Index

Abstract

This study focused on the effect of socio-cultural diversity on the performance of Private Health Care Organizations in Kogi State. The study thus examined the effect of age difference, gender, ethnicity, religion, physical abilities and cultural beliefs on the patients’ satisfaction, financial performance and technological innovativeness of Private Health Care Organizations in Kogi State. The study used a descriptive research design. The population (1460) of the study comprised of the staff of Private Health Care Organizations in Kogi State. The sample size of 304 was determined using Sallant and Dillman’s sample size method. A two-method sampling technique was used. The data gathered were analyzed using descriptive statistics and Multiple Regression analysis. Finding shows that age difference, physical ability and religious differences have significantly positive effect on patients’ satisfaction; as against ethnic difference which has inverse effect. Ethnicity, cultural and gender differences have positive effects on the financial performance; as against age and religious differences which have significantly negative relationship. The study concludes that diversity in terms of age, physical ability and religion are taken seriously and managed very well in the Health Care Organizations of Kogi State. This study therefore recommends that the management, government and other stakeholders should invest in diversity management training and development programmes to widen the opportunity to create patients’ satisfaction and achieve other goals in the Health Care Organizations in Kogi State.

Keywords: Socio-cultural diversity, Patients’ satisfaction, Financial performance, Technological innovativeness, Diversity management, Distinctive management initiative.

JEL Classification: M14.

Received: 13 May 2019 / Revised: 17 June 2019 / Accepted: 23 July 2019/ Published: 29 August 2019

Contribution/ Originality

This study contributes to existing literature. It is one of the few studies on the subject matter, and it made used of new estimated methodology. The primary contribution of the study is that diversity variables affect performance in Health Care organizations. The study was able to build arguments around these diversity variables and proven using scientific approaches.


1. INTRODUCTION

Today, many Private Health Care Organizations in Kogi State are confronted with diversity issues. These issues appear to have consequences on service delivery of these Private Health Care Organizations. For instance, the traditions and cultural practices in Nigeria legitimates respect, but it is observed that the ‘acceptability of one another’s differences’ have often generated crisis within organizational setting. This is a critical issue in Kogi State with different socio-cultural groups domicile in the Private Health Care Organizations’ cluster area. It is observed that the two concepts “respect and acceptability” are often the genesis of disparity in many Private Health Care Organizations in Kogi State.

However, Patrick and Kumar (2012) expressed that there is need for “understanding that each individual is unique, and recognizing our individual differences is highly paramount” (p.1). They added  that “these can be along the dimensions of race, ethnicity, gender, sexual orientation, socioeconomic status, age, physical abilities, religious beliefs, political beliefs, or other ideologies” (p.1). All these diversity factors imply that health workers are certainly different and these differences must be respected. The fact that all health workers are unique in various ways must also be accepted. Through respect and acceptability, an understanding may be nurtured alongside relationship among health workers; they will be ready to tolerate, embrace and celebrate the richness in the diversity among them. The work of Ongori and Agolla (2007) also indicates that diversity signifies the heterogeneity that needs to be nurtured, cultivated and appreciated as means of increasing organizational effectiveness in this competitive world.

Indeed, diversity of health workers is a critical issue that requires distinctive managerial attention of Private Health Care Organizations in Kogi State. The factors inducing diversity is observed to be having effect on the performance of many Private Health Care Organizations in Kogi State. Opstal (2009) added that it also affects the way performance is achieved. Distinctive management initiative is thus essential for stimulating team spirit of diverse groups towards achieving better high level of performance. Empirical researches have demonstrated that diversity management can go a long way to facilitating the achievement of desirable result in organizations (Jehn et al., 1997; Kalev, 2006; Pitts et al., 2010). There appears to be no study conducted to investigate the effect of socio-cultural factors of diversity on the performance of Private Health Care Organizations in Kogi State, Nigeria.

1.1. Statement of the Problems

Socio-cultural diversity appears to be affecting the performance of Private Health Care Organizations in Kogi State, Nigeria. Owner-managers of Private Health Care Organizations have been observed absent-minded on the need to focus on factors (age difference, gender, ethnicity, religion, physical abilities and cultural beliefs) that do not only influence diversity, but also affect patient’s satisfaction, technological innovativeness and financial performance. It appears that these factors often originate crises due to no respect or acceptability (tolerance) for differences resulting from them. A number of studies (Kalleberg and Leicht, 1991; Backes-Gellner et al., 2011; Rehman et al., 2015) have revealed that individual characteristics have considerable relationship with  performance. Decades of research on the effects of diversity within teams and small groups also indicate that diversity can have negative effects, as well as positives ones (Kochan et al., 2003). In their study, Weiliang et al. (2011) attributed the dual effect to lack of evidence linking diversity with sales performance. Lindblad (2018) clarified that diversity in the workplace is generally regarded as positive for companies, but health workers that has significant differences in ethnicity, race, religion, gender and other individual traits can produce negative effects, especially if not well-managed. This study intends to establish the exact effect of socio-cultural factors of diversity on the performance of Private Health Care Organizations in Kogi State, Nigeria. It is observed that little or no studies have been conducted in this regard in the Eastern Senatorial District of Kogi State.

