Index

Abstract

Growth characteristics of Bifidobaceria pseudocatenulatum G4 in low concentration milk medium were studied. During cultivation process, profiles of cell growth, pH changes, organic acids and sugar profile were monitored. A finding showed that final cell concentration (cfumL-1) obtained in 2 and 4% (w/v) milk concentration was two times lower than in comparative media. However, 6% (w/v) skim milk gave a promising media for B. pseudocatenulatum G4 growth. Organic acids production (acetic, lactic, formic and citric acid) by strains was detected in all milk medium concentrations and similar profile were observed. Except for formic acid which actively produced in 2 and 4% (w/v) milk concentration. The accumulation of formic acids was believed due to carbon limitation. As for sugar profile, co-metabolized galactose and glucose were observed in 2, 4 and 6% (w/v) skim milk concentration. Meanwhile high carbon remains occurred in 8 and 10% (w/v) milk concentrations after cultivation period. Among all concentrations, milk with 6% (w/v) concentration showed better support for cells growth without formic acid presence and low carbon remains at the end of cultivation period.

Keywords: Growth, characteristics, Low, concentration, milk, medium, Bifidobacteria, Organic, acids, production, Carbon, profiles, Cultivation

Received: 17 February 2017 / Revised: 31 July 2017 / Accepted: 10 August 2017 / Published: 22 August 2017


1. INTRODUCTION

Increase in demand for probiotic application throughout the world, has led to the development of more specialized probiotic products. Some of the health beneficial effects by as reduction in diarrhea symptom, prevention and suppression of colon cancer [1] lowering of cholesterol [2] and immune system stimulation [3]. Bifidobacteria considered health-promoting bacteria and thus are used as food additives in the dairy industry [4]. Although commercial media are commonly used to cultivate bifidobacteria, the used of these media is constrained by costs and efficiency of cell production as well as able to generate off flavors in the food products [5]. As a result, milk-based media is commonly preferred for cells mass production by industrial. Milk contains carbohydrate, fat, casein protein, vitamin and minerals and it is nutritious growth medium for microorganism. Some microorganisms do not grow well in milk [6, 7] due to insufficient proteolytic ability and therefore require supplementation of peptides and amino acids [8]. Concentration of milk medium ranging from 10% to 12% (w/v) was commonly used to cultivate bifidobacteria [9] however the use of high milk medium concentration was unnecessarily due to carbon remains at the end of cultivation period [10]. To our knowledge, further justifications explained for the concentration used has not been reported in the literature. In this experiment, we would like to focus on the cultivation of B. pseudocatenulatum G4 and B. longum Bb 536 using low milk medium concentration (< 10% w/v) during inoculum preparation. In this study, growth characteristics like growth rate, organic acids as well carbon profiles during the cultivation period were elucidated.

2.  MATERIALS AND METHODS

2.1. Strain and Inoculum Preparation

Potential probiotic bacterium, B. pseudocatenulatum G4 was used throughout the study. The strain was obtained from the Probiotic Laboratory, Faculty of Food Science and Technology, Universiti Putra Malaysia and was preserved at -20 ºC in a mixture of glycerol and TPY broth (Scharlau-Chemie, Barcelona, Spain), at a ratio of 20: 80. Trypticase Phytone Yeast extract medium (TPY) (Scharlau-Chemie, Barcelona, Spain) was used to maintain and propagate this bacterium. Following two successive transfers in TPY broth at 37 °C for 24 h under anaerobic condition using Anaerocult A gas packs (Merck, Darmstadt, Germany), the activated culture was then properly diluted and served as a standard inoculum for all cultivation experiments.

