Index

Abstract

Lead (Pb) is a potential pollutant that readily accumulates in soils. IAA and NAA belongs to plant hormone auxin that promote plants growth. This work aim at examining possible ameliorative effects of Indole acetic acid (IAA) and Naphthalene acetic acid (NAA) on some biochemical parameters of soybean exposed to Pb toxicity.  Seeds of soybean (TGX 1835-10E) genotype were sown in 5kg bags of soil containing 1000mg/L of Lead nitrate (PbNO3). 40mg/L, 80 mg/L and 120mg/L each of IAA and NAA were prepared and applied by foliar method after 5 weeks of planting. Photosynthetic pigments, mineral elements and antioxidant enzymes were determined on the root, stem and leaf after 7 weeks of planting. Data were analysed using anova at 5% level of significance. The results showed that the level of chlorophyll a, b and carotenoid, mineral elements and antioxidant enzymes significantly increased in the root, stem and leaf of soybean treated with different concentration of Indole acetic acid (IAA) and Naphthalene acetic acid (NAA) as compared with the control (C+ve). All bioregulators (IAA and NAA) concentrations significantly decreased in the level of Pb2+ (except 40mg/L IAA in the root and leaf while all concentration have significant effects in the stem) and also all concentration of (IAA and NAA) significantly increased in the level of biochemical parameters to different extent as compared to control(C+ve). These results show that Indole acetic acid (IAA) and Naphthalene acetic acid (NAA) could ameliorate the Pb toxicity and therefore will be of relevance to agricultural producers.

Keywords: IAA, Lead (Pb), NAA, Soybean, Toxicity.

Received: 2 September 2022 / Revised: 12 October 2021 / Accepted: 25 October 2022 / Published: 10 November 2022

Contribution/ Originality

This study contributes to mitigation of lead toxicity with the use new method of plant biotechnology. It originates from use of phytohormones to improve plant growth. The paper primary contribution is that 120mg/L IAA and NAA could be appropriate concentration to alleviate lead toxicity in soybean.

1. INTRODUCTION

Soybean is a pea-like leguminous vegetable that grows in tropical, subtropical, and temperate climates. Soybeans are a globally important crop that produces oil and protein. Soybean was domesticated around northeast China in the 11th century Before Christ. It is thought that Chinese traders along Africa's east coast introduced it to the continent in the nineteenth century. Many leguminous crops contain protein, but soybean is the only crop that provides a low-cost, high-quality source of protein comparable to meat, poultry, and eggs Lead (Pb) is one of the most toxic and frequently encountered pollutants that affect plants. Among common pollutants that affect plants, Pb is one of the most toxic and regularly encountered and generally considered as potent environmental pollutant. Apart from the natural weathering processes, Pb contamination of the environment has resulted from human activities like mining and smelting activities, paints, gasoline and explosives. Plants are the target of a wide range of pollutants that vary in concentration, speciation, and toxicity (Rahman & Singh, 2019). However, decrease in plant growth under stress conditions might be as a result of altered hormonal balance. Also, toxicity from Pb is known to negatively affect some important process in plant  like seed germination rate, seedling growth, dry mass of roots and shoots, photosynthesis, plant water status, mineral nutrition, and enzymatic activities although the effects are more pronounced at higher concentrations. However, the range of these effects varies and depends on the lead concentration tested, the duration of exposure, the intensity of plant stress, the stage of plant development, and the particular part of the plant under study (Ghanati, Morita, & Yokota, 2005). These species are distributed through the cell and are present in vacuoles and chloroplasts in greater amount Oxidative stress in growing plant parts due to enhanced production of reactive oxygen species (ROS) is one of the phytotoxic effects of Pb. Plants in turn poses some internal detoxification mechanisms and species to deal with metal toxicity that includes selective metal uptake, excretion, complexation by specific ligands, and compartmentalization to cope with metal toxicity. In plant cells, the antioxidant defense system is essentially constituted by superoxide dismutase (SOD), catalase (CAT), ascorbate peroxidase (APX), glutathione (GSH), ascorbate (vitamin C), tocopherol (vitamin E), and carotenoids among others (Fay, Chaney, & White, 1978). However to combat the toxic effects of Pb  on crops, bioregulators may serve as strategies as they have been reported to be a possible tools for plant growth, development, defence and improvements. Indole acetic acid and Naphthalene acetic acid are natural or synthetic chemicals that affect the expression of biological responses in plant tissues. They include auxins, gibberellins, cytokinnis, ethylene and abscic acid (Simon & Petrášek, 2011). Also, application of indole acetic acid and naphthalene acetic acid has been reported to increase yield and morphological traits in pigeon pea Cajanus caja (Udensi, Edu, Ikpeme, & Ntia, 2013). Chandra, Singh, Sagar, and Maurya (2011) had also reported the alleviating effects of IAA on effect of toxic heavy metal (Pb, Cr and Cd) on wheat plant due to stimulatory effect of antioxidant enzyme like Superoxide dismutase,  Catalase and Glutathione reductase. Hence, these prompt the current study on the ameliorative effects of Indole acetic acid and Naphthalene acetic acid on some biochemical parameters: photosynthetic pigments, mineral elements and antioxidant enzymes of soybean exposed to Pb toxicity.