1.2. Objectives of the Study

This study mainly investigated the effect of socio-cultural diversity factors on the performance of Private Health Care Organizations in Kogi State, Nigeria. The specific objectives of the study were to:

  1. Examine the effect of age difference, gender, ethnicity, religion, physical abilities and cultural beliefs on the patients’ satisfaction in Private Health Care Organizations in Kogi State.
  2. Examine the effect of age difference, gender, ethnicity, religion, physical abilities and cultural beliefs on the financial performance of Private Health Care Organizations in Kogi State.
  3. Examine the effect of age difference, gender, ethnicity, religion, physical abilities and cultural beliefs on technological innovativeness of Private Health Care Organizations in Kogi State.

2. CONCEPTUAL FRAMEWORK

The concept ‘diversity’ has attracted a number of literatures. It appears that the concept bears significance as different studies have devoted attention into unraveling variations among employees and how these variations affect the organizational success. Ehimare and Ogaga-Oghene (2011) noted that the literature on workplace diversity contains two main bodies of work. The first body of work premises on building conceptual framework to establishing clarity or nexus between diversity and performance. The other area presents generalized prescriptions for effectively managing workplace diversity. Then, what is workplace diversity all about? There will be need to review previous definitions in support of this study’s concept clarification.

According to Lindblad (2018) the ‘Society for Human Resource Management’ defined diversity as valuing the characteristics that makes a person unique, such as age, ethnicity, education level and family background. The term ‘valuing the characteristics that make a person unique’ may simply imply that people must accept the fact that individuals have some special attributes that establishes cleavages in the workplace. These attributes are peculiar from person to persons, and previous studies have not been able to exhaust them. In agreement with this, Saxena (2014) expressed that diversity refers to an almost infinite number of dimensions, ranging from age to nationality, from religious background to functional background, from task skills to relational skills, and from political preference to sexual preference.

The dimensions enlisted in the definition may imply that there are multi-factors inherent in the workplace. It is in this regard that diversity factors are conceived infinite. Kokemuller (2011) added that diversity is the presence of people from a wide range of backgrounds and possessing different traits. However, Clements and Spinks (2009) refer to workplace diversity as organizations that are becoming more heterogeneous with the mix of people in terms of gender, age, race, and education background. The term ‘mix’ in his broad definition appears to mean combination and interaction of people from diverse backgrounds. Ehimare and Ogaga-Oghene (2011) posited that the main concern of this standpoint is that a broad definition may imply that all differences among people are the same. Thus, workplace diversity involves all manner of factors that differentiate or associate people at the workplace, and they span from psychological, sociological, cultural, economic and personality dimensions.

However, Private Health Care Organizations are believed not being inseparable from diversity. They need a certain level (acceptable level) of diversity to help pursue set goal/objectives. Ikon and Okolie-Osemene (2017) supported that Health Care Organizations needs to make the most out of the differences from a diverse health workers rather than losing talent which might assist the organization to be more efficient and effective; as taking advantage of a diversified health workers will result to better organizational performance.

The implication of this is that health workers diversity factors are not often destructive as popularly conceived. In most cases, workplace diversity is mainly constructive in organizations where managers possess distinctive managerial skills and prowess. Nevertheless, Ehimare and Ogaga-Oghene (2011) made a case regarding this argument, and expressed that the benefits of workplace diversity have been widely contested ever since the idea was conceived. Despite their position, there are still observed controversy regarding the destructive and constructive tendencies of workplace diversity today.

Figure 1 does not dispute the fact that workplace diversity has a dual effect on Private Health Care Organizations’ performance in Kogi State. The most important and reliable argument is that which is supported or proven by scientific investigation. Thus, the argument regarding the effect of socio-cultural and economic diversity factors on Private Health Care Organizations’ performance will be a mere intuition.

Figure-1. Conceptual framework of diversity factors and performance of private health care organizations.

Source: Adopted from Weiliang et al. (2011).

In developing countries like Nigeria, Ikon and Okolie-Osemene (2017) posited that it is still controversial to find an answer to whether diversity has a negative or positive impact. There are likely benefits and challenges of workplace diversity factors that need empirical investigation particularly in Kogi State. It is believed that without investigation, varying research outcomes from different countries, regions and states will continue to arouse arguments and strengthen confusion in the field of management. In another way for instance, Lindblad (2018) is of the opinion that the inclusion of diverse individuals fosters a rich exchange of new ideas among health workers and helps organization leverage the unique character of its workers.

