Index

Abstract

There is a consensus in the literature that higher exports are associated with increased economic growth, productivity, and employment. This paper attempts to analyze India’s export potential in the South Asian region following the South Asian Free Trade Area (SAFTA) agreement. Using panel data, an augmented gravity model analysis is employed for the period from 2004 to 2021. The analysis finds a positive and significant effect of trading countries’ gross domestic product (GDP) on India’s total exports, whereas the effect of the per capita GDP differential between the countries is negative. This paper does not find any significant effect of distance, border, or common language on India’s total exports. The study also finds that from 2004 to 2021, India’s average export potential was positive with three countries (Pakistan, Bangladesh, and the Maldives) and negative with four countries (Nepal, Sri Lanka, Afghanistan, and Bhutan). India had the highest export potential with Pakistan during this period. The study suggests that India must raise its exports to those South Asian Association for Regional Cooperation (SAARC) member nations where it has not been able to export in accordance with its potential and explore trade opportunities with other countries in Asia, Europe, and North America. In this context, it is crucial to focus on trade and infrastructural reforms to boost India’s exports.

Keywords: Augmented gravity model, Export potential, Panel data, Random effects, SAARC, SAFTA.

Received: 10 February 2023/ Revised: 28 April 2023/ Accepted: 12 May 2023/ Published: 18 May 2023

JEL Classification: B27; C01; C23; F14.

Contribution/ Originality

Few studies have examined the export potential of India with the SAARC countries following the SAFTA agreement. This study significantly adds to the trade literature by identifying the SAARC trading partners where India has been unable to export in accordance with its potential.

1. INTRODUCTION

Export promotion policies have been considered a major reason for the rapid economic growth and advancement of East Asian countries (Duc, Nhuong, Linh, Ha, Anh, Huong & Van, 2022). In contrast to these policies, in the 1950s and 1960s, the Indian economy adopted the policies of import substitution and export pessimism with very strict controls on trade, investment, and industrial activity. After the adoption of economic reforms in 1991, India transitioned towards a market-driven economy as it was argued that liberal trade policies would provide a boost to economic growth. The gradual liberalization of the Indian economy is reflected in the continuously rising share of India’s trade in GDP. In 1991, the share of India’s trade in GDP was about 17%, which increased to about 26% in 2001 and 45.29% in 2021 (World Bank, 2022).

India is a fast-growing emerging economy in the South Asian region that can derive significant benefits by boosting its exports. From 2004 to 2021, India’s exports grew annually at a rate of 9.3% (World Bank, 2022). Even though India’s exports have grown significantly, however, the share of India’s exports in global exports remains very low. For example, India’s share in world exports was about 0.45% in 1991, which increased to 1.04% in 2005 and further to 1.72% in 2020. In comparison, China managed to raise its export share from 1.36% in 1991 to about 5.46% in 2005 and further to about 10% in 2020 (WITS, 2022). India needs to raise its exports to a considerable level to benefit from the growth and employment augmenting effects associated with higher exports. An important way to do so is by signing free trade agreements with other countries, which would promote regional trade and growth.

Regional trade agreements (RTAs) and free trade agreements (FTAs) have gained popularity in recent times (Freund & Ornelas, 2010; Kaushal, 2022). As part of these agreements, member countries agree to lower or abolish tariffs (Kumar & Prabhakar, 2017). FTAs are beneficial for the economic progress of a region due to their favorable effect on trade, foreign direct investment (FDI), and firm productivity (Baier & Bergstrand, 2007; Benz & Yalcin, 2015; Duong, Holmes, & Strutt, 2021) . These advantages imply that FTAs can serve as important instruments for enhancing economic growth and living standards in both developed and developing countries.

