Index

Abstract

The aim of this study was to explore the impact of service quality and destination environment on tourist satisfaction in Jordan’s Golden Triangle (Aqaba, Petra and Wadi Rum). A descriptive survey method was adopted in order to conduct the study. A questionnaire-based survey was developed on the basis of literature review and previous studies. Once validity and reliability of the questionnaire established, it was self-administered to a sample comprised 600 foreign tourists visiting the study area. Out of the distributed questionnaires, 374 were returned valid for statistical analysis purpose (response rate = 62.3%). The study underlined a statistically significant impact of service quality as well as its dimensions on tourist satisfaction and a statistically significant impact of destination environment and its dimensions on tourist satisfaction. In relation to differences among tourists in terms of their responses, the results pointed out that there were no statistically significant differences in tourists’ responses in favor of their personal data, except companionship.

Keywords: Service quality, Destination environment, Statistical analysis, Tourist satisfaction, Jordan’s golden triangle, Aqba, Wadi Rum, Petra.

Received: 2 October 2018 / Revised: 6 November 2018 / Accepted: 27 November 2018/ Published: 31 December 2018

Contribution/ Originality

A key contribution of this study is that examining the impact of service quality or destination environment on tourist satisfaction should be carried out by separated models since the simultaneous examination of the impact of these variables on tourist satisfaction will result in a non-significant impact of service quality on tourist satisfaction. Therefore, further research is required to test the impact among these variables.


1. INTRODUCTION

Tourism sector gained increased attention from governments as well as researchers due to the significant influence that this sector has on other aspects in the community. One dominant theme in studying tourism sector is related to the factors that affect destinations to attract tourists. The following paragraphs discuss reasons of studying destination-related aspects or destination product, represented in destination service quality and destination environment, and tourist satisfaction.  

Esu et al. (2010) regarded tourism as one of the most important sectors that affect the economic development for both developed and developing countries. For Jordan, Alshboul (2016) cited the importance of tourism development since it has a significant role in domains such as economic development, community development, in addition to poverty and unemployment alleviation. Therefore, great attention has been paid to study destination product, destination service quality and destination environment, that result in tourist satisfaction and hence tourism activation. It was acknowledged that destinations contain not only services delivered to visitors but also products, which in turn implies unique features of tourism destination.

One line of tourism destination literature highlighted the importance of exploring destination service quality from the perceptions of tourists, either local or foreign tourists (Latiff and Imm, 2015). Another vein of literature discussed destination-related environmental factors such as physical, economic, technological, social, political, as well as cultural factors (Murphy et al., 2000). Most of these studies considered tourist satisfaction as a main theme associated with tourist perceptions toward destination products (Prebensen, 2003).

Destination service quality has been defined as a major tool that can be utilized in order to ensure tourist satisfaction (Aldebi and Aljboory, 2018). For Tsaur et al. (2016) and Khan et al. (2017) destination service quality refers to the difference between tourist’s expected and actual levels of service experience. It was acknowledged that service quality is an outcome represents a psychological state of the customer due to his or her satisfaction or dissatisfaction with service consumption or experience.

On the other hand, destination environment has been conceptualized as a multidimensional variable consisted of numerous factors, henceforth destination factors, such as physical, economic, social, cultural, political and technological factors (Ettinger et al., 2018). Almeida-Santana and Moreno-Gil (2018) regarded these factors as external environment factors that motivate tourists to visit the destination. The authors regarded tourist’s need or wish to visit the destination as internal factors. Similar factors were reported in several studies (Murphy et al., 2000; Chen and Tsai, 2007; Esu et al., 2010; Karolak, 2017).

Tourist satisfaction, simply, could be stated subjectively by the tourist him or herself since he or she is the person who consumed the service delivered and the one who experienced the destination factor. According to Yang et al. (2017) a tourist is satisfied in case that the results of the consumption or experience are positive, and dissatisfied in case of negative results of destination service quality and destination environment factors. Tourist satisfaction was measured in several prior studies by asking tourists to express their feelings or satisfaction degree with dimensions related to service quality and destination environment such as satisfaction with accommodation price, local people, climate, restaurants, employees, environment cleanness, local transportation, and local culture (Yuksel et al., 2010; Song et al., 2011; Ramseook-Munhurrun et al., 2015; Sangpikul, 2017).  

It is hoped that this study will benefit the tourism sector in Jordan, by presenting results that show the impact of some important variables in the tourism sector such as quality of services, environment of destination and satisfaction of tourists. The study comes in response to the decline in the number of visitors in Jordan since 2010, Particularly in Jordan's golden Triangle (Aqaba, Wadi Rum, and Petra). The present study reinforces the effort needed to increase the competitiveness and activation of the tourism sector. On the basis of these arguments, this study aims at investigating the impact of destination service quality and destination environment on tourist satisfaction using a sample consisted of visitors of Jordan's Golden Triangle.    

1.1. Statement of the Problem

Numerous factors were deemed as basic reasons to conduct the current study. First, the intensity of competition between countries in terms of tourist destinations (DiPietro and Peterson, 2017) Perhaps the most important aspect of this competition is how to properly employ the resources of the tourist destination (Lin et al., 2017). Second, satisfaction level of the tourist should be assessed on a continuous basis because knowing tourist’s satisfaction help in recognizing the degree of tourist’s loyalty in terms of the desire to revisit or recommending others to visit this place (Foroudi et al., 2018).

Third,  Jordan's tourism sector witnessed a decline in tourist flows due to different factors. For example, the number of visitors to Petra city in December, 2010 was 62.967 foreign visitors. The number of tourists continued to drop to 42949 in December, 2012 and 26,724 in December, 2014. In December, 2016, the number of visitors rose slightly, reaching 33920 visitors. In the first half of 2017, there were 26,988 tourists. These statistics pointed out that there is continuing decline of visitors to Petra city since 2010 (The Ministry of Tourism and Antiquities, The Statistical Reports, 2010-2017).

Factors that encourage or discourage tourism can be divided into controllable or internal factors such as infrastructure, quality and destination attractions, along with uncontrollable or external aspects (Attaallah and Warith, 2013). Examples of uncontrollable factors include the unstable political situation (Ali and Ali, 2010). In his study on tourism development in Jordan, Alshboul (2016) draws a great attention to the importance of tourism development, particularly for Jordan by virtue of its considerable role in the enhancement of economy, community development, poverty as well unemployment alleviation. Orieqat and Saymeh (2015) as well as Kreishan (2014) emphasized the significant addition of tourism sector to Jordan's Gross Domestic Production (GDP).

Hence, there is a pressing need to determine how Jordan's authorities can activate tourism sector to gain an advantageous position and benefit from tourism outcomes. This need was supported by previous recommendations of studies called for further studies on tourism products in order to investigate facets like services and infrastructure (Harahsheh, 2002). A review of the literature showed numerous factors that can be utilized in order to motive tourism attractions. According to Murphy et al. (2000) quality is one critical aspect discussed in the tourism literature as a mean used by different countries to flag their tourism industries. Concurrently, the authors deemed destination environment as a major factor in the study of tourists' destination experience.

Finally, studies that investigated the current variables are few, according to the researcher's best knowledge, especially those that dealt with the golden triangle in Jordan. On the basis of these arguments, this study aims at investigating the impact of destination service quality and destination environment on tourist satisfaction using a sample consisted of visitors of Jordan's Golden Triangle.    

1.2. Study Objectives  

A central goal of this study is to explore the influence of destination product, i.e., destination service quality and destination environment on tourist satisfaction in Jordan using Jordan's golden Triangle (Aqaba, Wadi Rum, and Petra) as a study field. In particular, the study seeks to achieve the following objectives:

1.3. Study Importance

The importance of the current study stems from its academic and practical implications. One of the practical implications of this study is to clarify the impact of service quality and destination-related factors on tourist satisfaction, which in turn play an important role in the activation of Jordan tourism. There is no doubt that tourism is critical factor in the economic development of any country (Esu et al., 2010). One of the most important positive effects of the tourism sector that it contributes to the alleviation of unemployment in the country (Martín and Del Bosque, 2008) which is the problem of Jordan. Therefore, improving the tourism sector's output and stimulating it will enhance economic growth in Jordan.

The field of the study, which is Jordan's Golden Triangle, boosts the significance of the current study since it represents a hot space on Jordan's tourism map. Moreover, the target sample of this study, which is foreign tourists who visit Jordan's Golden Triangle, establishes another aspect of study importance, due to their satisfaction role in tourism development. On the other hand, this study encourages future researchers to conduct studies as they contribute to the development of the theoretical and practical framework of the relationship between the quality of services, the environment of the tourist destination and the satisfaction of tourists.

1.4. Study Questions

In light of the problem statement of this study, which can be formulated in the following question: What is impact that destination service quality and destination environment have on tourists satisfaction?. This study is driven by three key questions:

1.5. Study Hypotheses

This study presumed four main hypotheses related to the impact of both destination service quality and destination environment on tourist satisfaction, the impact of each of these independent variables on tourist satisfaction, and the impact of the dimensions of destination service quality on tourist satisfaction as well as the impact of the dimensions of destination environment on tourist satisfaction.