2.2. Cultivation in Schott bottle

The medium was prepared using skim milk (NZMP medium heat skim milk powder, Auckland, New Zealand) in 250 mL SCHOTT DURAN® bottle and yeast extract (Bio Springer, Maisons-Alfort Cedex, France) was prepared in another bottle as a nitrogen source. Both components were autoclaved separately at 121 ºC for 15 min, to avoid browning reaction. The medium was then cooled at room temperature prior to inoculation. Approximately 104 cfumL-1 of cells were inoculated into the separate medium and then incubated at 37 ºC for 24 h in an anaerobic condition. During cultivation, 10 mL of sample was taken every 3 h intervals to measure the growth, ph as well as organic acids and carbon profile of bifidobacteria. TPY (commercial medium), 10% (w/v) skim milk based medium (with 2.2% (w/v) yeast extract supplemented) and yeast extract alone (2.2% w/v) were used as comparative media.

2.3. Chemical Analysis

Organic acids were analyzed using high pressure liquid chromatography (HPLC) according to the method described by Marsili, et al. [11] with some modifications. Briefly, 1 g of sample was added into 0.2 mL of 0.5 M H2SO4 and 8 mL acetonitrile (Fisher Scientific, New Jersey,UK ) and mixed well. The mixture was centrifuged at 5,000 rpm for 10 min and filtered through a nylon membrane filter with a pore size of 0.2 µm. The filtrate (20 µL) was analysed using a 300 × 7.8 mm Aminex HPX-87H HPLC column (Bio-Rad Laboratories, Richmond, USA) held at 34 °C. The HPLC system used in this study was Shimadzu SPD-10AV UV-VIS Liquid Chromatography (Shidmadzu, Kyoto, Japan) with the detector set at 210 nm. The mobile phase used was 0.01 N H2SO4 at a flow rate of 0.7 mLmin-1.

The amount of lactose, glucose and galactose in the samples were also determined using HPLC method as described by Hou, et al. [12] with some modifications. 1 mL of sample was centrifuged at 13 000 rpm for 10 min. The clear fraction was filtered through a 0.2 µm nylon membrane filter and injected into HPLC system (Alliance 2690/5: Waters Corporation, Milford, California), equipped with a 4.6 mm × 150 mm Agilent Zorbax Carbohydrate Analysis column (Agilent Technologies Inc. USA). The mobile phase used was 75% (v/v) acetonitrile (Fisher, HPLC grade). The flow rate was set at 1.4 mLmin-1 at 30 °C temperature with refractive index detector (RI-1371, Waters Corporation, Milford, California).

2.4. Microbiological Analysis

For viable cells enumeration, samples were serially diluted using 0.1% (w/v) sterile peptone water (Merck, Darmstadt, Germany) and plated in duplicate onto TPY agar. The plates were incubated anaerobically in anaerobic jar containing Anaerocult A (Merck, Darmstadt, Germany) at 37 ºC for 48 h. All plates with 30 to 300 colonies were counted and viability was expressed as log10 cfumL-1. The specific growth rate (μ) of the bacterium was calculated using equation as shown below:

μ = 2.303 (log10 X t– log10 X 0) / (tt-t0)

where Xt and X0 are counts (cfumL−1) at time tt and t0, respectively [13].

2.5. Statistical Analysis

The statistical analysis was performed using MINITAB version 14 (Minitab Inc., PA, United States). One-way ANOVA was used to examine significant differences between the normally distributed data. The mean values and the standard deviation were calculated from the data obtained through triplicate trials. A probability of p<0.05 was used as the criterion for statistical significance.       

3. RESULTS AND DISCUSSION

3.1. Growth Activity of in B. pseudocatenulatum G4 Various Skim Milk Concentrations

As shown in Table 1, the growth level of B. pseudocatenulatum G4 was believed to be affected by the concentrations of milk medium used. The cells number of both strains were increased only up to 1 log10 cfumL-1 after 24 h of incubation in 2 and 4% (w/v) milk medium concentration which this resulted in low specific growth rate recorded.

Table-1. Growth of B. pseudocatenulatum G4 and pH changes in Different Concentrations of Skim Milk containing 2.2% (w/v) Yeast Extract.

