Index

Abstract

The purpose of this study is to investigate the phenomenon of premature deindustrialization among latecomer economies in developing countries across the globe. This study applies a fixed effect model based on panel data as a methodology. The main findings and conclusions of this study are as follows: First, the fixed effect model based on panel data, which was used as a baseline analysis for looking at the link between manufacturing and income using the latecomer index, found that developing economies that joined the global economy after 1990 were deindustrializing too quickly. Second, from a geographical perspective, the acceleration of premature deindustrialization was confirmed in Latin America and some areas of Africa. Third, the quantile regression, which was used to test how stable the results of the fixed effect model estimation were, found that developing economies were deindustrializing too soon. Finally, alternative estimations demonstrated that partaking in global value chains (GVC) facilitated industrialization, whereas natural resource abundance prevented it. In terms of practical implications, GVC participation can be a good way for latecomer in developing economies to avoid premature deindustrialization. Resource-rich economies could keep the Dutch disease effect from speeding up premature deindustrialization by putting their resource revenues to productive uses, like building infrastructure.

Keywords: Fixed effect model, Global value chains, Globalization, Latecomer developing countries, Panel data, Premature deindustrialization.

JEL Classification: F10; O14.

Received: Received: 26 April 2023/ Revised: 2 June 2023/ Accepted: 31 July 2023/ Published: 18 August 2023

Contribution/ Originality

This study adds to the existing research by finding early deindustrialization in developing countries that joined the global economy after 1990. It does this by using the fixed effect model based on panel data with a latecomer index, a quantile regression, and alternative estimations that take participation in global value chains into account.

1. INTRODUCTION

 Literature such as Dasgupta and Singh (2007) and Rodrik (2016) defines  premature deindustrialization as an economic phenomenon in which latecomer economies shift into service economies without having experienced a full-fledged industrialization process. Dasgupta and Singh (2007) initially coined the term “premature deindustrialization.” The study's primary emphasis was on employment rather than output, asserting that the decrease in manufacturing employment should not be automatically regarded as a negative occurrence. They highlighted that India and East Asian nations have experienced economic growth through the adoption of information technology and knowledge-based innovation, while Latin American and African countries have faced detrimental consequences due to deindustrialization resulting from import substitution strategies.

Rodrik (2016) pointed out that premature deindustrialization refers to the early shrinking of manufacturing in terms of not only employment but also output in developing countries. This author built a simple two-sector theoretical model with manufacturing and non-manufacturing sectors and showed that developing countries that are price-takers in the world markets for manufacturing and who lack a strong comparative advantage in manufacturing tend to be net importers of manufactured products, thereby leading to premature deindustrialization. The author also provided the following empirical evidence: Late industrializers experience lower peak levels of industrialization than early industrializers at lower income levels, and countries in Latin America and sub-Saharan Africa have unquestionably suffered from premature deindustrialization, whereas Asian countries, as a group with comparative advantages in manufacturing, have managed to avoid it.

Since the seminal work of Rodrik (2016), numerous empirical studies have been conducted to identify the existence of premature deindustrialization in multiple and specific countries, including the following: Sato and Kuwamori (2019) in Organization for Economic Co-operation and Development non-OECD countries; Nayyar, Cruz, and Zhu (2021) in lower-income developing countries; Daymard (2020) in Latin American and African countries; Caldentey and Vernengo (2021) in Latin American countries; Ssozi and Howard (2018) in Sub-Saharan African countries; Taguchi and Tsukada (2022) in Asian latecomer economies; Lee (2020) in Malaysia; and Hamid and Khan (2015) in Pakistan.

Most of these previous empirical studies have concentrated on the comparison of industrialization peaks between forerunner and latecomer economies, reporting that lower peaks with lower incomes in latecomers indicate premature deindustrialization. However, while latecomers face a high probability of falling into premature deindustrialization, not all latecomers necessarily reach their industrialization peaks. In this context, Taguchi and Tsukada (2022) focused on Asian latecomers in developing economies and adopted the “latecomer index” for examining the positions of the manufacturing-income nexus. The latecomer index facilitates the identification of downward shifts in latecomers’ manufacturing-income nexus, regardless of the existence of an industrialization peak. Even for a latecomer that has not reached its peak, its downward shift suggests an upcoming peak-out at a lower manufacturing share in a lower income stage, implying a symptom of premature deindustrialization.

