Index

Abstract

The effect of temperature on the Rheological properties of African yam bean (Stenostylisstenocarpa) was investigated. The samples were Sorted, washed, and boiled at temperatures of 800C, 1000C, and 1200C respectively. The flour was fluidized and used for the evaluation of the volumetric and mass flow rates. The values of the volumetric and mass flow rates obtained were 81.68±0.8, 89.38±0.16 and 84.69±0.82cm3/g and 45.5±1.02, 43.79±0.03, 46.02±0.88g/s for the temperatures of 800C, 1000C, and 1200C respectively. Data obtained from the stress and strain analysis were 484.38, 554,835.36, and 483,654.28N/m2 respectively while strain was 0.00644, 0.0837, and 0.197. The viscosity had values of 7.568×103, 6.625×107, and 2.455×107 Cp, and ductility values were 6.4%, 72.72%, and 100% respectively. It was observed that the viscosity increased with an increase in temperature to 1000C, and decreased slightly at the temperature of 1200C. The stress had its maximum value at 1000C, but the strain increased linearly. There were fluctuations in the values for the volumetric and mass flow rates respectively. These showed that the temperature affected the Rheological properties of African yam bean seed/flour.

Keywords: Rheological properties, Temperature, Yam bean seed, Volumetric flow, Mass flow.

Received: 24 January 2022 / Revised: 28 April 2022 / Accepted: 12 May 2022/ Published: 1 June 2022

Contribution/ Originality

This research contributes to the body of knowledge on the effect of temperature on the rheological properties of AYB (Sphenostylis Stenocarpa) seed flour. This research is among the first research that investigated the temperature effect on the rheological properties of AYB.

1. INTRODUCTION

African yam bean (Stenostylisstenocarpa) originated in tropical Africa, especially in Ethiopia, and is widely cultivated in some Asian countries. It is called different names in different tribes of Nigeria such as Azama, Ijiriji, Uzaki in Igbo, Gikigri in Hausa, Akpaka in Delta, and Nsama in Ibibio. Other names are Okpodudu, Ahaja, Nzamiri, Odudu and Sese in Igala. Also, in some parts of Ghana, it is called Kulege or Kutreku; and it is also called Yam bean in English. African yam bean is grown for its edible seeds and the seed varies in shape and size. African Yam Bean is an herbaceous leguminous plant occurring throughout tropical Africa (Ajayi, Arueya, Adedeji, & Akinlabi, 2020; Izuchukwu, Momoh, & Iorliam, 2019). It is grown as a minor crop in association with yam and cassava. AYB serves as a security crop; it has the potential to meet year-round protein requirements if grown on a large scale (Izuchukwu et al., 2019). African yam bean (S. stenocarpa) is an important crop in the west, central, and some part of east Africa. Its crude protein varies from 21 to 29% with 50% carbohydrate (Arogundade, Eromosele, Eromosele, & Ademuyiwa, 2011). This crop is highly neglected due to hard to cook phenomenon and its beany odor, despite the high nutritive values. According to reports from Rubenstein, Heisey, Shoemaker, Sullivan, and Frisvold (2011), the African yam bean contains 21.2% protein, 1.9% fat, 3.5% ash, and 6.05% dietary fiber, 52.1% total carbohydrate and 46.8% sugar. In the same vein, Okorie (2018) reported that the African yam bean has high lysine content; crude protein was between 21-29%, lysine 8%, carbohydrate 50%, and 5-6% fiber. African yam bean can be processed into yam bean garri as this is similar to the current West African cassava garri-granular flour (Rubenstein et al., 2011). Figure 1 shows typical African Yam Bean (AYB) seeds, though there are varieties of AYB.

Figure 1. Dried AYB seeds. (A) Non variegated seeds (B) Variegated seeds.

Source: Field evaluation Suzzy-Shitta, Edemodu, Abtew, and Tesfaye (2021).

