Index

Abstract

Children are important resources for nations' long-term and sustainable development; therefore, they have the right to have their well-being ensured from birth. Although multidimensional methods for researching child well-being in Vietnam have made some progress, most studies still focus on single aspects of child well-being. This paper analyzes the correlations between household welfare (measured by the asset index - an effective alternative tool to income and expenditure), early childbearing, and child well-being (in six constitutive dimensions) to provide a broad picture of the above relationships in the Vietnamese context. Using secondary data from the Vietnam Sustainable Development Goal Indicators for Children and Women (SDGCW) survey by the General Statistics Office (GSO) of Vietnam and the United Nations International Children's Emergency Fund (UNICEF) in the period 2020–2021, and applying Tobit and OLS regression models, the research results show that a high level of household welfare not only directly increases child well-being but also has an indirect positive effect on this indicator by reducing the early childbearing rate. Based on the research findings, several suggestions are made to improve household welfare; therefore, this paper can support the government in managing early childbearing rates and improving child well-being throughout the country.

Keywords: Assets, Child well-being, Early childbearing, Household welfare.

Received: 20 February 2023 / Revised: 12 April 2023/ Accepted: 16 October 2023/ Published: 18 December 2023

JEL Classification: I31.

Contribution/ Originality

Research focusing on the multidimensional aspects of child well-being in Vietnam remains uncommon. This study uses data from the 2020-2021 Vietnam SDGCW survey to analyze the relationships between household welfare, early childbearing, and child well-being to provide a broad picture of the three variables in Vietnam.

1. INTRODUCTION

Children are the future of society and important capital resources in the long-term development of a country (Qi, Liu, Hua, Deng, & Zhou, 2022). As a result, governments have opted to focus on the promotion of child development as well as raising their level of well-being, as evident from the increase in domestic and foreign policies concerning children (Qi et al., 2022). Recent studies have shown that countries are investing more of their resources to ensure well-being among children and are prioritizing this over happiness because the multidimensionality of child well-being includes not only positive mental health (happiness, pride, gratitude, etc.) but also comprises physical health (Adler & Seligman, 2016; UNICEF, 2007).

Researchers have often examined the correlation between child well-being and economic indicators, notably household welfare (Amerijckx & Humblet, 2014) since child well-being depends on the benefits acquired from the welfare they receive (Ben-Arieh, 2010; Greve, 2008). Meanwhile, household welfare has often been measured by income and expenditure, thereby analyzing the effects of these factors on child well-being (Chaudry & Wimer, 2016; Osborne & Knab, 2007). However, when considering the effect of household welfare on child well-being, income and expenditure represent only one of the dimensions that individuals need to achieve well-being (Sen, 2006). Therefore, recent studies have paid more attention to the asset index and consider it a more effective tool for measuring household welfare, since assets not only provide basic needs but also expand the child's ability to develop freely (Sen, 2006). Researchers in developing countries have also chosen the asset index to measure household welfare because asset information is easy to collect, saves costs, and limits volatility due to inflation in the long run (Page-Adams & Sherraden, 1997; Sahn & Stifel, 2003).

Similar to household welfare, early childbearing has also been shown to have a strong impact on child well-being because of its direct and indirect effects on both mother and child (Mollborn & Dennis, 2012; Moore & Snyder, 1991). In addition, there is a certain correlation between early childbearing and household welfare as low household welfare contributes to early pregnancy and childbearing behavior (Gordon, 1996; Sedgh, Finer, Bankole, Eilers, & Singh, 2015).

Although child well-being is reflected in multiple dimensions, researchers in developing countries, including Vietnam, often choose to focus on only one or a few component dimensions instead of the entire child well-being framework. Specifically, Yamada, Tanaka, Arakawa, and Miyake (2022) examined the influence of parental psychology on children's subjective well-being, behaviors, and risks. Meanwhile, in assessing the effects of assets on child well-being, Binci and Giannelli (2018) only focused on children’s learning, while Harpham, De Silva, and Tuan (2006) examined children's health.

Therefore, this research not only examines the relationship between household welfare and early childbearing but also analyzes the impact of both variables on all dimensions of child well-being, instead of assessing individual dimensions, with the hope of providing a broader picture of child well-being in Vietnam. Moreover, this research measures household welfare using the asset index instead of income and expenditure because the advantages of this method are more suitable for the research context. Finally, unlike previous studies that examined child well-being at the household level (Cockburn & Dostie, 2007; Qi et al., 2022), this research takes a cluster-level perspective to compare the overall child well-being in different regions within the country.

The research results form the basis for several recommendations for improving child well-being within the national context, as well as limiting the negative effects of household welfare and early childbearing on child well-being. This paper consists of five sections. Following the introduction in Section 1, Section 2 provides an overview of the theoretical basis. Section 3 describes the research methods. Section 4, in turn, analyzes and discusses the research results. Finally, conclusions and policy implications are set out in Section 5.