By using the latecomer index, specifically the extension suggested by Taguchi and Tsukada (2022), this study seeks to identify the existence of premature deindustrialization in all developing countries (110 countries) worldwide from 1980 to 2020. The study is structured as follows: First, we estimate a fixed effect model in the panel setting as a baseline analysis to examine the manufacturing-income nexus with the latecomer index. Second, we examine the regional heterogeneity of premature deindustrialization by incorporating the cross-terms of the latecomer index and regional dummies in the fixed effect model. Third, we check the robustness of the fixed effect model estimation results using quantile regression, which is an alternative approach for allowing the complete conditional distribution of dependent variables over different years and countries. Fourth, to propose policy directions for mitigating and avoiding premature deindustrialization, we conduct alternative estimations considering country participation in global value chains (GVCs) and natural resource abundance. Finally, we summarize the study and conclude the paper.

2. BASELINE ESTIMATION

This section presents a baseline estimation using the fixed effect model in the panel setting. Regarding the specification, we use the equation with the inverted U-shaped manufacturing-income nexus that Rodrik (2016) proposed, which accounts for the impact of demographic and income trends with their quadratic terms. But this study changes the Rodrik specification by using the latecomer index (Taguchi & Tsukada, 2022), which shows how the relationship between manufacturing and income changes in a latecomer economy and proves that deindustrialization happened too soon.

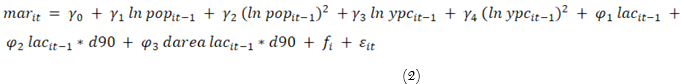
The latecomer index indicates the degree of development lateness, computed as the ratio of the gross domestic product (GDP) per capita of a latecomer economy in a particular year relative to that of a benchmark economy in that year. China is chosen as the benchmark economy because it has become a global manufacturing center, as described in prior research (Sung, 2007), and a top runner in manufacturing-output ratios among developing economies. In Figure 1, the latecomer index in year t is shown by the GDP per capita of economy A (Xat) divided by that of China (Xct). If the index (Xat / Xct) is linked to a lower manufacturing-output ratio, economy A’s manufacturing-output curve is positioned downward from China’s curve, as shown in Figure 1.

Figure 1. Analytical framework of premature deindustrialization.

This implies the existence of premature deindustrialization in the latecomer economy because the downward position of the manufacturing-income curve (vs. China’s curve) suggests a peak-out or an upcoming peak-out at a lower manufacturing-output ratio in a lower income stage. The equation for the baseline estimation is as follows.

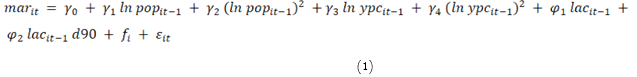
The definition and data source of the variables mar, pop, ypc, and lac (gvc and nrr in Section 5) are described in Table 1. The subscripts i and t denote countries (110 developing economies) and years (1980–2020), respectively. d90 shows the time dummy for 1990–2020, and fi denotes a time-invariant, country-specific fixed effect. ε is a residual error term. γ0…4 and φ0…2 are the estimated coefficients. “ln” represents a logarithmic form. The explanatory variables in Equation 1 are lagged by one year for the purpose of helping avoid reverse causality due to the endogenous interactions between the dependent and independent variables. The logarithmic forms of pop and ypc are used to avoid scaling issues based on population size and real GDP per capita. The descriptive statistics for the variables, including those for the estimation in Section 5, are displayed in Tables 2. This study builds a set of panel data for 110 sample countries for the period 1980–2020.

Table 1. List of variables, definitions, and sources.

Var.