1.1. Material and Method

The study was carried in a screen house at the Department of biochemistry, University of Ibadan Oyo State Nigeria.

1.2. Plant Material

Seeds of Soybean genotype (TGX 1835-10E) were obtained from International Institute of Tropical Agriculture Ibadan.

1.3. Preparation of Lead Nitrate

One gram of lead nitrate was dissolve in a little quantity of distilled water and was later transfer to 1 litre volumetric flask and was made up to the mark with distilled water to make 1000mg/L. 

1.4. Application of Lead Nitrate to the Soil

500ml of 1000mg/L of lead nitrate solution was applied to each 5kg of soil in the polythene bag. It was left for 14 days for proper equilibration of soil and lead nitrate.

1.5. Preparation of Bioregulators

This was done according to the method of Heydecker (1977). 120mg/L, 80mg/L and 40 mg/L of IAA and NAA were prepared respectively.

1.6. Planting

The seeds were sown on the soil containing lead nitrate in the polythene bags, bioregulators (IAA and NAA) was applied at the 5th and 10 weeks of planting by foliar method while only distilled water was applied on the controls (C+ve soybean grown on Pb only and C-ve soybean grown with distilled water only). The plants were harvested at 49 days and were divided into root, stem and leaf for various analysis viz: mineral elements, photosynthetic pigments and antioxidant enzyme activities.

2. ESTIMATION OF PHOTOSYNTHETIC PIGMENTS

The photosynthetic pigments estimated (chlorophyll a, chlorophyll b and carotenoids) were estimated by spectrophotometric method of Anjana, Kaur, and Bhatnaga (2016). The concentrations of chlorophyll a, chlorophyll b, and total carotenoids were determined using Arnon's equation (Daniel, 1949).

3. DETERMINATION OF MINERAL ELEMENTS AND LEAD

3.1. Preparation of Extract for Element Content Analysis

Mineral elements were determined according to the method of Williams and George (2005). The extract was later analysed for magnessium, iron, zinc and lead using Atomic Absorption Spectrophotometer while flame photometer was used to determine sodium, potassium and calcium.

4. DETERMINATION OF ANTIOXIDANT ENZYMES

4.1. Sample Preparation for Enzyme Assay

1g of root, stem and leaf were grinded in 10ml solution containing 0.1M Potassium phosphate buffer, pH 7.5 containing 0.5mM Ethylene diamine tetraacetic acid (EDTA). The brie were centrifuged for 20 minutes at 15000 rpm and the supernatant were collected for enzymes assays.

4.2. Determination of Catalase

Catalase was determined according to the methods of Raghu, Mahesh, Seeta, and Divya (2014) in which the disappearance of peroxide is followed spectrophotometrically at 240nm. One unit decomposes one micromole of H2O2 per minute at 25oC and pH 7.0 under specified conditions.

4.3. Determination of Superoxide Dismutase

Superoxide dismutase (SOD) accelerate the dismutation of the toxic superoxide radical (O2*), produced during oxidative energy processes, to hydrogen peroxide and molecular oxygen. 

Fortress method (kit) employs xanthine and xanthine oxidase (XOD) to generate superoxide radicals which react with 2-(4-iodophenyl)-3-(4-nitrophenol)-5-phenyl tetrazolium chloride (Iodo nitroblue tetrazolium) to form a red formation dye. The superoxide dismutase activity is then measured by the degree of inhibition of this reaction. One unit of SOD is that which causes 50% inhibition of the rate of reduction of INT (Iodo nitroblue tetrazolium) under the conditions of the assay. The SOD activity is then measured by the degree of inhibition of this reaction.

4.4. Determination of Glutathione Peroxidase

Glutathione peroxidase (GPx) is an enzyme found in cytoplasmic and mitochondrial of cells. GPx catalyses the reduction of hydrogen peroxide and hydroperoxides formed from fatty acids, thus effectively removing toxic peroxides from living cells. It plays the important role of protecting cells from potential damage from free radicals formed by peroxide decomposition. Fortress kit was used for the quantitative determination of total Glutathione peroxidase (GPx). GPx catalyses the oxidation of Glutathione (GSH) by cumene hydroperoxide. The oxidised glutathione reductase and NADPH (Reduced Nicotinamide dinucleotide phosphate) is oxidised to NADP+ ((Reduced Nicotinamide dinucleotide phosphate) Simultaneously. The decrease in absorbance at 340nm is then measured.

5. STATISTICAL ANALYSIS

The data were analysed using student independent T-test to compare mean difference between control (C+ve) and PbNO3(C-ve). Anova was then used to compare between the six groups of treatments used. Bonferroni multiple range test was used to determine the level of significant (P ≤ 0.05%) among the six groups of treatment.

6. RESULTS AND DISCUSSION

The results in Tables 1-6 shows that Pb uptake follows in the order root˃ stem˃ leaf. This could be attributed to Pb moving into the root apoplast and then accumulating in the endodermis. The endodermis, in turn, serves as a temporal barrier for Pb transport from the root to the shoot. This explains why roots have a higher Pb accumulation than stem and leaf. Verma and Dubey (2003) also reported that when rice (Oryza sativa) seedlings were grown in sand cultures for 10 and 20 days in nutrient medium containing 500 M and 1000 M Pb(NO3)2, the localization of absorbed Pb was 1.7 to 3.3 times higher in roots than in shoots.