The South Asian Free Trade Area (SAFTA) was formed by the South Asian Association for Regional Cooperation (SAARC) countries in 2004 to increase trade and enhance economic collaboration. The eight SAARC countries that signed this FTA were India, Pakistan, Bangladesh, Nepal, Bhutan, the Maldives, and Afghanistan (Ministry of Commerce, 2022; U.N., 2022). It was envisaged that lowering trade barriers and implementing trade-friendly policies and various concessions would have a favorable effect on the trade, employment, and GDP growth of the member nations. However, few studies have examined the export potential of India after the establishment of this FTA among the SAARC countries. The current study contributes to the extant literature by analyzing India’s export potential in the South Asian region from 2004 to 2021. This study contributes significantly to the trade literature by identifying SAARC trading partners where India has been unable to export in accordance with its potential.

The rest of the paper is organized as follows. Section 2 provides an overview of the related studies. Section 3 explains the methodology and variables used in the paper. Section 4 presents a discussion of the results. The last section sums up the key findings of the study.

2. LITERATURE REVIEW

The extant studies in the literature have examined the overall trade potential of India with different regions and nations (e.g., (Ahuja, 2001; Banik & Kim, 2020; Batra, 2006; Kumar & Prabhakar, 2017; Sharma & Kumar, 2021) ). Using an augmented gravity model, Batra (2006) examined the trade potential of India with different countries for the year 2000. The author reported a positive effect of the trading countries’ GDP and an adverse impact of the variable distance on India’s trade flows. The effects of cultural and historical variables on trade were found to be favorable and significant. Batra (2006) also found that India had a very high trade potential with Pakistan and China. Kumar and Prabhakar (2017) used a stochastic frontier gravity model to analyze the effect of FTAs on India’s import and export efficiency for the period 2000 to 2014. They found an insignificant effect of SAFTA on India’s trade efficiency and a favorable effect of bilateral FTAs on India’s export efficiency. The authors also highlighted the critical role of the institutional quality of India’s trading partners. Regmi, Devkota, and Upadhyay (2017) analyzed the influence of SAFTA on bilateral exports and imports for 166 countries from 1980 to 2010. The authors found a favorable effect of SAFTA on the trade flows of both participating and non-participating nations. Sharma and Kumar (2021) studied India’s trade potential with other SAARC countries under SAFTA from 2004 to 2019. They found that India had a high trade potential with Bangladesh and Sri Lanka.

Relatively few studies have examined the export potential of India in general (e.g., (Kaushal, 2022; Kelkar & Kalirajan, 2021)) and in relation to particular groups of countries such as the Gulf Cooperation Council (GCC) countries, SAARC countries, and Association of Southeast Asian Nations (ASEAN) countries (e.g., (Kaur & Nanda, 2010; Khati & Kim, 2022; Pradhan, 2009) ). Scholars have also analyzed the export potential of India for certain specific sectors and products (e.g., (Bhutia, Mula, & Sarkar, 2022; Kaur, Chopra, Sidhu, & Kataria, 2021; Kumar, Sahu, & Ansari, 2021) ). Kelkar and Kalirajan (2021) examined the merchandise export efficiency of the Indian economy from 2001 to 2019. They estimated India’s merchandise export efficiency to be about 80% and advocated for greater priority for the export sector by enhancing regulatory quality. Kaushal (2022) studied the effects of several regional trade agreements on India’s export efficiency for the period 2008 to 2018 and found that India had not been able to fully realize its export potential. The author argued that India should attempt to direct FDI into export-intensive manufacturing sectors.

Using the gravity model of trade, Kaur and Nanda (2010) examined the export potential of India with other SAARC countries and found a low volume of trade between these countries. The authors suggested the need to lower trade restrictions and emphasize investment in the arena of international trade in order to realize the export potential. Pradhan (2009) employed the augmented gravity model and examined India’s export potential with the GCC countries for the period 1994 to 2004. He found that India’s largest export potential was with Oman and an absence of export potential with UAE and Saudi Arabia. The author argued that exports to UAE and Saudi Arabia could only be increased if India diversified its export basket. Khati and Kim (2022) analyzed the effect of the ASEAN India FTA on India’s merchandise exports for the period 2000 to 2019. The authors found that the FTA resulted in increased trade but not in rising exports to the ASEAN countries due to the presence of non-tariff measures. Seker (2022) estimated the gravity model to examine the export potential of India with Southeast Asian countries during the period 1996 to 2018. The author compared the actual and predicted values of exports and concluded there was a high export potential with the three Southeast Asian countries of Brunei, Cambodia, and Thailand. In this context, the present paper examines India’s export potential in the South Asia region during the period 2004 to 2021.