Description

Sources

Dependent variable

mar

Manufacturing in US dollars at constant prices (2015), percentage of gross domestic product (GDP)

UNCTAD
Stat

Explanatory variables 

pop

Population in thousands, logarithmic term, one-year lagged 

UNCTAD
Stat

ypc

GDP in US dollars at constant prices (2015) per capita, logarithmic term, one-year lagged

lac

Latecomer index: a ratio of the GDP per capita of an economy to that of a benchmark country (China) in a certain year, one-year lagged

gvc

Global value chains (GVC) indicator: GVC values divided by gross export values, one-year lagged 

UNCTAD-Eora

nrr

Total natural resource rents, percentage of GDP, one-year lagged

World bank

Note:

UNCTAD Stat: https://unctadstat.unctad.org/EN/

 

UNCTAD-Eora: UNCTAD-Eora Global Value Chain Database (https://worldmrio.com/unctadgvc/).

 

World Bank: World Bank Open Data (https://data.worldbank.org/).


Table 2. Descriptive statistics.

Variables

Obs.

Median

Std. dev.

Min.

Max.

Dependent variable

mar

4,510

12.590

7.227

0.010

70.790

Explanatory variables

pop

4,510

9.014

2.165

2.079

14.170

ypc

4,510

7.546

1.068

4.564

10.035

lac

4,510

0.850

3.166

0.010

52.980

gvc

2,581

0.434

0.109

0.180

0.942

nrr

3,248

4.071

10.696

0.000

67.890

To ensure a more thorough description of Equation 1, the following notes on its specifications are required: The latecomer index (lac) is the most critical variable for identifying premature deindustrialization. A significant positive value of φ, which refers to the linkage between a country’s delayed development and its lower manufacturing-output ratio and represents the downward shift of the country’s manufacturing-income curve, can substantiate the occurrence of premature deindustrialization. Premature deindustrialization is explicitly triggered by globalization trends in manufacturing markets, as Rodrik (2016) argued (see the Introduction). This cited author regarded the post-1990 period as the period in which globalization gained momentum. Thus, the equation contains the cross-term lac and the time dummy for 1990–2020 (d90).

Concerning the control variables for the trends in population size (pop) and real GDP per capita (ypc), the inverted U-shaped relationships between the manufacturing-output ratio (mar) and these control variables are identified in the case that γ1, γ3 > 0 and γ2, γ4 < 0 are significant. This study includes the time-invariant country-specific fixed effect (fi) as it considers the existence of exogenous country-specific factors (e.g., geography, endowments, and history) that vary among sample countries and correlate with mar. Adopting the fixed effect model contributes to mitigating the endogeneity problem by absorbing unobserved heterogeneity among countries.

For the subsequent estimation, the stationary property of the constructed panel data is examined by applying panel unit root tests: the Levin, Lin, and Chu test (Levin, Lin, & Chu, 2002) as a common unit root test; the Fisher-ADF and Fisher-PP tests (Choi, 2001; Maddala & Wu, 1999); and the Im, Pesaran, and Shin (2003) as individual unit root tests. We conduct these tests following the null hypothesis that a series of panel data in levels has a unit root by inserting the “individual intercept” and “individual intercept and trend” in the test equations. Table 3 demonstrates that the Levin, Lin, and Chu test rejects the null hypothesis of a unit root at the significance level for all variables in both test equations. The individual unit root tests do not necessarily reject the null hypothesis in all cases. However, the Fisher-PP test, with the individual intercept and trend, rejects the null hypothesis at the significant level for all variables. Thus, there seems to be no serious problem with the existence of unit roots in the panel data, and it allows us to utilize the panel data in levels for subsequent estimations.

Table 3. Panel unit root tests results.

Tests

Mar

Pop

Ypc

Lac

Gvc

Nrr

Individual intercept

Levin, Lin & Chu

-2.867 ***

-7.684 ***

1.411

-43.088 ***

-11.020 ***

-14.223 ***

Fisher ADF

289.2 ***

426.7 ***

192.3

1,676.9 ***

195.4

499.9 ***

Fisher PP

274.9 ***

1,394.4 ***

159.4

2,523.4 ***

328.4 ***

509.3 ***

Im, Pesaran & Shin

-0.387

-1.641 *

6.101

-35.982 ***

-1.922 **

-12.464 ***

Individual intercept and trend

Levin, Lin & Chu

-4.584 ***

-6.183 ***

-5.285 ***

-26.609 ***

-11.281 ***

-12.727 ***

Fisher ADF

306.6 ***

394.9 ***

279.9 ***

840.5 ***

153.3

635.3 ***

Fisher PP

282.2 ***

312.7 ***

248.8 *

1,732.4 ***

224.5 **

698.6 ***

Im, Pesaran & Shin

-1.773 **

-0.606

-0.124

-14.841 ***

3.863

-8.244 ***

Note:

*, **, and *** denote the rejection of the null hypothesis at the 90%, 95%, and 99% levels of significance, respectively.