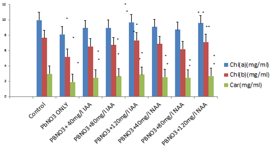
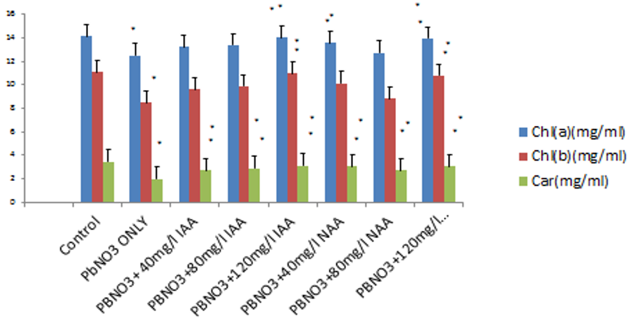
Figure 1. Effect of indole acetic acid and naphthalene acetic acid on photosynthetic pigments of root.

Note: Mean with * are significantly different from the control while mean with ** are significantly different from PbNO3 group.


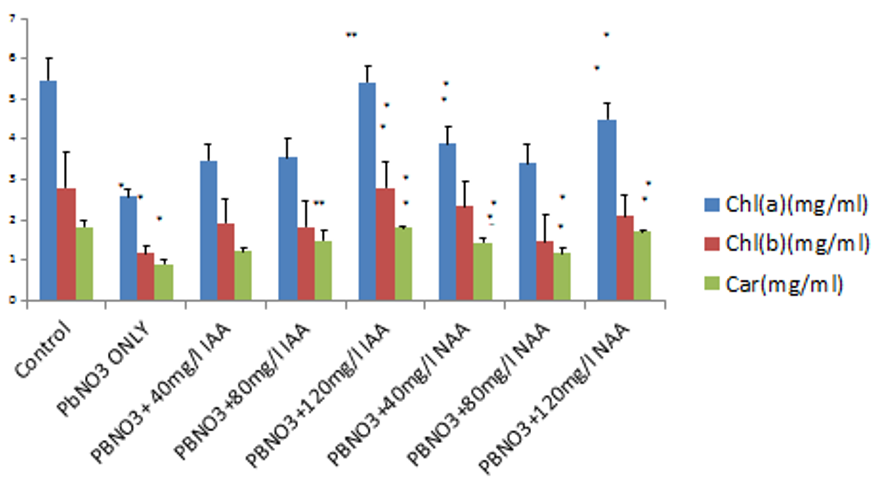
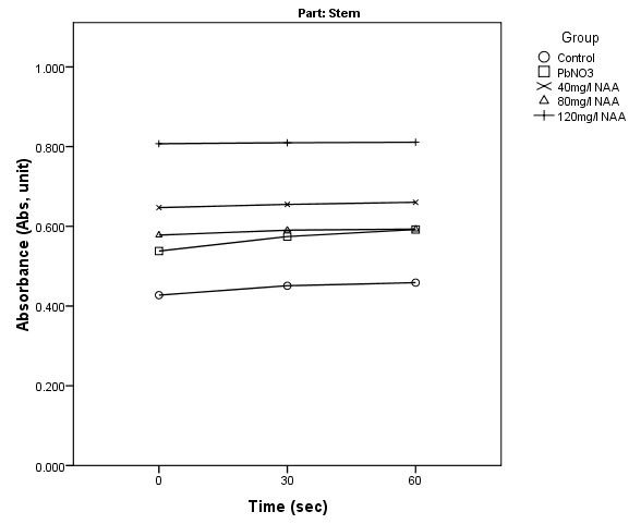
Figure 2. Effect of indole acetic acid and naphthalene acetic acid on photosynthetic pigments of stem.

Note: Mean with * are significantly different from the control while mean with ** are significantly different from PbNO3 group.


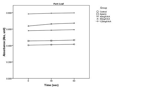
Figure 3. Effect of indole acetic acid and naphthalene acetic acid on photosynthetic pigments of leaf.

Note: Mean with * are significantly different from the control while mean with ** are significantly different from PbNO3 group.


Table 1. Effect of Indole acetic acid and naphthalene acetic acid on antioxidant enzymes of root.
Bioregulators(mg/L)
Superoxide
Dismutase
(U/mL)
Glutathione Peroxidase
(U/L)
Catalase
(unit/mg
protein/min
Peroxidase (unit/
mg protein/
min
Control
0.71±0.20
9.81±6.42
0.01±0.001
0.0004±0.0001
Pb ONLY
1.06±0.11*
26.64±2.43*
0.11±0.001*
0.0015±0.0002*
Pb+ 40mg/L IAA
1.44±0.05**
21.03±4.21
0.12±0.003**
0.0019±0.0001**
Pb+80mg/L IAA
1.58±0.04**
47.67±2.43**
0.20±0.004**
0.0020±0.0001**
Pb+120mg/L IAA
1.92±0.05**
51.87±2.43**
0.27±0.003**
0.0030±0.0001**
Pb+40mg/L NAA
1.60±0.64**
23.83±2.43
0.26±0.003**
0.0012±0.0001
Pb+80mg/L NAA
1.47±0.02**
28.04±2.43
0.14±0.004
0.0016±0.0001
Pb+120mg/L NAA
1.94±0.03**
86.92±4.86**
0.27±0.035**
0.0025±0.0002**

Note: Means with the * are significantly different from the control (C-ve )while mean with** are significantly different from Lead  Nitrate(PbNO3) (C+ve ).
U/L : Unit/Litre , U/mL: Unit/millilitre.