2. LITERATURE REVIEW

2.1. The Effect of Household Welfare on Child Well-Being

Child well-being represents the child's inherently positive state in a multidimensional construct (incorporating physical, psychological, and social dimensions) (Columbo, 1984; Pollard & Lee, 2003). Specifically, it is reflected in six constitutive dimensions: (1) material well-being, (2) health and safety, (3) educational well-being, (4) behaviors and risks, (5) housing and environment, and (6) subjective well-being (UNICEF, 2007, 2013).

Household welfare comprises the material living standards and minimum income security of a household, which are used to access economic resources and improve household life quality (Glewwe, 1991; Greve, 2008). High household welfare not only helps ensure children’s basic material needs are met but also improves their mental well-being, thereby contributing to their well-being in all six dimensions (Qi et al., 2022).

Specifically, (1) in terms of material well-being, a low level of household welfare will negatively affect the ability to meet children's basic needs, making them more susceptible to economic constraints (McKernan, Ratcliffe, & Nam, 2007), which is especially serious as children are incapable of improving their material well-being until they reach adulthood (Duncan & Brooks-Gunn, 1997). Conversely, high household welfare ensures the stability of the household in terms of food security, disregarding environmental, economic, and social events (Chegini, Pakravan-Charvadeh, Rahimian, & Gholamrezaie, 2021). (2) Meanwhile, in terms of health and safety, households with a high asset level can access high-quality health services before, during, and after pregnancy (Ansong, 2015). Thus, the deficits in children’s nutritional parameters (height and weight) become larger as poverty persists (Miller & Korenman, 1994). (3) In terms of educational well-being, household welfare has a positive relationship with children’s school enrolment, attendance, and completion rates (Filmer & Pritchett, 1999). In contrast, families with insufficient financial resources must weigh sending their children to school against the need for them to participate in family-support activities to improve family income (Cockburn & Dostie, 2007). (4) On the other hand, in terms of behaviors and risks, when growing up in poor families, children often witness or become victims of violent acts (Gelles, 1989). The consequences of a poor and violent environment include an increased rate of negative outcomes for children, such as depression, autism, and a tendency to repeat bad behaviors that they have been exposed to (Brooks-Gunn & Duncan, 1997). (5) In terms of housing and environment, households with higher incomes will consider relocating their place of residence to improve their quality of life (McCulloch, 2001; Nguyen, Nguyen, Le, & Kaneko, 2022), as well as to protect children from negative influences in the old environment (Sharkey & Elwert, 2011). In addition, better-off households are more likely to buy a house and improve the quality of their housing materials than low-income households (Saidu & Yeom, 2020). (6) Finally, in terms of subjective child well-being, household welfare is shown to promote the mental health of household members in the long run (Headey & Wooden, 2004), as well as contributing to children developing healthy characteristics such as independence, self-worth, and self-direction (Pfeffer & Hällsten, 2012). Conversely, living in poverty can contribute to negative experiences for children such as dependency, anxiety, and unhappiness (McLeod & Shanahan, 1993).

In summary, empirical studies have proven a positive relationship between household welfare and child well-being. Accordingly, this research proposes the following hypothesis:

H1: Household welfare has a positive effect on child well-being in Vietnam.

2.2. The Effect of Early Childbearing on Child Well-Being

Early childbearing is the act of giving birth before the minimum age for marriage as set forth by the law of the relevant country (Chandra-Mouli, Camacho, & Michaud, 2013). Early childbearing is both a public issue and a private concern because of its consequences for both mother and baby (Furstenberg Jr, 2003; Mollborn & Dennis, 2012). Many studies have shown a negative correlation between early childbearing and negative outcomes for children, documented and reflected in all six dimensions of child well-being. Specifically, (1) in terms of material well-being, early childbearing will reduce the mother’s income because her time spent on learning and developing her human capital is shortened (Hofferth & Sandberg, 2001). As a result, women who give birth at a young age in low-income households are often not financially prepared to have children, leading to child deprivation and poverty (Mollborn & Dennis, 2012). (2) Not only that, in terms of health and safety, early pregnancy and childbirth come with social prejudices, resulting in pregnant adolescents not receiving adequate reproductive care, thereby increasing the risk of birth defects in children (Hayes, Nelson, & Jarrett, 1987). (3) Moreover, in terms of educational well-being, early childbearing forces mothers to drop out of school due to health stressors during pregnancy (Hofferth & Sandberg, 2001). Therefore, young mothers are not fully equipped with the knowledge and skills to raise their babies, and children of immature mothers are not supervised and taught effectively (Levine, Emery, & Pollack, 2007). Moreover, early childbearing often results in delays in the child's language development and reduced performance in school (Moore & Snyder, 1991). (4) Meanwhile, in terms of behaviors and risks, adolescent mothers are often less psychologically and socially mature than older mothers (Brooks-Gunn & Chase-Lansdale, 1995). As a result, inconsistent and sudden disciplinary acts are more common among young mothers, adversely affecting children's emotional, cognitive, and behavioral development (Maccoby & Martin, 1983). (5) In terms of housing and environment, having a child at a young age is confirmed to have a negative relationship with household income (Buvinic, 1998). Specifically, parents who are not able to handle housing costs often choose to rent or buy a home in a poor area, resulting in negative environmental effects on the child (Chaudry & Wimer, 2016; Stephens & Leishman, 2017). (6) Finally, in terms of subjective well-being, having a child in adulthood generally reduces psychological pressures and brings more mental benefits to family members than evidenced in families with early childbearing (Myrskylä, Barclay, & Goisis, 2017). Parents will have more positive attitudes toward their children, thereby improving children's mental health (Qi et al., 2022).

