Index

Abstract

The aim of this research is to investigate the effects of corporate governance characteristics on a company’s financial performance. To this end, board independence, board gender composition and board size were tested to determine whether they have any influence on a firm’s financial performance. Given the high concentration of ownership in listed companies in Malaysia and the prevalence of family ownership, this research provides evidence from an emerging market. The Malaysian Code on Corporate Governance (MCCG) was developed based on the UK Hampel Report and the UK Corporate Governance Code, where firm ownership structure is dispersed and family ownership is prevalent. A sample of 70 randomly selected publicly listed companies in Malaysia over the period from 2016 to 2020 was used in this study. From a multiple regression analysis, the results showed that board independence, board gender composition and board size are positively and significantly associated with financial performance; therefore, appointing more independent directors, appointing female directors to the board and appointing more directors to the board leads to higher financial performance. Hence, the initiative by the Malaysian government to mandate listed firms to have a board that comprises at least 30% women does have a business case.

Keywords: Board independence, Board size, Corporate governance, Firm performance, Gender diversity, Malaysia.

JEL Classification: G30; G39.

Received: 16 September 2022 / Revised: 20 October 2022 / Accepted: 11 November 2022 / Published: 9 December 2022

Contribution/ Originality

This research provides additional evidence on the effects of board independence, gender diversity and board size on firm performance in listed Malaysian companies during the issuance of the Malaysian Code on Corporate Governance (MCCG) 2017. In particular, the evidence of this research sheds light on the extent to which listed companies in Malaysia have complied with the MCCG 2017 recommendation on board independence.

1. INTRODUCTION

Corporate governance has been a hot topic among business and academic specialists. This focus in the business sector is due to the perceived relevance of morality and ethical behavior within organizations, which provide an overall social and legal climate that promotes good corporate governance. It is evident that financial decisions are not made without concern for following due procedures. Strategic decision makers evaluate a broader range of objectives rather than focusing on specific company goals. Executives, for example, care more about their own interests than they do about their workers or societal advantages. Corporate governance has been a popular topic in past and contemporary literature because it tries to decrease conflicts between organizations and shareholders’ shortcomings.

The significance of governance in ensuring an organization’s viability might be emphasized by senior executives and the board of directors. In theory, the chief executive officers (CEOs) and the board of directors are supposed to follow a set of corporate governance principles. They examine how things are done in the firm to ensure that decisions are made in a way that helps the organization to meet its goals of increasing shareholder value (Herz & McGurr, 2006). As a foundation, professional and effective company management is critical for protecting the interests of a variety of stakeholders, including shareholders, employees, customers, and vendors.

Government advocacy in the matter of corporate governance and its provisions would surely make it more convenient for foreign investors to invest in the country (Nestor, 2001). When the Malaysian Code on Corporate Governance (MCCG) was first introduced in 2000, there has been a notable change in the performance of listed firms in the country (Bhatt, 2016). Since then, the MCCG has been updated numerous times in order to keep up with current legal developments, with the latest update being in 2021. The MCCG has been attributed to the significant improvement of listed firms’ performance (Bhatt, 2016).

Malaysia was one of the countries that was worst hit by the 1997 Asian economic crisis (Cheah, 2010), which was attributed to the degradation of corporate governance mechanisms (Claessens, Kose, & Terrones, 2011). Furthermore, worldwide financial crises involving global businesses, such as Enron, WorldCom, and Xenox, had such a significant influence on the corporate environment that it was determined that the bulk of the aforementioned corporate collapses were likely caused by poor corporate governance practices. As a remedy for the financial and economic crises, as well as preventative measures in the case of future disasters, strong governance structures and the growth of governance frameworks are being urged. The purpose of governance processes is to specify how management should prioritize shareholder interests. Globalization and the global spread of American and British traditions are intrinsically tied to the growth of governance systems and the ideology that underpins them. The feasibility of this technique for transitioning and altering corporate governance principles cannot be guaranteed. However, reforming toward strong corporate governance is no easy task as it requires constant commitment. Additionally, corporate governance is not a ‘one size fits all’ provision. It needs to be tailored according to the countries in which companies operate, and it needs to consider local customs (Mohamad & Muhamad Sori, 2011).

Malaysia has taken measures to ensure compliance in the matters of corporate governance into its own hands, with constant updates to the MCCG to keep up with global changes. Consequently, Malaysia ranked 4th in 2018 in the Asia Corporate Governance Association’s CG Watch Survey, an increase from 7th place in the year prior (CG Watch, 2018). A study by Lim, Ismail, and Eze (2013) suggested that the implementation of the MCCG had brought significant changes in terms of performance and growth.

The increasing popularity of corporate governance research among academics has been influenced by the growing economic worth of emerging markets and the advantages of being in an industrialized nation. This study was also conducted to address the conflicting research findings in the literature. This research will focus on the impact of the MCCG on the financial performance of listed firms in Malaysia. It will also examine how corporate governance frameworks have changed in the country. This type of research allows researchers to gain a deeper understanding of Malaysia's unique environment and its various characteristics. Through this type of study, they can learn about the various aspects of corporate governance in the country.

The purpose of this research is to investigate the effects of corporate governance characteristics on the financial performance of public listed companies from different industries in Malaysia. The bulk of the studies overlooked the localization and application of governance procedures, which are impacted by a nation's culture and customs. Malaysia has been chosen as the setting for this study for of two reasons. First, the legal infrastructure can be considered as developed because the Malaysian Code on Corporate Governance (MCCG) is largely based on the United Kingdom (UK) Corporate Governance Code (i.e., Cadbury (1992)) and the MCCG has been revised every three to five years since it was first issued in 2000. Second, even though Malaysian firms share corporate governance characteristics similar to firms in emerging markets, Malaysia differs from other emerging countries with respect to female participation on the boards of directors compared to other emerging markets. For instance, the Malaysian government has introduced a policy that requires publicly listed firms to have a board that is at least 30% female. Hence, this setting provides an interesting avenue for research because of the interplay between institutional and societal attributes (Abdullah, Ismail, & Nachum, 2016). Corporate governance mechanisms in Malaysia were expected to have reached maturity after the introduction of the Malaysian Code on Corporate Governance by the Securities Commission in 2000, which was 22 years ago. Hence, the findings of this study will shed light on the effectiveness of corporate governance on firm performance. The findings will also offer a deeper understanding of Malaysia's unique environment. The remainder of this paper is structured as follows: Section 2 presents the hypothesis development; Section 3 explains the research method; Section 4 comprises the findings and discussion; and Section 5 contains the conclusion.