Table 2. Effect of indole acetic acid and naphthalene acetic acid on antioxidant enzymes of stem.
Bioregulators(mg/L)
Superoxide
Dismutase
(U/ml)
Glutathione Peroxidase
(U/L)
Catalase
(unit/mg
protein/min
Peroxidase (unit/
mg protein/
min
Control
0.60±0.01
5.61±2.43
0.01±0.001
0.0002±0.0001
Pb ONLY
0.99±0.10*
21.03±4.21*
0.07±0.005*
0.0010±0.0001*
Pb+ 40mg/L IAA
1.27±0.02**
26.64±2.43
0.07±0.004
0.0008±0.0001
Pb+80mg/L IAA
1.41±0.03**
33.65±4.23**
0.12±0.001**
0.0017±0.0001**
Pb+120mg/L IAA
1.43±0.02**
50.47±4.21**
0.16±0.022**
0.0018±0.0003**
Pb+40mg/L NAA
1.40±0.04**
28.04±2.43
0.18±0.010**
0.0009±0.0010
Pb+80mg/L NAA
1.22±0.00**
32.25±2.43**
0.12±0.004**
0.0011±0.0001
Pb+120mg/L NAA
1.89±0.03**
37.85±4.21**
0.18±0.010**
0.0022±0.0001**

Note: Means with the * are significantly different from the control (C-ve)while mean with** are significantly different from Lead  Nitrate(PbNO3) (C+ve).
U/L : Unit/Litre , U/mL: Unit/millilitre.


Table 3. Effect of indole acetic acid and naphthalene acetic acid on antioxidant enzymes of leaf.
Bioregulators(mg/L)
Superoxide Dismutase
(U/ml)
Glutathione Peroxidase
(U/L)
Catalase
(unit/mg
protein/min
Peroxidase (unit/mg protein/
Min
Control
0.59±0.01
5.61±2.43
0.001±0.002
0.0001±0.0001
Pb ONLY
1.02±0.10*
18.23±2.43*
0.009±0.002*
0.0006±0.0001*
Pb+ 40mg/L IAA
1.12±0.02
19.63±2.43
0.020±0.004
0.0008±0.0001
Pb+80mg/L IAA
1.24±0.03**
37.85±4.21**
0.030±0.022**
0.0012±0.0003**
Pb+120mg/L IAA
1.94±0.03**
54.68±4.21**
0.073±0.010**
0.0015±0.0001**
Pb+40mg/L NAA
1.22±0.03**
21.03±4.21
0.063±0.03**
0.0009±0.0001**
Pb+80mg/L NAA
1.10±0.01
29.44±4.21**
0.016±0.004**
0.0010±0.0001**
Pb+120mg/L NAA
1.92±0.01**
42.06±4.21**
0.108±0.03**
0.0021±0.001**

Note: Means with the * are significantly different from the control (C-ve)while mean with** are significantly different from Lead  Nitrate(PbNO3) (C+ve ).
U/L : Unit/Litre , U/mL: Unit/millilitre.

The Effect of Indole acetic acid and Naphthalene acetic acid on Photosynthetic Pigments.

The result in Figure 1, 2 and 3 shows that application of IAA and NAA increase the level of chlorophyll a, b and carotenoids in the root, stem and leaf .120mg/L IAA significantly increase all the photosynthetic pigments (chlorophyll a, b and carotenoid), 80mg/L IAA and 80mg/L NAA significantly increased carotenoid only, these might be due to the fact that the concentration is ineffective to promote uptake of magnesium and iron necessary for chlorophyll formation. Fourty (40mg/L) IAA show no significant increase which might due to ineffectiveness of the concentration to alleviate Pb toxicity and hence uptake of mineral elements necessary for chlorophyll formation (magnesium and iron), 120 mg/L NAA significantly increased chlorophyll a and carotenoid, 40mg/L NAA significantly increased chlorophyll a and carotenoid as compared to PbNO3 contaminated plant only. 120mg/L IAA significantly increased the level of chlorophyll a, b and carotenoid due to effectiveness of this concentration to alleviate Pb toxicity so able to promote uptake of mineral elements (magnesium and iron) necessary for chlorophyll formation. In the stem, 40 mg/l IAA gave no significantly increase in the level of chlorophyll a, b and carotenoid which might be due to ineffectiveness of the concentration to alleviate lead (Pb) toxicity and hence uptake of mineral elements necessary for chlorophyll formation n (magnesium and iron). 120mg/L NAA significantly increased the level of chlorophyll a,b and carotenoid. 80mg/l IAA, 80mg/l and 40mg/l NAA significantly increased the level of carotenoid only, these might be that the concentration is not effective to promote uptake of mineral elements (magnesium and iron) necessary for chlorophyll formation. In the leaf, 120mg/L IAA and 120mg/l NAA significantly increased the level of chlorophyll a,b and carotenoid due to effectiveness of this concentration to alleviate lead (Pb)toxicity so able to promote uptake of mineral elements (magnessium and iron) necessary for chlorophyll formation . 80mg/L IAA, 40mg/L IAA and 80mg/L NAA significantly increased the level of carotenoid only, these might be that the concentration is ineffective to promote uptake of mineral elements (magnesium and iron) necessary for chlorophyll formation. 40mg/l NAA significantly increased the level of chlorophyll a and carotenoid.