Without controversy, there have been series of studies conducted to investigate the effect of workplace diversity on performance. It is observed that studies in this regard cannot be over-flogged. Cultural factors of diversity is believed to have potential effects on Private Health Care Organizations’ performance (patient’s satisfaction, financial performance and technological innovativeness) as depicted by Figure 1. Previous studies (Otike et al., 2011; Gupta, 2013; Joseph and Selvaraj, 2015) have measured organizational performance with productivity, profit, growth, turnover, stability and cohesion among other things. In another way, Ikon and Okolie-Osemene (2017) claimed that organizational performance of a firm can be measured by using financial and non-financial indicators. Some studies did not link diversity to performance of organizations but others say diversity is key to business success and future in labour (Muasaa et al., 2017). Ehimare and Ogaga-Oghene (2011) stated that diversity is at the core of high performance outcomes in any organization. The empirical finding of Ogbo et al. (2014) revealed that stretching discriminatory attitude, individual identity, and non-support for others beyond limits leads to low morale and negative performance. Few studies were done on primary factors such as age, gender, ethnicity and race as the main sources of diversity affecting performance (Muasaa et al., 2017).

According to Zgourides et al. (2002) the differences in cultural characteristics were predictive of team scores, which can be interpreted as the advantage of having ethnically different views for team problem solving resulted in increased team performance after the teams learned how to utilize these differences to their benefit. Ostergaard et al. (2011) found that innovation occurs as a result of communication among health workers. Importantly, health workers who are intelligent and creative may often raise ideas through group interaction. This is why close relationship must be embraced by owner/managers of the Private Health Care Organizations. When more diverse health workers are maintained and managed at the workplace, there is likelihood that technological innovativeness of the Health Care Organizations may be promoted. Timmermans et al. (2011) used ethnicity to proxy cultural background and explained further that diversity in ethnicity can be expected to be positive for innovative performance. Moreover, based on Timmermans et al. (2011) study some levels of diversity in ethnicity might be positive associated with innovation.

The ability of any Private Health Care Organization to plan and manage health workers diversity may promote the tendency of achieving a desired goal. Some Private Health Care Organizations appear to be finding it difficult to be successful today, because of their ill-commitment to ensuring that health workers diversity is part of their day-to-day healthcare business conduct. This backdrop may be tied to the fact that owner-managers of these Private Health Care Organizations do not know how to effectively practice diversity management, and what factors contribute to effective diversity management and task that can deal with diversity related issues in their workplace. For effective diversity management practice, Kokemuller (2011) established that top management and front-line managers in a diverse Private Health Care Organization have to set the tone for an effective culture, as this will promote nondiscriminatory work environment, and fair treatment of all workers in the hiring process, job conditions, work evaluations and promotions. Research  Loriann et al. (2009) purported that left un-managed; health workers diversity is more likely to damage morale, increase turnover, and cause significant communication problems and conflict within the organization.

3. METHODOLOGY

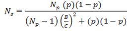
A descriptive research design was adopted. A descriptive research describes the diversity characteristics of people at the workplace. For this study, the population of interest comprised of the staff of Private Health Care Organizations in Eastern Senatorial District of Kogi State. As gathered from the State Ministry of Health, total number of the Health Facility staff was 1460. Given the total population, the research adopted Salant and Dillman (1994) method for the finite population. The formula is stated below:

Where:
Ns= completed sample size required.
Np= Sample population.
P= proportion expected to answer in a certain way (50% or 0.5 is most conservative).
B= acceptable level of sampling error (0.05 = +5%; 0.03 = + 3%).
C= Z statistic associated with the confidence interval (1.645=90% confidence level; 1.960=95% confidence level; 2.576=99% confidence level).

Therefore;

Where:
Ns= 304.3000066 (Approximately 304).
Np= 1460
P= 50% or 0.5
B= 0.05 or +5%
C= 1.960

A two-method sampling technique was used to select 304 staff from the selected Private Health Care Organizations in the Eastern Senatorial District of Kogi State. The two-method sampling technique involves stratification of respondents based on common characteristics and location of the cluster areas of Health Care Organizations in the Eastern Senatorial District of Kogi State. Data was collected through a well-structured questionnaire. Instrument validity was achieved through its vetting from a panel of four experts. The instrument’s reliability was achieved through Cronbach Coefficient alpha (α). The coefficient alpha is the most commonly applied estimate of a multiple-item scale’s reliability with a coefficient of 0.70 and above considered to have good reliability.

Table-1. Test of reliability.

Construct
Cronbach’s alpha
Items
Technological innovativeness
.754
3
Financial performance
.705
3
Patients’ satisfaction
.726
2

Source: Field survey (2019).