2. HYPOTHESIS DEVELOPMENT

2.1. Board of Directors

The corporate board's main responsibility is to oversee management and protect the interests of shareholders, which is one of the most critical factors that determines the effectiveness of corporate governance standards (Velnampy & Nimalthasan, 2013). Corporate governance serves as a disciplinary role for firms as well as supervising and protecting the interests and values of stakeholders, such as shareholders, executives and common management, and the board of directors (Marie L’Huillier, 2014). In the last two decades, the world has witnessed various crises due to weak corporate governance systems and ineptitude, most notably during the Asian Financial Crisis in the late 1990s, when Southeast Asian nations were badly affected financially and several firms collapsed (Cabalu, 2015). Since then, corporate governance has been one of the most contentious problems in business, with all parties debating what constitutes an acceptable corporate governance framework and how it may help firms function more effectively (Black, De Carvalho, & Sampaio, 2014). Effective corporate governance helps to improve a company's reputation, increase stakeholder and investor confidence, and make economies and organizations more competitive (CG Watch, 2018). As a result, strong corporate governance should safeguard shareholders' interests while also boosting business transparency, resulting in enhanced financial and non-financial information flow (Shamsuddin, Mahmood, Ghazali, Salleh, & Nawi, 2018). Several developed and developing nations have come up with their own corporate governance codes that focus on social, economic, political, and religious factors in order to ensure a fair society for all stakeholders and therefore protect their interests (Al-Ahdal, Alsamhi, Tabash, & Farhan, 2020).
The MCCG was updated in 2021 to emphasize the role of the board of directors in ensuring a firm's performance. Independent directors must make up half of the board of directors' total makeup and for large listed firms (MCCG, 2017; MCCG, 2021). In large listed firms, independent directors may constitute the majority of the board of directors (MCCG, 2017; MCCG, 2021). Separation between the chairman of the board of directors and the CEO is critical, as it encourages transparency and ensures that each position and obligation is performed properly. According to the MCCG (2021), no individual has the ability to influence the board's deliberations and judgments in this respect. The responsibilities of the chairman need to encompass leading the board via its collective supervision of management, whereas the CEO is in charge of the corporation's operations and day-to-day interactions, and this distinction must be explicitly defined throughout the board agreement.

2.2. Agency Theory

Agency theory outlines conflicts of interest between shareholders and managers. When managers and owners have competing interests, agency costs rise. As part of its decision-making process, modernistic corporate governance principles support a strategy that considers and balances the legal and reasonable demands, interests, and expectations of its stakeholders in a thorough, ethical, and sustainable manner (Warrad & Khaddam, 2020) . However, the agency problem arises because a company's acts may not be in the best interests of shareholders; in fact, some of their actions can be very damaging to investors' wealth. As a logical consequence, the agency issue affects managers' luxury consumption and other types of expansionism (Bosse & Phillips, 2016).

Agency theory depicts a realistic image of firms experiencing agency costs, but corporate governance processes provide regulations and conventions to help decrease agency issues, which is still another expense experienced by organizations (McKnight & Weir, 2009) . The primary objective of ageny theory is to emphasize the adoption of a corporate governance code as standard practice in order to reduce conflicts of interest and immoral practices, including the introduction of independent directors into the board of directors as an effective surveillance component to businesses (Aduda, Kiragu, & Ndwiga, 2013) . Independent directors are often seen as critical to a board's performance and healthy governance. This is especially important in the East Asian environment, as external directors will endeavor to find the correct balance between the majority and minority shareholders.

2.3. Stewardship Theory

The humanistic notion of stewardship theory views the manager as a steward of the firm who helps the owner (De Falco & Renzi, 2007) . The notion is applicable when the corporation's owners and management have agreed to a stewardship relationship based on the steward's desire. While both sides are eager to accept the framework, the principle's interests are prioritized, and as a consequence, this theory predicts a favorable effect when both parties have a clear aim in mind (Eddleston & Kellermanns, 2007) . Due to the principal and steward's convergence of purposes, the stewardship theory may be more appropriate in a business where shareholders' confidence, driven management, and the firm's monitoring and control procedures are redundant. Additionally, stewardship theory asserts that managers are frequently driven by achieving deeply entrenched satisfaction, and hence are restrained from squandering company resources. Because they serve as executive directors, managers should be motivated to participate in the board of directors' procedures. As a consequence, the ultimate transfer of shareholder power to management is regarded as an important step toward increasing shareholder dividends.

2.4. Stakeholder Theory

Stakeholder theory specifies that decisions made by managers should consider the interests of all stakeholders in a firm. International accounting standards are leveraged by stakeholders, including the preference of firm auditors as well as the distribution of financial information (Parmar et al., 2010) . Hence, the relationships between an organization and its stakeholders are balanced through an effective board of directors as well as better decision making.

2.5. Board Independence

As a firm grows in size and complexity, more independent directors are needed. The absence of ties between both the corporation and the director that might affect the director's ability to make independent decisions is known as independence (Deloitte, 2020). To protect the interests of shareholders, the board requires a mix of executive and non-executive directors. A board's non-executive directors will not be able to carry out their responsibilities successfully unless they are independent of management and give fair and impartial professional advice and opinions when needed. Investors rely on independent directors to act on their behalf, and their presence on the board will reduce agency issues (Syed-Fuzi, Halim, & Julizaerma, 2016). Although a board is usually regarded as the key safeguard within a single-tier structure, the function of independent directors, including CEOs, continues to be important to the oversight of organizational effectiveness. Board composition is an important factor in determining the board's ability to function as an objective governance oversight (Jensen & Meckling, 1976). The MCCG (2017) and MCCG (2021) state that a board should include a sufficient number of independent directors to ensure its independence. Independent directors are important in linking a business to external resources in order to ensure that the firm's objectives are met, according to resource dependence theory (Zahra & Pearce, 1989).