Table 4. Baseline estimation results.

Estimation

a

b

c

ln pop

4.598 ***
(30.682)

4.092 ***
(27.740)

3.996 ***
(25.791)

ln (pop)2

-0.349 ***
(-29.876)

-0.323 ***
(-28.646)

-0.318 ***
(-28.189)

ln ypc

18.948 ***
(34.269)

18.428 ***
(33.574)

18.218 ***
(33.791)

ln (ypc)2

-1.154 ***
(-32.431)

-1.117 ***
(-31.184)

-1.102 ***
(-31.607)

lac

 

-0.012 **
(-2.039)

-0.003
(-0.492)

lac * d09

 

 

0.071 ***
(4.416)

Turning point of ypc (USD)

3,682

3,819

3,885

Country fixed effect

Yes

Yes

Yes

No. of countries

110

110

110

No. of observations

4,510

4,510

4,510

Note:

* ** and *** denote the rejection of the null hypothesis at the 90%, 95% and 99% levels of significance, respectively. T-statistics are shown in parentheses.

Table 4 reports the results of the baseline estimation. Across all estimation results from columns (a) to (c) (including those in Tables 5, 6, and 7 in columns d–m), γ1, γ3 > 0 and γ2, γ4 < 0 hold significantly, demonstrating an inverted U-shaped relationship between a country’s manufacturing-output ratio and its control variables (population size and real GDP per capita). The turning points, computed using –γ3/2γ4 in Equation 1, fell within the reasonable ranges of real GDP per capita, namely between 3,682 and 3,885 USD. The main research focus in this study was, however, the position of a country’s manufacturing-income curve, not its shape.

Estimation results in column (b) show that lac had a negative coefficient, while those in column (c) show that lac had an insignificant coefficient and the cross-term, lac*d90, had a significant positive coefficient. This positive coefficient represents the downward position of the latecomer’s manufacturing-income curve during the post-1990 period, suggesting that globalization in manufacturing markets has caused the premature deindustrialization of latecomers. This result is consistent with those of the study in Rodrik (2016).

3. REGIONAL ESTIMATION

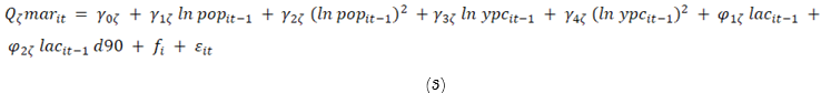
By incorporating the regional dummies and latecomer index as cross-terms into the fixed effect model, we also examine how premature deindustrialization affects various regions. The model is specified as follows:

Equation 2 adds an additional cross-term that includes the regional dummy, darea, to Equation 1. A significant positive value of φ3 represents the additional region-specific effect of premature deindustrialization under globalization in that region. The regional dummy comprises four types, as described herein: dummies for African countries (dafri), East African countries (dafri_e), Asian countries (dasia), and Latin American countries (dlame). Country classification is shown i Appendix 1. 1

Table 5 presents the results of the regional estimations. When looking at the cross-terms with regional dummies, the coefficient of the African dummy in column (d) is significantly negative, which cancels out the positive effect of premature deindustrialization on the world as a whole. However, the coefficient of the East African dummy in column (e) is significantly positive, accelerating the worldwide effect of premature deindustrialization. The coefficient of the Asian dummy, in column (f), is positive and weakly significant, and that of the Latin American dummy, in column (g), is positive and highly significant. The findings on the acceleration of premature deindustrialization in Latin America and some areas of Africa are in line with those of the studies by Dasgupta and Singh (2007), Rodrik (2016), Daymard (2020), Caldentey and Vernengo (2021), and Ssozi and Howard (2018). Meanwhile, the weak acceleration of premature deindustrialization in Asia seems to reflect the heterogeneity of the countries in the region, with Taguchi and Tsukada (2022) having previously argued that the risk of premature deindustrialization is larger for South Asian countries than for Southeast Asian countries.