In summary, theories and empirical evidence from previous studies highlight the negative influence of early childbearing on child well-being across multiple dimensions.

Accordingly, this research proposes the following hypothesis:

H2: Early childbearing has a negative effect on child well-being in Vietnam.

2.3. The Effect of Household Welfare on Early Childbearing

Researchers have claimed that low household welfare is one of the leading causes of early pregnancy and childbirth (Kearney & Levine, 2007). As illustrated by the findings from a survey conducted in low and middle-income countries, adolescents in these regions have a higher rate of early childbearing (Sedgh et al., 2015). In addition, the longer a female child is exposed to poverty, the greater her chances of becoming pregnant (Akombi-Inyang, Woolley, Iheanacho, Bayaraa, & Ghimire, 2022), leading to an increase in the rate of early marriage (Duncan & Brooks-Gunn, 1997).

On the other hand, it is worth noting that household welfare is a key element in the formation of children’s perceptions and behaviors; living in poverty increases the frequency of children’s exposure to inappropriate behaviors and creates opportunities for them to mimic those behaviors (McCulloch, 2001). Therefore, increased household welfare will protect children from premature birth events (Brooks-Gunn & Duncan, 1997). In particular, families with an increase in finances tend to move out of negative areas and choose better places to live (McCulloch, 2001). This also helps reduce the risk of early pregnancy among adolescents in these resettled families, as they now have better access to education, limiting the information that negatively affects their child's consciousness (Philip & Rayhan, 2004; The World Bank, 2000).

In summary, studies have proven that an increased rate of early childbearing can result from low household welfare. Accordingly, this research proposes the following hypothesis:

H3: Household welfare has a negative effect on the early childbearing rate in Vietnam.

3. RESEARCH METHODS

3.1. Data Sources

The study uses data from the Vietnam Sustainable Development Goal Indicators on Children and Women (SDGCW) Survey 2020–2021, conducted by the Vietnam GSO in collaboration with government ministries as part of UNICEF’s Multiple Indicator Cluster (MICS) program. It was the largest MICS survey in Vietnam to date, with a sample of 14,000 households that were selectively clustered according to localities (each cluster consisting of 20 households) to provide an overall picture of the lives of children and women across the country. The survey included six questionnaires: (1) household questionnaire, (2) water quality testing, (3) individual women aged 15–49, (4) individual men aged 15–49, (5) children under 5, and (6) children aged 5–17.

3.2. Research Process

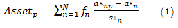
First, the authors calculate the asset index to measure household welfare. Specifically, this research uses Filmer and Pritchett's (2001) asset index to measure household welfare, which is written as:

Where
is an asset index for each household (p = 1,......,N).
is the scoring factor for each durable asset of a household (n = 1,…...,N).
is the mean ofdurable asset n ofhousehold p (n, p = 1,......,N).
is the mean of durable asset n of a household (n = 1,......,N).
is the standard deviation of durable asset n of a household (n = 1,......,N).

In addition, principal component analysis (PCA), developed by Pearson (1901) and Hotelling (1933), is applied to determine the weights of each asset class. Specifically, the authors estimate the weights of 25 durable assets provided by MICS, which are shown in Table 1.