It has been argued for years that the high independence of a board would lead to better financial performance (Ezzamel & Watson, 1993; Tulung & Ramdani, 2018). The empirical evidence by Uribe-Bohorquez, Martínez-Ferrero, and García-Sánchez (2018) supports this contention. However, several studies have shown that this is not always the case. Shan (2019) and Al-Saidi (2020) found that board independence has a negative relationship with firm performance, whereas Hermalin and Weisbach (1991) found no link at all. This evidence is supported by Syed-Fuzi et al. (2016) and Rashid (2018), who found that board independence does not determine good performance for a company if the independent directors fail to execute their fiduciary duties effectively. However, Uribe-Bohorquez et al. (2018) found that board independence has a positive effect on a firm’s efficiency. The research conducted by Ees, Postma, and Sterken (2018), which examined 94 Dutch public companies from various industries, found that board members have little to no impact on the financial performance of a company. Malaysian corporate governance codes have been revised several times with the aim of fostering strong governance practices across enterprises by ensuring that boards of directors are fair. Hence, the hypothesis on board independence is:
H1: Board independence is positively related to firm performance.

2.6. Gender Diversity

Studies have found that female directors have the capability of providing strategic counsel and facilitating productive board debates (Dhesi, 2021). Malaysia has made it mandatory for a company to have at least one woman on its board (Raghu & Shukry, 2021). Gender diversity has been the subject of several studies, all of which have found that it is a good practice. One argument in support of gender diversity is that a gender varied board has more options for decision making (Hassan, Marimuthu, & Johl, 2015). A good discussion requires the presentation of different points of view, which may lead to the formulation of considerably more diversified possibilities and far more successful decision making in respect to corporate procedures and policies. Furthermore, women's participation on boards is often characterized by a more participatory leadership style with greater sensitivity than their all-male counterparts (Bradshaw & Wicks, 2000). Women's participation regarding strategic issues that impact the organization and its shareholders might result from this aptitude, particularly paired with women's commitment and consideration for others' objectives. Women may be more sensitive to decisions while also having an impact on them, including more business activities, such as corporate social responsibility (CSR) and environmental policy. Women directors could, therefore, make a substantial contribution to a board's strategic monitoring mechanism. It is also envisaged that boards with a larger representation of female directors will be more effective in fulfilling strategic responsibilities at the same time. The gender makeup of an organization can have a favorable influence on its character and therefore its overall development. By extending the breadth of discussion among board members, the participation of female directors on boards of directors would boost the efficiency of a company's earnings (Srinidhi, Gul, & Tsui, 2011). Women are regarded as more efficient at monitoring, and this is supposed to boost management productivity by requiring more accountability. It is argued that a higher degree of female representation on a board increases a firm’s financial performance (Lee-Kuen, Sok-Gee, & Zainudin, 2017).

Terjesen, Couto, and Francisco (2016) found that firms with more female directors perform better financially than firms with a board of directors with fewer or no female directors. Thus, incorporating more women on the board will enable firms to perform much better financially (Lückerath-Rovers, 2013). However, several other studies found the opposite. For instance, Wolfers (2006) revealed that female directors do not lead to the betterment of firm performance. Similarly, Campbell and Mínguez-Vera (2008); Rose (2007); and Fernández-Temprano and Tejerina-Gaite (2020) also found that the relationship is not significant. Another argument is that female directors might not be appointed to the board because of their level of expertise and experience but rather because of their family relationships (Bianco, Ciavarella, & Signoretti, 2015; Saeed, Yousaf, & Alharbi, 2017). However, Bennouri, Chtioui, Nagati, and Nekhili (2018) documented that a female directorship increased firms’ accounting performance but reduced Tobin’s Q. A study by Loukil, Yousfi, and Yerbanga (2019) indicated that stock market liquidity is positively associated with the participation of female directors on the board. Hence, the relationship between female directors and firm performance is inconclusive (Triana, Miller, & Trzebiatowski, 2014) . Adeabah, Gyeke-Dako, and Andoh (2019) revealed that gender diversity leads to bank efficiency for up to a maximum of two female directors on a nine-member board of directors. Thus, the evidence suggests a threshold effect of female participation on the board. However, in the Malaysian context, strong support from the government, which has mandated listed firms to have a board that comprises at least thirty percent women, could indicate the positive impacts of female directors on the board. Hence, it is hypothesized that:
H2: Board gender diversity is positively associated with firm performance.

2.7. Board Size

The size of a company's board of directors is considered a significant factor that can affect its success (Lublin, 2014). Overall, board members must choose the ideal number of board members and ensure that the relevant individuals are competent, can fulfil commitments, and carry out a variety of functions. According to previous studies, the larger the board of directors, the higher the potential for conflicts of interest and misunderstanding among board members. When the number of board directors increases, boards become less effective at oversight and play a smaller role in the management process (Hermalin & Weisbach, 2017). On the contrary, even if boards are smaller across organizations, strategic and crucial decisions will be made quickly and accurately. According to a study carried out in 2014 by the Wall Street Journal, investors benefit far more from firms with fewer directors (Lublin, 2014). Because smaller boards allow directors to connect and communicate more effectively, they achieve greater results (Yermack, 1996). Collected evidence demonstrates the usefulness of smaller boards under CEO control in decreasing free-rider concerns and improves corporate performance via coordination (Lublin, 2014). Large boards, however, can be helpful for such organizations if they have more diverse boards to lessen environmental concerns and save resources, according to Martín and Herrero (2018). The benefit of having more directors is that the board will have more collective information, so a larger board will result in better outcomes. In connection with the research, an attempt was made to estimate the optimum board size. Having the right board size with the right mix of expertise and experience will maximize business performance and minimize costs. As more nations' corporate governance regulations require corporations to form a range of committees, such as an audit committee, nominating committee, and remuneration committee, and to avoid directors from serving on too many board committees, the size of a board should be around eight to ten. A board size of eight to ten members is based on the assumption that each board appoints three committees (i.e., audit committee, nomination committee and remuneration committee) with each committee having three members. Johl, Khan, Subramaniam, and Muttakin (2016) and Handriani and Robiyanto (2019) found evidence of a positive relationship between board size and firm performance. In a similar vein, Mohapatra (2017) found that board size has a positive impact on firm value, as measured by Tobin's Q, among Indian listed firms.