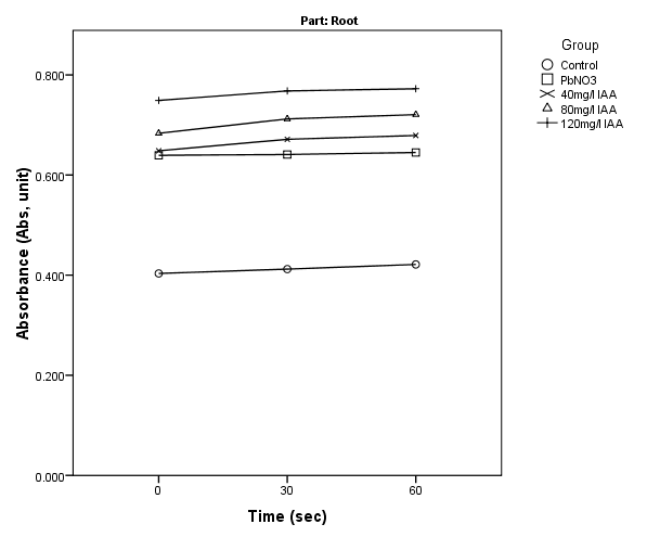
Figure 4. Effect of indole acetic acid on lipoxygenase activity of root.
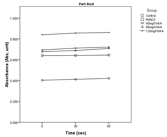
Figure 5. Effect of napthalene acetic acid on lipoxygenase activity of root.
Figure 6. Effect of Indole acetic acid on lipoxygenase activity of Stem.
Figure 7. Effect of Napthalene acetic acid on lipoxygenase activity of Stem.
Figure 8. Effects of Indole acetic acid on lipoxygenase activity of Leaf.
Figure 9. Effect of Napthalene acetic acid on Lipooxygenase activity of Leaf.

6.1. Effects of Indole Acetic Acid and Naphthalene Acetic Acid on Antioxidants Enzymes

The result in Table 1, 2 and 3 shows that in  the root, 120mg/L  and 80 mg/L IAA significantly increased the level of SOD, GPX , CAT , POX , 40mg/l IAA significantly increased the level of SOD, CAT, POX . 120 mg/L NAA significantly increased the level of SOD, GPX, CAT and POX. 80mg/l NAA significantly increased the level of SOD , 40mg/L NAA significantly increased  the level of SOD and CAT. Non-significant increased in the level of CAT,GPX and POX suggest ineffective at this concentation to stimulate the enyme which then result in  a possible delay in removing H2O2 generated from the SOD activity on the ROS-mediated injury. In the stem, 120mg/L and 80 mg/L IAA significantly increased the level of SOD, GPX ,CAT ,POX, 40mg/L IAA significantly increased the level of SOD. 120 mg/L NAA significantly increased the level of SOD, GPX, CAT and POX. 80mg/L NAA significantly increased the level of SOD, GPX, CAT , 40mg/L NAA significantly increased  the level of SOD and CAT. Non-significant increased in the level of GPX and POX suggest that this concentation is not effective  to stimualte the enyme which then result in  a possible delay in removing H2O2 generated from the SOD activity on the ROS-mediated injury. In the leaf, 120mg/L and 80 mg/L IAA significantly increased the level of SOD, GPX ,CAT , POX, 40mg/L IAA gave no significant  increased on all the level of enzyme.  120 mg/l  and 80mg/l NAA significantly increased the level of SOD, GPX, CAT and POX, 40mg/l NAA significantly increased  the level of SOD, CAT and  POX.  In the Figure 4, 5, 6, 7, 8 and 9 there is increase in activity of LOX observed in all (root, stem and leaf)  except 40mg/L IAA  in the stem which suggest  stimulatory effects of antioxidant enzyme to alleviate the toxic effect of lead (Pb). However, the differences in the level of individual enzymes   in the root, stem and leaf was as a result of effectiveness of each concentration to enhanced/promote the level of the antioxidants for the plant to ameliorate the toxic effects of lead (Pb). This also in accordance with the work of Chandra et al. (2011) on alleviating effects of indole acetic acid on adverse effect of toxic heavy metal (Pb, Cd, Cr) due to the increased production of antioxidant enzyme like SOD, CAT and GR. Also reported inducing effects of IAA, NAA and IBA on LOX  and POX activity of tomato. El-Gaied, Abu El-Heba, and El-Sherif (2013) also reported inducing effect of NAA on SOD and Ascorbate peroxidase level of tomato. Sibgha, Muhammad, and Nudrat (2011) also reported increase in SOD, catalase and POX in sunflower on exogenous application of salicylic acid.