Table 1. Asset weight findings using principal component analysis.
Component
Eigenvalue
Difference
Proportion
Cumulative
1
4.954
2.855
0.199
0.1981
2
2.0993
0.402
0.084
0.2821
3
1.699
0.313
0.068
0.3500
4
1.386
0.249
0.056
0.4054
5
1.1366
0.078
0.046
0.4509
6
1.0649
0.064
0.043
0.4935
7
1.0014
0.0364
0.0401
0.5336
8
0.966
0.037
0.0386
0.5722
9
0.929
0.0294
0.0371
0.6093
10
0.899
0.076
0.0360
0.6453
11
0.824
0.0310
0.0329
0.6782
12
0.784
0.034
0.0313
0.7095
13
0.7496
0.035
0.0300
0.7395
14
0.716
0.035
0.0286
0.7681
15
0.6809
0.027
0.0272
0.7953
16
0.655
0.075
0.0262
0.8215
17
0.5799
0.006
0.0232
0.8447
18
0.575
0.0503
0.0230
0.8677
19
0.525
0.015
0.0210
0.8886
20
0.5104
0.019
0.0204
0.9091
21
0.492
0.012
0.0197
0.9287
22
0.4802
0.0093
0.0192
0.9479
23
0.472
0.0189
0.0188
0.9668
24
0.453
0.074
0.0181
0.9849
25
0.379
-
0.0151
1.0000

Table 1 shows that 7 of the assets have eigenvalues greater than 1 (column 2, Table 1), and will therefore be used to calculate the asset index. In addition, these 7 durable assets explain 53.36% (column 5, Table 1) of the total assets. Next, the authors estimate the weights of these 7 asset indicators (column 4, Table 1) and apply them to Equation 1 to calculate the household asset index.

Secondly, the well-being index (CWI) is calculated to estimate the level of child well-being. Specifically, this research uses equal weights for all six dimensions of child well-being, similar to Noorbakhsh's (1998) approach to the human development index (HDI) (based on education, life expectancy, and real GDP per capita). The indices related to the child well-being measurement are written as:

Where

i indicates the cluster number, and m and j are within and between component variables.

the weight attached to each contributing X variable within a component and the weight attached to each of  the six components.

The index in Equation 2 is suitable for indicators with an expected positive effect on child well-being. Meanwhile, in cases where the indicators are expected to have a negative impact on well-being, the corresponding index is written as in Equation 3.

Thirdly, the Tobit regression model is used to analyze the impact of household welfare on early childbearing behavior. Since the value of the variable early childbearing (Y*) ranges from 0 to 1, it is reasonable to use the Tobit regression model in this study (Sigelman & Zeng, 1999). Specifically, early childbearing is measured as the proportion of women aged 15-49 who have given birth before the age of 18. This means that the dependent variable has a value in the range of [0, 1] and is the censored data. On the other hand, according to statistical theory, if the dependent variable data is in the form of censored data, the maximum likelihood estimation (MLE) method must be used (Gujarati, 2011). The above relationship is written as:

Where

Finally, the ordinary least squares (OLS) regression model is used to analyze the influence of household welfare and early childbearing behavior on child well-being through CWI. Many previous studies have used the OLS model to study the topic of happiness (Berger, Bruch, Johnson, James, & Rubin, 2009). First, we estimate the impact of early childbearing and household welfare on the six dimensions of child well-being, followed by aggregating all these component dimensions into the well-being index (CWI). Altogether, the procedure is written as:

Where

The cluster characteristics were selected by the authors as control variables for the research model; these included economic regions (Northern Midlands and Mountains, Red River Delta, North Central and Central Coast, Central Highlands, South East, and Mekong River Delta) and areas (rural, urban), similar to the studies of Kearney and Levine (2007) and Qi et al. (2022). In addition, household size was also selected as a control variable to represent the degree of crowdedness in the family (small (less than 6 members), large (6 members or more), in accordance with Sserwanja, Sepenu, Mwamba, and Mukunya (2022).

4. RESULTS AND DISCUSSION

4.1. The Impact of Household Welfare on Early Childbearing in Vietnam

The estimated results of the Tobit regression model on the effect of household welfare on early childbearing are shown in Table 2. As the logistic regression (LR) chi2 value (k = 9 degrees of freedom) is 313.61 with a statistical significance level of 1%, the Tobit regression model is suitable. Moreover, the coefficient of the welfare variable (-0.147) shows that household welfare has a negative impact on the early childbearing rate, which is consistent with the proposed hypothesis. The reason may be that an increase in household welfare enables children to enroll in better schools as well as increase their chance of accessing media, which is an effective channel used by the government to introduce information promoting safe sex practices (Sserwanja et al., 2022). The results of this research coincide with those of Brooks-Gunn and Duncan (1997).