As a firm’s size grows, so does its board size. This is to compensate for the additional growth and expertise needed for the firm to operate effectively. Nakano and Nguyen (2012) found a positive relationship between board size and firm performance. They argued that a larger board size would allow for more expertise, which would lessen the risks of poor financial decisions. Hermalin and Weisbach (1991), on the contrary, found a negative relationship. Yermack (1996) also documented a similar finding. Eisenberg, Sundgren, and Wells (1998) argued that a bigger board size might have a harmful effect on a firm, as a bigger board size tends to equate to higher operating costs as well as a weaker monitoring position. To sum up, a smaller board size means quick decision-making processes as well as lower operational costs, while a larger board size would mean more expertise in decision making. Therefore, the related hypothesis is:
H3: Board size is positively associated with firm performance.

3. METHODOLOGY

This research used secondary data because, according to Doolan and Froelicher (2009), secondary data analysis is more flexible and can be used in several ways. Secondary data analysis allows for a research question to be addressed by utilizing data that are already existent through the application of abstract skills as well as theoretical understandings (Johnston, 2017). A total of 70 sample firms from varying industries were chosen from listed non-finance Main Board firms as of December 2020. All the data were collected from the firms’ annual reports from 2016 to 2020, which were downloaded from the Bursa Malaysia website. The sectors and the number of companies in each are shown in Table 1.

Table 1. Sample selection.
Industry
Number of companies
Manufacturing
7
Financial services
7
Consumer goods and services
7
Property
7
Healthcare
7
Development and construction
7
Telecommunications
7
Technology
7
Transportation
7
Real estate investment trusts (REITs)
7
Total
70

3.1. Dependent Variable: Firm Performance

It is well understood that the aim of a company is to produce or enhance wealth for its investors. As a result, a company's financial performance is critical and needs accurate monitoring (Mustapha, Rashid, Bala, & Musa, 2020). A company's performance demonstrates how much money or internal assets it generates, as well as whether or not the organization has a trained and competent management team to help it flourish. The success of an organization indicates the board's capability in dealing with workplace issues (Ward, Brown, & Rodriguez, 2009).

The return on assets (ROA) is a common way of measuring a company’s financial performance through its economic profitability from the use of its assets (Kweh, Ahmad, Ting, Zhang, & Hassan, 2019; Martín & Herrero, 2018). Hence, ROA is used as the proxy for firm performance as it signifies a company’s ability to generate profit from the use of its assets (Martín & Herrero, 2018). ROA is also used as a proxy for accounting-based performance measures as it is more relevant in developing countries such as Malaysia (e.g., (Chang & Choi, 1988; Demsetz & Lehn, 1985)) and is widely used as a performance measurement (e.g., (Bhagat & Bolton, 2008; Bhagat & Bolton, 2009; Vafeas, 1999)). A recent study by Bhatt and Bhatt (2017) in Malaysia’s context also used ROA as a proxy for firm performance.

3.2. Independent Variables

Three independent variables were tested in this study. Board independence is represented by the number of independent directors on the board. This measurement signals the extent to which independent directors have an influence on the final decisions of the board. Board gender diversity was measured by the number of female directors on the board. Finally, board size was measured by the number of directors on the board (Handriani & Robiyanto, 2019; Johl et al., 2016; Mohapatra, 2017; Tahir, Masri, & Rahman, 2020).

3.3. Data Analysis

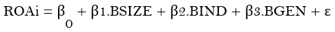
All the hypotheses were tested simultaneously using multiple regression analysis, and the model is as follows:

Where:
ROA = Net profit/total assets.
BSIZE = Total number of directors on the board.
BIND = Total number of independent directors on the board.
BGEN = Total number of female directors on the board.
ε = error term.

4. FINDINGS AND DISCUSSION

The data for this study covers a five-year period for a total of 70 companies, resulting in 350 firm years. Table 2 presents the descriptive statistics of the sample firms for 350 firm years.

Table 2. Descriptive statistics (n = 350).
Variable
Minimum
Maximum
Mean
Standard Deviation
ROA
-64.39%
47.45%
2.93%
9.77%
Board size
5
20
8.8
2.25
Board independence
1
11
4.49
1.58
Board gender diversity
0
6
1.87
1.217

Regarding board independence, independent directors make up more than half of the board size. Hence, the companies have met the requirements as stipulated in the MCCG (2017) and MCCG (2021). Similarly, the majority of firms have appointed female directors to their board, and each board on average has two female directors. With regard to board size, on average, each board consists of nine directors. This is in line with a study that found that the optimal board size for a corporation is eight members (Lipton & Lorsch, 1992). This is due to the fact that a larger board size would increase operating costs and inadvertently minimize profits and lower a firm’s performance (Nguyen, Rahman, Tong, & Zhao, 2016). In addition, having the optimal number of directors will minimize friction and disagreement among board members, which could make it difficult to coordinate (Eisenberg et al., 1998). Table 3 shows the descriptive statistics for each year (2016–2020) to understand the trend of the variables throughout the period.