H01:      There is no a statistically significant impact of destination service quality and destination environment on tourist satisfaction at α ≤ 0.05.
H02:      There is no a statistically significant impact of destination service quality on tourist satisfaction at α ≤ 0.05.
H02-1: There is no statistically significant impact of satisfaction with destination staff on tourist satisfaction at α ≤ 0.05.
H02-2: There is no statistically significant impact of satisfaction with accommodations on tourist satisfaction at α ≤ 0.05.
H02-3: There is no statistically significant impact of satisfaction with the trip on tourist satisfaction at α ≤ 0.05.
H03:       There is no a statistically significant impact of destination environment on tourist satisfaction at α ≤ 0.05.
H03-1: There is no a statistically significant impact of physical factors on tourist satisfaction at α ≤ 0.05.
H03-2: There is no a statistically significant impact of economic factors on tourist satisfaction at α ≤ 0.05.
H03-3: There is no a statistically significant impact of soci-cultural factor on tourist satisfaction at α ≤ 0.05.
H03-4: There is no a statistically significant impact of technological factors on tourist satisfaction at α ≤ 0.05.
H03-5: There is no a statistically significant impact of political factors on tourist satisfaction at α ≤ 0.05.
H04:      There are no statistically significant differences between tourists' responses in favor of personal characteristics (gender, age, education, nationality, companionship and number of visits) at α ≤ 0.05.

1.6. Study Model

Figure 1 portrays the conceptual model of the study. It shows the independent and dependent variables used in the study along with the potential relationships postulated between these variables.

Figure-1.1. Research model

Source: Based on Murphy et al. (2000), Chen and Tsai (2007), Chen and Chen (2010), Yuksel et al. (2010), Song et al. (2011), Qu et al. (2011), Al-Ababneh (2013), Ramseook-Munhurrun et al. (2015), Tsaur et al. (2016), Jani and Nguni (2016), Prayogo and Kusumawardhani (2016), Matsuoka et al. (2017) , Sangpikul (2017) and Molina and Ochoa (2018).

1.7. Study Limitations

1.8. Operational Definitions

2. THEORETICAL FRAMEWORK AND PREVIOUS STUDIES

2.1. Overview

A literature review was conducted in order to build the theoretical frame of the study, in which definitions as well as dimensions of study variables were identified and conceptualized. Moreover, related previous studies were reviewed, summarized and cited. On the basis of these studies the researcher was able to develop the study tool, i.e., the questionnaire. In fact, a key benefit of chapter two is that it helps the researcher to discusses the results of the study. Chapter two comprised three major headlines: destination service quality, destination environment, and tourist satisfaction, and hence, six subtitles: destination service quality definitions and dimensions, destination environment definitions and dimensions and tourist satisfaction definitions and dimensions.    

2.2. Theoretical Framework

The following two sections underline destination service quality and destination service quality dimensions.  According to Murphy et al. (2000) tourist perceptions of destination service quality and destination environment could be used to explore the destination experience of tourists. That is, these two factors can be used to predict tourist satisfaction resulted from his or her perceptions about the destination. 

Quality was defined within the tourist destination environment and customer satisfaction as a tool that makes the tourist satisfied with the destination environment (Aldebi and Aljboory, 2018). Tsaur et al. (2016) defined destination quality as tourists perceptions of destination performance to meet their needs and expectations. Khan et al. (2017) highlighted some definitions of quality of service. One can note from those definitions that some researchers define service quality as an outcome of the comparison between the expected level and the actual level of service performance.

The researcher noted that some researchers define customer satisfaction in the same way, which means that there is confusion between the two concepts, in terms of defining both terms as the outcome of the comparison or the difference between the expected level and the actual level of service performance.

Service quality can be judged or defined by the gap theory as the difference between the level of service that the client expects and what he actually receives (Parasuraman et al., 2002). This means that the outcome of the comparison relates to the definition of service quality rather than customer satisfaction. On the basis of the above-mentioned definitions, the researcher adopted (Aldebi and Aljboory, 2018) definition of quality of service, in which this term was deemed as a tool that could be used to achieve customer satisfaction.

In their study on the impact of tourism service quality on tourist's overall satisfaction, Latiff and Imm (2015) used 15 dimensions to measure tourism service quality, which were food and beverage quality, accommodation service quality, hygiene, hospitality, tourist facilities, price and economic value, entertainment, quietness, convenience, communication, security, transportation, airport service, weather, and taxi service quality.

Al-Ababneh (2013) explored the relationship between service quality and tourist satisfaction. He used three main dimensions to assess destination service quality: facilities, accessibility, and attractions. Facilities quality was determined based on quality of restaurants, souvenir and tour guide. Accessibility quality was appraised on the basis of maps, parking, and toilet.

On the other hand, destinations service quality was judged by modern hotels, comfortable facilities, employees willing to help customers (Prayogo and Kusumawardhani, 2016) accommodation service quality, travel services such as transportation, food and lodging services, shopping services, cleanness of destination, restful and scenery atmosphere (Murphy et al., 2000; Chen and Tsai, 2007; Latiff and Imm, 2015; Jani and Nguni, 2016; Tsaur et al., 2016).

Examples of items used by Matsuoka et al. (2017) to measure destination service quality involve “Tourist’s perception of cost benefit of  travel”, “Tourist’s perception destination’s restaurants”, “Tourist’s perception destination’s atmosphere” and “Tourist’s perception of souvenirs”. Many studies used SERVQUAL to measure service quality, this scale includes five dimensions: Tangibles, reliability, responsiveness, assurance and empathy (Parasuraman et al., 2002; Gustafsson et al., 2005). The current study used 9 items to assess the quality of service in the destination environment based on previous studies, such as “My reservation was handled efficiently” and “Tourism services cost reasonable prices”. 

The environment of the tourist destination has been defined as a place where the tourist spends time to enjoy nature, attend ceremonies, historical places, or learn about the local cultural environment or any other features of the destination. The features of the destination have an influence tourists attraction (Seyidov and Adomaitienė, 2016).

Chen (2018) sated that what brings a tourist to the destination is actually more than one factor. According to Ettinger et al. (2018) the environment of destination and its sub-environments such as the economic environment and socio-cultural environment are the most important elements in the context of tourism, as these environments determine the degree of quality perceived by tourists as well as the degree of satisfaction of tourists.
Almeida-Santana and Moreno-Gil (2018) divided the motives of tourists to visit a tourist destination into two types: internal motives and external motives. While the internal motives indicate the desire of the tourist to visit the place, the external motives related to the environment of the tourist destination, which  includes historical, cultural and natural attractions. Kotler et al. (1996, cited in Murphy et al. (2000)) identified six factors of destination environment: demographic, economic, natural, technological, political, and cultural factors. Karolak (2017) indicated that destination environment can be categorized into six dimensions: economic, social, cultural, environmental, and political dimensions.

Murphy et al. (2000); Chen and Tsai (2007) and Esu et al. (2010) categorized destination environment into six factors: (1) Physical factors (e.g., scenic landforms, sea, sun and sand, flora and fauna, and good weather). (2) Economic factors (e.g., currency exchange, and market behavior and pricing). (3) Technological factors (e.g., technology infrastructure, use of computer technology, and level of communication). (4) Social factors (e.g., friendliness of the local people, the language spoken, urban layout, population density). (5) Political factors (e.g., political stability, government policy on issues such as human rights and democracy, treatment of tourists in issues such as visa application, industry support, and entry conditions). (6) Cultural factors (e.g., authentic local culture, local customs, cultural attractions, and festival activities). The following paragraphs address the factors used in the present study as factors for the environment of destination, which are physical factors, economic factors, socio-cultural factors, technological factors, and political factors.

The physical environment is defined as the environment that includes the natural ingredients and the artificial components that man has made (Mihalič, 2000). Examples of the natural environment components are scenic landscapes, species diversity, natural water availability, and fresh air. The artificial environment, such as buildings constructed by man and any additions made by the human in order to improve the environment of the destination. Five items were used in this study to evaluate the physical factors of the destination environment: “the destination has an attractive natural environment”, “I use high quality accommodations”, “I have a variety of entertainments”, “The destination has an attractive tourism events/festivals” and “The destination has a satisfactory level of cleanliness” (Murphy et al., 2000; Chen and Tsai, 2007; Esu et al., 2010; Mohammed and Hamdi, 2017).

Some researchers interested in studying the environment of tourist destination divide the factors of this environment into two types: economic factors, and non-economic factors. Economic factors include inflation, exchange rates, per capita income in the host country, relative price index, price level in the tourism sector, travel costs, transport costs in the host country and costs of living in the host country (Ngugi, 2014). In the current study, four factors were used to evaluate the economic environment: good value money of services, reasonable accommodation cost, reasonable transportation cost, and currency exchange is available. 

 The socio-cultural aspects within the tourist destination are of great importance because they put the tourist in a different cultural environment from his or her culture, which includes new customs and values. The importance of the socio-cultural dimension is not less than the rest of the dimensions, such as economic and technological dimensions, as the vast majority of tourists are interested in learning about the cultures of countries. This was confirmed by Estrada (2018) who concluded that the cultural identity of the host country is a key factor for the tourist attraction to the tourist destination. In the same context, Molina and Ochoa (2018) pointed out that the first reason for Chinese tourism to Mexico is to look for other cultures, not beaches and landscapes. Furthermore, one study conducted by Abulibdeh and Zaidan (2017) indicated that there were differences between three groups of Chinese, Arab and English-speaking tourists in terms of focusing on the cultural aspects of the host country.