Table 5. Estimation results with regional dummies.

Estimation

d

e

f

g

ln pop

3.977 ***
(25.879)

4.015 ***
(25.199)

3.928 ***
(21.499)

4.051 ***
(25.884)

ln (pop)2

-0.316 ***
(-28.019)

-0.318 ***
(-24.233)

-0.314 ***
(-29.190)

-0.321 ***
(-29.223)

ln ypc

18.228 ***
(35.959)

18.192 ***
(33.706)

18.339 ***
(33.575)

18.298 ***
(35.202)

ln (ypc)2

-1.104 ***
(-34.225)

-1.101 ***
(-31.429)

-1.112 ***
(-31.315)

-1.107 ***
(-32.992)

lac

-0.002
(-0.320)

-0.004
(-0.579)

-0.003
(-0.484)

-0.007
(-1.058)

lac * d09

0.093 ***
(5.062)

0.059 ***
(3.982)

0.049 ***
(3.997)

0.021
(0.786)

dafri * lac * d90

-0.083 ***
(-0.083)

dafri_e * lac * d90

0.804 ***
(4.909)

dasia * lac * d90

0.189 *
(1.835)

dlame * lac * d90

0.092 ***
(2.901)

Country fixed effect

Yes

Yes

Yes

Yes

No. of countries

110

110

110

110

No. of observations

4,510

4,510

4,510

4,510

Note:

*** and * denote rejection of the null hypothesis at the 99% and 90% levels of significance, respectively, in the coefficients. T-statistics are shown in parentheses.

4. QUANTILE REGRESSION

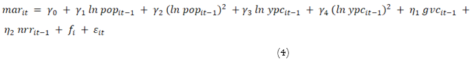
In this section, we report the estimation using quantile regression, which serves to check the robustness of the findings using the fixed effect model. Most regression models are concerned with analyzing the conditional ‘mean’ of a dependent variable. Meanwhile, the quantile regression, originally proposed by Koenker and Bassett (1978), models the quantile of the dependent variable given a set of conditioning variables by describing how the median (or quantile) of the response variable is affected by regressor variables. This method is robust because its approach is less sensitive to outliers and heteroscedastic residuals, so it does not require a strong distribution assumption (e.g., (Buchinsky, 1998; Chang, Wen, Dong, & Hao, 2018)). Equation 3 presents the quantile regression as follows:

The quantiles are set at three levels: ζ = 25th, 50th, and 75th. Table 6 presents the estimation outcomes for each quantile. In the 25th quantile shown in column (h), the coefficients of lac and lac*d90 are insignificant. Regarding the 50th and 75th quantiles demonstrated in columns (i) and (j), they are significantly positive, with those of the cross-term accelerating the positiveness. This suggests that, in the countries in our sample, a progressed stage of industrialization allows for premature deindustrialization to be evidently identified, while an earlier stage of industrialization makes deindustrialization less obvious. Thus, the quantile regression model confirms the existence of premature deindustrialization in the sampled economies.

Table 6. Quantile regression results.

Estimation

h

i

j

Quantile levels

25th

50th

75th

ln pop

1.552 ***
(13.045)

3.492 ***
(28.946)

3.616 ***
(18.527)

ln (pop)2

-0.015 **
(-2.160)

-0.128 ***
(-16.228)

-0.125 ***
(-10.521)

ln ypc

14.413 ***
(11.789)

17.502 ***
(20.757)

20.490 ***
(17.269)

ln (ypc)2

-0.906 ***
(-11.090)

-1.086 ***
(-17.341)

-1.306 ***
(-16.360)

lac

-0.022
(-0.266)

0.169 ***
(6.327)

0.155 ***
(4.662)

lac * d09

0.116
(0.812

0.253 ***
(3.999)

0.207 ***
(2.805)

No. of countries

110

110

110

No. of observations

4,510

4,510

4,510

Note:

*, ** and *** denote the rejection of the null hypothesis at the 90%, 95% and 99% levels of significance, respectively. T-statistics are shown in parentheses.