Table 4. Effect of Indole acetic acid and Naphthalene acetic acid on mineral elements on root.
Bioregulator (mg / L )
% Ca
% Mg
% K
% Na
Pb(mg/kg)
Fe(mg/kg)
Zinc (mg/kg)
% P
Control
1.87±0.30
1.16±0.06
5.34±0.10
0.37±0.01
80.00±6.00
5.23±0.56
150.80±4.80
0.16±0.02
PbNO3 ONLY
0.33±0.03*
0.46±0.02*
2.27±0.13*
0.15±0.04*
390.00±14.00*
1.66±0.10*
62.50±2.10*
0.07±0.02*
PbNO3+ 40mg/L IAA
0.43±0.10
0.58±0.05
2.50±0.04
0.17±0.02
371.17±3.13
2.06±0.09
67.00±2.30
0.10±0.03
PbNO3+80mg/L IAA
0.57±0.03
0.64±0.06**
2.76±0.10**
0.23±0.04
290.33±4.3**
2.96±0.53**
84.40±4.40**
0.11±0.02
PbNO3+120mg/L  IAA
0.73±0.24**
0.78±0.09**
3.25±0.15**
0.20±0.024
217.09±8.1**
4.38±0.10**
104.57±4.54**
0.16±0.02**
PbNO3+40mg/L NAA
0.59±0.09
1.00±0.05**
3.27±0.33**
0.18±0.01
237.92±9.50**
4.26±0.07**
102.10±2.10**
0.15±0.02**
PbNO3+80mg/L  NAA
0.51±0.09
0.57±0.04**
3.18±0.19**
0.15±0.02
233.00±3.00**
3.85±0.46**
86.00±0.65**
0.12±0.11**
PbNO3+120mg/L NAA
1.51±0.25**
1.10±0.04**
4.43±0.10**
0.28±0.04**
140.58±4.78**
5.21±0.15**
107.50±4.04**
0.18±0.03**

Note: Means with the * are significantly different from the control (C-ve )while mean with** are significantly different from Lead  Nitrate(PbNO3) (C+ve ).
Ca: calcium, Mg: Magnessium, K: Potassium, Na: Sodium, Pb : Lead, Fe: Iron, P: Phosphorus


Table 5. Effects of Indole acetic acid and Naphthalene acetic acid on mineral elements of Stem.
Bioregulator(mg/L)
% Ca
%  Mg
% K
% Na
Pb(mg/kg)
Fe(mg/kg)
Zinc(mg/kg)
%P
Control
1.41±0.19
0.47±0.03
4.16±0.10
0.040±0.01
37.17±1.17
414.50±3.50
30.50±3.50
0.37±0.03
PbNO3 ONLY
0.78±0.10*
0.24±0.03*
2.74±0.14*
0.034±0.01*
133.10±3.13*
256.50±10.00*
21.10±1.40*
0.10±0.01*
PbNO3+ 40mg/L IAA
1.23±0.10**
0.36±0.03**
3.03±0.13
0.035±0.01
94.21±2.00**
314.33±7.00**
22.70±1.90
0.23±0.03**
PbNO3+80mg/L IAA
1.18±0.18**
0.40±0.05**
3.24±0.20**
0.039±0.01
81.25±1.25**
389.50±22.10**
23.10±1.10
0.11±0.02
PbNO3+120mg/L IAA
2.04±0.04**
0.44±0.03**
3.29±0.20**
0.041±0.00
65.28±2.00**
398.10±3.10**
26.90±3.10
0.28±0.03**
PbNO3+40mg/L NAA
1.6±0.15**
0.42±0.03**
3.27±0.20**
0.034±0.01
86.67±1.67**
297.67±14.25**
29.10±3.10**
0.29±0.02**
PbNO3+80mg/L NAA
1.39±0.09**
0.37±0.03**
2.92±0.18
0.039±0.01
73.31±1.29**
332.50±10.00**
23.30±0.90
0.24±0.05**
PbNO3+120mg/L  NAA
2.3±0.06**
0.45±0.03**
3.74±0.08**
0.04±0.02
47.56±2.53**
410.50±15.00**
30.10±2.90**
0.29±0.03**

Note: Means with the * are significantly different from the control (C-ve ) while mean with** are significantly different from Lead Nitrate (PbNO3) (C+ve ).
Ca: calcium, Mg: Magnessium, K: Potassium, Na: Sodium, Pb : Lead, Fe: Iron, P: Phosphorus