3. METHODOLOGY AND DATA

The empirical literature uses the gravity model to analyze the trade potential among the participating nations in a region (e.g., (Batra, 2006; Helpman & Krugman, 1987; Sharma & Kumar, 2021; Tinbergen, 1962) ). The gravity model of international trade explains the positive impact of economic masses, i.e., national incomes, and the negative impact of geographical distance between the participating member nations on their bilateral trade (Batra, 2006; Khati & Kim, 2022; Pradhan, 2009) . The model suggests that a higher level of economic activity in trading countries is associated with a greater level of trade. On the other hand, distance is a proxy of transportation costs, and a greater distance between the trading countries is likely to hurt trade . Thus, the basic gravity model equation used in the literature is as follows:

Equation 1 shows the basic gravity model of trade, in which total trade positively depends on the GDP of the trading countries and negatively relates to the distance between the countries. In this equation, Tij denotes the bilateral trade between participating nations i and j, GDPi and GDPj represent their gross domestic products, and Distanceij shows the distance between the capitals of countries i and j. Taking the logarithmic of Equation 1, the following equation for the basic gravity model is obtained:

Equation 2 presents the transformation of the basic gravity model in logarithmic form. However, this paper utilizes the augmented gravity model, which postulates that the total exports depend on national income, geographical distance, and some additional relevant variables that may affect bilateral exports (Khati & Kim, 2022; Regmi et al., 2017). These additional variables include the effects of language, borders, and per capita GDP differential between the countries. It is argued that export and trade flows are positively associated with a common language and a common border. Countries that share a common language and are adjacent to each other are more likely to have greater bilateral exports and trade flows. Batra (2006) provides a detailed theoretical justification for the inclusion of the per capita GDP differential term in the gravity model as it is likely to influence trade flows. This term may exhibit a positive or negative sign. Thus, this paper uses the following augmented gravity model equation to study India’s export potential in South Asia:

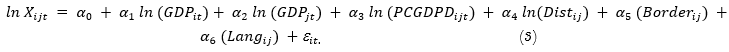
Equation 3 shows the augmented gravity model, which includes the impact of language, border, and per capita GDP differential on India’s total exports, in addition to the basic gravity model variables. In this equation, Xijt denotes the total exports between India and the SAARC trading partner at time t, GDPit and GDPjt indicate the gross domestic product of India and the trading partner at time t, PCGDPDijt is the per capita GDP differential between India and the trading nation at time t, Distij is the distance between the capital cities of the trading nations, and eit is the error term. Borderij and Langij are two dummy variables that take a value of 1 if India shares a common border and a common language with the trading partner. The required trade data was obtained from the India Export-Import (EXIM) Bank, and the data on GDP was taken from the World Bank. Information on the distance between the capital cities of the SAARC nations was sourced from the Centre d'Études Prospectives et d'Informations Internationales (CEPII) database. Table 1 presents the list of variables, their definitions, and key data sources.

Table 1. Variable descriptions and data sources.

Variable

Definition

Unit of measurement

Data sources

Xijt

Total exports of India (Nation i) to other SAARC member nation (Nation j)

USD in million

Export-import data bank, Ministry of Commerce and Industry, Govt. of India

GDPit

India’s (Nation i) gross domestic product

USD at constant prices (2015) in million

World development indicators, World Bank

GDPjt

Gross domestic product of SAARC trading partner (Nation j)

USD at constant prices (2015) in million

World development indicators, World Bank

Distij

Geographical distance between the capital of India and the capital of the trading partner

Kilometers

CEPII database

PCGDPijt

Per capita GDP differential between India and the SAARC trading partner

USD at constant prices (2015) in million

World development indicators, World Bank

Borderij

Common border (Takes the value 1 if India shares a common border, 0 otherwise)

Wikipedia

Langij

Common official or commercial language (Takes the value 1 if India shares a common language, 0 otherwise)

Govt. websites of SAARC nations

eit

The randomly distributed error term

Source:

India Exim Bank (2022), World Bank (2022), and CEPII (2022).