5. ALTERNATIVE ESTIMATIONS FOR PROPOSING POLICY DIRECTIONS

Lastly, this section shows the results of the alternative estimations, which took into account participation in GVCs and the availability of natural resources. These results can be used to suggest policy directions to slow down or stop premature deindustrialization.

GVCs have dominated global economic activities over the past few decades, and their production networks have typically revolved around manufacturing activities (Kimura, 2006; Kimura, Takahashi, & Hayakawa, 2007). GVCs facilitate specialization in production processes among countries and relieve a single country from performing all processes of production, thereby enhancing efficiency and productivity and promoting the diffusion of technology along the chains (World Bank, 2020). Thus, the absence of GVC participation leads to sluggish manufacturing.

Another dimension of deindustrialization issues is the nexus with Dutch disease in resource-rich economies. The disease was coined by the Economist in a November 1977 issue and was inspired by the deindustrialization process related to natural gas discoveries by the Netherlands in the late 1950s. Corden and Neary (1982) provided the theoretical basis for this phenomenon, and many quantitative studies have verified the existence of Dutch Disease in resource-rich economies (e.g., Sachs and Warner (2001)). The alternative estimation model is as follows:

Equation 4 replaces the latecomer index (lac) in Equation 1 with the GVC indicator (gvc) and natural resource rents (nrr; the data description, statistics, and properties are shown in Tables 1–3). Columns (k) to (m) in Table 7 show the estimation results, wherein the coefficient of gvc, η1, is significantly positive and that of nrr, η2, is significantly negative. This suggests that GVC participation facilitates industrialization, whereas natural resource abundance prevents it.

Table 7. Estimation results while considering GVC participation and natural resource rent.

Estimation

k

l

m

ln pop

-0.458
(-1.107)

5.355 ***
(24.660)

0.890 *
(1.914)

ln (pop)2

-0.128 ***
(-5.749)

-0.392 ***
(-31.206)

-0.212 ***
(-8.393)

ln ypc

20.360 ***
(27.905)

20.854 ***
(35.631)

23.831 ***
(24.926)

ln (ypc)2

-1.275 ***
(-23.635)

-1.266 ***
(-33.613)

-1.504 ***
(-21.662)

gvc

1.361 ***
(3.330)

2.765 ***
(6.789)

dnrr

 

-0.026 ***
(-5.045)

-0.025 ***
(-4.038)

Country fixed effect

Yes

Yes

Yes

No. of Countries

89

108

88

No. of Observations

2,581

4,179

2,481

Note:

* and ***denotes rejection of the null hypothesis at the 90% and 99% level of significance. T-statistics are shown in parentheses.

These outcomes point towards the following policy implications for mitigating and avoiding the premature deindustrialization verified in Sections 2–4. First, GVC participation can be a viable policy for mitigating premature deindustrialization in latecomer developing economies. Numerous reports by international organizations (United Nations Conference on Trade and Development, 2013; World Bank., 2020) have recommended countries develop GVC participation strategies, such as strategies related to infrastructure and human resource development, institutional improvements, and policy frameworks to create industrial clusters and networks. Second, for resource-rich economies, the Dutch disease effect may accelerate premature deindustrialization. To offset the disease effect, resource revenues should be mobilized for productive uses, such as infrastructure development, to activate manufacturing activities (e.g., (Coutinho, 2011; Sachs, 2007)).

6. CONCLUDING REMARKS

This study examined whether latecomer developing countries worldwide have experienced premature deindustrialization. The main findings of this study are as follows: First, the fixed effect model in the panel setting, as a baseline analysis for examining the manufacturing-income nexus using the latecomer index, identified the existence of premature deindustrialization in latecomer developing economies under globalization in the post-1990 period. Second, from a geographical perspective, the acceleration of premature deindustrialization was confirmed in Latin America and some areas of Africa. Third, the quantile regression, used for checking the robustness of the fixed effect model estimation findings, also supported the existence of premature deindustrialization. Finally, alternative estimations showed that GVC participation facilitated industrialization, whereas natural resource abundance prevented it.

The policy implications of this study are that GVC participation can be a viable policy to mitigate premature deindustrialization in latecomer developing economies. Furthermore, resource-rich economies should mobilize their resource revenues for productive uses, such as allocating them to infrastructure development, in order to prevent the Dutch disease effect from accelerating premature deindustrialization.