Skim milk (%)
Cell concentration 
(log10 cfumL-1)
% cells increased after 24 h
μ
pH
Initial
24 h
Initial 
24 h
0
14.67 ± 0.28a
1.35 ± 0.17a
- 71.1 a
-0.54a
6.52 ± 0.01a
6.47± 0.06a
2
4.65 ± 0.17a
5.62 ± 0.06b
17.3 b
0.26b
6.51 ± 0.03a
4.04 ±0.14b
4
4.79 ± 0.19a
5.91 ± 0.15 b
19.0 b
0.28b
6.45 ± 0.11 a
4.01± 0.18b
6
5.04 ± 0.10b
7.15 ± 0.16 c
29.5 c
0.56 c
6.48 ± 0.08 a
4.15± 0.13 c
8
4.92 ± 0.01b
7.17 ± 0.06 c
31.4 d
0.52 c
6.52 ± 0.12 a
4.13 ±0.09 c
10
4.86 ± 0.09a
7.25 ± 0.05c
33.0 d
0.49d
6.55 ± 0.03a
4.15 ± 0.05c
TPY
5.01 ± 0.03 b
7.26 ± 0.11c
31.0 d
0.52c
6.50 ± 0.01a
4.11 ± 0.02c

1 Values are mean ± standard deviation of triplicate independent runs.
*Value in the same column with different letters were significantly different (P<0.05)
μ = Specific growth rate

In contrast, 6% (w/v) milk medium showed a promising medium for bifidobacteria growth when cells growth was comparable to those obtained in 8 and 10% (w/v) milk concentration as well as in TPY medium, respectively. Furthermore, it was also observed that the highest specific growth rate of 0.56h-1 was traced at 6 % (w/v) milk concentration and it was not significant different (p>0.05) with commercial medium, TPY. On the other hand, bifidobacteria strain was failed to grow in control medium (medium containing yeast extract alone) when 3 log10 cfumL-1 cells reduction from initial dose was observed. The acidic condition that accumulated in the medium might influenced the growth performance of the strain used. This can be observed when pH value was noted reduced from pH 6 at the beginning to pH 4 in all milk medium concentrations after 24 h of incubation. Due to lower buffering ability in low milk medium concentrations, the pH value was dropped more compared to higher milk concentrations after 24 h of strain cultivation. Acidification rate was reported to be influenced by the viscosity of the medium which means less concentrated medium resulted in low viscous, leads to lower in buffering capacity and finally increased the rate of pH reduction [14].

3.2. Organic Acids Profile

Organics acids which responsible in reducing pH value in milk medium during cultivation were further analysed. The profile of organic acids that were produced by B. pseudocatenulatum G4 in different milk concentration is presented in Figure 1. In all cases, acetic and lactic acids were secreted at higher amount than citric and formic acids. It is also important to note that citric and formic acids were secreted at only traces amount (< 1.0 gL-1), whilst the concentration of acetic and lactic acids accumulated in the culture was more than 3 gL-1.  However, acetic acid was the major metabolite produced in all cases. It is indeed well known that acetic acid is the predominant metabolite produced by bifidobacteria, resulting in 3:2 mol of acetic and lactic acids of glucose in the medium [15]. In the cultivation using lower milk concentration (2 and 4% (w/v)), the production of acetic and lactic acids by the strain were drastically increased during the initial growth phase and levelled off after about 21 h. Meanwhile formic acid was low at the beginning and detectable as early as 18 h and continued to increase until 24 h, whereas citric acid production was at minimal rate. These results indicate a change metabolism of the bifidobacteria. Our results are consistent with previous reports [16] on the production of organic acids by B. longum 536 when grown in insufficient sugar media content.  It may have assumed that less fermentable sugar and a low intracellular sugar concentration could stimulate formic acid production to produce extra ATP, which is necessary for growth of sugars that are metabolized slowly. These active formic acid production due to the regulation of the shift from homolactic formation to mixed-acid product formation by the allosteric modulation of enzymes competing for pyruvate under anaerobic conditions and their rate of transcription [17]. The presence of formic acid in lower milk concentration might contribute more acidic environment in the medium resulting in cells limiting growth.