The application of the pooled ordinary least squares (OLS) method would produce biased and inconsistent estimates (Fokam, Mbengono, Sato, Noumessi, & Tadadjeu, 2021; Sharma, Sharma, & Tokas, 2022). Therefore, this paper employs the panel data regression model to estimate the augmented gravity model outlined above in Equation 3. This paper incorporates the effects of both time-variant and time-invariant variables that affect India’s total exports in the South Asian region into the model. Thus, a random effects model is used to estimate Equation 3. (Sharma & Kumar, 2021).

4. RESULTS AND DISCUSSION

Figure 1 shows India’s exports (% share) to SAARC countries in 2021, which helps us understand India’s most important export partners amongst these countries. The major export partner of India amongst the SAARC nations in 2021 was Bangladesh, which accounted for a share of 47%. The second and third most important export partners were Nepal and Sri Lanka, respectively. In 2021, about 28% of India’s exports to SAARC nations went to Nepal, and about 17% of exports were accounted for by Sri Lanka. The export shares accounted for by the other four countries (Afghanistan, Pakistan, the Maldives, and Bhutan) were very low (between 1.5 % and 3%).

Figure 1. India’s exports to SAARC countries, 2021 (% share).

Source:

India Exim Bank (2022).

Appendix Table A1 presents India’s exports, imports, and trade balance with SAARC countries from 2004 to 2021. A rising trend in both India’s exports and imports can be seen, which is the result of the implementation of liberal trade policies over the years. India has a trade surplus with the SAARC countries, which has increased considerably from USD 3609 million in 2004 to about USD 28,742 million in 2021. Appendix Table A2 reports India’s exports to different SAARC countries from 2004 to 2021. Exports to some countries, such as Afghanistan and Pakistan, have grown at a relatively slower rate than exports to other SAARC countries.

Table 2. Augmented gravity model of exports: Random effects model results.

   Model specification

(1)

(2)

(3)

(4)

   Variables

ln(Export)

ln(Export)

ln(Export)

ln (Export)

 ln (GDPi)

0.993***
(0.190)

1.187***
(0.250)

1.185***
(0.290)

1.214***
(0.390)

 ln(GDPj)

0.742***
(0.184)

0.695***
(0.227)

0.721***
(0.273)

0.698*
(0.384)

 ln(PCGDPDij)

 

-0.647*
(0.335)

-0.730**
(0.355)

-0.771**
(0.387)

 ln(Distancei)

 

-0.830
(1.059)

0.519
(2.368)

0.523
(2.873)

 Border dummy

 

 

1.761
(2.451)

1.903
(3.318)

 Language dummy

 

 

 

0.142
(1.886)

 _cons

-14.898***
(1.677)

-11.380
(7.070)

-22.569
(18.257)

-22.989
(22.902)

 Observations

126

126

126

126

Note:

Standard errors are in parentheses.

 

*** p<0.01, ** p<0.05, * p<0.1.

This paper estimates four different regression models, as presented in Table 2. Column (1) examines the effect of GDP levels on India’s total exports. Thus, the GDP of country i and the GDP of country j are included in column (1). The coefficients of these GDP variables are found to be positive and statistically significant. This implies that an increase in trading countries’ GDP is associated with a rise in total exports. Column (2) presents the results of the second model, which includes the per capita GDP differential (PCGDPD) between the countries and the effect of the distance between country i and country j. Therefore, column (2) shows the regression results based on the basic gravity model. The sign of the GDP variables remains positive and significant, as in column (1). The coefficient of the PCGDPD variable turns out to be negative and significant, implying that a rise in the per capita GDP differential between countries tends to hurt India’s total exports. Column (2) also shows the insignificant effect of distance on India’s total exports. However, the sign of this variable is not consistent with our theoretical expectations. The third model includes the dummy variable border, in addition to the other variables. Column (3) shows that the coefficient of this dummy variable is insignificant, but it exhibits a positive sign. With the inclusion of the border dummy variable, the signs of other explanatory variables do not change. Thus, our regression results appear to be robust.