Table 2. Estimation results on the impact of household welfare on early childbearing in Vietnam.
Independent variable
Early childbearing
Coefficient
Statistical significance
Household welfare
-0.147
0.000
Control variable
Coefficient
Statistical significance
  Economic regions
(Reference: Northern Midlands and Mountains)
South East
0.032
0.133
Red River Delta
0.063
0.006
North Central and Central Coast
0.003
0.905
Central Highlands
0.043
0.086
Mekong River Delta
0.014
0.567
Areas
(Reference: Urban areas)
Rural areas
-0.002
0.876
Household size
(Reference: Small scale)
Large scale
(>=6 members)
0.103
0.000
_cons
-0.074
Log-likelihood
-15.08
LR chi2 (8)
313.61
Prob>chi2
0.0000
Left-censored observation at cum_teenpr_mh <=0
437
Uncensored observations
263
Right-censored observation
0

4.2. The Impact of Early Childbearing on Child Well-Being in Vietnam

The impact of early childbearing on child well-being is estimated using the OLS model and the results are provided in Table 3. Specifically, the coefficient (-2.08) with a statistical significance level of 1% shows that a 1% increase in the rate of early childbearing will cause the child well-being index to decrease by an average of 2.08 points compared to children born to mothers aged 18 or above. Previous studies have similarly found a negative correlation between early childbearing rate and all of the constitutive dimensions of child well-being, including education (Hayes et al., 1987), health (Moore & Snyder, 1991), behavior (Maccoby & Martin, 1983), and more.

Table 3. Estimation results on the impact of early childbearing on child well-being in Vietnam.
Independent variable
Early childbearing
Coefficient
Statistical significance
Early childbearing
-2.08
0.000
Control variable
Coefficient
Statistical significance
  Economic regions
(Reference: Northern Midlands and Mountains)
South East
-0.140
0.020
Red River Delta
-0.329
0.000
North Central and Central Coast
-0.285
0.000
Central Highlands
-0.255
0.001
Mekong River Delta
-0.147
0.046
Areas
(Reference: Urban areas)
Rural areas
-0.313
0.000
Household size
(Reference: Small scale)
Large scale (>=6 members)
-0.707
0.000
_cons
3.42
Number of observations
700
R-squared
0.4105
Prob > F
0

4.3. The Impact of Household Welfare on Child Well-Being in Vietnam

The results of the estimation of the effect of household welfare on child well-being are summarized in Table 4. In particular, these show a positive impact of household welfare on child well-being with a positive correlation coefficient of 0.642 and a significance level of 1%. This result is similar to that of Qi et al. (2022). The reason may be that when households become more affluent, they consume better products and services to improve their living standards, thereby promoting positive impacts on the dimensions of child well-being, including material well-being, education, housing, and others (Filmer & Pritchett, 2001; Miller & Korenman, 1994).

Table 4. Estimation results on the impact of household welfare on child well-being in Vietnam.
Independent variable
Child well-being
Coefficient
Statistical significance
Household welfare
0.642
0.000
Control variable
Coefficient
Statistical significance
Economic regions
(Reference: Northern Midlands and Mountains)
South East
0.103
0.067
Red River Delta
-0.634
0.320
North Central and Central Coast
0.032
0.614
Central Highlands
0.021
0.764
Mekong River Delta
0.212
0.002
Areas
(Reference: Urban areas)
Rural areas
-0.015
0.745
Household size
(Reference: Small scale)
Large scale
(>=6 members)
-0.569
0.000
_cons
2.87
Number of observations
700
R-squared
0.5350
Prob > F
0

5. CONCLUSIONS AND IMPLICATIONS

This research examined the relationship between household welfare, early childbearing, and child well-being at a cluster level in Vietnam. The results show that while high household welfare increases child well-being and reduces early childbearing rates, early childbearing reduces child well-being. Some theoretical and practical implications follow from the research results:

On a theoretical level, this research contributes to strengthening the existing knowledge on the impact of household welfare and early childbearing on child well-being. The authors used the asset index instead of income and expenditure to measure household welfare because it better represents welfare in developing countries. Moreover, this research examined the issue at a cluster level instead of the household level to obtain a broader view of child well-being in each region, thereby focusing on the variation in child well-being caused by regional rather than household characteristics.

In practical terms, the research results are expected to help broaden the perspectives of the government, local agencies, and households on child well-being and its relationship with household welfare and early childbearing. It is notable that household welfare not only has a direct impact on child well-being but also indirectly affects this index through a reduction in the early childbearing rate. Although Vietnam has succeeded in reducing the poverty rate from 15.9% in 2012 to 4.7% in 2020, the reduction has been uneven across regions (United Nations Development Programme in Vietnam, 2022). This research provides data that will help the government and agencies issue specific plans to improve the general level of household welfare in each region, thereby reducing the financial gap and limiting inequality between these areas, ultimately improving child well-being across the country. In addition, the results serve as a basis to support authorities in setting up programs to increase household welfare, thereby not only helping to lessen the economic burden of reproductive health services but also creating better conditions for children to have full access to sexual education, which will reduce the early childbearing rate of Vietnamese youth.