Figure-1. Organic acids production by B. pseudocatenulatum G4in different concentration of Skim Milk (w/v) supplemented with 2.2% (w/v) Yeast Extract: a) 2% Skim Milk b) 4% Skim Milk c) 6% Skim Milk d) 8% Skim Milk e) 10% Skim Milk f) TPY broth. Error bars indicate the mean ± standard deviation of three experiments. Symbols represent; (□) Acetic acid, (▲) Lactic acid, (○) Formic acid and (Δ) Citric acid. Error bars indicate the mean ± standard deviation of triplicates. Data points without error bars indicate that the errors were smaller than the size of the symbols.

On the other hand, the drastic increased in acetic and lactic acids production by B. pseudocatenulatum G4 has occurred after 9 h of cultivation in 6, 8 and 10% (w/v) milk medium and continues to increase up to 24 h. The highest level of acetic acid was produced at 24 h of cultivation in 6% (w/v) milk medium (6.78 gL-1) while the lowest in 2% (w/v) milk medium (4.17gL-1). The highest lactic acid was produced AT 24 h in 4% (w/v) milk medium (4.82gL-1) while the lowest was in 2% (w/v) milk (3.09 gL-1). The amount of acetic and lactic acids accumulated at 24 h of cultivation using TPY medium was comparable to those accumulated in 6, 8 and 10% (w/v) milk medium concentration.

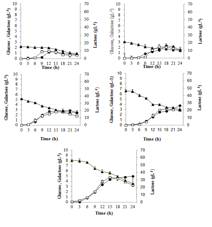
3.3. Changes of Carbohydrates in Skim Milk during B. pseudocatenulatum G4 Cultivation

The carbohydrate changes in different milk concentration inoculated with B. pseudocatenulatum G4 is shown in Figure 2. Generally, B. pseudocatenulatum G4 was presented similar pattern in sugar metabolism activity. Lactose metabolism was gradually decreased over time in lower milk concentration (2 and 4% (w/v)), however progressively declined in higher concentration. Meanwhile, glucose and galactose were detectable as early as 6 h of incubation in all milk concentrations used. Both carbohydrates were observed co-metabolized in 2, 4 and 6% (w/v) milk concentration after 18 h of incubation period for both strains. Nevertheless, co-metabolized galactose was occurred faster than glucose. These findings counter with the presence of formic acid in 2 and 4% (w/v) milk medium which gave an indication that insufficient carbon source in low milk medium and leads to carbon co-metabolize occurred. However, co-metabolized of carbon source in 6% (w/v) milk medium by B. pseudocatenulatum G4 was believed due to highly demand by the cells growth during cultivation process and it is not due to insufficient carbon supply. This can be proved by undetected formic acid during cells cultivation in 6% (w/v) milk medium. The hydrolysis of lactose releases both monosaccharides, glucose and galactose in the medium of which in turn become available substrate for cells growth and metabolism. In the case of lower milk concentration, co-metabolized of both monosaccharides could have occurred during the late lag phase. This may also explain the exhaustion of lactose and galactose and the need of glucose to co-metabolize to sustain the cells growth. On the other hand, it was observed that only galactose been co-metabolized in 8 and 10% (w/v) skim milk concentration while glucose has gradually continue increased, leading to high carbon remains at the end of cultivation period. Additionally, strain does not show any preference for glucose and this parallel with a previous study concerning its behaviour relation to galactose, glucose and lactose uptake on the mixture of monosaccharides [18].

Figure-2. Sugar Metabolism of B.pseudocatenulatum G4 in Different Skim Milk Concentration Supplemented with 2.2% (w/v) Yeast Extract. a) 2% Skim Milk b) 4% Skim Milk c) 6% Skim Milk d) 8% Skim Milk e) 10% Skim Milk. Symbols represent; (▲) Lactose, (□) Galactose, (●) Glucose. Error bars indicate the mean ± standard deviation of three experiments. Data points without error bars indicate that the errors were smaller than the size of the symbols.