The fourth model is the most comprehensive as it considers all the variables together to understand their effect on India’s total exports. The results in column (4) reveal a positive and significant effect of countries’ GDP and a negative effect of the PCGDP differential between the participating countries on India’s total exports. The positive effect of GDP on total exports is found in all model specifications. This implies that economic advancement is linked to an increase in exports. The coefficient of the trading partner’s GDP is also positive and consistent across different models, which implies that increased economic activity in the participating country has a favorable effect on India’s exports. A rise in the per capita GDP differential between countries is associated with a decrease in exports. All the other variables – distance, border, and language – have an insignificant effect on total exports. However, the direction of the two dummy variables, border and language, is in line with our theoretical expectations. If India shares a common border and a common language with the trading partner, it is likely to increase India’s exports, though these effects are found to be weak. Distance has a positive but insignificant effect on total exports. The rise in service sector exports may contribute to an explanation of these insignificant results. Service exports are not significantly impacted by distance and transportation costs and may continue to grow even if the trading countries do not share a common border or similar language.

Based on the panel data regression analysis, the estimated equation for the gravity model of exports is as follows:

Next, the export potential of India is examined based on the panel data regression results obtained earlier for the period 2004 to 2021. India’s export potential with a country in a given year is estimated by subtracting the actual values (A) of export flows from the predicted values (P) of export flows (Kaur & Nanda, 2010; Pradhan, 2009; Sharma & Kumar, 2021) . These differences are then averaged across the years to obtain India’s average export potential with different SAARC countries. The results of these calculations are reported in Table 3.

Table 3. India’s average export potential (Millions USD): 2004–2021.

Indicator countries

Under SAFTA

2004–2021

Afghanistan

-48.00

Bangladesh

417.92

Bhutan

-19.33

The Maldives

230.44

Nepal

-3132.19

Pakistan

3912.08

Sri Lanka

-2249.52

Under the SAFTA period analyzed, i.e., from 2004 to 2021, India had a positive average export potential with three countries: Pakistan, Bangladesh, and the Maldives. This implies that India was not able to realize its full export potential with these countries from 2004 to 2021. The highest export potential during this period was with Pakistan. The political issues between the two countries may have prevented India from attaining its export potential. The actual exports to Bangladesh and the Maldives were also significantly below the levels predicted by the gravity model. In contrast, during this period, India was able to export beyond its potential to the other four SAARC nations of Nepal, Sri Lanka, Afghanistan, and Bhutan. This result suggests that India needs to explore export opportunities with other Asian countries, particularly in the East Asian region, and with the European Union countries.

The findings suggest that an overall expansion in economic activity in the SAARC region is likely to favorably affect India’s total exports, whereas the widening of the per capita differential between India and its SAARC trading partners exerts a negative effect on India’s total exports. The positive influence of GDP on total exports has been noted by several scholars (e.g., (Batra, 2006; Kaur & Nanda, 2010; Khati & Kim, 2022) ). The negative and significant effect of the per capita GDP differential was also observed in the studies of Batra (2006) and Sharma and Kumar (2021). On the other hand, Kaur and Nanda (2010) found an insignificant effect of the per capita differential on total exports in the random effects specification. The present study does not find a significant effect of distance on India’s total exports, which implies that transportation costs are not important in influencing India’s total exports. Rahman (2010) and Khati and Kim (2022) also reported an insignificant effect of distance on total exports. However, most previous studies in the literature have reported a negative and significant effect of distance on total exports (e.g., (Pradhan, 2009; Regmi et al., 2017)). The present study also reports an insignificant effect of a common border and language on India’s total exports, which contrasts with a significant positive effect found by most prior studies (e.g., (Regmi et al., 2017; Sharma & Kumar, 2021)). Rahman (2010), however, also found that a common border had an insignificant effect on Bangladesh’s exports. In the Indian context, the insignificant effects of distance and border could be explained by the relative dominance of modern services exports in recent decades.