African yam bean can also be utilized as a complementary protein in our carbohydrates-based foods to enhance their demand and improve their quality. Scientific findings have shown that cereal gruels are the common complementary foods in developing countries, which is characterized by low energy and protein density due to large volume of water relative to its solid matter contents during preparation (Oludumila & Enujiugha, 2017). Recent studies have shown an improvement in the nutritional compositions of some staple foods following the incorporation of African yam bean which contains 21.78% protein, 220.95 mg/100g Ca, 152 mg/100g K, 33.28 mg/100g P, and 3.75 mg/100g Zn (Ajayi et al., 2020). In Nigeria, African yam bean is a valuable source of plant protein in some localities and are cultivated as a pulse for human consumption. However, the characteristic hard-to-cook syndrome and lack of commercial exploitation is creating a waning interest in its cultivation. Thus, studies aiming at providing alternative methods of utilizing African yam bean have been a novel idea. However, understanding the rheological properties can reveal approaches to optimum utilization of the African yam bean.

Rheology is the science of deformation and the flow of matter and describes the interrelation between force, deformation and time. The science of rheology has many applications in the field of food acceptability, food processing and handling (Ma & Barbosa-Canovas, 1995). Rheology is concerned with how all materials respond to applied force and deformation. The basic concepts of stress (force per Area) and strain (deformation per length) are keys to all rheological evaluations. Stress (Ʈ) is usually a measurement of force per unit Area and is expressed in Pascal (Pa) (Steffe, 1996). Foods however are complex materials, structurally and rheologically and in many cases they consist of mixtures of solids as well as fluid structural components  (Finney, 1999). Rheological properties are determined by measuring force and deformation as a function of time. The direction of the force with respect to the impacted surface determines the type of stress. Normal force occurs when the force is directly perpendicular to the surface of the material and can be achieved during tension and compression. Shear stress occurs when the forces act parallel to the surface material. On the other hand, strain represents a dimensionless quantity relative to the deformation of a material. The direction of the applied stress with respect to the material surface will determine the type of strain. The normal strain occurs when the stress is normal to a sample surface. Foods show normal strain when compressed (compressive stress) or pulled apart (tensile stress) (Nielsen, 2010).

The rheological property of food system is dependent on the composition or the ingredients of the system. There are numerous areas where rheological data are needed in the food industry. They include the following:

  1. Process engineering calculations involving a wide range of equipment such as pipelines, pumps, extruders, homogenizers, etc.
  2. Determining ingredient functionality in product development.
  3. Intermediate or final product quality.
  4. Shells life testing.
  5. Characterizing ingredients and final products as well as predicting product performance and conserving acceptance.
  6. Evaluation of food texture by correlation to sensory data.
  7. They are also a way to predict and control a host of product properties, uses performance, material behavior as well as sensory analysis and quality control of foods.

Despite the nutritional value of African yam bean, it is of the lesser-known legumes and has a peculiar problem associated with legumes. It has high anti-nutrient content and hard to cook phenomenon. It also has a beany flavor which hinders its extensive utilization. Anti-nutritional elements such as enzyme inhibitors (trypsin, chymotrypsin, -amylase), phytic acid, flatulence causes, saponins, and toxic factors, as well as the necessity for prolonged heating, have kept legumes neglected (Olawuni, Ibeawuchi, Onyeneke, & N, 2013). Through direct and indirect reactions, these elements have a negative impact on the nutritional value of beans. They reduce protein and carbohydrate digestibility, cause pathological alterations, block a variety of enzymes, and bind nutrients, rendering them inaccessible. Olawuni et al. (2013) investigated the effect of PH and Temperature on functional Physico- Chemical properties of African Yam Bean (Sphenostylis Stenocarpa) flour and discovered that water absorption decreased steadily with increasing temperature from 30oC to 60oC. Arogundade et al. (2011) generally investigated the Rheological properties of African yam bean (Sphenostylis stenocarpa Hochst. Ex A. Rich.) calcium proteinate and isoelectric protein isolates. There are other varying researches related to African Yam Bean and its properties but despite the numerous researches, little work has been established on the effect of temperature on the rheological properties. The most related was the work of Suzzy-Shitta et al. (2021) which only reviewed the cooking attributes of African Yam Bean.

Based on this backdrop, there is a need to study the rheology of an African bean seed and specifically investigate the effect of temperature on the rheological properties.