Table 1 shows the reliability of three constructs. Technological innovativeness shows 0.754 with three items; financial performance shows 0.705 with three items; and technological innovativeness shows 0.726 with two items. The entire constructs are believed to be reliable since they are above 0.70 critical levels. As earlier noted, 304 questionnaires (100%) were administered; 291 questionnaires (95.72%) were returned while 13 questionnaires (4.28%) were not returned. Based on the result, the study analyzed data on the returned questionnaires. All data collected were analyzed using descriptive statistics and multiple regression models. The model is specified as follows:

Where X= The independent variable.
X1 = Age difference.
X2 = Cultural differences.
X3 = Physical ability.
X4 = Religious differences.
X5 = Physical abilities.
X5 = Ethnicity differences.
X6 = Gender differences.
Y= The dependent variable (s patients’ satisfaction, financial performance & perceived technological innovativeness).
β = independent variable coefficients.
e = Error margin.

4. ANALYSIS AND RESULTS

Table 2 above shows the gender of respondents. 140 respondents (48.1%) were male; and 151 respondents (51.9%) were female. This shows that majority of health workers in the Private Health Care Organizations in the study area were female.

Table 2 indicates the age bracket of respondents. 12 respondents (4.1%) were below 20 years; 49 respondents (16.8%) were within the age range of 21 to 25 years; 79 respondents (27.1%) were within the age range of 26 to 30 years; 83 respondents (28.5%) were within the age range of 30 to 35 years; 49 respondents (16.8%) were within the age range of 36 to 40 years; and 19 respondents (6.5%) were within the age range of 40 to 50 years. The consequence of this is that majority of the health workers in the Private Health Care Organizations were within the age range of 30 to 35 years. In Kogi State, people in this age bracket are often energetic and docile.

Table 2 displays the marital status of respondents. 82 respondents (28.2%) were single; 100 respondents (34.4%) were married; 74 respondents (25.4%) were widow; and 35 respondents (12.0%) were separated. The implication of this is that the majority of health workers in the Private Health Care Organizations were married. Married people seem to have more responsibilities, and as such, they often value their jobs.

Table 2 shows the level of education of respondents. It is observed that 28 respondents (9.6%) were holder of Primary School Living Certificate; 104 respondents (35.7%) were holder of Secondary School Certificate; 103 respondents (35.4%) were holder of College of Education Certificate or its equivalence; and 56 respondents (19.2%) were holder of Bachelor of Science or its equivalence. This result shows that majority of respondents in the study area were secondary school certificate holder.

Table-2. Demographic distribution of respondents.

Gender
Frequency
Percent
Male
140
48.1
Female
151
51.9
Total
291
100.0
Age
Frequency
Percent
Below 20 Years
12
4.1
21-25 Years
49
16.8
26- 30 Years
79
27.1
30-35   Years
83
28.5
36- 40 Years
49
16.8
40- 50 Years
19
6.5
Total
291
100.0
Marital status
Frequency
Percent
Single
82
28.2
Married
100
34.4
Widow
74
25.4
Separated
35
12.0
Total
291
100.0
Certificates
Frequency
Percent
Primary
28
9.6
Secondary
104
35.7
College of Education
103
35.4
University
56
19.2
Total
291
100.0
Work Experience
Frequency
Percent
Below 1  Year
14
4.8
1-2 Years
35
12.0
2-4 Years
8
2.7
4-6 Years
91
31.3
6-10 Years
83
28.5
10-15 Years
41
14.1
Above 15 Years
19
6.5
Total
291
100.0

Source: Field survey, 2019.

Table 2 depicts the number of years worked in the Private Health Care Organizations. It is observed that 14 respondents (4.8%) worked below a year; 35 respondents (12.0%) worked within 1-2 years; 8 respondents (2.7%) worked within 2-4 years; 91 respondents (31.3%) worked within 4-6 years; 83 respondents (28.5%) worked within 6-10 years; 41 respondents (14.1%) worked within 10-15 years; and 19 respondents (6.5%) worked for more than 15 years. The implication of this is that majority of health workers have the experience of 4 to 6 years in the Private Health Care Organizations in the study area.

Table-3a. Descriptive statistics of perceived respect and acceptance of diversity variables.

Diversity factors
N
Mean
Std. deviation
Respect for Age differences
291
3.7182
1.15504
Acceptance of Cultural differences
291
3.7801
1.22323
Respect for Religious differences
291
3.8900
1.11182
Respect for Gender differences
291
3.8351
1.09557
Acceptance of Ethnicity differences
291
3.7491
1.15771
Acceptance of Physical ability
291
3.7938
1.05639
Valid N (list wise)
291

Source: Field survey, 2019.