Funding: This study received no specific financial support.  
Institutional Review Board Statement: Not applicable.
Transparency: The authors state that the manuscript is honest, truthful, and transparent, that no key aspects of the investigation have been omitted, and that any differences from the study as planned have been clarified. This study followed all writing ethics.
Data Availability Statement: The corresponding author can provide the supporting data of this study upon a reasonable request.

Competing Interests: The authors declare that they have no competing interests.

Authors’ Contributions: All authors contributed equally to the conception and design of the study. All authors have read and agreed to the published version of the manuscript.

REFERENCES

Adler, A., & Seligman, M. E. (2016). Using wellbeing for public policy: Theory, measurement, and recommendations. International Journal of Wellbeing, 6(1), 1-35. https://doi.org/10.5502/ijw.v6i1.429

Akombi-Inyang, B. J., Woolley, E., Iheanacho, C. O., Bayaraa, K., & Ghimire, P. R. (2022). Regional trends and socioeconomic predictors of adolescent pregnancy in Nigeria: A nationwide study. International Journal of Environmental Research and Public Health, 19(13), 8222. https://doi.org/10.3390/ijerph19138222

Amerijckx, G., & Humblet, P. C. (2014). Child well‐being: What does it mean? Children & Society, 28(5), 404-415. https://doi.org/10.1111/chso.12003

Ansong, E. (2015). The association between household consumer durable assets and maternal health-seeking behavior in Ghana. Women & Health, 55(5), 485-504. https://doi.org/10.1080/03630242.2015.1022815

Ben-Arieh, A. (2010). From child welfare to children well-being: The child indicators perspective. From Child Welfare to Child Well-Being, 1, 9-22. https://doi.org/10.1007/978-90-481-3377-2_2

Berger, L. M., Bruch, S. K., Johnson, E. I., James, S., & Rubin, D. (2009). Estimating the “impact” of out‐of‐home placement on child well‐being: Approaching the problem of selection bias. Child Development, 80(6), 1856-1876. https://doi.org/10.1111/j.1467-8624.2009.01372.x

Binci, M., & Giannelli, G. C. (2018). Internal versus international migration: Impacts of remittances on child labor and schooling in Vietnam. International Migration Review, 52(1), 43-65. https://doi.org/10.1111/imre.12267

Brooks-Gunn, J., & Chase-Lansdale, P. L. (1995). Adolescent parenthood. In portions were presented at a conference entitled" outcomes of early childbearing: An appraisal of recent evidence. Bethesda, MD: Lawrence Erlbaum Associates, Inc.

Brooks-Gunn, J., & Duncan, G. (1997). The effects of poverty on children. The Future of Children, 7(2), 55-71. https://doi.org/10.2307/1602387

Buvinic, M. (1998). The costs of adolescent childbearing: Evidence from Chile, Barbados, Guatemala, and Mexico. Studies in Family Planning, 29(2), 201-209. https://doi.org/10.2307/172159

Chandra-Mouli, V., Camacho, A. V., & Michaud, P.-A. (2013). WHO guidelines on preventing early pregnancy and poor reproductive outcomes among adolescents in developing countries. Journal of Adolescent Health, 52(5), 517-522. https://doi.org/10.1016/j.jadohealth.2013.03.002

Chaudry, A., & Wimer, C. (2016). Poverty is not just an indicator: The relationship between income, poverty, and child well-being. Academic Pediatrics, 16(3), S23-S29. https://doi.org/10.1016/j.acap.2015.12.010

Chegini, K. R., Pakravan-Charvadeh, M. R., Rahimian, M., & Gholamrezaie, S. (2021). Is there a linkage between household welfare and income inequality, and food security to achieve sustainable development goals? Journal of Cleaner Production, 326, 129390. https://doi.org/10.1016/j.jclepro.2021.129390

Cockburn, J., & Dostie, B. (2007). Child work and schooling: The role of household asset profiles and poverty in rural Ethiopia. Journal of African Economies, 16(4), 519-563. https://doi.org/10.1093/jae/ejl045

Columbo, S. A. (1984). General well-being in adolescents: Its nature and measurement. Doctoral Dissertation, Saint Louis University.

Duncan, G. J., & Brooks-Gunn, J. (1997). Consequences of growing up poor. New York: Russell Sage Foundation.