In this study, we demonstrated that the uptake of these two monosacharides was occurred in low milk concentrations (2, 4 and 6% (w/v)) but not in high milk concentrations (8 and 10% (w/v)). Biochemical effects on lactose on galactose uptake by bifidobacteria have never been reported elsewhere, however a study showed that lactose caused repression of a glucose-H+ symporter gene, glcP, in B. longum NCC2705, thus explaining the lactose-over glucose preference in that strain [19] and probably in B. pseudocatenulatum G4. This indicate that the used of high concentration of milk medium as commonly practised by researchers (10% (w/v)) could have resulted in high in lactose presence and leading to suppress the glucose uptake and finally causing the accumulation of glucose in the medium. Due to this, the used of high concentration milk medium for bifidobacteria cultivation need to be considered in order to avoid carbon remains even though at the end of cultivation period.

4. CONCLUSION

Our study showed that the used of low milk concentration (2 and 4% (w/v)) is not suitable for bifidobacteria inoculums medium. In addition, the presence of high organic acids such as formic, acetic and lactic in these media caused more acidic condition in the medium and resulted in slow growth rate of the cells. In addition, co-metabolized of monosaccharides (galactose and glucose) indicates insufficient of carbon supply for cells growth in these medium. Meanwhile, the used of high milk concentration (8 and 10% (w/v)), gave a positive result in supporting cells production however, resulted in high carbon residue at the end of cultivation period. As for conclusion, the used of milk concentration at 6% (w/v) to cultivate bifidobacteria strains is appropriate to support cells growth with low carbon residue at the end of cultivation period. However, further optimization process of milk medium need to be carried out to ensure optimum in cells growth with low organic acids production and carbon residue at the of cultivation period as for bifidobacteria alternative inoculum medium.

Funding: This work was supported by Ministry of Science, Technology and Innovation Malaysia under the Science Fund initiatives and Universiti Teknologi MARA, Shah Alam, Selangor.
Competing Interests: The authors declare that they have no competing interests.
Contributors/Acknowledgement: All authors contributed equally to the conception and design of the study.

REFERENCES

[1]          R. Martín, S. Miquel, J. Ulmer, N. Kechaou, P. Langella, and G. B. H. Luis, "Role of commensal and probiotic bacteria in human health: A focus on inflammatory bowel disease," Microbial Cell Factories, vol. 12, pp. 2-11, 2013. View at Google Scholar | View at Publisher

[2]          L. J. Mithchell, T. D. Catherine, J. M. Christopher, and S. Prakash, "Cholesterol lowering with bile salt hydrolase-active probiotic bacteria, mechanism of action, clinical evidence, and future direction for heart health applications," Expert Opinion in Biological Therapy, vol. 13, pp. 631-642, 2013. View at Google Scholar | View at Publisher

[3]          S. K. Mazmanian, C. H. Liu, A. O. Tzianabos, and D. L. Kasper, "An immunomodulatory molecule of symbiotic bacteria directs maturation of the host immune system," Cell, vol. 122, pp. 107-118, 2005.View at Google Scholar | View at Publisher

[4]          A. Abbott, "Microbiology: Gut reaction," Nature, vol. 427, pp. 284-286, 2004. View at Google Scholar 

[5]          J. Marks, Successful probiotic bacteria. In: Handbook of functional dairy products. C. Shortt and J. O’ Brien (Eds). USA: CRC Press LLC.01, 2004.