Table 6. Effects of indole acetic acid and naphthalene acetic acid on mineral elements of leaf.
Bioregulator(mg/L)
% Ca
% Mag
% K
% Na
Pb (mg/kg)
Fe (mg/kg)
Zinc (mg/kg)
% P
Control
4.11±0.11
0.48±0.05
3.59±0.30
0.06±0.01
21.10±2.45
929.60±3.80
101.90±1.90
0.21±0.03
PbNO3 ONLY
0.48±0.08*
0.14±0.03*
1.99±0.30*
0.024±0.00*
36.60±2.60*
165.00±7.00*
35.30±1.70*
0.1±0.03*
PbNO3+ 40mg/L IAA
0.51±0.10
0.16±0.03
2.33±0.13
0.035±0.01
35.50±2.00
452.20±7.02**
44.00±1.90**
0.12±0.03
PbNO3+80mg/L IAA
0.94±0.08**
0.23±0.04
2.77±0.30**
0.041±0.01
26.13±4.10*
506.40±6.40*
60.23±4.61**
0.12±0.03
PbNO3+120mg/L IAA
1.68±0.10**
0.42±0.04**
3.04±0.20**
0.04±0.01
26.48±2.00**
852.50±5.50**
83.00±1.50**
0.16±0.05
PbNO3+40mg/L NAA
1.06±0.12**
0.33±0.04**
2.51±0.17
0.035±0.01
25.75±1.50**
798.70±0.80**
73.70±3.70**
0.14±0.04
PbNO3+80mg/L  NAA
0.51±0.04
0.21±0.03
2.08±0.20
0.028±0.01
27.75±1.75**
789.90±8.10**
62.20±1.80**
0.13±0.03
PbNO3+120mg/L NAA
3.27±0.10
0.46±0.06**
3.23±0.23**
0.044±0.01**
24.25±1.25**
896.40±5.60**
84.60±1.60**
0.18±0.05

Note: Means with the * are significantly different from the control (C-ve) while mean with** are significantly different from Lead )Nitrate (PbNO3) (C+ve ).
Ca: calcium, Mg: Magnessium, K: Potassium, Na: Sodium, Pb : Lead, Fe: Iron, P: Phosphorus.

6.2. Effect of Indole Acetic Acid and Naphthalene Acetic Acid on Mineral Elements

The result in Table 5 and 6 shows that in the root, 120mg/L IAA significantly increased the level of Ca2+, Mg2+,Fe2+,Zn2+ and phosphorus, 80mg/L IAA significantly increased level of Mg2+,K+,Fe2+,Zn2+, 40 mg/L IAA gave no significantly increased the level of these mineral elements. 120mg/L NAA significantly increased the level of Ca2+,Mg2+,K+,Na2+,Fe2+,Zn2+,P. 80mg/L NAA significantly increased the level of Mg2+,K+,Fe2+,Zn2+ and P, 40mg/L NAA significantly increased the level of Mg2+,K+,Fe2+,Zn2+,P.  All concentration significantly decreased the level of Pb2+ except 40mg/L IAA. In the stem, 120mg/L IAA significantly increased the level of Ca2+,Mg2+,Fe2+,K+ and P, 80mg/L IAA significantly increased level of Ca2+,Mg2+,K+,Fe2+ and Zn2+, 40 mg/L IAA  significantly increased the level of Ca2+,Mg2+,Fe2+ and phosphorus. 120mg/L NAA significantly increased the level of Ca2+,Mg2+,K+,Na2+, Fe2+, Zn2+ and P. 80mg/L NAA significantly increased the level of Mg2+, Ca2+,Fe2+ and P, 40mg/L NAA significantly increased the level of Ca2+ Mg2+,K+,Fe2+,Zn2+,P.  All concentration significantly decreased the level of Pb2+. In the leaf, 120mg/L IAA significantly increased the level of Ca2+,Mg2+,K+,Fe2+ and Zn2+,80mg/l IAA significantly increased level of Ca2+,K+,Fe2+  and Zn2+, 40 mg/L IAA  significantly increased the level of Fe2+ and Zn2+. 120mg/L NAA significantly increased the level of Ca2+, Na+ ,Mg2+,K+, Fe2+ and Zn2+. 80mg/L NAA significantly increased the level Fe2+ and Zn2+, 40mg/L NAA significantly increased the level of Ca2+ Mg2+,Fe2+ and Zn2+. All concentration significantly decreased the level of Pb2+ except 40mg/L IAA. This also follow the work of Chandra et al. (2011) that reported alleviating effects of indole acetic acid on adverse effect of toxic heavy metal (Pb, Cd, Cr) and increase in  the nutrient uptake of Zinc and Iron in wheat (Triticum aestivum L) .  Also Rui-Jun et al. (2011) reported that application of IAA alleviate Pb toxicity by creating better root system, plant biomass and regulating the level of nutrient element. Mona, Maymona, and Ibrahim (2013) also reported that foliar application of mixture of IAA+NAA promote nutrient element (N, P, K ,Fe, Zn, Mn) in barley.  Khan, Khan, Sahreen, and Bokhari (2010) reported that application of 0.5m MSA result in an increase of N,P,K & Ca content by 10.1%, 31.6%,19.3% & 19.1% respectively in mungan bean.

7. CONCLUSION

Lead (Pb) is one of the most frequently encountered and highly toxic heavy metals due to different activities man engage in. Lead (Pb) could physically block the access of mineral elements to the absorption sites of roots thus causing imbalance within the plant tissues. Phytoremediation of Lead (Pb) under normal conditions has been challenging due to precipitation with carbonates, phosphates and organic matters. Phytohormones therefore serves as a possible strategy form of bioremediation for Pb toxicity. Auxins (Indole acetic acid) is the most abundant among naturally occurring phytohormones due its regulatory function in plant growth. Other synthetic form like Napthalene acetic acid, Indole-3-butyric acid and  Salicylic acid also remediation role. In this study, different concentration of bioregulators used (IAA & NAA) have varying effects in ameliorating the Pb toxicity through increase in the level of mineral elements and photosynthetic pigment. Therefore, application of IAA and NAA to soybean exposed to lead (Pb) toxicity could serve as possible bioremediation to ameliorate the toxic effects by promoting mineral elements, photosynthetic pigments through stimulation of antioxidant enzymes that scavenge the reactive oxygen species produced.