A limitation of this study is the lack of detailed research on individual countries. By doing detailed case studies to look at the complexity of early deindustrialization mechanisms and how policies work in different countries, it would be possible to come up with country-specific and more concrete recommendations and prescriptions for preventing and stopping early deindustrialization.

Funding: This study received no specific financial support.  
Institutional Review Board Statement: Not applicable.
Transparency: The authors state that the manuscript is honest, truthful, and transparent, that no key aspects of the investigation have been omitted, and that any differences from the study as planned have been clarified. This study followed all writing ethics.
Data Availability Statement: The corresponding author can provide the supporting data of this study upon a reasonable request.

Competing Interests: The authors declare that they have no competing interests.

Authors’ Contributions: Both authors contributed equally to the conception and design of the study. Both authors have read and agreed to the published version of the manuscript.

REFERENCES

Buchinsky, M. (1998). Recent advances in quantile regression models. Journal of Human Resources, 33(1), 88-126. https://doi.org/10.2307/146316

Caldentey, E. P., & Vernengo, M. (2021). Financialization, premature deindustrialization, and instability in Latin America. Review of Keynesian Economics, 9(4), 493-511. https://doi.org/10.4337/roke.2021.04.03

Chang, C.-P., Wen, J., Dong, M., & Hao, Y. (2018). Does government ideology affect environmental pollutions? New evidence from instrumental variable quantile regression estimations. Energy Policy, 113, 386-400. https://doi.org/10.1016/j.enpol.2017.11.021

Choi, I. (2001). Unit root tests for panel data. Journal of International Money and Finance, 20(2), 249-272.

Corden, W. M., & Neary, J. P. (1982). Booming sector and de-industrialisation in a small open economy. The Economic Journal, 92(368), 825-848. https://doi.org/10.2307/2232670

Coutinho, L. (2011). The resource curse and fiscal policy. Cyprus Economic Policy Review, 5(1), 43-70.

Dasgupta, S., & Singh, A. (2007). Manufacturing, services, and premature deindustrialization in developing countries: A kaldorian analysis. In G. Mavrotas & A. Shorrocks (Eds.), Advancing development. In (pp. 435-454). New York: Palgrave-Macmillan.

Daymard, A. (2020). Agricultural productivity as a prerequisite of industrialization: Some new evidence on trade openness and premature deindustrialization. THEMA Working Papers, No. 2020-07.

Hamid, N., & Khan, M. (2015). Pakistan: A case of premature deindustrialization? Lahore Journal of Economics, 20(Special Edition), 107-141. https://doi.org/10.35536/lje.2015.v20.isp.a6

Im, K. S., Pesaran, M. H., & Shin, Y. (2003). Testing for unit roots in heterogeneous panels. Journal of Econometrics, 115(1), 53-74. https://doi.org/10.1016/s0304-4076(03)00092-7

Kimura, F. (2006). International production and distribution networks in East Asia: Eighteen facts, mechanics, and policy implications. Asian Economic Policy Review, 1(2), 326-344. https://doi.org/10.1111/j.1748-3131.2006.00039.x

Kimura, F., Takahashi, Y., & Hayakawa, K. (2007). Fragmentation and parts and components trade: Comparison between East Asia and Europe. The North American Journal of Economics and Finance, 18(1), 23-40. https://doi.org/10.1016/j.najef.2006.12.002

Koenker, R., & Bassett, G. J. (1978). Regression quantiles. Econometrica, 46(1), 33-50.

Lee, C. (2020). GVCs and premature deindustrialization in Malaysia. Singapore: ISEAS Yusof Ishak Institute.

Levin, A., Lin, C.-F., & Chu, C.-S. J. (2002). Unit root tests in panel data: Asymptotic and finite-sample properties. Journal of Econometrics, 108(1), 1-24. https://doi.org/10.1016/s0304-4076(01)00098-7

Maddala, G. S., & Wu, S. (1999). A comparative study of unit root tests with panel data and a new simple test. Oxford Bulletin of Economics and Statistics, 61(S1), 631-652. https://doi.org/10.1111/1468-0084.0610s1631

Nayyar, G., Cruz, M., & Zhu, L. (2021). Does premature deindustrialization matter? The role of manufacturing versus services in development. Journal of Globalization and Development, 12(1), 63-102. https://doi.org/10.1515/jgd-2020-0006

Rodrik, D. (2016). Premature deindustrialization. Journal of Economic Growth, 21(1), 1-33.