Technological factors are one of the important factors in attracting international tourists. These factors represented by the technological infrastructure used in the tourism destination environment, both in communications and services such as the use of modern technology in transportation and the use of communication devices and the Internet. Indicated that ease, quick and cheap travels are results of using advanced technologies as well as information communication technology such using mobile phones (Thitthongkam and Walsh, 2011). In the current study, four items were used to assess technological factors of destination environment: “good quality technology infrastructure”, “smartphones can be used to help with trip planning”, “local residents are constantly connected”, and “tourists can use social media”.

Examples of political factors mentioned by researches include absence of rights violence, safety, good relation between the foreign and host country, Visa, and political stability (Ngugi, 2014). Gregorić (2014) reported the following political factors: instability, inside struggle between parties, legal regulations, cooperation between public and private sectors, and Visa system. For the current study, political factors of destination environment were measured using four items related to political stability, tourist safety, place security and good government policy on issues such as human rights.

This section aims to present the concept of tourist satisfaction and the most important dimensions of tourist satisfaction found in previous studies and used in the current study.

From a gap perspective, customer satisfaction was defined as the difference between customer's expectations of what the service will be before consumption and his or her perceived perception after consumption of the service (Chen and Chen, 2010). According to this definition it can be said that the satisfaction of a tourist reflects expectations of the tourist before the trip and experiences after the trip. If the tourist finds that his or her expectations are correct, he or she is satisfied. However, if the result is below the level of his expectations, the tourist will inevitably be dissatisfied (Yang et al., 2017).

Guo et al. (2017) indicated that tourists assess satisfaction through their perceptions regarding the specifications of the product or service they receive. In order to achieve customer satisfaction, organizations seek to meet his or her needs in the appropriate manner. The most important way to achieve this goal is to provide customers with high quality goods and services (Adams et al., 2016). Cengiz (2010) stated that the definition of satisfaction includes three main elements: the goal that the client seeks to reach, and the process of assessing the extent to which this goal is achieved through comparison with another situation or situation using the means of evaluation and finally the evaluation result that confirms or denies the achievement of the goal. For Kotler (2000) customer satisfaction is related to customer’s feelings of happiness or unhappiness due to comparison between the accepted and actual performance of product or service. Defined tourist satisfaction as tourist feeling or positive perception of the pleasure when he or she experiences  services and events in the destination environment.

In the light of the above definitions, the researcher defines customer satisfaction as a result of product or service evaluation after consumption that leads to feeling of happiness. In the context of tourist destination environment, tourist satisfaction describes tourist behavioral and psychological state in response of his or her perceptions of products and services.

Several dimensions of satisfaction were found in the literature. The reason for using these different dimensions was due to the nature of settings where these studies were conducted. Examples of customers covered by studies include: service receivers in the public sector (Kim et al., 2018) patients in clinics (Bible et al., 2018) employees in business organizations (Samani et al., 2018) customers using mobile banking applications (Al-Otaibi et al., 2018) patients in emergency units (Chang et al., 2018) tourists visiting tourism destinations (Pawaskar and Goel, 2017) students of universities (Uddin et al., 2017) and customers mobile telecommunication companies (Lai and Nguyen, 2017). Since the interest of the current study is limited to the satisfaction of tourists, the following sections relate to this type of satisfaction only.

The satisfaction of the client or tourist can be assessed in the context of the tourism environment by looking at the degree of satisfaction with the following elements: overall satisfaction as well as satisfaction with local transportation, climate, local food, local culture or attractions, cost of living, local people (Sangpikul, 2017). Examples of items used to assess tourist satisfaction include “I am happy about my decision to visit”, “I believe I did the right thing when I chose to visit …” and “Overall, I am satisfied with decision to visit …” Kouthouris and Alexandris (2005); Gustafsson et al. (2005) and Yuksel et al. (2010)“Overall assessment and a sense of happiness due to meeting needs and desires” (Song et al., 2011; Ramseook-Munhurrun et al., 2015).

2.3. Previous Studies

This section contains previous related studies carried out on similar variables of the currents study.

The aim of the study was to examine the impact of two components of destination product, i.e., destination quality and destination environment, on tourists' perceptions. The study used the descriptive analytical method in order to achieve its goals. The required data was extracted from surveys conducted by a tourism destination association with visitors of a Canadian destination called Victoria in 1994. The sample consisted of 610 surveys. The results of the study showed that there were positive influences of positive experience of destination environment and infrastructure service on tourists' perceptions of trip quality and value. On the other hand, the results found that trip quality and value positively influence tourists' intentions to return.

The study aimed at verifying the possibility of applying SERVQUAL model used to measure service quality in the prediction of satisfaction and behavioral intent in the sport tourism sector. The study used the descriptive analytical method and collected the data by means of a questionnaire distributed to a sample of 287 participants. Two sets of data were collected: the first one was before participating in the tourism program, and the second one was after the completion of the program. After calculating the gap between the two groups, the study found that  SERVQUAL model was ineffective in predicting customer satisfaction and behavioral intent.

The study aimed at identifying the impact of service quality on tourist satisfaction. The study used the descriptive analytical method and collected data from a sample of tourists visited Petra consisted of 250 tourists based on a questionnaire. The research data was collected from October 2012 until January 2013. Out of the distributed questionnaires, 188 questionnaires were returned complete and usable for data analysis. The study found a significant and positive impact of service quality dimensions (destination facilities, destination accessibility, and destination attractions) on tourist satisfaction.

The aim of this study was to test the impact of economic, socio-demographic, and political factors on the internal demand of tourism in Kenya. Data were collected from the participants using a questionnaire distributed to a sample consisted of 400 tourists.  The results showed that economic (price of tourism, cost of travel, openness of trade, and the effect of word of mouth), socio-demographic (income of family, age, and operational state), and political factors and destination features on the internal demand of tourism in Kenya. On the basis of these results, the study regarded economic, socio-demographic and political factors as determinants of the internal demand of tourism.   

The purpose of the study was to explore the relationship between tourism service quality and tourist satisfaction. The study collected the required data using a questionnaire distributed to 199 foreign tourists. The findings of the study showed a significant relationship between tourism service quality (accommodation service quality, hospitality, entertainment, transportation, taxi service quality) and the overall satisfaction of tourists. On the other hand, the results found a significant relationship between tourist's overall satisfaction and their intention to revisit as well as willingness to recommend the destination to their relatives and friends.

The aim of the study was to explore the impact of marketing mix on tourism in Jordan in terms of the strongest factors of marketing mix that affect tourist satisfaction. The required data was collected using a questionnaire from a sample consisted from 300 visitors to different sites in Jordan such Petra and Jarash. The results of the study showed a high level of marketing mix elements employed by Jordanian destinations, and a high level of satisfaction among tourists. Moreover, the study indicated that product and promotion as one element of marketing mix has the strongest impact on tourist satisfaction.

The aim of this study was to identify factors affecting foreign tourists choice destination, to categorize the degree of the impact of these factors, and to propose new solutions to improve foreign tourist attraction. The study used a questionnaire distributed to a sample comprised 577 tourists to collect data. The results found that subjective standards (perceptions of individuals or groups), perceived value of tourist ( a result of tourist evaluation of products or services), marketing strategies (plans, policies and activities used to satisfy tourists), informative strategies (expansion of human knowledge in favor of destination image), and tourism environment (natural, economic, social, and human factors) have a significant positive impact on the decision to choose the tourism destination.  

The study aimed at identifying the effect of some variables on the satisfaction of tourists who visit the city of Petra. The study used a descriptive analytical method to achieve study purposes. A questionnaire was used to collect data from tourists. Six hundred questionnaires and 568 were retrieved. The results showed that restaurants, accommodations, eco-awareness, and transportation have a significant influence on tourist’ satisfaction.  

The study aimed to test the impact of perceived quality on the satisfaction and loyalty of tourists in one of the tourist destinations in Japan. The study used descriptive analytical methods and collected data using a questionnaire from a sample consisted of 436 tourists who visited the region in 2015. The results of the study showed that perceived quality has a positive impact on tourist satisfaction, which in turn affects the loyalty of tourists.

3. STUDY METHODOLOGY

3.1. Overview

The present chapter includes a presentation of the design of the study used to achieve its objectives, the society and sample of the study, the study tool, the validity and consistency of the study tool, the statistical procedures used to describe the characteristics of the sample of the study, assess respondents' answers and to test study hypotheses.

3.2. Study Design

This study used the descriptive survey method since it collect the required data from the respondents by a questionnaire in order to acquire descriptive and analytical data that can be utilized to describe respondents’ attitudes and behaviors and to explore relationships between variables (Crowther and Lancaster, 2005).