Funding: This study received no specific financial support.  

Competing Interests: The authors declare that they have no competing interests.

Authors’ Contributions: Both authors contributed equally to the conception and design of the study.

Acknowledgement: The authors are grateful to International Institute of Tropical Agriculture at Ibadan, Oyo State Nigeria for providing soybean seed.

REFERENCES

Anjana, S. K., Kaur, I., & Bhatnaga, A. K. (2016). Impact of 24-Epibrassinolide on tolerance, accumulation, growth, photosynthesis, and biochemical parameters in arsenic stressed Cicer arietinum L. Agricultural Science Research Journal, 6(9), 201-212.

Chandra, S. K., Singh, A., Sagar, R. K., & Maurya, J. N. (2011). Effect of indole acetic acid on wheat (Triticum aestivum L.) irrigated with sewage water. Journal of Phytology, 3(8), 08-11

Daniel, I. A. (1949). Copper enzymes in isolated chloroplasts. polyphenoloxidase in beta vulgaris. Plant Physiology, 24(1), 1–15.

El-Gaied, L. F., Abu El-Heba, G. A., & El-Sherif, N. A. (2013). Effect of growth hormones on some antioxidant parameters and gene expression in tomato. GM Crops & Food, 4(1), 67-73.Available at: https://doi.org/10.4161/gmcr.24324.

Fay, C., Chaney, M. C., & White, M. (1978). The physiology of metal toxicity in plants. Annual Review of Plant Physiology, 29(1), 511-566.

Ghanati, F., Morita, A., & Yokota, H. (2005). Effects of aluminum on the growth of tea plant and activation of antioxidant system. Plant and Soil, 276(1-2), 133-141.Available at: https://doi.org/10.1007/s11104-005-3697-y.

Heydecker, W. (1977). Stress and seed germination: An agronomic view. In The physiology and biochemistry of seed dormancy and germination. Ed. A.A. Khan (pp. 237-282). Amsterdam: Elsevier/ North Holland Biomedical Press.

Khan, R. A., Khan, M. R., Sahreen, S., & Bokhari, J. (2010). Prevention of CCl4-induced nephrotoxicity with Sonchus asper in rat. Food and Chemical Toxicology, 48(8-9), 2469-2476.Available at: https://doi.org/10.1016/j.fct.2010.06.016.

Mona, E. E., Maymona, A. K., & Ibrahim, S. (2013). Response of barley plants to foliar application of growth regulators mixture of indole acetic acid, naphthalene acetic acid and zinc. African Journal of Biotechnology, 12(23), 3653.Available at: https://doi.org/10.21608/jpp.2009.116970.

Raghu, K., Mahesh, K., Seeta, R. S., & Divya, N. S. (2014). Brassinosteroid role of the radish seedlings (Raphanus sativus L.) on thegermination of seeds and its growth under arsenic toxicity stress. International Journal of Developmental Research, 4(9), 1929-1933.

Rahman, Z., & Singh, V. P. (2019). The relative impact of toxic heavy metals (THMs)(arsenic (As), cadmium (Cd), chromium (Cr)(VI), mercury (Hg), and lead (Pb)) on the total environment: An overview. Environmental Monitoring and Assessment, 191(7), 1-21.Available at: https://doi.org/10.1007/s10661-019-7528-7.

Rui-Jun, D., Er-kai, H., Ye-Tao, T., Reng-Jie, H., Rong-Ring, Y., Jeen –Louis, M., & Rong-Liang, Q. (2011). How phytohormone IAA and chelator EDTA affect lead uptake by Zn/Cd hyperaccumulator Picris divaricata. International Journal of Phytoremediation, 13(10), 1024-1036.

Sibgha, N., Muhammad, A., & Nudrat, A. A. (2011). Does exogenous application of salicylic acid improve growth and some key physiological attributes in sunflower plants subjected to salt stress? Journal of Applied Botany and Food Quality, 84(2), 169 - 177.

Simon, S., & Petrášek, J. (2011). Why plants need more than one type of auxin. Plant Science, 180(3), 454-460.Available at: https://doi.org/10.1016/j.plantsci.2010.12.007.

Udensi, O., Edu, E., Ikpeme, E., & Ntia, M. (2013). Response of pigeon pea landraces [Cajanus cajan (L.) Millsp.] to exogenous application of plant growth regulators. Annual Review and Research in Biology, 3(4), 762-776.

Verma, S., & Dubey, R. S. (2003). 645/655 654 T.K. Prasad, M.D. Anderson, C.R. Stewart, Localization and characterization of peroxidases in the mitochondria of chilling acclimated maize seedlings. Plant Science, 164(4), 645-655.

Williams, H., & George, D. (2005). Association of official analytical chemist (A.O.A.C.) (18th ed., pp. 865-960). North Fedrick Avenue Maryland U.S.A: Published A.O.A.C International, 481.

Views and opinions expressed in this article are the views and opinions of the author(s), The International Journal of Biotechnology shall not be responsible or answerable for any loss, damage or liability etc. caused in relation to/arising out of the use of the content.