[6]          F. A. M. Klaver, F. Kingma, and A. H. Weerkamp, "Growth and survival of bifidobacteria in milk," Netherlands Milk and Dairy Journal, vol. 47, pp. 51-164, 1993.View at Google Scholar 

[7]          S. N. Saxena, B. K. Mital, and S. K. Garg, "Effect of casitone and fructose on the growth of Lactobacillus acidophilus and its survival during storage," International Journal of Food Microbiology, vol. 21, pp. 271-276, 1994. View at Google Scholar | View at Publisher

[8]          A. Shihata and N. P. Shah, "Proteolytic profiles of yogurt and probiotic bacteria," International Dairy Journal, vol. 10, pp. 401-408, 2000.View at Google Scholar | View at Publisher

[9]          B. M. Kabeir, A. M. Yazid, M. N. Hakim, K. Ali, S. Anis, and M. Shuhaimi, "Survival of bifidobacterium pseudocatenulatum G4 during the storage of fermented peanut milk and skim milk products," African Journal of Food Science, vol. 3, pp. 150-155, 2009.View at Google Scholar 

[10]        A. K. Khalilah, M. Shuhaimi, M. Rosfarizan, A. Arbakariya, S. Yamin, A. M. Yazid, S. A. Aqlima, and F. A. D. Ahmad, "Optimization of milk-based medium for efficient cultivation of bifidobacterium pseudocatenulatum G4 using face-centered central composite-response surface methodology," BioMed Research International, pp. 1-10, 2014. View at Google Scholar | View at Publisher

[11]        R. T. Marsili, H. Ostapenko, R. E. Simmons, and D. E. Green, "High performance liquid chromatographic determination of organic acids in dairy products," Journal of Food Science, vol. 46, pp. 52-57, 1981. View at Google Scholar | View at Publisher

[12]        J. W. Hou, R. C. Yu, and C. C. Chou, "Changes in some components of soymilk during fermentation with bifidobacteria," Food Research International, vol. 33, pp. 393-397, 2000. View at Google Scholar | View at Publisher

[13]        H. S. Shin, J. H. Lee, J. J. Pestka, and Z. Ustunol, "Growth and viability of commercial bifidobacterium spp in skim milk containing oligosaccharides and inulin," Journal of Food Science, vol. 65, pp. 884-887, 2000. View at Google Scholar | View at Publisher

[14]        Z. Fatemeh, O. Valarie, C. Champagne, G. S. Benjamin, and T. B. Joyce, "Microbial and physical properties of probiotic fermented milk supplemented with lentil flour," Journal of Food Research, vol. 1, pp. 94-109, 2012.View at Google Scholar | View at Publisher

[15]        M. Abelardo and S. Borja, "Selection of a bifidobacterium animalis subsp lactic strain with decreased ability to produce acetic acid," Applied on Environmental Microbiology, pp. 3338-3342, 2012. View at Google Scholar | View at Publisher

[16]        V. D. M. Roel, A. Lazlo, and D. V. Luc, "Short fractions of oligofructose are preferentially metabolized by bifidobacterium animalis DN- 173020," Applied in Environmental Microbiology, vol. 70, pp. 1923-1930, 2004. View at Google Scholar | View at Publisher

[17]        C. R. Melchiorsen, K. V. Jokumsen, J. Villadsen, H. Israelsen, and J. Arnau, "The level of pyruvate-formate lyase controls the shift from homolactic to mixed-acid product formation in Lactococcus lactis," Applied Microbiology and Biotechnology, vol. 58, pp. 338-344, 2002.View at Google Scholar | View at Publisher

[18]        J. H. Kim, H. J. An, D. Garrido, J. B. German, and C. B. Lebrilla, "Proteomic analysis of bifidobacterium longum subsp. Infantis reveals the metabolic insight on consumption of prebiotics and host glycans," PLoS ONE, vol. 8, p. e57535, 2013. View at Google Scholar | View at Publisher

[19]        S. Parche, M. Beleut, E. Rezzonico, D. Jacobs, F. Arigoni, F. Titgemeyer, and I. Jankovic, "Lactose-over-glucose preference in bifidobacterium longum ncc 2705: Glcp, encoding a glucose transporter, is subject to lactose repression," Journal of Bacteriology, vol. 188, pp. 1260-1265, 2006. View at Google Scholar | View at Publisher