3.3. Study Population and Sample

The population of the research consists of foreign tourists visit Jordan's golden Triangle (Aqaba, Wadi Rum, and Petra) in December, 2017. However, the target population of this study is unknown, since there was no statistics available on the number of tourists who visit Aqaba, Wadi Rum, and Petra in December, 2017. Sample size, in general can be determined either the researcher face known or unknown target population. There are numerous formulas that can be used in order to calculate sample size in case of unknown target population. According to Cochran (1977) and Yamane (1967) the minimum size of the sample is 384 and 388 participants, respectively. The sample size used in this study was 600 tourists.  Out of the distributed questionnaires, 374 questionnaires were returned complete and valid for data analysis, with a response rate equals 0.623.    

3.4. Study Tool: The Questionnaire 

The present study was based on a questionnaire developed by reference to previous studies (Murphy et al., 2000; Parasuraman et al., 2002; Gustafsson et al., 2005; Kouthouris and Alexandris, 2005; Chen and Tsai, 2007; Esu et al., 2010; Thitthongkam and Walsh, 2011; Al-Ababneh, 2013; Ngugi, 2014; Latiff and Imm, 2015; Ramseook-Munhurrun et al., 2015; Adams et al., 2016; Jani and Nguni, 2016; Prayogo and Kusumawardhani, 2016; Tsaur et al., 2016; Khan et al., 2017; Mohammed and Hamdi, 2017; Pawaskar and Goel, 2017) to collect data from the study sample. The questionnaire was designed to collect data according to the five-point Likert scale, which includes the following points: “strongly agree”, ”agree”, “neutral”, “disagree”, and “strongly disagree”. These scores are encoded using 1 to 5 digits, where 5 indicates the highest estimate and 1 is the lowest estimate of the item. 

The questionnaire consisted of four sections:

3.5. Validity and Reliability

3.5.1. Validity

Validity has been defined in terms of two major pillars: measurement accuracy and performance criteria. The first one refers to the degree of accuracy of measuring what the scale supposed to measure, and the second represents the acceptance of accuracy degree in comparison of a specified criterion (Mulia, 2014). For the current study, face validity was carried out based on two methods. First, a literature review in order to identify relevant items that were used in previous studies to evaluate the same dimensions used in the current scale. Second, A panel of academic and field experts from the Jordanian universities and Aqaba Special Economic Zone Authority was consulted to assess the validity of the questionnaire. On the basis of their advice, the initial version of the study instrument was modified by deleting, substituting and rewording some items. Appendix 1 contains a list of academic and field experts who made a significant contribution by evaluating the questionnaire.

3.5.2. Reliability

Cronbach's alpha coefficient was used to test the reliability of the questionnaire. The rationale behind using this coefficient is to depict the internal consistency of the questionnaire, i.e., to determine the extent to which the items are positively related to each other (Ngugi, 2014). Cronbach's alpha coefficients were calculated based a pilot study conducted on 20 tourists. The results of the pilot study can be seen in Table (3.1). In accordance with Sekaran and Bougie (2011) Cronbach's alpha coefficient of the current scale (α = 0.875) was deemed good since it was more than 0.70. Cronbach's alpha coefficient for each construct was greater that 0.70; it was 0.882 for destination service quality, 0.844 for destination environment, and 0.862 for tourist satisfaction.    

Table-3.1. Cronbach's alpha coefficient

Constructs
Cases 
No. of items
Cronbach's alpha
Destination service quality 
20
9
0.882
Destination environment 
20
20
0.844
Tourist satisfaction 
20
9
0.862
Scale 
20
38
0.875

3.6. Statistical Analysis Procedures 
The current study used the following method of statistical analysis for the purpose of describing sample profile, the relative importance of participants responses on the study questionnaire, and hypotheses testing. IMB SPSS Version 19 and IBM Amos Version 22 were used to carry out these analysis:

  1. Cronbach's alpha coefficient to test the questionnaire reliability.
  2. Frequencies and percentages to categorize respondents based on their personal data.
  3. Means and standard deviation to describe participants responses on questionnaire items.
  4. Normality test to evaluate the distribution of study data.
  5. Path analysis to test the hypotheses of the study. It was conducted using the structural equation modeling (SEM), which is a statistical procedure used to investigate relationships among variables. Using this procedure, hypotheses are tested based on the critical value (CR). The value of CR should be greater than 1.96 with a significant value less than 0.05. The estimate represents the extent to which an independent variable affects the dependent one.
  6. The analysis of variance (One-way ANOVA) to detect if there are statistically significant difference among tourists in terms of their responses that can be attributed to their personal characteristics (gender, age, education level, nationality, companionship and number of visits).

4. DATA ANALYSIS AND RESULTS

4.1. Overview

Chapter four presents an analysis of the data and the findings. Section one shows the results of respondents classification according to their personal characteristics. The second section highlights the descriptive statistics of respondents' responses. Finally, the third chapter presents hypotheses testing, in which prerequisites of regression analysis and the correlation matrix of the variables were brought out.  

4.2. Respondents’ Demographic Description

Frequencies and percentages were used in order to categorize the sample of the study based on the personal data of the respondents: gender, age, education, nationality, companionship and number of visits. Table 2 highlighted the distribution of respondents based on their gender, age, and education. The results in Table (4.1) showed that the 56.4% (n = 211) of the respondents were males and 43.6% (n = 163) were females. Out of the tourists, 34% (n = 127) aged between 31 to 40 years. The age of the category (41 and 50 years) came to 24.9% (n = 93), followed by those whose age is more than 50 years with a percentage reached 23.8% (n = 86). The lowest age group in the sample was the (20-30) category, with 17.4% (n = 65). In relation to education, the results underlined that the majority of respondents have a bachelor's degree, with 43.9% (n = 164), 34.5% (n = 129) have a diploma degree, 13.4% (n = 50) received high education, and only 8.3% (n = 31) of the respondents have a high school degree. The results show that tourists visiting Jordan are well educated. The percentage of those with a bachelor's degree or higher was 57.3 % (n = 214). On the other hand, The percentage of tourists in the age group (31-50) is the largest where it reached 58.95 (n = 220).

Table-4.1. Distribution of tourists based on their gender, age and education

Personal characteristics 
Gender 
Age 
Education 
n
%
n
%
n
%
Male
211
56.4
Female
163
43.6
20-30 years
65
17.4
31-40 years
127
34
41-50 years
93
24.9
More than 50 years
86
23.8
Primary 
-
High school
31
8.3
Diploma
129
34.5
Bachelor
164
43.9
High education
50
13.4
Total
374
100%
374
100%
374
100%

The results shown in Table (4.2) indicated that the majority of the respondents came with a tour group (66.3%, n = 248), with their friends (21.1%, 79), with family (11.2%, n = 42), and single (1.3%, n = 5). In terms of number of visits, the results showed that most of the respondents visit Jordan for the first time (89.3%, n = 334). The percentage of those visiting Jordan for the second time reached 10.7% (n = 40).

Furthermore, Table (4.2) displayed the distribution of the respondents based on nationality, companionship and number of visits. The majority of respondents were from Asia, 15% (n = 250), 16.6% (n = 62) from Europe, and 14.2% (n = 53) from America, and 2.4% (n = 9) from Australia. According to the Statistical Report (2016) issued by The Ministry of Tourism and Antiquities, the number of tourists from Asia was the largest (n = 58187), followed by tourists from Europe (n = 469436), then from America (n = 19553). The lowest number of visitors was from Africa (n = 581).    

Table-4.2. Distribution of tourists based on nationality, companionship and Number of visits

Personal characteristics
Nationality 
Companionship 
Number of visits
n
%
n
%
n
%
African 
-
-
American 
53
14.2
Arabian 
-
-
Asian 
250
66.8
Australian
9
2.4
European 
62
16.6
Single 
5
1.3
Family 
42
11.2
Friends 
79
21.1
Tour group 
248
66.3
First time visit
334
89.3
Repeated visit 
40
10.7
Total
374
100%
374
100%
374
100%

4.3. Descriptive Statistics

Means and standard deviations were calculated in order to evaluate the relative importance of respondents’ responses on the questionnaire items based on the following formula: Length of the category = Upper limit – Lower limit / No. of importance level

=   5 – 1 / 3 = 1.33.

Therefore, relative importance was regarded as “low” where mean ranged from 1 to 2.33, “moderate” where mean values ranged from 2.34 to 3.66, and deemed as “high” if mean values fall between 3.67 and 5.  
Table (4.3) showed that the overall relative importance of destination service quality was high (M = 3.75). Specifically, the items Q5 and were ranked first (M = 3.80, SD = 0.658 and 0.679) with a high importance. This means that the two factors used by the tourist in assessing destination service quality is “Level of services at accommodations is appropriate” and “Charges on my account were clearly explained”.

Table-4.3. Relative importance of destination service quality items (n=374)

Items
Mean
SD
Rank
Importance
Q5
3.8
0.658
1
High
Q6
3.8
0.679
1
High
Q4
3.79
0.693
3
High
Q8
3.78
0.577
4
High
Q7
3.78
0.644
4
High
Q1
3.75
0.742
6
High
Q9
3.74
0.63
7
High
Q3
3.69
0.808
8
High
Q2
3.63
0.837
9
Moderate
Average
3.75
0.721
-
High

The results showed in Table (4.4) described the relative importance of the destination environment items. The overall importance of destination environment was high (M = 3.84). It was revealed that item Q28 “Satisfactory level of safety and security” appeared in the first place (M = 3.97, SD = 0.476) with a high importance, followed by item Q26 “Destination is a politically stable country” in the second place (M = 3.92, SD = 0.459) with a high degree of importance, then item Q18 “Local people are friendly” in the third place (M = 3.88, SD = 0.503) with a high degree of importance. In the fourth place, there were two items; Q21 “Attractive local culture and customs” (M = 3.87, SD = 0.459) and Q13 “The destination has a satisfactory level of cleanliness” (M = 3.92, SD = 0.503).