Filmer, D., & Pritchett, L. (1999). The effect of household wealth on educational attainment: Evidence from 35 countries. Population and Development Review, 25(1), 85-120. https://doi.org/10.1111/j.1728-4457.1999.00085.x

Filmer, D., & Pritchett, L. H. (2001). Estimating wealth effects without expenditure data—or tears: An application to educational enrollments in states of India. Demography, 38(1), 115-132. https://doi.org/10.1353/dem.2001.0003

Furstenberg Jr, F. F. (2003). Teenage childbearing as a public issue and private concern. Annual Review of Sociology, 29(1), 23-39. https://doi.org/10.1146/annurev.soc.29.010202.100205

Gelles, R. J. (1989). Child abuse and violence in single‐parent families: Parent absence and economic deprivation. American Journal of Orthopsychiatry, 59(4), 492-501. https://doi.org/10.1111/j.1939-0025.1989.tb02738.x

Glewwe, P. (1991). Investigating the determinants of household welfare in Côte d'Ivoire. Journal of Development Economics, 35(2), 307-337. https://doi.org/10.1016/0304-3878(91)90053-X

Gordon, C. (1996). Adolescent decision making: A broadly based theory and its application to the prevention of early pregnancy. Adolescence, 31(123), 561-584.

Greve, B. (2008). What is welfare? Central European Journal of Public Policy, 2(01), 50-73.

Gujarati, D. N. (2011). Econometrics by example (Vol. 1). New York: Palgrave Macmillan.

Harpham, T., De Silva, M. J., & Tuan, T. (2006). Maternal social capital and child health in Vietnam. Journal of Epidemiology & Community Health, 60(10), 865-871. http://dx.doi.org/10.1136/jech.2005.044883

Hayes, S. C., Nelson, R. O., & Jarrett, R. B. (1987). The treatment utility of assessment: A functional approach to evaluating assessment quality. American Psychologist, 42(11), 963-974. https://psycnet.apa.org/doi/10.1037/0003-066X.42.11.963

Headey, B., & Wooden, M. (2004). The effects of wealth and income on subjective well‐being and ill‐being. Economic Record, 80, S24-S33. https://doi.org/10.1111/j.1475-4932.2004.00181.x

Hofferth, S. L., & Sandberg, J. F. (2001). How American children spend their time. Journal of Marriage and Family, 63(2), 295-308. https://doi.org/10.1111/j.1741-3737.2001.00295.x

Hotelling, H. (1933). Analysis of a complex of statistical variables into principal components. Journal of Educational Psychology, 24(6), 417-441. https://doi.org/10.1037/h0071325

Kearney, M. S., & Levine, P. B. (2007). Socioeconomic disadvantage and early childbearing. NBER Chapters, 181-209. https://doi.org/10.7208/chicago/9780226309477.003.0007

Levine, J. A., Emery, C. R., & Pollack, H. (2007). The well‐being of children born to teen mothers. Journal of Marriage and Family, 69(1), 105-122. https://doi.org/10.1111/j.1741-3737.2006.00348.x

Maccoby, E. E., & Martin, J. A. (1983). Socialization in the context of the family: Parent-child interaction. In P. H. Mussen, & E. M. Hetherington (Eds.), handbook of child psychology: Vol. 4. Socialization, personality, and social development. In (pp. 1-101). New York: Wiley.

McCulloch, A. (2001). Teenage childbearing in Great Britain and the spatial concentration of poverty households. Journal of Epidemiology & Community Health, 55(1), 16-23. http://dx.doi.org/10.1136/jech.55.1.16

McKernan, S. M., Ratcliffe, C., & Nam, Y. (2007). The effects of welfare and IDA program rules on the asset holdings of low-income families. Washington, DC: Office of the Assistant Secretary for Planning and Evaluation, US Dept. of Health and Human Services. Center for Social Development.

McLeod, J. D., & Shanahan, M. J. (1993). Poverty, parenting, and children's mental health. American Sociological Review, 58(3), 351-366. https://doi.org/10.2307/2095905

Miller, J. E., & Korenman, S. (1994). Poverty and children's nutritional status in the United States. American Journal of Epidemiology, 140(3), 233-243. https://doi.org/10.1093/oxfordjournals.aje.a117242

Mollborn, S., & Dennis, J. A. (2012). Explaining the early development and health of teen mothers’ children1. Sociological Forum, 27(4), 1010-1036. https://doi.org/10.1111/j.1573-7861.2012.01366.x

Moore, K. A., & Snyder, N. O. (1991). Cognitive attainment among firstborn children of adolescent mothers. American Sociological Review, 56, 612-624. https://doi.org/10.2307/2096083

Myrskylä, M., Barclay, K., & Goisis, A. (2017). Advantages of later motherhood. Gynakologe, 50(10), 767-772. https://doi.org/10.1007/s00129-017-4124-1

Nguyen, T. C., Nguyen, H. D., Le, H. T., & Kaneko, S. (2022). Residents’ preferred measures and willingness-to-pay for improving urban air quality: A case study of Hanoi City, Vietnam. Journal of Economics and Development, 24(3), 262-275. https://doi.org/10.1108/JED-03-2021-0036

Noorbakhsh, F. (1998). The human development index: Some technical issues and alternative indices. Journal of International Development: The Journal of the Development Studies Association, 10(5), 589-605. https://doi.org/10.1002/(SICI)1099-1328(199807/08)10:5%3C589::AID-JID484%3E3.0.CO;2-S