Table 3a indicates perceived respect for and acceptance of diversity variables in Private Health Care Organizations in Kogi State. Respect for age differences (mean= 3.7182; standard deviation= 1.15504), acceptance of cultural differences (mean= 3.7801; standard deviation= 1.22323); respect for religious differences (mean= 3.8900; standard deviation= 1.11182), respect for gender differences (mean= 3.8351; standard deviation= 1.09557), acceptance of ethnic differences (mean= 3.7491; standard deviation= 1.15771); acceptance of physical ability differences (mean=3.7938; standard deviation= 1.05639) defined the nature of diversity variables in the Private Health Care Organizations in Kogi State. Respect religious differences appear to be the strongest among others. All others also have strong tendency to describe the nature of diversity variables in the Private Health Care Organization in Kogi State.

Table-3b. KMO and Bartlett’s test.

Tests
Results
Kaiser-Meyer-Olkin measure of sampling adequacy.
.862
Bartlett's test of sphericity
Approx. Chi-Square
1409.644
Df
15
Sig.
.000

Source: Field Survey, 2019.

Table 3b indicates that the Bartlett's test sphericity (p< 0.01) and the Kaiser Meyer Olkin (KMO) measures of sampling adequacy index (with the value of 0.862) confirming that the data fit in for the Principal Component Analysis (PCA). The KMO value of 0.862 is closer to 1, and it is considered a good one. Thus, the KMO result is considered robust and adequate enough. The simple implication of the Bartlett's test of sphericity (p< 0.01) is that the correlation matrix significantly varies from identity matrix (that in which correlations among variables equal zero).

Table-3c. Communalities.

Communalities
Initial
Extraction
Age differences
1.000
.736
Cultural differences
1.000
.865
Religious differences
1.000
.726
Ethnicity differences
1.000
.788
Gender differences
1.000
.811
Physical ability differences
1.000
.196

Source: Field survey, 2019.

4.1. Extraction Method: Principal Component Analysis

Table 3c indicates that the communalities analysis of variables (in which each of the variable has the value above 4%). Communalities show the relations between the variable and all other variables. For principal component extraction, the initial communalities value is always equal to 1.0 for correlation analysis. Extraction communalities are estimates of the variance in each variable accounted for by the components. The Table 3b shows that communalities for age differences (0.736), cultural differences (0.865), religious differences (0.726), ethnic differences (0.788), and gender differences (0.811) are all high while physical ability differences (0.196) is low. Since the value are higher than 0.4 (4%), it is an indication that the extracted components represent the variable well.

 Table 3d, the ‘Total’ column shows the amount of variance in the original variables accounted for by each component. The % of variance column gives the ratio, expressed as a percentage of the variance accounted for by each component to the total variance in all of the variables. The cumulative % column gives the percentage of variance accounted for by the first n components. Table 3d indicates that the first factor has the Eigenvalue value of 4.121. The value is evidently greater than 1, and this show more variance. The percent of the explained variance is 68.677. Other factors ranging from 2 to 6 have Eigenvalue value of less than 1. Thus, they explain lesser variance. In other words, 68.677% of the common variance shared by the 6 variables can be accounted for by only one factor.

Table-3d. Total variance explained.

Component
Initial eigenvalues
Extraction sums of squared loadings
Total
% of variance
Cumulative %
Total
% of variance
Cumulative %
1
4.121
68.677
68.677
4.121
68.677
68.677
2
.986
16.431
85.108
3
.376
6.271
91.379
4
.221
3.683
95.062
5
.158
2.627
97.690
6
.139
2.310
100.000

Extraction method: Principal component analysis.

Table-4. Multiple regression analysis of the effect of diversity variables.

Diversities
Column I
Patients’ satisfaction
Column II
Financial performance
Column III
Technological innovativeness
Coef.
t-stat
Coef.
t-stat
Coef.
t-stat
Constant
-.687
-4.369
1.770
9.984
.285
1.536
Age differences
.161*
2.693
-.137**
-2.037
.178*
2.529
Ethnic differences
-.138*
-2.384
.387*
5.920
-.023
-.317
Physical ability
.792*
21.656
.032
.768
.187*
4.348
Cultural differences
-.089
-1.422
.301*
4.286
.388*
6.277
Religious differences
.514*
9.791
-.150*
-2.539
-.197*
-2.888
Gender differences
-.100
-1.682
.189*
2.803
.395*
5.605
R – squared
.790
.557
.641
Adjusted R-Squared
.785
.547
.633
No. of observation
291
291
291

Source: Field survey, 2009. 
*= Significant at 0.01; **= Significant at 0.05.