2. MATERIALS AND METHODS

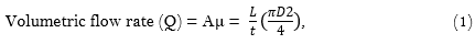
2.1. Determination of Volumetric Flow Rate

This was determined by allowing a known volume of the fluidized sample to flow through a pipe of a known length and diameter and the flow was timed. The volumetric flow rate was calculated by taking the product of the cross-sectional area of the pipe (A) and the velocity of the flow (Aμ) at the time taken for the sample to the end of the other pipe.

Where Q=Volumetric flow rate, L=Length of pipe, t=time, and D=diameter of the pipe.

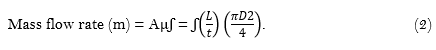
2.2. Determination of Mass Flow Rate

The mass flow rate was determined by using the method described by Rao, 2008, The mass flow rate was determined by allowing a known mass (50g) of the fluidized sample to flow through a pipe of a determined length and diameter. The mass flow rate calculated was in g/s by taking the product of the cross-sectional area of pipe (A), the velocity (μ) and the density of the fluidized same at the time taken (t) for the sample to one end of the pipe to the other.

2.3. Determination of Stress

The stress was determined by measuring a mass of 50g of the sample using weighing balance and measuring cylinder for the volume and height of the seed sample. The height was obtained using metal ruler, then the stress was calculated as thus:

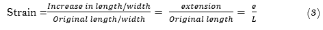
2.4. Determination of Strain

This was determined by taking the average dimensions of 1000 seeds of African yam bean randomly selected and 100 seeds were boiled at different temperatures (800C, 1000C and 1200C) in triplicates for 30 minutes each. The three dimensions were measured and the average of the dimensions (lengts and widths) was taken.  The strain was calculated thus:

2.5. Determination of Ductility

40 seeds of the African yam beans were weighed for length, width, and diameter using a venier caliper, the average of the three dimensions (length, width, and diameter). They were boiled at different temperatures (800C, 1000C, and 1200C) for 30 minutes. The dimensions were re-measured and the average was taken.

2.6. Determination of Viscosity

The viscosity was determined under lamina flow at a torque of 10-100% using a brook field viscometer. The spindle of the viscometer was immersed in the fluidized sample in a 600ml beaker and the spindle rotated at the center of the fluid. The viscometer readings were obtained at different temperatures. Also, the viscosity was also obtained using the equation stated below;

2.7. Determination of Consistency Index (K)

The stress evaluated from the sample at different temperatures was plotted against the strains obtained. The intercept was obtained as the consistency index (K).

2.8. Determination of Behavioural Index (n)

The behavioral index (n) was calculated as the gradient of the straight-line graph of the stress-strain plot. The gradient was taken as the behavioral index.

3. RESULTS AND DISCUSSIONS

The stress (heat) applied in the samples showed a linear extension on the sample (seeds) with respect to temperature changes. The study showed at 1000C the stress was higher (554, 835.36 N/m2) but decreased at the temperature of 1200C. This implies that force per unit area increased initially, but decreased after 1000C after 30minutes. The rheological properties are as tabulated in Table 1.

Table 1. The rheological properties of African yam bean at different temperatures.
Parameters
B
C
D
Volumetric flow rate (cm3/s)
81.68±0.8
89.38±0.16
84.69±0.245
Mass flow rate (Kg/s)
45.51±1.02
43.79±0.103
46.02±0.82
Stress (N/m2)
484.38
554,835.36
483,654.28
Strain
0.06404
0.0837
0.197
Viscosity (Cp)
7.563×103
6.625×107
2.455×107
Ductility (%)
6.40
72.72
100
Note: A: African Yam Bean boiled at 80°C, B: African Yam Bean boiled at 100°C, C: African Yam Bean boiled at 120°C.

The volumetric flow rates, fluctuated at the different temperatures used for this study. The VFR was found to be 81.68±0.8cm3/s at 800C, the VFR increased to 89.38±0.16cm3/s with the increase in temperature to 1000C, and a decrease in the VFR was noticed with the increase in temperature above 1000C. Hence, at 1200C the volumetric flow rate was 84.69±0.24cm3/s.  The mass flow rate (MFR) also fluctuated on fluidization of the samples at temperatures of 800C, 1000C and 1200C with the MFR of 45.51g/s, 43.79g/s, and 46.02g/s respectively. The viscosity was high at 1000C (554,835.36 Cp), but decreased to 483,654.28Cp at 1200C, though it had a value of 484.38Cp at 800C, this is not in conformity with the report given by Rao, (2012). Ductility defines the extent of permanent deformation with respect to stress in tension. The ductility of the sample showed that there was an increase linearly wianth increase in temperature. Hence the temperature in this study brought about the deformation in the sample (AYB).