Table-4.4. Relative importance of destination environment items (n=374)

Items
Mean
SD
Rank
Importance
Q28
3.97
0.476
1
High
Q26
3.92
0.459
2
High
Q18
3.88
0.503
3
High
Q21
3.87
0.5
4
High
Q13
3.87
0.5
4
High
Q23
3.87
0.502
6
High
Q19
3.87
0.495
6
High
Q20
3.87
0.495
6
High
Q25
3.86
0.548
9
High
Q16
3.84
0.52
10
High
Q12
3.83
0.522
11
High
Q27
3.83
0.529
11
High
Q17
3.83
0.532
11
High
Q29
3.82
0.524
14
High
Q24
3.82
0.529
14
High
Q15
3.82
0.594
14
High
Q10
3.82
0.534
14
High
Q22
3.81
0.537
18
High
Q14
3.79
0.626
19
High
Q11
3.66
0.68
20
Moderate 
Average
3.84
0.411
-
High

Interestingly, four items were ranked fifth, Q23 “Smartphones can be used to help with trip planning” (M = 3.87, SD = 0.502), Q19 “Pleasant attitudes of the local people” (M = 3.87, SD = 0.495), Q20 “Interesting cultural heritage attractions” (M = 3.87, SD = 0.495), and Q25 “Tourists can use social media” (M = 3.87, SD = 0.548). Item Q16 was ranked tenth (M = 3.84, SD = 0.520). in the last rank with a moderate importance, there was item Q11 “I have a variety of entertainments” (M = 3.87, SD = 0.680). In fact, This element was the only one that is of medium importance from the point of view of tourists.

In fact, level of security and safety, political stability of Jordan, friendliness of local people, attractiveness of local culture and customs as well as the satisfactory level of destination cleanliness were the five key factors by which tourists evaluate the destination environment.

Concerning tourists satisfaction, the results in Table (4.5) indicated that the item Q31 “This experience (visit) is exactly what I need” was ranked first (M = 4.07, SD = 0.584), followed by item Q34 “I am satisfied with tour operators” (M = 3.96, SD = 0.556), and Q32 “This was a pleasant visit in comparison with similar visits” (M = 3.92, SD = 0.499), then item Q33 “My choice to visit the destination was a wise one” in the fourth place (M = 3.90, SD = 0.536). Q38 “Overall, I am satisfied with my decision to visit the destination” was ranked in the fifth place (M = 3.87, SD = 0.500), followed by two items Q35 “I am satisfied with hotels” and Q30 “I have good feeling about the destination” in the sixth place (M = 3.84, SD = 0.520 and SD = 0.510, respectively). Despite of its high importance, item Q37 was appeared in the last place “I am satisfied with restaurants” (M = 3.81, SD = 0.523). 

Table-4.5. Relative importance of tourists satisfaction items (n=374)

Items
Mean
SD
Rank
Importance
Q31
4.07
0.584
1
High
Q34
3.96
0.556
2
High
Q32
3.92
0.499
3
High
Q33
3.9
0.536
4
High
Q38
3.87
0.5
5
High
Q35
3.84
0.52
6
High
Q30
3.84
0.51
6
High
Q36
3.81
0.523
8
High
Q37
3.71
0.646
9
High
Average
3.88
0.501
-
High

4.4. Normality and Collinearity 

Kolmogorov-Smirnov, skewness and kurtosis, tolerance and the Variance of Inflation (VIF) statistics were calculated in order to investigate normality distribution and Collinearity. The results in Table (4.6) indicated that the significance level of Kolmogorov-Smirnov values were greater than 0.05. skewness values were less than (-1) and kurtosis values were less than 7. Tolerance values, on the other hand, were greater than 0.1 and values of the Variance of Inflation (VIF) less than 10. On the basis of these results, it was revealed that the data used in this study is normally distributed and there were no problems found in variables collinearity.

Table-4.6. Results of Normality and Collinearity

Variables
Kolmogorov-Smirnov
Skewness
Kurtosis
Tolerance
VIF
DSQ1
1.124
0.191
-0.214
0.624
0.421
1.234
DSQ2
0.997
0.311
-0.421
0.197
0.351
1.388
DSQ3
1.124
0.516
-0.551
1.1
0.721
1.255
DEN1
1.012
0.366
-0.821
0.216
0.852
1.351
DEN2
1.451
0.084
-0.456
0.254
0.954
1.41
DEN3
1.622
0.217
-0.781
1.367
0.752
2.514
DEN4
1.322
0.191
-0.841
0.612
0.422
1.024
DEN5
1.312
0.321
-0.224
0.741
0.712
2.848
TST1
0.879
0.241
-0.584
0.991
0.723
1.347
TST2
1.124
0.112
-0.587
0.656
0.812
1.551
TST3
1.351
0.099
-0.597
0.451
0.773
1.512

4.5. Hypotheses Testing

H01:       There is no a statistically significant impact of destination service quality and destination environment on tourist satisfaction at α ≤ 0.05.
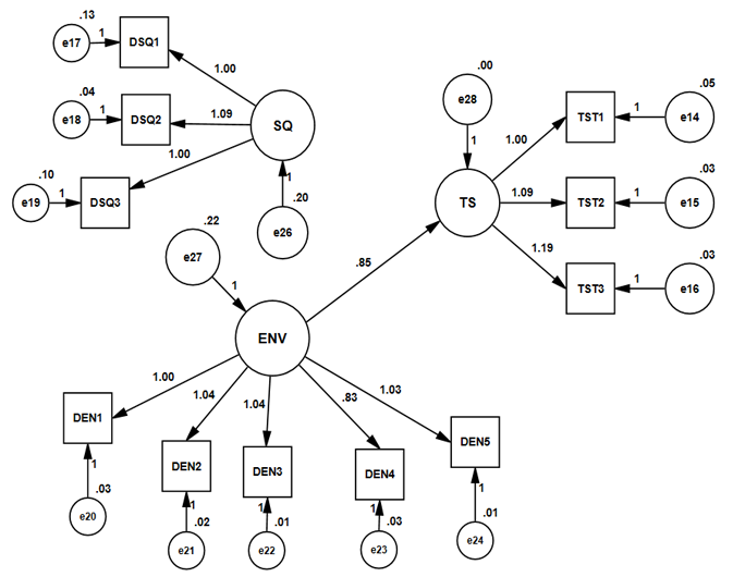
Hypothesis 1 postulated that there is no statistically significant impact of destination service quality and destination environment on tourist satisfaction at α ≤ 0.05. in order to test this hypothesis, path analysis using IBM Amos to analyze the measurement model contains these variables. As can be seen in Figure (4.1), destination service quality and destination environment were used as separate constructs represents the independent variables in the model. tourist satisfaction was the dependent satisfaction. The results in Table (4.7) showed that destination service quality has no significant impact on tourists satisfaction (Estimation = 0.018, C.R. = 1.698, P = 0.09), while there is a significant impact of destination environment on tourist satisfaction (Estimation = 0.837, C.R. = 29.949, P = 0.000). Therefore, hypothesis 1 was partially accepted since destination service quality has no impact on tourist satisfaction, while destination environment has a statistically impact on tourist satisfaction.

Figure-4.1. Impact of destination service quality and destination environment on tourist satisfaction

Table-4.7. Impact of service quality and destination environment on tourist satisfaction

DV
Path 
IV
Estimate 
C.R.
TS
<----
SQ
0.018
1.698
0.09
TS
<---
ENV
0.837
29.949
0
DV: dependent variable; IV: independent variable; TS: Tourist satisfaction; SQ: Destination service quality; ENV: Destination service quality.

H02:       There is no a statistically significant impact of destination service quality on tourist satisfaction at α ≤ 0.05.
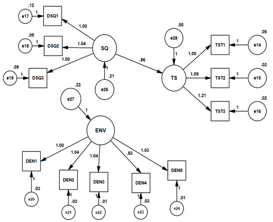
Hypothesis 2 presumed that there is no a statistically significant impact of destination service quality on tourist satisfaction at α ≤ 0.05. The results of path analysis depicted in Figure (4.2) and Table (4.8) indicated that destination service quality (SQ) has a statistically significant impact on tourist satisfaction (TS) (Estimation = 0.018, C.R. = 1.698, P = 0.09) in the absence of destination environment from the measurement model. Therefore, hypothesis 2 was rejected and the alternative hypothesis was accepted. That is, there is a statistically significant impact of destination service quality on tourist satisfaction. 

Figure-4.2. Impact of destination service quality on tourist satisfaction

Table-4.8. Impact of destination service quality on tourist satisfaction

DV
Path 
IV
Estimate 
C.R.
TS
<---
SQ
0.859
19.286
0

DV: dependent variable; IV: independent variable; TS: Tourist satisfaction; SQ: Destination service quality.