Table 4 (I) shows that 79.0 % of the variation in patients’ satisfaction is explained by predictors such as gender differences, physical ability differences, age differences, religious differences, ethnic differences and cultural differences. The remaining 21% unexplained variation shows that there are other factors that can affect patients’ satisfaction in Private Health Care Organizations in Kogi State. As a whole, the regression does a good job of modeling patients’ satisfaction. More than half of the variation in patients’ satisfaction is explained by the model. The Table 4 (I) shows that age difference, ethnic difference, physical ability and religious differences significantly relates with patients’ satisfaction in Private Health Care Organizations in Kogi State. It is depicted from the result that age difference (β= 0.1 Private 61; p-value= 0.01), physical ability (β= 0.792; p-value= 0.01) and religious differences (β= 0.514; p-value= 0.01) have positive relationship with the patients’ satisfaction in Private Health Care Organizations in Kogi State. Only ethnic difference (β= -0.138; p-value= 0.01) has a significantly negative relationship with the patients’ satisfaction in Private Health Care Organizations in Kogi State. Cultural differences (β= -0.089; p-value> 0.05) and gender difference (β= -0.100; p-value> 0.05) are seen to be insignificant.

Table 4 (II) shows that 55.7% of the variation in financial performance is explained by predictors; such as gender differences, physical ability differences, age differences, religious differences, ethnicity differences and cultural differences. The remaining 44.3% unexplained variation shows that there are other factors that can affect financial performance in Private Health Care Organizations in Kogi State. As a whole, the regression does a good job of modelling financial performance. More than half of the variation in financial performance is explained by the model. The Table 4 (II) shows that age difference (β= -0.137; p-value= 0.05), ethnic difference (β= 0.387; p-value= 0.01), cultural difference (β= 0.301; p-value= 0.01), religious difference (β= -0.150; p-value= 0.01) and gender difference (β= 0.189; p-value= 0.01) significantly relates with financial performance in Private Health Care Organizations in Kogi State. It is shown from the result that ethnicity differences, cultural differences and gender differences have positive relationship with financial performance in Private Health Care Organizations in Kogi State. Only age and religious differences have a significantly negative relationship with financial performance in Private Health Care Organizations in Kogi State. From the result, it is depicted that physical ability (β= 0.032; p-value > 0.05) is insignificant.

Table 4 (III) above shows that 64.1% of the variation in technological innovativeness is explained by predictors such as gender differences, physical ability, age differences, religious differences, ethnic differences and cultural differences. The remaining 35.9% unexplained variation shows that there are other factors that can affect technological innovativeness in Private Health Care Organization in Kogi State. As a whole, the regression does a good job of modeling technological innovativeness. More than half of the variation in technological innovativeness is explained by the model. The Table 4 (III) shows that age difference (β= 0.178; p-value= 0.01), physical ability (β= 0.187; p-value= 0.01), religious differences (β= -0.197; p-value= 0.01), cultural differences (β= 0.388; p-value= 0.01) and gender differences (β= 0.395; p-value= 0.01) significantly relates with technological innovativeness in Private Health Care Organizations in Kogi State. It is shown from the result that age differences, physical ability, cultural differences and gender differences have positive relationship with technological innovativeness in Private Health Care Organizations in Kogi State. Only religious difference has a significantly negative relationship with technological innovativeness in Private Health Care Organizations in Kogi State. The result shows that ethnic difference (β= -0.023; p-value> 0.05) is insignificant.

4.2. Discussion of Finding

Finding shows that respect for age differences, acceptance of cultural differences, respect for religious differences, respect for gender differences, acceptance of ethnic differences and acceptance of physical ability differences defined the nature of diversity variables in the Private Health Care Organizations in Kogi State. Health workers seem to have more respect for religious differences. Finding shows that age difference, ethnic difference, physical ability and religious differences have significant effects on patients’ satisfaction in Private Health Care Organizations in Kogi State. The result shows that age difference, physical ability and religious differences have significantly positive effect on the patients’ satisfaction in Private Health Care Organizations in Kogi State. The simple implication of this is that diversity relating age, physical ability and religious is managed distinctively. Ethnic difference is observed to be having significantly negative effect on patients’ satisfaction in Private Health Care Organizations in Kogi State. Ethnic issue appears to be unresolved or managed diversity factor. This may be the reason for this negative effect on patients’ satisfaction in Private Health Care Organizations in Kogi State.

Finding shows that age difference, ethnic difference, cultural difference, religious difference and gender difference have significant effects on financial performance in Private Health Care Organizations in Kogi State. This refutes the finding of Darwin and Palanisamy (2015) that age, gender and ethnic diversity have no significant impact on performance. Ethnicity differences, cultural differences and gender differences have positive effects on the financial performance of Private Health Care Organizations in Kogi State. This finding corresponds with the study of Ikon and Okolie-Osemene (2017) which revealed that there was a strong, positive relationship between ethnic diversity and performance. Finding further shows that only age and religious differences have a significantly negative relationship with financial performance in Private Health Care Organizations in Kogi State.

Finding shows that age difference, physical ability, religious differences and ethnic difference and gender differences have significant effects on technological innovativeness in Private Health Care Organizations in Kogi State. Age differences, physical ability, religious differences and gender differences have positive effects on technological innovativeness in Private Health Care Organizations in Kogi State. Ethnic difference was discovered to be having significantly negative effect on technological innovativeness in Private Health Care Organizations in Kogi State. This also indicates that ethnic difference still remains unmanaged among other diversity factors in Private Health Care Organizations in Kogi State.