4. CONCLUSIONS

The objective of this study was to evaluate the effect of temperature on the rheological properties of African yam bean seed/flour. The study has shown that at 1000C the rheological properties investigated had their highest values, but the ductility increased linearly. It was observed that temperature had an effect on the rheological properties investigated. The high values were obtained at 100oC and the rheological properties increased with an increase in temperature.

5. RECOMMENDATIONS

It is, therefore, recommended that indebt research should be carried out on other varieties of African yam bean seed like the black and light grey types for the rheological properties. Furthermore, research should be carried out on the nutritional composition of the hulls of the African yam bean of a different variety.

Funding: This research is supported by Tertiary Education Trust Fund (Grant number: TetFUND- 2017/2018).

Competing Interests: The authors declare that they have no competing interests.

Authors’ Contributions: Both authors contributed equally to the conception and design of the study.

REFERENCES

Ajayi, O., Arueya, G., Adedeji, O., & Akinlabi, A. (2020). Nutritional properties of sakada produced from blends of Cassava and African Yam Bean Flours , Acta Universitatis Cibiniensis. Series E: Food Technology, 24(2), 215–222.

Arogundade, L. A., Eromosele, C. O., Eromosele, I. C., & Ademuyiwa, O. (2011). Rheological properties of African yam bean (Sphenostylis stenocarpa Hochst. Ex A. Rich.) calcium proteinate and isoelectric protein isolates. LWT-Food Science and Technology, 44(2), 524-534.Available at: https://doi.org/10.1016/j.lwt.2010.08.020.

Finney, E. E. (1999). Elementary concepts of rheology relevant to food texture studies, in Kramer, A., Szczesniak, A. S. (eds) (ed.) Texture Measurements of Foods (1st ed., pp. 33–51). Switzerland: Springer Nature.

Izuchukwu, I. G.-A., Momoh, C. O., & Iorliam, B. M. (2019). Thermal degradation kinetics of hemaglutinin in African yam bean (Sphenostylis Stenocarpa) seeds using partial cooking method. African Journal of Food Science and Technology, 10(1), 1–4.

Ma, L., & Barbosa-Canovas, G. (1995). Instrumentation for the rheological characterization of foods. Food Science and Technology International, 1(1), 3-17.Available at: https://doi.org/10.1177/108201329500100102.

Nielsen, S. (2010). Food analysis. (4tth ed.). New York, USA: Springer Science+Business Media.

Okorie, P. A. (2018). Amino acid content analysis of four varieties of African Yam Bean at Afikpo Town of Ebonyi State in Nigeria. International Journal for Research in Emerging Science and Technology, 5(6), 1–6.

Olawuni, I., Ibeawuchi, A. C., Onyeneke, N. N., & N, E. (2013). Effect of P H and temperature on functional physico- chemical properties of African Yam Bean ( Sphenostylis Stenocarpa ) flour. International Journal of Agricultural and Food Science, 3(1), 34–38.

Oludumila, O. R., & Enujiugha, V. (2017). Physicochemical and rheological properties of complementary diet from blends of maize, African Yam Bean and Pigeon Pea Flour. Article in Journal of Food Science and Nutrition, 2(1), 6–11.

Rubenstein, K. D., Heisey, P., Shoemaker, R., Sullivan, J., & Frisvold, G. (2011). Crop genetic resources: An economic appraisal. USA: Economic Information Bulletin Number.

Steffe, J. F. (1996). Rheological methods in food process engineering, agricultural engineering (2nd ed.). USA: Freeman Press.

Suzzy-Shitta, N., Edemodu, A. C., Abtew, W. G., & Tesfaye, A. A. (2021). A review on the cooking attributes of African Yam Bean (Sphenostylis stenocarpa).

Views and opinions expressed in this article are the views and opinions of the author(s), Journal of Food Technology Research shall not be responsible or answerable for any loss, damage or liability etc. caused in relation to/arising out of the use of the content.