5. CONCLUSION

There is a consensus that an emphasis on export promotion is necessary to increase GDP, employment, and per capita incomes. In recent decades, policymakers in India have adopted significant reforms to promote free and fair trade. India has been a leading exporter nation among the SAARC countries, and the adoption of SAFTA opened a plethora of opportunities for all the South Asian nations to reap the benefits associated with a free trade area. This paper used an augmented gravity model to examine whether India has been able to realize its export potential in the SAARC region. The panel data analysis covered the period from 2004 to 2021. The paper found a favorable effect of both India’s and the trading partner’s GDP on India’s total exports, whereas the effect of the per capita GDP differential on India’s exports was found to be negative and significant. The effects of distance, border, and language on India’s total exports were insignificant. From 2004 to 2021, India had the highest export potential with Pakistan, but India was not able to live up to its export potential with three SAARC nations: Pakistan, Bangladesh, and the Maldives. On the other hand, India was able to export more than its potential to four other SAARC nations: Nepal, Sri Lanka, Afghanistan, and Bhutan. To increase the welfare gains among all the participating countries in the SAARC region, India must increase its exports to those member nations where it has not been able to export in accordance with its potential. Further trade and infrastructural reforms are needed to ensure that India can export to its full potential to the SAARC countries.

This study has several limitations, which may be addressed in future research. First, this paper estimates export potential by comparing the actual and predicted export values from the estimated gravity model, which may be problematic. Several scholars have pointed out the limitations of this approach and suggested the use of a stochastic frontier-based gravity model (Kalirajan, 2007; Kumar & Prabhakar, 2017). Second, it is likely that the regression model used in this paper suffers from endogeneity issues. Third, the analysis in this paper only attempts to estimate India’s export potential in the SAARC region. It would be interesting to compare India’s export potential among different groups of countries such as ASEAN, the European Union, and others.

Funding: This study received no specific financial support.  

Competing Interests: The authors declare that they have no competing interests.

Authors’ Contributions: Both authors contributed equally to the conception and design of the study.

REFERENCES

Ahuja, S. (2001). Potential for augmenting trade and commercial ties between India and the SAARC-ASEAN region. Foreign Trade Review, 36(1-2), 53-68. https://doi.org/10.1177/0015732515010104

Baier, S. L., & Bergstrand, J. H. (2007). Do free trade agreements actually increase members' international trade? Journal of International Economics, 71(1), 72-95. https://doi.org/10.1016/j.jinteco.2006.02.005

Banik, N., & Kim, M. (2020). India–ASEAN trade relations: Examining the trends and identifying the potential. Global Business Review, 1-19. https://doi.org/10.1177/0972150920953546

Batra, A. (2006). India's global trade potential: The gravity model approach. Global Economic Review, 35(3), 327-361. https://doi.org/10.1080/12265080600888090

Benz, S., & Yalcin, E. (2015). Productivity versus employment: Quantifying the economic effects of an eu–Japan free trade agreement. The World Economy, 38(6), 935-961. https://doi.org/10.1111/twec.12205

Bhutia, D., Mula, G., & Sarkar, A. (2022). Trends in production and export potential of ginger in India. Economic Affairs, 67(4), 497-504. https://doi.org/10.46852/0424-2513.4.2022.17

Cepii. (2022). The CEPII database. Retrieved from http://www.cepii.fr/CEPII/en/bdd_modele/bdd_modele_item.asp?id=6

Duc, L.A., Nhuong, B. H., Linh, H. D., Ha, H. T. T., Anh, D. T., Huong, T. L. &  Van, L.T.A. (2022). Determinants of Vietnam’s exports to ASEAN countries in the context of the ASEAN economic community. Journal of Social Economics Research, 9(2), 61-69. https://doi.org/10.18488/35.v9i2.3058