5. CONCLUSION AND RECOMMENDATIONS

Paramount among diversity variables in the Private Health Care Organizations of Kogi State are age differences, cultural differences, religious differences, gender differences, ethnic differences and physical ability. Empirical proof shows that age difference, ethnic difference, physical ability and religious differences have significant effects on patients’ satisfaction in Private Health Care Organizations in Kogi State. It is confirmed that age difference, physical ability and religious difference interplay significantly and positively with patients’ satisfaction in the Private Health Care Organizations of Kogi State. This implied that diversity in terms of age, physical ability and religion are taken seriously and managed very well in the Private Health Care Organizations of Kogi State. Also, empirical evidence shows that ethnic difference has significantly negative effect on patients’ satisfaction in Private Health Care Organizations in Kogi State. This is likely to be driven by ineffective management of ethnic issue in the Private Health Care Organizations in Kogi State.

The results of this present study also affirm that ethnicity differences, cultural differences and gender differences have positive explanatory power, and that age and religious differences have negative explanatory power over the financial performance in Private Health Care Organizations in Kogi State. The fact is that these diversity variables can predict the behavioural pattern of the financial performance of Private Health Care Organizations in Kogi State. Variations in technological innovativeness in Private Health Care Organizations in Kogi State are caused by age difference, physical ability, ethnic difference, religious difference and gender differences. Technological innovativeness in the Private Health Care Organizations has its shape as a result of the strong effects of the diversity variables.
Based on the findings of the study, the following recommendations are made that:

  1. The management and other stakeholders should invest in diversity management training and development programmes (that focus on age difference, physical ability and religious differences) to widen the opportunity to create patients’ satisfaction in the Health Care Organizations in Kogi State. Meanwhile, policy makers should find distinctive approach to addressing ethnic issues or bias in the Private Health Care Organizations in Kogi State.
  2. The government and other stakeholders should encourage the management of diversity variables such as ethnicity, cultural difference and gender difference to increase the financial performance of Private Health Care Organizations in Kogi State. The management, government and other stakeholders should control age and religious differences in a strategic manner to take advantage of the diversity variables for improved financial performance in Private Health Care Organizations in Kogi State.
  3. The management of Health Care Organizations should find out what specific age bracket, what aspect of physical ability, which religion and particular gender favour technological innovativeness in Private Health Care Organizations in Kogi State. Ethnic difference should be managed strategically in such a way that can give room for collective effort on technological innovation in Private Health Care Organizations in Kogi State.
Funding: This study received no specific financial support.   
Competing Interests: The authors declare that they have no competing interests. 
Acknowledgement: All authors contributed equally to the conception and design of the study.

REFERENCES

Backes-Gellner, U., M.R. Schneider and S. Veen, 2011. Effect of workforce age on quantitative and qualitative organizational performance: Conceptual framework and case study evidence. Organization Studies, 32(8): 1103-1121.Available at: https://doi.org/10.1177/0170840611416746.

Clements, P. and T. Spinks, 2009. The equal opportunities handbook: How to recognise. Diversity, Encourage Fairness and Promote Anti-Discriminatory Practice’. London: Kogan Page.

Darwin, J.R. and C.S. Palanisamy, 2015. The effects of workforce divesity on employee performance in Singapore organizations. International Journal of Business Administration, 6(2): 17–29.

Ehimare, O.A. and J. Ogaga-Oghene, 2011. The impact of workforce diversity on organizational effectiveness: A study of a Nigerian bank. Annals of the University of Petroşani, Economics, 11(3): 93-110.

Gupta, R., 2013. Workforce diversity and organizational performance’. In D.N. Muasaa, P. Egondi and E. Mathuvac (Eds), ‘Effects of Primary Factors of Workforce Diversity on Organizational Performance: A Survey of Cargo Freight Stations in Mombasa County’, International Journal of Scientific Research and Innovative Technology, 4(9): 81-96.

Ikon, M.A. and M. Okolie-Osemene, 2017. Workforce diversity and performance of Nigerian breweries Plc’, Enugu, Nigeria. Global Journal of Human Resource Management, 5(7): 62-78.

Jehn, K.A., C. Chadwick and S.M. Thatcher, 1997. To agree or not to agree: The effects of value congruence, individual demographic dissimilarity, and conflict on workgroup outcomes. International Journal of Conflict Management, 8(4): 287-305.Available at: https://doi.org/10.1108/eb022799.

Joseph, D.R. and C. Selvaraj, 2015. The effect of workforce diversity on employee performance in Singapore organizations’. In D.N. Muasaa, P. Egondi and E. Mathuvac (Eds), ‘Effects of Primary Factors of Workforce Diversity on Organizational Performance: A Survey of Cargo Freight Stations in Mombasa County’, International Journal of Scientific Research and Innovative Technology, 4(9): 81-96.