Table 3. Descriptive statistics by year (n = 350).
Variable Central Tendency and Dispersion
2016
2017
2018
2019
2020
ROA Mean
3.34
4.02
4.75
2.38
0.16
Minimum
-41.69
-28.99
-12.18
-35.72
-64.39
Maximum
31.33
35.20
47.85
27.50
20.54
Std. Deviation
9.48
8.87
9.06
9.18
11.70
Board independence Mean
4.46
4.32
4.38
4.56
4.72
Minimum
2
2
1
2
2
Maximum
11
9
8
9
6
Std. Deviation
1.68
1.53
1.51
1.60
1.57
Board gender Mean
1.72
1.78
1.92
1.90
2.02
Minimum
0
0
1
0
1
Maximum
6
4
4
5
5
Std. Deviation
1.27
1.14
1.15
1.23
1.28
Board size Mean
9.20
8.86
8.52
8.60
8.80
Minimum
5
5
5
5
5
Maximum
20
13
12
14
12
Std. Deviation
2.58
2.11
2.16
2.30
2.07

Table 3 shows that the mean of board size steadily declined from 9.20 in 2016 to 8.52 in 2018. However, from 2018 to 2020, the mean of board size began to rise, but the mean was still below the average board size in 2016. Regarding board independence, the average number of independent directors on the board for the five years was 4.49. Hence, based on these two figures, the proportion of independent directors for this research was more than half (i.e., 4.49/8.8, which is 51.02%), which is consistent with the Malaysian Code on Corporate Governance (MCCG, 2017; MCCG, 2021). The mean of board gender increased steadily from 1.72 in 2016 to 2.02 in 2020. Hence, listed companies complied with the government policy of having a minimum of 30% women on the boards of listed firms. The mean of ROA during the period was 2.93% (as shown in Table 2). However, the results in Table 3 show that it peaked in 2018 (with an average of 4.75%) and it started to decline in 2019 and reached a low of 0.16% in 2020. The poor performance in 2020 was largely due to the Covid-19 pandemic. Next, Pearson’s correlation analysis was carried out and the results are shown in Table 4.

Table 4. Pearson’s correlation analysis (n = 350).
Variable
ROA
Board size
Board independence
Gender diversity
ROA
1.00
0.217 (0.001)*
0.58 (0.001)*
0.240 (0.001)*
Board size
1.00
0.654 (0.001)*
0.458 (0.001)*
Board independence
1.00
0.386 (0.001)*
Board gender diversity
1.00
Note: P-values are in parentheses; * p < 0.01 (2-tailed).

Table 4 reports that the correlation coefficient between ROA and board size is positive and significant. The correlation between board independence and ROA is also positive and significant. Similarly, the ROA has a positive and significant association with board gender diversity. Thus, based on the evidence in Table 4, the direction and the significance of the correlation coefficients between the independent variables and dependent variable are as expected. In general, the correlation coefficients between the independent variables are not high (i.e., less than 0.80), hence multicollinearity is not an issue when the multiple regression analysis is conducted. The results from the multiple regression analysis, which tests all the hypotheses simultaneously, are presented in Table 5.

Table 5. Multiple regression results.
Variable
Coefficient
Standard error
t-value
p-value
Constant
-4.370
2.41
-1.89
0.072*
Board size
1.053
0.365
2.889
0.004**
Board independence
-1.092
0.503
-2.178
0.031*
Gender diversity
1.578
0.554
2.848
0.005**
Adjusted R2
0.078
F statistics
8.065**
Note:  ** p < .01; * p < 0.05 (2-tailed).

The results in Table 5 shows that the F value is statistically significant and thus the overall model is adequate for hypothesis testing purposes. As shown in Table 5, all individual coefficients are in the hypothesized directions and are statistically significant. Hence, H1, H2 and H3 are supported. Therefore, board independence, board gender diversity and board size positively influence firm performance, which was proxied by ROA. The positive association between board independence and firm performance supports the earlier evidence, both in the Malaysian setting and in other countries (e.g., (Tulung & Ramdani, 2018; Uribe-Bohorquez et al., 2018)). Hence, in Malaysian firms, the extent of independent directors on boards is important and is beneficial to a company’s financial performance. Second, with regard to the presence of female directors on the board, our evidence shows that their presence influences the performance of the firm favorably. This evidence is consistent with our finding on board gender diversity (see Table 5), which is consistent with the evidence from previous studies (e.g., (Adeabah et al., 2019; Bennouri et al., 2018; Loukil et al., 2019; Lückerath-Rovers, 2013; Terjesen et al., 2016; Triana et al., 2014) ), who suggested that having more female directors on the board will lead to better firm performance. Finally, the results in Table 5 for board size indicate that it leads to better firm performance, which supports the findings documented in previous studies (e.g., (Badu & Appiah, 2017; Handriani & Robiyanto, 2019; Johl et al., 2016; Martín & Herrero, 2018; Mohapatra, 2017) ). Hence, increasing board size is beneficial to companies. However, it must be done with caution because the relationship may not be linear. A non-linear relationship between board size and firm performance may exist whereby having more directors beyond a certain point could be detrimental to firm performance. This argument was raised by Kathuria and Dash (1999) , who argued that a firm’s performance will only improve by increasing the board size, but appointing additional board members could lead to a lower performance as the size of the corporation increases. In other words, large firms which already have a high board size do not gain much from appointing an additional board member.

5. CONCLUSION

The goal of this research was to determine the impact of corporate governance on the financial performance of publicly traded corporations in Malaysia. The findings show that the relationships between board size, board independence and board gender composition and firm performance are positive and significant. Hence, it is important that Malaysian firms, including small and medium firms, adopt the best practices set out in the Malaysian Code on Corporate Governance as much as possible. In fact, the latest MCCG proposes step-ups which aim to bring corporate governance practices in Malaysia up to the optimum level.