Osborne, C., & Knab, J. (2007). Work, welfare, and young children's health and behavior in the fragile families and child wellbeing study. Children and Youth Services Review, 29(6), 762-781. https://doi.org/10.1016/j.childyouth.2006.12.005

Page-Adams, D., & Sherraden, M. (1997). Asset building as a community revitalization strategy. Social Work, 42(5), 423-434. https://doi.org/10.1016/j.childyouth.2006.12.005

Pearson, K. (1901). LIII. On lines and planes of closest fit to systems of points in space. The London, Edinburgh, and Dublin Philosophical Magazine and Journal of Science, 2(11), 559-572. https://doi.org/10.1080/14786440109462720

Pfeffer, F. T., & Hällsten, M. (2012). Mobility regimes and parental wealth: The United States, Germany, and Sweden in comparison. Retrieved from SOEPpaper No. 500, Germany.

Philip, D., & Rayhan, M. R. (2004). Vulnerability and poverty: What are the causes and how they related? Term paper for interdisciplinary course. International Doctoral Studies at ZEF, Bonn, November.

Pollard, E. L., & Lee, P. D. (2003). Child well-being: A systematic review of the literature. Social Indicators Research, 61, 59-78.

Qi, S., Liu, H., Hua, F., Deng, X., & Zhou, Z. (2022). The impact of household assets on child well-being: Evidence from China. Applied Research in Quality of Life, 17(5), 2697-2720. https://doi.org/10.1007/s11482-021-09993-9

Sahn, D. E., & Stifel, D. (2003). Exploring alternative measures of welfare in the absence of expenditure data. Review of Income and Wealth, 49(4), 463-489. https://doi.org/10.1111/j.0034-6586.2003.00100.x

Saidu, A. I., & Yeom, C. (2020). Success criteria evaluation for a sustainable and affordable housing model: A case for improving household welfare in Nigeria cities. Sustainability, 12(2), 1-16. https://doi.org/10.3390/su12020656

Sedgh, G., Finer, L. B., Bankole, A., Eilers, M. A., & Singh, S. (2015). Adolescent pregnancy, birth, and abortion rates across countries: Levels and recent trends. Journal of Adolescent Health, 56(2), 223-230. https://doi.org/10.1016/j.jadohealth.2014.09.007

Sen, A. (2006). Conceptualizing and measuring poverty. Poverty and Inequality, 30-46. https://doi.org/10.1515/9780804767590-003

Sharkey, P., & Elwert, F. (2011). The legacy of disadvantage: Multigenerational neighborhood effects on cognitive ability. American Journal of Sociology, 116(6), 1934-1981. https://doi.org/10.1086/660009

Sigelman, L., & Zeng, L. (1999). Analyzing censored and sample-selected data with Tobit and Heckit models. Political Analysis, 8(2), 167-182. https://doi.org/10.1093/oxfordjournals.pan.a029811

Sserwanja, Q., Sepenu, A. S., Mwamba, D., & Mukunya, D. (2022). Access to mass media and teenage pregnancy among adolescents in Zambia: A national cross-sectional survey. BMJ Open, 12(6), e052684. https://doi.org/10.1136/bmjopen-2021-052684

Stephens, M., & Leishman, C. (2017). Housing and poverty: A longitudinal analysis. Housing Studies, 32(8), 1039-1061. https://doi.org/10.1080/02673037.2017.1291913

The World Bank. (2000). World development report 2000/2001: Attacking poverty. Oxford University Press. Retrieved from https://documents1.worldbank.org/curated/ru/230351468332946759/pdf/226840WDR00PUB0ng0poverty0200002001.pdf

UNICEF. (2007). Innocenti report card 7: The overview of child wellbeing in rich countries. Retrieved from https://www.unicef-irc.org/publications/pdf/rc7_eng.pdf

UNICEF. (2013). Innocenti report card 11: Child well-being in rich countries: A comparative overview. Retrieved from https://www.unicef-irc.org/publications/pdf/rc11_eng.pdf

United Nations Development Programme in Vietnam. (2022). Vietnam multi-dimensional poverty report 2021. Retrieved from https://www.undp.org/vietnam/publications/viet-nam-multi-dimensional-poverty-report-2021

Yamada, M., Tanaka, K., Arakawa, M., & Miyake, Y. (2022). Perinatal maternal depressive symptoms and risk of behavioral problems at five years. Pediatric Research, 92(1), 315-321. https://doi.org/10.1038/s41390-021-01719-9

Views and opinions expressed in this article are the views and opinions of the author(s), Journal of Social Economics Research shall not be responsible or answerable for any loss, damage or liability etc. caused in relation to/arising out of the use of the content.