Duong, M., Holmes, M. J., & Strutt, A. (2021). The impact of free trade agreements on FDI inflows: The case of Vietnam. Journal of the Asia Pacific Economy, 26(3), 483-505. https://doi.org/10.1080/13547860.2020.1765717

Fokam, G., Mbengono, P., Sato, G., Noumessi, W., & Tadadjeu, D.-K. (2021). Women in parliament and public health expenditure: Evidence from Sub-Saharan African countries. Journal of Social Economics Research, 8(2), 66-76.

Freund, C., & Ornelas, E. (2010). Regional trade agreements. Annual Review of Economics, 2, 139-166. https://doi.org/10.1146/annurev.economics.102308.124455

Helpman, E., & Krugman, P. R. (1987). Market structure and foreign trade: Increasing return, imperfect competition, and international economy. Cambridge, USA: MIT Press.

India Exim Bank. (2022). Useful economic data. Retrieved from https://www.eximbankindia.in/useful-economic-data

Kalirajan, K. (2007). Regional cooperation and bilateral trade flows: An empirical measurement of resistance. The International Trade Journal, 21(2), 85-107. https://doi.org/10.1080/08853900701266555

Kaur, A., Chopra, S., Sidhu, M. S., & Kataria, P. (2021). Analysis of export potential of buffalo meat in India. Buffalo Bulletin, 40(4), 609-623.

Kaur, S., & Nanda, P. (2010). India’ s export potential to other SAARC countries: A gravity model analysis. Journal of Global Economy, 6(3), 167-184. https://doi.org/10.1956/jge.v6i3.59

Kaushal, L. A. (2022). Impact of regional trade agreements on export efficiency – A case study of India. Cogent Economics & Finance, 10(1), 1-17. https://doi.org/10.1080/23322039.2021.2008090

Kelkar, R., & Kalirajan, K. (2021). Has India achieved its potential in merchandise exports? Journal of the Asia Pacific Economy, 26(2), 271-292. https://doi.org/10.1080/13547860.2021.1915546

Khati, P., & Kim, C. (2022). Impact of India’s free trade agreement with ASEAN on its goods exports: A gravity model analysis. Economies, 11(1), 1-19. https://doi.org/10.3390/economies11010008

Kumar, P., Sahu, N. C., & Ansari, M. A. (2021). Export potential of climate smart goods in India: Evidence from the poisson pseudo maximum likelihood estimator. International Trade Journal, 35(3), 288-308. https://doi.org/10.1080/08853908.2021.1890652

Kumar, S., & Prabhakar, P. (2017). India's trade potential and free trade agreements: A stochastic frontier gravity approach. Global Economy Journal, 17(1), 1-19. https://doi.org/10.1515/gej-2016-0074

Ministry of Commerce. (2022). Agreement on South Asian free trade area government of India. Retrieved from https://commerce.gov.in/wp-content/uploads/2020/05/safta.pdf

Pradhan, S. R. (2009). India's export potential to the gulf cooperation council: A gravity model exploration. IUP Journal of Applied Economics, 8(3/4), 48-71.

Rahman, M. M. (2010). The factors affecting Bangladesh's exports: Evidence from the gravity model analysis. The Journal of Developing Areas, 44(1), 229-244. https://doi.org/10.1353/jda.0.0075

Regmi, R. K., Devkota, S. C., & Upadhyay, M. P. (2017). Impact of SAFTA on South Asian trade. Asian Economic and Financial Review, 7(3), 232-247. https://doi.org/10.18488/journal.aefr/2017.7.3/102.3.232.247

Seker, A. (2022). Estimating export potential of India to Southeast Asian countries: Panel gravity model approach. In A. medhekar and H. Kaur (Eds.). In (pp. 23-45). Hershey PA, USA: Evaluating Trade and Economic Relations between India and Southeast Asia.