The evidence found in the present study on board independence and board gender diversity supports the initiatives taken by the Securities Commission through continuous revisions of the Malaysian Code on Corporate Governance to strengthen board effectiveness through increasing board independence and requiring listed firms to have a board with a minimum of 30% female directors did improve firm financial performance. Hence, increasing the number of independent directors and appointing female directors to the board does have a business case. Therefore, requiring independent directors to make up at least half of the board size is important in enhancing board independence. Similarly, the government’s initiative on board gender diversity has been well received by the business community and the number of female representatives is steadily increasing. The positive and significant relationship between board gender diversity and firm performance indicates that the presence of women on the boards is a business case rather than just to comply with the government’s initiative. Finally, the positive association between board size and firm performance supports the resource dependency theory. In the absence of a requirement for board size, firms will be able to decide on the appropriate number of directors to suit their needs. Based on the evidence in this study, the size of the boards in Malaysian listed companies is consistent with the size recommended in several studies.

Funding: This study received no specific financial support.  

Competing Interests: The authors declare that they have no competing interests.

Authors’ Contributions: All authors contributed equally to the conception and design of the study.

REFERENCES

Abdullah, S. N., Ismail, K. N. I. K., & Nachum, L. (2016). Does having women on boards create value? The impact of societal perceptions and corporate governance in emerging markets. Strategic Management Journal, 37(3), 466-476.Available at: https://doi.org/10.1002/smj.2352.

Adeabah, D., Gyeke-Dako, A., & Andoh, C. (2019). Board gender diversity, corporate governance and bank efficiency in Ghana: A two stage data envelope analysis (DEA) approach. Corporate Governance: The International Journal of Business in Society, 19(2), 299-320.

Aduda, J., Kiragu, D., & Ndwiga, J. M. (2013). Relationship between agency banking & financial performance of commercial banks in Kenya. University of Nairobi, Retrieved from: http://erepository.uonbi.ac.ke/handle/11295/61354.

Al-Ahdal, W. M., Alsamhi, M. H., Tabash, M. I., & Farhan, N. H. (2020). The impact of corporate governance on financial performance of Indian and GCC listed firms: An empirical investigation. Research in International Business and Finance, 51, 101083.Available at: https://doi.org/10.1016/j.ribaf.2019.101083.

Al-Saidi, M. (2020). Board independence and firm performance: Evidence from Kuwait. International Journal of Law and Management, 63(2), 251-262.Available at: https://doi.org/10.1108/ijlma-06-2019-0145.

Badu, E. A., & Appiah, K. (2017). Determinants of board monitoring effectiveness in Anglo Countries in West Africa: An empirical investigation. Business, Management and Economics Research, 3(9), 159-169.

Bennouri, M., Chtioui, T., Nagati, H., & Nekhili, M. (2018). Female board directorship and firm performance: What really matters? Journal of Banking & Finance, 88, 267-291.Available at: https://doi.org/10.1016/j.jbankfin.2017.12.010.

Bhagat, S., & Bolton, B. (2008). Corporate governance and firm performance. Journal of Corporate Finance, 14(3), 257-273.

Bhagat, S., & Bolton, B. (2009). Corporate governance and firm performance: Recent evidence. Leeds School of Business Research Paper Series.

Bhatt, P. (2016). Corporate governance in Malaysia: Has MCCG made a difference. International Journal of Law and Management, 58(4), 403-415.

Bhatt, P. R., & Bhatt, R. R. (2017). Corporate governance and firm performance in Malaysia. Corporate Governance: The International Journal of Business in Society, 17(5), 896-912.

Bianco, M., Ciavarella, A., & Signoretti, R. (2015). Women on corporate boards in Italy: The role of family connections. Corporate Governance: An International Review, 23(2), 129-144.

Black, B. S., De Carvalho, A. G., & Sampaio, J. O. (2014). The evolution of corporate governance in Brazil. Emerging Markets Review, 20, 176-195.

Bosse, D. A., & Phillips, R. A. (2016). Agency theory and bounded self-interest. Academy of Management Review, 41(2), 276-297.Available at: https://doi.org/10.5465/amr.2013.0420.

Bradshaw, P., & Wicks, D. (2000). The experiences of white women on corporate boards in Canada: compliance and non-compliance to hegemonic masculinity’, in R.J. Burke and M.C. Mattis (Eds.): Women on Corporate Boards of Directors (pp. 97–109). The Netherlands: Kluwer Academic Publishers.

Cabalu, H. (2015). Reforms in corporate governance in Asia after the financial crisis., Hirschey, M., John, K. and Makhija, A.K. (Ed.) Corporate Governance (Advances in Financial Economics) (Vol. 11, pp. 51-73). Bingley: Emerald Group Publishing Limited.

Cadbury, A. (1992). The financial aspects of corporate governance (Cadbury Report). London, UK: The Committee on the Financial Aspect of Corporate Governance (The Cadbury Committee) and Gee and Co, Ltd.

Campbell, K., & Mínguez-Vera, A. (2008). Gender diversity in the boardroom and firm financial performance. Journal of Business Ethics, 83(3), 435-451.Available at: https://doi.org/10.1007/s10551-007-9630-y.

CG Watch. (2018). Hard decisions, Asia faces tough choices in CG reforms. Hong Kong: CG Watch.

Chang, S. J., & Choi, U. (1988). Strategy, structure and performance of Korean business group. Journal of Industrial Economics, 37(2), 141-158.

Cheah, K. G. (2010). Malaysian corporate governance regulation: Before and after the Asian financial crisis. OIDA International Journal of Sustainable Development, 1(5), 53-59.

Claessens, S., Kose, M. A., & Terrones, M. E. (2011). Financial cycles: What? How? When? In NBER International Seminar on Macroeconomics (Vol. 7, pp. 303-344). Chicago, IL: University of Chicago Press.

De Falco, S. E., & Renzi, A. (2007). Agency theory, stewardship theory and residual right: Logics and interpretative models. Tourism & Management Studies, 3, 27-41.

Deloitte. (2020). Board composition: Greater than the sum of its parts. Deloitte United States. Retrieved from: https://www2.deloitte.com/us/en/pages/center-for-board-effectiveness/articles/on-the-boards-agenda-us.html.

Demsetz, H., & Lehn, K. (1985). The structure of corporate ownership: Causes and consequences. Journal of Political Economy, 93(6), 1155-1177.