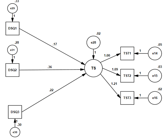
H02-1: There is no statistically significant impact of satisfaction with destination staff on tourist satisfaction at α ≤ 0.05.
H02-2: There is no statistically significant impact of satisfaction with accommodations on tourist satisfaction at α ≤ 0.05.
H02-3: There is no statistically significant impact of satisfaction with the trip on tourist satisfaction at α ≤ 0.05.

Hypotheses H02-1, H02-2, and H02-3 hypothesized that there are statistically significant impact of satisfaction with destination staff, satisfaction with accommodations and satisfaction with the trip on tourist satisfaction at α ≤ 0.05. the impact of three dimensions; DSQ1, DSQ2, and DSQ3 on tourist satisfaction were tested using a model contains these dimensions as independent variables and tourist satisfaction as an independent variable. The results of path analysis in Figure (4.3) and Table (4.9) indicated that satisfaction with destination staff has a statistically significant impact on tourist satisfaction (Estimation = 0.169, C.R. = 10.594, P = 0.000), satisfaction with accommodations has a statistically significant impact on tourist satisfaction (Estimation = 0.361, C.R. = 16.959, P = 0.000), and satisfaction with the trip (Estimation = 0.219, C.R. = 12.549, P = 0.000). On the basis of these results, all sub-hypotheses of hypothesis 2 were rejected. That is, satisfaction with destination staff, satisfaction with accommodations and satisfaction with the trip has a statistically significant impact on tourist satisfaction.     

Figure-4.3.Impact of destination service quality dimensions on tourist satisfaction

Table-4.9. Impact of destination service quality dimensions on tourist satisfaction

DV
Path 
IV
Estimate 
C.R.
TS
<---
DSQ1
0.169
10.594
0
TS
<---
DSQ2
0.361
16.959
0
TS
<---
DSQ3
0.219
12.549
0

DV: dependent variable; IV: independent variable; TS: Tourist satisfaction; DSQ1: Satisfaction with destination staff; DSQ2: satisfaction with accommodations and satisfaction with the trip.

H03:       There is no a statistically significant impact of destination environment on tourist satisfaction at α ≤ 0.05.

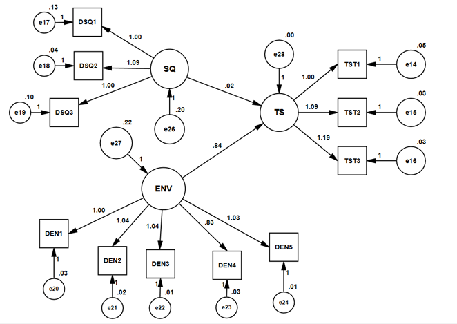
Hypothesis 3 suggested that destination environment has no statistically significant impact on tourist satisfaction. The results of path analysis shown in Figure (4.4) and Table (4.10) highlighted that destination environment has a statistically significant impact on tourist satisfaction (Estimation = 0.849, C.R. = 22.37, P = 0.000). Therefore, hypothesis 3 was rejected.    

Hypotheses H01-1 to H03-4 supposed that dimensions of destination environment, i.e., physical, economic, soci-cultural, technological, and political factors on tourist satisfaction have statistically significant impact on tourist satisfaction. The results of path analysis in Figure (4.5) and Table (4.11) indicated that physical factors (Estimation = 0.110, C.R. = 10.372, P = 0.000), economic factors (Estimation = 0.133, C.R. = 12.041, P = 0.000), soci-cultural (Estimation = 0.278, C.R. = 16.626, P = 0.000), technological (Estimation = 0.087, C.R. = 7.564, P = 0.000), and political (Estimation = 0.226, C.R. = 15.411, P = 0.000) have statistically significant effects on tourist satisfaction.

Based on these results, hypotheses H01-1 to H03-4 were rejected and the alternative hypotheses were supported. Hence, all destination factors; physical, economic, soci-cultural, technological, and political factors have a significant impact on tourist satisfaction.  

Figure-4.4. Impact of destination environment on tourist satisfaction

Table-4.10. Impact of destination environment on tourist satisfaction

DV
Path 
IV
Estimate 
C.R.
TS
<---
ENV
0.849
22.37
0

DV: dependent variable; IV: independent variable; TS: Tourist satisfaction; DEN: Destination environment.

H03-1: There is no a statistically significant impact of physical factors on tourist satisfaction at α ≤ 0.05.
H03-2:     There is no a statistically significant impact of economic factors on tourist satisfaction at α ≤ 0.05.
H03-3:     There is no a statistically significant impact of soci-cultural factor on tourist satisfaction at α ≤ 0.05.
H03-4:     There is no a statistically significant impact of technological factors on tourist satisfaction at α ≤ 0.05.
H03-5:     There is no a statistically significant impact of political factors on tourist satisfaction at α ≤ 0.05.

Figure-4.5. Impact of destination environment on tourist satisfaction

Table-4.11. Impact of destination environment on tourist satisfaction

DV
Path 
IV
Estimate 
C.R.
TS
<---
DEN1
0.11
10.372
0
TS
<---
DEN2
0.133
12.041
0
TS
<---
DEN3
0.278
16.626
0
TS
<---
DEN4
0.087
7.564
0
TS
<---
DEN5
0.226
15.411
0

DV: dependent variable; IV: independent variable; TS: Tourist satisfaction; DEN1: physical; DEN2: economic; DEN3: soci-cultural; DEN4: technological;  DEN5: political factors

H04:       There are no statistically significant differences between tourists' responses in favor of personal characteristics (gender, age, education, nationality, companionship and number of visits) at α ≤ 0.05.
Hypothesis 4 presumed that there are There are no statistically significant differences between tourists' responses in favor of personal characteristics (gender, age, education, nationality, companionship and number of visits) at α ≤ 0.05. In order to test this hypothesis, means and standard deviations (SDs) were calculated in order to identify if there are apparent differences among participants in their responses on destination of service quality, destination environment and satisfaction in terms of these personal characteristics.

The results in Table (4.12) indicated that there were no statistically significant differences between tourists' responses in favor of gender (F 1, 372 = 0.857, Sig. = 0.355), age (F 3, 370 = 1.409, Sig. = 0.240), education age (F 3, 370 = 2.299, Sig. = 0.077), nationality age (F 3, 370 = 0.134, Sig. = 0.815), and number of visits (F 1, 372 = 2.480, Sig. = 0.116). On the other hand, the results showed that there was a statistically significant differences between tourists' responses by virtue of their companionship (F 1, 372 = 5.049, Sig. = 0.002)  

Table-4.12. Results of difference in responses in favor of tourist personal data

Variable
N
Mean
Std. Deviation
F
Sig.
Gender
0.857
0.355
Male
211
3.8496
0.43243
Female
163
3.8055
0.4872
Age
1.409
0.24
20-30 years
65
3.8146
0.52157
31-40 years
127
3.8535
0.40278
41-50 years
93
3.8837
0.41749
more than 50 years
89
3.7531
0.51274
Education
2.299
0.077
high school
31
3.8523
0.43458
diploma
129
3.897
0.39174
bachelor
164
3.8119
0.44558
high education
50
3.7053
0.61951
Nationality
0.314
0.815
American
53
3.8347
0.51154
Asian
250
3.8186
0.44773
Australian
9
3.9444
0.03824
European
62
3.8574
0.48199
Companionship
5.049
0.002
Single
5
3.2158
0.99347
Family
42
3.7187
0.39814
Friends
79
3.9211
0.40946
Tour group
248
3.8328
0.45579
Number of visits
2.48
0.116
first time visit
334
3.8432
0.42385
repeated visit
40
3.723
0.67106

5. RESULTS DISCUSSION, CONCLUSION, AND RECOMMENDATIONS

5.1. Results Discussion

This study aimed investigating the impact of destination service quality and destination environment on tourist satisfaction using a sample of foreign tourists visited Jordan’s Golden Triangle. The study revealed the following findings:

  1. The overall level of destination service quality from tourists perceptions was high. Examples of aspects that derive tourist positive perspective in relation to the quality of services delivered at tourism destinations include appropriate level of services at accommodations and clear charges on tourist account. In a study conducted by Al-Ababneh (2013) in Petra, it was pointed out that the overall level of destination service quality was moderate.    
  2. The overall level of destination environment from tourists perceptions was high. The most important factors behind their positive perceptions were the political stability of Jordan, the satisfactory level of safety and security, friendliness of local people, and attractive local culture and customs. This result is in agreement with Murphy et al. (2000); Chen and Tsai (2007); Esu et al. (2010) and Chen (2018) who stated that what brings a tourist to the destination is actually more than one factor such as political stability, government policy on issues such as human rights and democracy, treatment of tourists in issues such as visa application, industry support, and entry conditions.
  3. The overall level of tourists satisfaction form their view of points was high. They were satisfied with their visit to Jordan’s Golden Triangle. Similar results were found by Magatef (2015) and Al Najdawi et al. (2017).
  4. The concurrent impact of destination service quality and destination environment was mixed since destination service quality has no impact on tourist satisfaction, while destination environment has a statistically impact on tourist satisfaction. An exclusion of one variable form the regression model turns the non-significant impact of destination service quality into significant. Al-Ababneh (2013) found a significant impact of destination facilitates, destination accessibility and destination attractions on tourist satisfaction. However, the researcher did not find a previous study that compare between the simultaneous and separate impact of destination service quality and destination environment on tourist satisfaction.
  5. Destination service quality (destination staff, satisfaction with accommodations and satisfaction with trip) has a significant impact on tourism satisfaction. The same result was found by numerous studies (Araslı and Baradarani, 2014).
  6. Destination environment (physical, economic, soci-cultural, technological, and political factors.) has a significant impact on tourism satisfaction.
  7. There were no statistically significant differences between tourists' responses in favor of gender, age, education, nationality, and number of visits. On the other hand, the results showed that there was a statistically significant differences between tourists' responses by virtue of their companionship.