Sharma, A., Sharma, V., & Tokas, S. (2022). Institutional quality and health outcomes: Evidence from the EU countries. Economics and Business Letters, 11(2), 70-78. https://doi.org/10.17811/ebl.11.2.2022.70-78

Sharma, V., & Kumar, V. (2021). Trade potential under the SAFTA between India and other SAARC countries: The augmented gravity model approach. Statistics in Transition New Series, 22(3), 81-97. https://doi.org/10.21307/stattrans-2021-028

Tinbergen, J. (1962). Shaping the world economy: Suggestions for an international economic policy. USA: Literary Licensing.

U.N. (2022). LDC portal- international support measures for least developed countries. Retrieved from https://www.un.org/ldcportal/content/south-asian-free-trade-area-safta

WITS. (2022). World integrated trade solution database. Retrieved from https://wits.worldbank.org/

World Bank. (2022). World development indicators. Retrieved from https://data.worldbank.org/indicator?tab=all

APPENDIX

Table A1. India’s exports, imports, and trade balance with SAARC (In million USD).

Year

Exports to SAARC

Imports from SAARC

Trade balance

2004

4606.12

997.19

3608.93

2005

5547.65

1413.31

4134.34

2006

6473.81

1507.44

4966.37

2007

9637.77

2117.35

7520.42

2008

8567.11

1817.89

6749.22

2009

8390.68

1657.33

6733.35

2010

11656.57

2173.37

9483.2

2011

13296.48

2524.73

10771.75

2012

15110.7

2679.95

12430.75

2013

17503.85

2472.99

15030.86

2014

20480.02

2930.86

17549.16

2015

18594.18

2975.02

15619.16

2016

19222.13

2813.39

16408.74

2017

23100.92

3202.67

19898.25

2018

25348.82

4363.02

20985.8

2019

21941.38

3835.58

18105.8

2020

22077.8

3377.13

18700.67

2021

34228.79

5486.38

28742.41

Source:

India Exim Bank (2022).


Table A2. India's exports to SAARC countries from 2004 to 2021 (In million USD).

Year

Afghanistan

Bangladesh

Bhutan

Maldives

Nepal

Pakistan

Sri Lanka

2004

165.44

1631.12

84.58

47.61

743.14

521.05

1413.18

2005

142.67

1664.36

99.17

67.58

859.97

689.23

2024.67

2006

182.11

1629.57

57.66

68.68

927.4

1350.09

2258.3

2007

249.21

2923.72

86.74

89.72

1507.42

1950.53

2830.43

2008

394.23

2497.87

111.15

127.91

1570.15

1439.88

2425.92

2009

463.55

2433.77

118.86

79.86

1533.31

1573.32

2188.01

2010

422.41

3242.9

176.03

100.14

2168.06

2039.53

3507.5

2011

510.9

3789.2

229.86

124.6

2721.57

1541.56

4378.79

2012

472.63

5144.99

233.22

122.36

3088.84

2064.79

3983.87

2013

474.34

6166.93

355.6

106.07

3592.3

2274.26

4534.35

2014

422.56

6451.47

333.94

152.38

4558.77

1857.18

6703.72

2015

526.6

6034.94

468.95

179.07

3902.7

2171.17

5310.75

2016

506.34

6820.11

509.28

197.79

5453.59

1821.87

3913.15

2017

709.75

8614.35

546.12

217

6612.96

1924.28

4476.46

2018

715.44

9210.06

657.33

223.02

7766.2

2066.56

4710.21

2019

997.58

8200.75

738.6

226.57

7160.35

816.62

3800.91

2020

825.78

9691.56

701.02

195.88

6838.46

326.87

3498.23

2021

554.47

16156.37

885.81

670.4

9645.74

513.82

5802.18

Source:

India Exim Bank (2022).


Views and opinions expressed in this article are the views and opinions of the author(s), Journal of Social Economics Research shall not be responsible or answerable for any loss, damage or liability etc. caused in relation to/arising out of the use of the content.