Kalev, K., 2006. Training manual on conflict management, the national unity and reconciliation commission, Republic of Rumanda. National Unity and Reconciliation Commission. Available from https://sswm.info/sites/default/files/reference_attachments/NURC%202006%20Training%20Manual%20on%20Conflict%20Management.pdf.

Kalleberg, A.L. and K.T. Leicht, 1991. Gender and organizational performance: Determinants of small business survival and success. Academy of Management Journal, 34(1): 136-161.Available at: https://doi.org/10.5465/256305.

Kochan, T., K. Bezrukova, R. Ely, S. Jackson, A. Joshi, K. Jehn, J. Leonard, D. Levine and D. Thomas, 2003. The effects of diversity on business performance: Report of the diversity research network. Human Resource Management, 42(1): 3-21.Available at: https://doi.org/10.1002/hrm.10061.

Kokemuller, N., 2011. What is diversity and how does it impact work? Available from http://smallbusiness.chron.com/diversity-impact-work-15985.html.

Lindblad, M., 2018. Causes & effects of diversity in the workplace. Available from http://smallbusiness.chron.com/causes-effects-diversity-workplace-26003.html.

Loriann, R., T.K. Carol and B.P. Molly, 2009. Individual and environmental factors influencing the use of transfer strategies after diversity training. Group & Organization Management, 34(1): 67-89.Available at: https://doi.org/10.1177/1059601108329732.

Muasaa, D.N., P. Egondi and E. Mathuvac, 2017. Effects of primary factors of workforce diversity on organizational performance: A survey of Cargo Freight Stations in Mombasa County’, International Journal of Scientific Research and Innovative Technology, 4(9): 81-96.

Ogbo, A.I., K.A. Anthony and W.I. Ukpere, 2014. The effect of workforce diversity on organizational performance of selected firms in Nigeria. Mediterranean Journal of Social Sciences, 5(10): 231-236.Available at: https://doi.org/10.5901/mjss.2014.v5n10p231.

Ongori, H. and J.E. Agolla, 2007. Critical review of literature on workforce diversity. African Journal of Business Management, 3(2): 072-076.

Opstal, E.V., 2009. Management diversity. The Relationship between the Management of Ethnic Cultural, 3(1): 25-46.

Ostergaard, C.R., B. Timmermans and K. Kristinsson, 2011. Does a different view create something new? The effect of employee diversity on innovation. Research Policy, 40(3): 500-509.Available at: https://doi.org/10.1016/j.respol.2010.11.004.

Otike, F.W., O.B. Messah and F.K. Mwalekwa, 2011. Effects of workplace diversity management on organizational effectiveness: A case study of kenya commercial bank ltd’. European journal of business and management. 3(2): 1-16.

Patrick, H.A. and V.R. Kumar, 2012. Managing workplace diversity: Issues and challenges. SAGE Open Journal, 2(2): 1–15.Available at: https://doi.org/10.1177/2158244012444615.

Pitts, D.W., A.K. Hicklin, D.P. Hawes and E. Melton, 2010. What drives the implementation of diversity management programs? Evidence from public organizations. Journal of Public Administration Research and Theory, 20(4): 867-886.Available at: https://doi.org/10.1093/jopart/mup044.

Rehman, R., M.I. Ullah and M. Abrar-ul-haq, 2015. The influence of individual characteristics on organization performance and job satisfaction. International Journal of Scientific and Research Publications, 5(2): 1-6.

Salant, P. and D.A. Dillman, 1994. How to conduct your own survey. New York: Wiley.

Saxena, A., 2014. Workforce diversity: A key to improve productivity. Procedia Economics and Finance, 11: 76-85.Available at: https://doi.org/10.1016/s2212-5671(14)00178-6.

Timmermans, B., C.R. Ostergaard and K. Kristinsson, 2011. Does a different view create something new? The effect of employee diversity on innovation. Research Policy, 40(3): 500-509.Available at: https://doi.org/10.1016/j.respol.2010.11.004.

Weiliang, E.C., L.K. Mun, T.S. Chern, T.S. Fong and Y.P. Yuan, 2011. The effects of workforce diversity towards the employee performance in an organization’. A research project: Universiti Tunku Abdul Rahman.

Zgourides, G.D., L. Johnson and W.E. Watson, 2002. The influence of ethnic diversity on leadership, group process, and performance: An examination of learning teams. International Journal of Intercultural Relations, 26(1): 1-16.Available at: https://doi.org/10.1016/S0147-1767(01)00032-3.

Views and opinions expressed in this article are the views and opinions of the author(s), Journal of Social Economics Research shall not be responsible or answerable for any loss, damage or liability etc. caused in relation to/arising out of the use of the content.