5.2. Conclusion

On the basis of the results of the current study, the study concluded the followings:

Destination service quality in Jordan’s Golden Triangle is high, maintain this level require an eye on tourist positive perceptions destination staff, destination accommodations, and the overall experience of service quality.
Destination environment in the perceptions of tourists is so attractive. Tourism destination management have to take into their consideration several factors in order to conform to this level, by providing a variety of entertainments, an attractive tourism events and festivals, satisfactory level of cleanliness, reasonable costs, good quality of technology infrastructure, as well as level of safety and security.

The high level of quality of service does not necessarily mean that the tourist is satisfied, but there are other important factors must be taken such as the political stability of the country, the level of security. The results in the current study highlighted that the high level of service quality when combined with satisfaction with the destination environment resulted in inverse influence of service quality on tourist satisfaction.

The results showed a high level of satisfaction among tourists, but given the personal characteristics of the tourists, it was noted that the majority of the age group 31-40, and have a high level of education, mostly from Asia, and this is their first visit to Jordan.

5.3. Recommendations

The study presented in light of the findings a set of recommendations related to improving the environment of tourist destination in Jordan as follows:

  1. Focus on the cultural aspects of the tourist destination in order to attract other types of tourists such as tourists from China, because Chinese tourists is primarily concerned with tourism for cultural purposes, not entertainment and scenic views.
  2. Maintaining a high level of service quality as it plays an important role in tourist satisfaction.
  3. Attention to all dimensions of the environment of destination that are under control within acceptable levels because they have a positive impact on the satisfaction of tourists.
  4. Conduct training courses for employees and show how to measure quality from the point of view of the tourist.
  5. Improving the level of cellular and internet service in the tourist destinations and adding more leisure activities.
  6. Concentration on the age group of tourists on the design of tourism services as the desire and interests of young tourists are different from adults.
Funding: This study received no specific financial support.   
Competing Interests: The authors declare that they have no competing interests. 
Contributors/Acknowledgement: All authors contributed equally to the conception and design of the study.

REFERENCES

Abulibdeh, A. and E. Zaidan, 2017. Empirical analysis of the cross-cultural information searching and travel behavior of business travelers: A case study of MICE travelers to Qatar in the Middle East. Applied Geography, 85: 152-162. Available at: https://doi.org/10.1016/j.apgeog.2017.06.001.

Adams, A.-M., M. Bashiru and I.A. Abdulai, 2016. Customer satisfaction in the banking industry in Ghana: A case of GCB bank limited in Wa municipality. Journal of Social Science Studies, 3(2): 217. Available at: https://doi.org/10.5296/jsss.v3i2.9528.

Al-Ababneh, M., 2013. Service quality and its impact on tourist satisfaction. Interdisciplinary Journal of Contemporary Research in Business, 4(12): 164-177.

Al-Otaibi, S., N.R. Aljohani, M.R. Hoque and F.S. Alotaibi, 2018. The satisfaction of Saudi customers toward mobile banking in Saudi Arabia and the United Kingdom. Journal of Global Information Management, 26(1): 85-103. Available at: https://doi.org/10.4018/jgim.2018010105.

Al Najdawi, B.M., Q. Khaleefah, H. Shatnawi and E. Al Momani, 2017. Measuring local tourists' perceptions in Petra city as one of seven wonders of world. Journal of Environmental Management & Tourism, 8(18): 427-435.

Aldebi, H. and N. Aljboory, 2018. The impact of the tourism Promotion-Mix elements on the foreign tourists’ mental images of the Jordanian tourist destinations: A field study. International Business Research, 11(1): 74-86. Available at: https://doi.org/10.5539/ibr.v11n1p74.

Ali, S. and A. Ali, 2010. A conceptual framework for crisis planning and management in the Jordanian tourism industry. Advances in Management, 3(7): 59-65.

Almeida-Santana, A. and S. Moreno-Gil, 2018. Understanding tourism loyalty: Horizontal vs. Destination loyalty. Tourism Management, 65: 245-255.

Alshboul, K., 2016. Assessing local community involvement in tourism development around a proposed world heritage site in Jerash, Jordan, (Unpublished Doctoral Dissertation), University of Waterloo, Canada.

Araslı, H. and S. Baradarani, 2014. European tourist perspective on destination satisfaction in Jordan's industries. Procedia-Social and Behavioral Sciences, 109: 1416-1425. Available at: https://doi.org/10.1016/j.sbspro.2013.12.645.

Attaallah, F.A.H. and M.F.A. Warith, 2013. Evaluation tudy of the tourism activity in Jordan in Light of codes and conventions of the global ethics for tourism. International Journal of West Asian Studies, 5(1): 41-60.

Bible, J.E., D.N. Shau, H.F. Kay, J.S. Cheng, O.S. Aaronson and C.J. Devin, 2018. Are low patient satisfaction scores always due to the provider? Spine, 43(1): 58-64. Available at: https://doi.org/10.1097/brs.0000000000001453.

Cengiz, E., 2010. Measuring customer satisfaction: Must or not? Turkish Journal of Marine Sciences and Engineering, 6(2): 76-88.

Chang, B.P., E. Carter, N. Ng, C. Flynn and T. Tan, 2018. Association of clinician burnout and perceived clinician-patient communication. The American Journal of Emergency Medicine, 36(1): 156-158. Available at: https://doi.org/10.1016/j.ajem.2017.07.031.>

Chen, C.-F. and F.-S. Chen, 2010. Experience quality, perceived value, satisfaction and behavioral intentions for heritage tourists. Tourism Management, 31(1): 29-35. Available at: https://doi.org/10.1016/j.tourman.2009.02.008.

Chen, C.-F. and D. Tsai, 2007. How destination image and evaluative factors affect behavioral intentions? Tourism Management, 28(4): 1115-1122. Available at: https://doi.org/10.1016/j.tourman.2006.07.007.

Chen, Z., 2018. A comparison of short and long-haul vacation tourists on evaluation of attractiveness: The case of Hong Kong. World Academy of Science, Engineering and Technology, International Journal of Humanities and Social Sciences, 5(2): 76-79.

Cochran, W., 1977. Sampling technique. 3rd Edn., New York: John Wiley & Sons.

Crowther, D. and G. Lancaster, 2005. Research methods: A concise introduction to research in management and business consultancy. Oxford: Elsevier Butterworth-Heinemann.

DiPietro, R.B. and R. Peterson, 2017. Exploring cruise experiences, satisfaction, and loyalty: The case of Aruba as a small-island tourism economy. International Journal of Hospitality & Tourism Administration, 18(1): 41-60. Available at: https://doi.org/10.1080/15256480.2016.1263170.

Estrada, A.S., 2018. A strategic differentiation proposal for a cruise tourism offer, built on the cultural identity of the host community of Puerto Progreso, Yucatan. In Sustainable Development Research and Practice in Mexico and Selected Latin American Countries. Cham: Springer. pp: 1-18.

Esu, B., V. Arrey, G. Basil and E. Eyo, 2010. Analysis of the economic impacts of cultural festival: The case of calabar carnival in Nigeria. Tourism: An International Multidisciplinary Journal of Tourism, 6(2): 333-352.

Ettinger, A., S. Grabner-Kraeuter and R. Terlutter, 2018. Online CSR communication in the hotel industry: Evidence from small hotels. International Journal of Hospitality Management, 68: 94-104. Available at: https://doi.org/10.1016/j.ijhm.2017.09.002.

Foroudi, P., T.N. Akarsu, E. Ageeva, M.M. Foroudi, C. Dennis and T. Melewar, 2018. Pronusing the dream: Changing destination image of London through the effect of website place. Journal of Business Research, 83: 97-110. Available at: https://doi.org/10.1016/j.jbusres.2017.10.003.

Gregorić, M., 2014. PESTEL analysis of tourism destinations in the perspective of business tourism (MICE). Tourism and Hospitality Industry 2014, Congress Proceedings, Trends in Tourism and Hospitality Industry. pp: 551-565.

Guo, Y., S.J. Barnes and Q. Jia, 2017. Mining meaning from online ratings and reviews: Tourist satisfaction analysis using latent dirichlet allocation. Tourism Management, 59: 467-483. Available at: https://doi.org/10.1016/j.tourman.2016.09.009.