Dhesi, D. (2021). On a mission to hire more women directors. The Star. Retrieved from: https://www.thestar.com.my/business/business-news/2021/11/01/on-a-mission-to-hire-more-women-directors.

Doolan, D. M., & Froelicher, E. S. (2009). Using an existing data set to answer new research questions: A methodological review. Research and Theory for Nursing Practice, 23(3), 203-215.Available at: https://doi.org/10.1891/1541-6577.23.3.203.

Eddleston, K. A., & Kellermanns, F. W. (2007). Destructive and productive family relationships: A stewardship theory perspective. Journal of Business Venturing, 22(4), 545-565.Available at: https://doi.org/10.1016/j.jbusvent.2006.06.004.

Ees, V. H., Postma, T. J., & Sterken, E. (2018). Board characteristics and corporate performance in the Netherlands. Eastern Economic Journal, 29(1), 41-58.

Eisenberg, T., Sundgren, S., & Wells, M. T. (1998). Larger board size and decreasing firm value in small firms. Journal of Financial Economics, 48(1), 35-54.Available at: https://doi.org/10.1016/s0304-405x(98)00003-8.

Ezzamel, M., & Watson, R. (1993). Organizational form, ownership structure and corporate performance: A contextual empirical analysis of uk companies 1. British Journal of Management, 4(3), 161-176.Available at: https://doi.org/10.1111/j.1467-8551.1993.tb00056.x.

Fernández-Temprano, M. A., & Tejerina-Gaite, F. (2020). Types of director, board diversity and firm performance. Corporate Governance: An International Review, 20(2), 324-342.

Handriani, E., & Robiyanto, R. (2019). Institutional ownership, independent board, board size, and firm performance: Evidence from Indonesia. Accounting and Administration, 64(3), 1-16.

Hassan, R., Marimuthu, M., & Johl, S. (2015). Diversity, corporate governance and implication on firm financial performance. Global Business and Management Research: An International Journal, 7(2), 28-36.

Hermalin, B. E., & Weisbach, M. S. (1991). The effects of board composition and direct incentives on firm performance. Financial Management, 20(4), 101-112.Available at: https://doi.org/10.2307/3665716.

Hermalin, B. E., & Weisbach, M. S. (2017). Introduction: The study of corporate governance. In The Handbook of the Economics of Corporate Governance (Vol. 1, pp. 1-15): North-Holland.

Herz, P., & McGurr, P. (2006). Sarbanes-oxley: How far does it reach? An exploratory study in South East Asia. Asian Review of Accounting, 14(1/2), 83-100.Available at: https://doi.org/10.1108/13217340610729482.

Jensen, M. C., & Meckling, W. H. (1976). Theory of the firm: Managerial behavior, agency costs, and ownership structure. Journal of Financial Economics, 3(4), 305-360.

Johl, S. K., Khan, A., Subramaniam, N., & Muttakin, M. (2016). Business group affiliation, board quality and audit pricing behavior: Evidence from Indian companies. International Journal of Auditing, 20(2), 133-148.Available at: https://doi.org/10.1111/ijau.12061.

Johnston, M. P. (2017). Secondary data analysis: A method of which the time has come. Qualitative and Quantitative Methods in Libraries, 3(3), 619-626.

Kathuria, V., & Dash, S. (1999). Board size and corporate financial performance: An investigation. Vikalpa, 24(3), 11-17.Available at: https://doi.org/10.1177/0256090919990303.

Kweh, Q. L., Ahmad, N., Ting, I. W. K., Zhang, C., & Hassan, H. (2019). Board gender diversity, board independence and firm performance in Malaysia. Institutions and Economies, 11(1), 1-20.

Lee-Kuen, I. Y., Sok-Gee, C., & Zainudin, R. (2017). Gender diversity and firms’ financial performance in Malaysia. Asian Academy of Management Journal of Accounting and Finance, 13(1), 41-62.

Lim, K. P., Ismail, H., & Eze, U. C. (2013). Corporate governance and financial performance of public listed companies: Pre and post implementation of the Malaysian code of corporate governance. Corporate Ownership and Control, 10(4), 355-376.

Lipton, M., & Lorsch, J. W. (1992). A modest proposal for improved corporate governance. The Business Lawyer, 59-77.

Loukil, N., Yousfi, O., & Yerbanga, R. (2019). Does gender diversity on boards influence stock market liquidity? Empirical evidence from the French market. Corporate Governance: The International Journal of Business in Society, 19(4), 669-703.Available at: https://doi.org/10.1108/cg-09-2018-0291.

Lublin, J. S. (2014). Smaller boards get bigger returns. Wall Street Journal.

Lückerath-Rovers, M. (2013). Women on boards and firm performance. Journal of Management & Governance, 17(2), 491-509.

Marie L’Huillier, B. (2014). What does “corporate governance” actually mean? Corporate Governance: An International Review, 14(3), 300-319.

Martín, C., & Herrero, B. (2018). Boards of directors: Composition and effects on the performance of the firm. Economic Research, 31(1), 1015-1041.Available at: https://doi.org/10.1080/1331677x.2018.1436454.

MCCG. (2017). Malaysian code on corporate governance. Kuala Lumpur: Securities Commission.

MCCG. (2021). Malaysian code on corporate governance. Kuala Lumpur: Securities Commission.

McKnight, P. J., & Weir, C. (2009). Agency costs, corporate governance mechanisms and ownership structure in large UK publicly quoted companies: A panel data analysis. The Quarterly Review of Economics and Finance, 49(2), 139-158.Available at: https://doi.org/10.1016/j.qref.2007.09.008.

Mohamad, S., & Muhamad Sori, Z. (2011). Corporate governance from a global perspective. Available at SSRN 1817082.

Mohapatra, P. (2017). Board size and firm performance in India. Vilakshan: The XIMB Journal of Management, 14(1), 19-30.

Mustapha, U. A., Rashid, N., Bala, H., & Musa, H. (2020). Corporate governance and financial performance of Nigerian listed banks. Journal of Advanced Research in Dynamical and Control Systems, 12(1), 5–10.Available at: https://doi.org/10.5373/jardcs/v12i1/20201002.

