bioreactor system is provided with a built-in firmware and with additional software for monitoring and control. The firmware is accessible via the touch screen. The main screen of the application is the so-called control screen, and all the control loops are available in this screen.

Fig-4. The control unit and the culture vessel - New Brunswick BioFlo115

Source: Laboratory photo + EPPENDORF, 2012.

Fig-5. The generation of a new recipe and adding the control loops using BioCommand

Source: Software printscreen: Bio Command.

Each control loop has a separate monitoring screen. Also, a calibration screen (for the DO, pH and level sensors) and a setup screen can be used. Beside the built-in programme, the bioreactor can be remotely controlled by using the New Brunswick BioCommand software (Eppendorf, 2012). A NBC OPC Server is required in order to achieve the communication between the remote computer and the bioreactor control unit which contains all the controllers. A recipe created with BioCommand is presented in Fig. 5. This recipe allows the configuration of various control loops. The auxiliary equipment presented in section 3.1 is also used with the New Brunswick bioreactor to implement the lactic fermentation process.

4. EXPERIMENTS AND DISCUSSIONS

In order to achieve the lactic fermentation experiments, it is necessary to prepare the experimental setups and the culture medium by using a specific procedure in accordance with the fermentation recipe (see, for example (Dima, 2015); (Nisipeanu et al., 2011); (ADCOSBIO, 2015)). Phases such as culture medium preparation, sensors and pumps calibration, sterilization operations, inoculation process, and finally the fermentation process are accomplished.

In the frame of the experiments performed with both experimental setups (Biostat and New Brunswick), before the inoculation the milk is sterilized at 121oC for 15 minutes, and after that is cooled at 43oC, which is the inoculation temperature.

An advanced control of the fermentation process requires the on-line monitoring and control of biological variables, i.e. the concentrations of biomass, substrate and lactic acid. However, the sensors for such on-line and real-time measurements are expensive or are missing. Therefore, the temperature and the pH are the basic dynamical factors that need monitoring and control in order to regulate the microbial growth and the lactic acid production.

Simple and cascaded control loops were implemented in order to control the temperature and the pH. Also, various tuning procedures were used for the PID controllers. Two categories of tuning methods were tested:

In order to compare the results, some classical performance criteria were used: overshoot, rise time, settling time, etc. The best results for the temperature control are obtained by using PI controllers tuned with Ziegler-Nichols and Oppelt methods. However, in the case of Biostat bioreactor, some oscillations around the set point can be noticed (see Fig. 6). The pH control is achieved by using two pumps for acid and base supply, respectively. The pH control loop is strongly dependent of the stirrer speed. Cascade and simple control loops can be implemented. The best results were obtained when PI controllers are tuned with the Hokushin method.

The results obtained with the Biostat experimental setup are presented in Fig. 6. (pH, temperature and pO2 time evolution). In the case of New Brunswick experiments, the time profiles of the pH and temperature are given in Fig. 7. As can be observed, the real fermentation process is over when the pH is stabilized and the microorganism growth is inhibited, after approximately 7 hours.

Fig-6. Experimental results - time evolution of variables in the fermentation process (Biostat)

Source: Experimental results: printscreen - Biostat.

Fig-7. Experimental results - time profiles in the lactic fermentation process (New Brunswick)

Source: Experimental results: printscreen - New Brunswick.

The concentrations analyses (off-line performed) are in concordance with the simulation results presented in Fig. 1. The substrate is consumed after the same time period (7 hours). The experiments are in correlation with the simulation results obtained by using the model (2)-(4). Thus, the model can be considered as valid.

Some comparisons between the two bioreactors used in the experiments can be done. Generically speaking, the use of a new generation bioreactor (New Brunswick) has certain advantages such as: better temperature control, magnetic coupling of the stirrer, both remote and built-in control units (including direct control of some “surrogate” bioreactors), versatility of the BioCommand software, etc.

5. CONCLUSIONS

The dynamical model of a lactic fermentation process was analysed and simulated by using the Matlab environment. Also, two experimental setups based on the autoclavable bioreactors Biostat and New Brunswick, respectively, were used in order to perform batch fermentation experiments.

Due to the absence of on-line sensors for the biological variables, the temperature and the pH are the basic dynamical factors that are controlled to regulate the microbial growth and the lactic acid production. The control architectures are limited to classical PID controllers. However, by using various tuning algorithms for simple and cascaded control loops, promising results were obtained. Specific data acquisition and control software tools were used to perform the experiments. By using the features of these software tools, the time evolution of various process variables were plotted and analysed.

The experiments are in correlation with the simulation results obtained by using the proposed model. From the experimental point of view, the use of a new generation bioreactor (New Brunswick) has certain advantages related to the technological setup, but also to the software versatility.

Funding: This work was supported by UEFISCDI, Project ADCOSBIO no. 211/2014, PN-II-PT-PCCA-2013-4-0544.

Competing Interests: The authors declare that they have no competing interests.

Contributors/Acknowledgement: All authors contributed equally to the conception and design of the study.

REFERENCES

ADCOSBIO, 2015. ADCOSBIO Technical Report, Phase II. University of Craiova, UEFISCDI, PN-II-PT-PCCA-2013-4-0544.

BIOSTAT, 2006. BIOSTAT a plus operating manual, Micro – DCU system operating manual, MFCS/DA user manual. Sartorius BBI Systems GmbH.

Caraman, S. and D. Selișteanu, 2013. Pilot and laboratory bioreactors and equipment for fermentation bioprocesses and wastewater treatment processes. Workshop on Optimization Based Control and Estimation, Supélec, Gif sur Yvette, France.

Dima, A., 2015. Monitoring of biotechnological processes parameters. Master Thesis, University of Craiova.

Dochain, D., 2008. Automatic control of bioprocesses. London, UK: ISTE and John Wiley & Sons.

Eppendorf, E., 2012. New brunswick BioFlo®/CelliGen®115 benchtop fermentor & bioreactor operating manual, M1369-0050.

Kostov, G., M. Angelov, P. Koprinkova-Hristova, M. Ignatova and A. Orsoni, 2009. Modeling of oxygen effect on kinetics of batch fermentation process for yogurt starter culture formation. Proc. of 23rd European Conference on Modelling and Simulation, Madrid, Spain, IBS-109.

Lan, C.Q., G. Oddone, D.A. Mills and D.E. Block, 2006. Kinetics of lactococcus lactis growth and metabolite formation under aerobic and anaerobic conditions in the presence or absence of hemin. Biotechnology and Bioengineering, 95(6): 1070-1080. View at Google Scholar | View at Publisher

Nisipeanu, I.A., E. Bunciu and R. Stănică, 2011. Bioprocesses parameters control in the case of a BIOSTAT A PLUS bioreactor. Annals of the Univ. of Craiova, Series: Automation, Computers, Electronics and Mechatronics, 8(2): 31-35. View at Google Scholar 

Selişteanu, D., E. Petre and V. Răsvan, 2007. Sliding mode and adaptive sliding-mode control of a class of nonlinear bioprocesses. International Journal of Adaptive Control and Signal Processing, 21(8-9): 795-822. View at Google Scholar | View at Publisher

Taskila, S. and H. Ojamo, 2013. The current status and future expectations in industrial production of lactic acid by lactic acid bacteria. In: Lactic acid bacteria – R & D for food, health and livestock purposes (M. Kongo Ed.). InTech, Rijeka, Croatia.. pp: 615-632.

Views and opinions expressed in this article are the views and opinions of the author(s), Journal of Food Technology Research shall not be responsible or answerable for any loss, damage or liability etc. caused in relation to/arising out of the use of the content.