Gustafsson, A., M.D. Johnson and I. Roos, 2005. The effects of customer satisfaction, relationship commitment dimensions, and triggers on customer retention. Journal of Marketing, 69(4): 210-218. Available at: https://doi.org/10.1509/jmkg.2005.69.4.210.

Harahsheh, S., 2002. Curative tourism in Jordan and its potential development. MA in European Tourism Management, Bournemouth University, UK.

Hoang, T.P., H.T. Quang, N.N. Phuong and N.T. Ha, 2016. Factors affecting the decision of the selection of foreign tourists for a tourist destination: A study in Da Nang City, Vietnam. European Journal of Business and Social Sciences, 4(10): 86-97.

Jani, D. and W. Nguni, 2016. Pre-trip vs. post-trip destination image variations: A case of inbound tourists to Tanzania. Tourism: An International Scientific-Professional Journal, 64(1): 27-40.

Karolak, M., 2017. Chapter two in the Arabian Gulf-emergence of a tourism destination. Economic Behavior: Economy, Business and People, 25. Cambridge Scholar Publishing edited by Zbuchea, A. and Bratiana, C. and Pinzaru, F. (Lady Stephenson Library, UK).

Khan, A., M.H. Mushtaq, M.U.D. Ahmad, J. Nazir, S.H. Farooqi and A. Khan, 2017. Molecular epidemiology of a novel re-assorted epidemic strain of equine influenza virus in Pakistan in 2015–16. Virus Research, 240: 56-63. Available at: https://doi.org/10.1016/j.virusres.2017.07.022.

Kim, T., D. Kim, K. Kim and D.H. Kim, 2018. Measuring satisfaction for each E-government implementation level. International Journal of Engineering and Future Technology™, 15(1): 67-70.

Kotler, P., 2000. Marketing management: The millennium edition. Upper Saddle River, NJ: Prentice-Hall.

Kouthouris, C. and K. Alexandris, 2005. Can service quality predict customer satisfaction and behavioral intentions in the sport tourism industry? An application of the SERVQUAL model in an outdoors setting. Journal of Sport & Tourism, 10(2): 101-111. Available at: https://doi.org/10.1080/14775080500223165.

Kreishan, F., 2014. The economics of tourism in Jordan: A statistical study during the period 1990-2011. Arab Economic and Business Journal, 9(1): 37-45. Available at: https://doi.org/10.1016/j.aebj.2014.05.005.

Lai, C.-S. and M.C. Nguyen, 2017. Factors affecting service quality, customer satisfaction and loyalty of mobile phone service providers in Vietnam. International Journal of Organizational Innovation, 10(2): 75-85.

Latiff, K. and N. Imm, 2015. The impact of tourism service quality on satisfaction. International Journal of Economics and Management, 9: 67-94.

Lin, S., J. Chen and J. Tang, 2017. . An empirical study on the impact of Niche overlap of tourism enterprise on tourist satisfaction. In International Conference on Management Science and Engineering Management. Springer, Cham. pp: 1330-1341.

Magatef, S.G., 2015. The impact of tourism marketing mix elements on the satisfaction of inbound tourists to Jordan. International Journal of Business and Social Science, 6(7): 41-58.

Martín, S.H. and I.A.R. Del Bosque, 2008. Exploring the cognitive–affective nature of destination image and the role of psychological factors in its formation. Tourism Management, 29(2): 263-277. Available at: https://doi.org/10.1016/j.tourman.2007.03.012.

Matsuoka, K., R. Hallak, T. Murayama and A. Akiike, 2017. Examining the effects of perceived quality, value, satisfaction, and destination loyalty in Shiogama, Japan. Tourism Review International, 21(1): 3-16. Available at: https://doi.org/10.3727/154427217x14858894687432.

Mihalič, T., 2000. Environmental management of a tourist destination: A factor of tourism competitiveness. Tourism Management, 21(1): 65-78. Available at: https://doi.org/10.1016/s0261-5177(99)00096-5.

Mohammed, S.A. and F.M. Hamdi, 2017. Factors affecting tourism loyalty a study on touristic destinations in Duhok city. Polytechnic Journal, 7(2). Available at: https://doi.org/10.25156/ptj.2017.7.2.22.

Molina, R. and M. Ochoa, 2018. Cultural tourism in Mexico as a strategy to attract Chinese tourists. World academy of science, engineering and technology. International Journal of Humanities and Social Sciences, 5(1): 22-28.

Mulia, R.D., 2014. A study of significant dimensions of emotional intelligence and creative thinking of self-regulated learners of the students of higher secondary schools. Unpublished Ph.D. Thesis, Kadi Sarva Vishwavidyalaya, Gandhinagar, Gujarat.

Murphy, P., M.P. Pritchard and B. Smith, 2000. The destination product and its impact on traveller perceptions. Tourism Management, 21(1): 43-52. Available at: https://doi.org/10.1016/s0261-5177(99)00080-1.

Ngugi, K.L., 2014. An analysis of international tourism demand for Kenya. (Unpublished Doctoral Dissertation). Nairobi, Kenya: Kenyatta University.

Orieqat, H.M. and A. Saymeh, 2015. Is tourism a gene sector to Jordan’s GDP?. International Journal of Development and Economic Sustainability, 3(5): 75-84. Available at: https://doi.org/10.14207/ejsd.2015.v4n1p75.

Parasuraman, A., V. Zeithaml and L. Berry, 2002. SERVQUAL: A multiple-item scale for measuring consumer perceptions of service quality. Retailing: Critical Concepts, 64(1): 140.

Pawaskar, P. and M. Goel, 2017. Enhancing the effectiveness of marketing a tourist destination using satisfaction analysis. International Journal of Business and Systems Research, 11(1/2): 163-181. Available at: https://doi.org/10.1504/ijbsr.2017.10000885.

Prayogo, R.R. and A. Kusumawardhani, 2016. Examining relationships of restination image, serice quality, e-WOM, and revisit intention to Sabang Island, Indonesia. Asia-Pacific Management and Business Application, 5(2): 89-102.

Prebensen, N., 2003. Tourist satisfaction with a destination: Antecedents and consequences. Finnmark College, Alta, Norway: Department of Hospitality and Tourism.

Qu, H., L.H. Kim and H.H. Im, 2011. A model of destination branding: Integrating the concepts of the branding and destination image. Tourism Management, 32(3): 465-476. Available at: https://doi.org/10.1016/j.tourman.2010.03.014.

Ramseook-Munhurrun, P., V. Seebaluck and P. Naidoo, 2015. Examining the structural relationships of destination image, perceived value, tourist satisfaction and loyalty: Case of mauritius. Procedia-Social and Behavioral Sciences, 175: 252-259. Available at: https://doi.org/10.1016/j.sbspro.2015.01.1198.

Samani, S.A., A. Eskandari, F.O. Zadeh and J.E. Samani, 2018. The impact of environmental design on employee performance at PNPI group. Global Business and Organizational Excellence, 37(2): 41-48. Available at: https://doi.org/10.1002/joe.21841.

Sangpikul, A., 2017. A study of effects of European tourists’ satisfaction on destination loyalty in phuket. WMS Journal of Management, 6(1): 73-83.

Sekaran, U. and R. Bougie, 2011. Research methods for business: A skill building approach. 5th Edn., India: Aggarwal Printing Press.

Seyidov and Adomaitienė, 2016. Factors influencing local tourists’ decision-making on choosing a destination: A case of Azerbaijan. Ekonomika, 95(3): 112-127. Available at: https://doi.org/10.15388/ekon.2016.3.10332.

Song, H., G. Li, R. van der Veen and J.L. Chen, 2011. Assessing mainland Chinese tourists' satisfaction with Hong Kong using tourist satisfaction index. International Journal of Tourism Research, 13(1): 82-96. Available at: https://doi.org/10.1002/jtr.801.

Thitthongkam, T. and J. Walsh, 2011. An analysis of factors influencing the competitiveness of the Thai tourism industry. International Conference on Business and Economics Research, 1: 138-141.

Tsaur, S.-H., C.-H. Yen and Y.-T. Yan, 2016. Destination brand identity: Scale development and validation. Asia Pacific Journal of Tourism Research, 21(12): 1310-1323. Available at: https://doi.org/10.1080/10941665.2016.1156003.

Uddin, M.R., A. Mamun, O.S.M. Almoustapha and M. Khan, 2017. Factors and predictors of international student’s satisfaction in Turkey. Educational Process: International Journal, 36(1): 156-158.

Yamane, T., 1967. Statistics: An introductory analysis 2nd Edn., New York: Harper and Row.

Yang, S., X. Chen and X. Shen, 2017. An exploratory study of customer satisfaction with international student recruitment agencies: A case study in New Zealand. International Journal of Business and Management, 12(11): 130.

Yuksel, A., F. Yuksel and Y. Bilim, 2010. Destination attachment: Effects on customer satisfaction and cognitive, affective and conative loyalty. Tourism Management, 31(2): 274-284. Available at: https://doi.org/10.1016/j.tourman.2009.03.007.

Views and opinions expressed in this article are the views and opinions of the author(s), Journal of Tourism Management Research shall not be responsible or answerable for any loss, damage or liability etc. caused in relation to/arising out of the use of the content.