Nakano, M., & Nguyen, P. (2012). Board size and corporate risk taking: further evidence from J apan. Corporate Governance: An International Review, 20(4), 369-387.Available at: https://doi.org/10.1111/j.1467-8683.2012.00924.x.

Nestor, S. (2001). International efforts to improve corporate governance: Why and how. Retrieved from: https://www.oecd.org/corporate/ca/corporategovernanceprinciples/1932028.pdf.

Nguyen, P., Rahman, N., Tong, A., & Zhao, R. (2016). Board size and firm value: Evidence from Australia. Journal of Management & Governance, 20(4), 851-873.Available at: https://doi.org/10.1007/s10997-015-9324-2.

Parmar, B. L., Freeman, R. E., Harrison, J. S., Wicks, A. C., Purnell, L., & De Colle, S. (2010). Stakeholder theory: The state of the art. Academy of Management Annals, 4(1), 403-445.

Raghu, A., & Shukry, A. (2021). Malaysia mandates companies to have at least one woman director. Bloomberg. Retrieved from: https://www.bloomberg.com/tosv2.html?vid=&uuid=735c6f29-6c76-11ec-88ca-4e62564f7869&url=L25ld3MvYXJ0aWNsZXMvMjAyMS0xMC0yOS9tYWxheXNpYS1tYW5kYXRlcy1jb21wYW5pZXMtdG8taGF2ZS1hdC1sZWFzdC1vbmUtd29tYW4tZGlyZWN0b3I=.

Rashid, A. (2018). Board independence and firm performance: Evidence from Bangladesh. Future Business Journal, 4(1), 34-49.Available at: https://doi.org/10.1016/j.fbj.2017.11.003.

Rose, C. (2007). Does female board representation influence firm performance? The Danish evidence. Corporate Governance: An International Review, 15(2), 404-413.Available at: https://doi.org/10.1111/j.1467-8683.2007.00570.x.

Saeed, A., Yousaf, A., & Alharbi, J. (2017). Family and state ownership, internationalization and corporate board-gender diversity. Cross Cultural & Strategic Management, 24(2), 251-270.

Shamsuddin, Z., Mahmood, S., Ghazali, P. L., Salleh, F., & Nawi, F. A. M. (2018). Indicators for cooperative performance measurement. International Journal of Academic Research in Business and Social Sciences, 8(12), 577-585.

Shan, Y. G. (2019). Managerial ownership, board independence and firm performance. Accounting Research Journal, 32(2), 203-220.

Srinidhi, B., Gul, F. A., & Tsui, J. (2011). Female directors and earnings quality. Contemporary Accounting Research, 28(5), 1610-1644.Available at: https://doi.org/10.1111/j.1911-3846.2011.01071.x.

Syed-Fuzi, S. F., Halim, S. A. A., & Julizaerma, M. (2016). Board independence and firm performance. Procedia Economics and Finance, 37, 460-465.

Tahir, H., Masri, R., & Rahman, M. M. (2020). Impact of board attributes on the firm dividend payout policy: evidence from Malaysia. Corporate Governance: The International Journal of Business in Society, 20(5), 919-937.

Terjesen, S., Couto, E. B., & Francisco, P. M. (2016). Does the presence of independent and female directors impact firm performance? A multi-country study of board diversity. Journal of Management & Governance, 20(3), 447-483.Available at: https://doi.org/10.1007/s10997-014-9307-8.

Triana, M. D. C., Miller, T. L., & Trzebiatowski, T. M. (2014). The double-edged nature of board gender diversity: Diversity, firm performance, and the power of women directors as predictors of strategic change. Organization Science, 25(2), 609-632.Available at: https://doi.org/10.1287/orsc.2013.0842.

Tulung, J. E., & Ramdani, D. (2018). Independence, size and performance of the board: An emerging market research. Corporate Ownership & Control, 15(2-1), 201-208.Available at: https://doi.org/10.22495/cocv15i2c1p6.

Uribe-Bohorquez, M.-V., Martínez-Ferrero, J., & García-Sánchez, I.-M. (2018). Board independence and firm performance: The moderating effect of institutional context. Journal of Business Research, 88, 28-43.Available at: https://doi.org/10.1016/j.jbusres.2018.03.005.

Vafeas, N. (1999). Board meeting frequency and firm performance. Journal of Financial Economics, 53(1), 113-142.Available at: https://doi.org/10.1016/s0304-405x(99)00018-5.

Velnampy, T., & Nimalthasan, P. (2013). Corporate governance practices, capital structure and their impact on firm performance: a study on Sri Lankan listed manufacturing companies. Research Journal of Finance and Accounting, 4(18), 69-79.

Ward, A. J., Brown, J. A., & Rodriguez, D. (2009). Governance bundles, firm performance, and the substitutability and complementarity of governance mechanisms. Corporate Governance: An International Review, 17(5), 646-660.Available at: https://doi.org/10.1111/j.1467-8683.2009.00766.x.

Warrad, L., & Khaddam, L. (2020). The effect of corporate governance characteristics on the performance of Jordanian banks. Accounting, 6(2), 117-126.

Wolfers, J. (2006). Diagnosing discrimination: Stock returns and CEO gender. Journal of the European Economic Association, 4(2-3), 531-541.Available at: https://doi.org/10.1162/jeea.2006.4.2-3.531.

Yermack, D. (1996). Higher market valuation of companies with a small board of directors. Journal of Financial Economics, 40(2), 185-211.Available at: https://doi.org/10.1016/0304-405x(95)00844-5.

Zahra, S. A., & Pearce, J. A. (1989). Boards of directors and corporate financial performance: A review and integrative model. Journal of Management, 15(2), 291-334.Available at: https://doi.org/10.1177/014920638901500208.

Views and opinions expressed in this article are the views and opinions of the author(s). The Journal of Social Economics Research shall not be responsible or answerable for any loss, damage or liability, etc., caused in relation to/arising from the use of the content.