Sachs, J. D. (2007). How to handle the macroeconomics of oil wealth in escaping the resource curse. In M. Hamphreys, J. D. Sachs & J. E. Stiglitz, (Eds.). In (pp. 173-193). New York: Columbia University Press.

Sachs, J. D., & Warner, A. M. (2001). The curse of natural resources. European Economic Review, 45(4-6), 827-838.

Sato, H., & Kuwamori, H. (2019). A note on premature deindustrialization. Retrieved from IDE Discussion Paper, No. 763, Institute of Developing Economies, Japan External Trade Organization (IDE-JETRO).

Ssozi, J., & Howard, E. (2018). The non-classical structural economic transformation of Sub-Saharan Africa: Urbanization with premature deindustrialization. Africagrowth Agenda, 15(1), 8-12.

Sung, Y.-W. (2007). Made in China: From world sweatshop to a global manufacturing center? Asian Economic Papers, 6(3), 43-72. https://doi.org/10.1162/asep.2007.6.3.43

Taguchi, H., & Tsukada, Y. (2022). Premature deindustrialization risk in Asian latecomer developing economies. Asian Economic Papers, 21(2), 61-77. https://doi.org/10.1162/asep_a_00851

United Nations Conference on Trade and Development. (2013). World investment report 2013 – global value chains: Investment and Trade for Development. Paper presented at the United Nations Conference on Trade and Development: Geneva.

World Bank. (2020). World development report 2020: Trading for development in the age of global value chains. Washington DC: World Bank.

Appendix 1. Country classification (110 countries and 4 areas).

Africa

Latin America

Asia

Oceania

Algeria

Argentina

Afghanistan

Fiji

Angola

Belize

Bangladesh

Nauru

Benin

Bolivia

Bhutan

Papua New Guinea

Botswana

Brazil

Cambodia

Samoa

Burkina Faso

Colombia

China

Solomon Islands

Burundi *

Costa Rica

India

Tonga

Cabo Verde

Cuba

Indonesia

Tuvalu

Cameroon

Dominica

Iran

Vanuatu

Central African

Dominican Republic

Iraq

 

Chad

Ecuador

Jordan

 

Comoros *

El Salvador

Korea, Dem.

 

Congo

Grenada

Lao People's Dem. Rep.

 

Congo, Dem. Rep.

Guatemala

Lebanon

 

Côte d'Ivoire

Guyana

Malaysia

 

Djibouti *

Haiti

Maldives

 

Egypt

Honduras

Mongolia

 

Equatorial Guinea

Jamaica

Myanmar

 

Eswatini

Mexico

Nepal

 

Ethiopia *

Nicaragua

Pakistan

 

Gabon

Panama

Philippines

 

Gambia

Paraguay

Sri Lanka

 

Ghana

Peru

State of Palestine

 

Guinea

Saint Lucia

Syrian Arab Republic

 

Guinea-Bissau

Saint Vincent and the Grenadines

Thailand

 

Kenya *

Suriname

Turkey

 

Lesotho

Venezuela

Viet Nam

 

Liberia

 

 

 

Libya

 

 

 

Madagascar *

 

 

 

Malawi *

 

 

 

Mali

 

 

 

Mauritania

 

 

 

Mauritius *

 

 

 

Morocco

 

 

 

Mozambique *

 

 

 

Namibia

 

 

 

Niger

 

 

 

Nigeria

 

 

 

Rwanda *

 

 

 

Sao Tome and Principe

 

 

 

Senegal

 

 

 

Sierra Leone

 

 

 

Somalia *

 

 

 

South Africa

 

 

 

Tanzania *

 

 

 

Togo

 

 

 

Tunisia

 

 

 

Uganda *

 

 

 

Zambia *

 

 

 

Zimbabwe *

 

 

 


Footnote:

1. The estimation for Oceanian countries is excluded because the samples are quite limited.