This study performed a panel data analysis of Pakistan’s nine major sub-industries in the years 1980–2019. The primary objective was to conduct a disaggregate analysis of the substitution elasticity of inputs in the different industries, including textile, mining and currying, manufacturing, fuel extraction, electricity, gas, and water supply, using the translog production function. The study used the translog production function to estimate output and substitution elasticities for each sub-industry. Based on the results of the output elasticities, the study concluded that there were negative elasticities for the inputs oil, gas, and labor, except for capital, which had positive elasticity, causing increasing returns to scale for industries. The elasticity of substitution was greater than one and the value was positive, showing that costly energy inputs can and should be replaced with cheaper energy inputs in these industries. For instance, electricity can be replaced with gas, which is cheaper than electricity in Pakistan.
Keywords: Energy inputs, Industrial sector, Non-energy inputs , Output and substitution elasticities, Panel data , Translog production function.
JEL Classification: Q4; Q11; Q21; Q31; C51.
Received: 16 August 2022 / Revised: 19 September 2022 / Accepted: 4 October 2022 / Published: 25 October 2022
This study calculated the output and substitution elasticities of the sub-industries of Pakistan using the translog production function, which is a novel approach in the literature.
Pakistan’s development has, for the most part, been input-driven rather than efficiency-driven. For the period 1972–2019, inputs contributed nearly 67% to economic growth, while the remaining 33% was accounted for by the total factor productivity (TFP). In the 70s, however, when capital contributed less than 20% to Gross Domestic Product (GDP), the commitment to capital abundance was considerable. Labor commitment fluctuated between -0.45% and 47.79% in the 70s and 80s. From 1972 to 2019, the agriculture industry generated around 27% of the GDP and employed nearly 50% of the labor force. However, agriculture's contribution to the Pakistani economy has shrunk over time (Amjad & Awais, 2016). By the years 2011–19, agriculture's contribution to the economy had dropped to about 20% and the proportion of the labor force employed had fallen to 43%. Yet, regardless of its decreasing proportion of output and employment, it remains a significant industry. It provides a living for a large portion of Pakistan's people and meets the country's food needs. It is also a source of raw materials for other Pakistani businesses. Furthermore, there are additional connections between the industry and small-scale businesses, such as those selling motorbikes and other consumption items (Edgardo & Koehler-Geib, 2009). In light of the considerable benefits of the agriculture sector for broad segments of the population, it is critical to address agriculture's poor productivity. There are multiple reasons for this, but the main ones include high levels of government interference in agricultural production and selling, low knowledge levels among rural people, and a lack of services that allow farmers to connect with markets.
As structural transformation occurs, the industrial sector, including the manufacturing sector, is expected to become the cornerstone of economic growth. In Pakistan, the contribution of industrial production to GDP has risen from around 15% in 1972 to 20% in 2019. As a consequence, the labor force engaged in the industrial sector has expanded from 17.7% to 24.5% in 2019. However, the manufacturing sector's unimpressive performance can be attributed to a lack of focus on a wide variety of industrial products, inferior quality, very little access to international markets, and a lack of a solid competitive position. Moreover, little or no attention to the productive capacity for human growth and a shortage of research and innovation are some of the main issues causing financial difficulties in the industrial sector (Barro, 1991; Hartwell, 2017; Kalim, 2001; Lewis, 1955) .
Based on Christensen, Jorgenson, and Lau (1973), the translog production function was estimated using the inputs of capital, labor, oil, gas, and electricity for nine major industries of Pakistan from 1980 to 2018, and the results are shown in Table 1. For the analysis, the trans-log production function was estimated using panel data. As it is long panel data, the panel unit root test was applied to all variables to check for stationarity; all variables were found to be stationary at first difference. To estimate the translog production model, Stata software was used after taking the log of all variables. All the variables were first normalized by their mean. Due to the long panel data, there were problems of cross-sectional dependence, which was solved by estimating the fixed model through Driscoll-Kraay standard errors. The model passed all panel data diagnostic checks, including the LM test of independence, modified test for group-wise heteroscedasticity, and Wooldridge test for autocorrelation. All the results of the production function estimates are provided in the table below.
Table 1. Translog production function estimates for panel data (nine sub-industries, timespan: 1981–2018). |
| Variables | Coefficients |
S.E |
t-Stat |
| lnl | -0.060 |
0.487 |
-0.12 |
| lnoil | 0.072 |
0.579 |
0.12 |
| lnk | 1.072*** |
0.247 |
4.34 |
| lngas | -0.154 |
0.735 |
-0.21 |
| lnelec | -0.326 |
0.175 |
-1.87 |
| lnl_lnk | 0.395*** |
0.120 |
3.30 |
| lnl_lnoil | -0.075 |
0.296 |
-0.25 |
| lnl_lngas | -0.429 |
0.738 |
-0.58 |
| lnl_lnelec | 0.256 |
0.184 |
1.39 |
| lnk_lnoil | 0.457*** |
0.132 |
3.46 |
| lnk_lngas | -0.143 |
0.130 |
-1.11 |
| lnk_lnelec | 0.086*** |
0.041 |
2.09 |
| lnoil_lngas | -0.534 |
0.271 |
-1.97 |
| lnoil_lnelec | 0.015 |
0.142 |
0.10 |
| lngas_lnelec | -0.256 |
0.245 |
-1.04 |
| _t | 0.010 |
0.023 |
0.46 |
| _t_lnl | -0.038 |
0.041 |
-0.93 |
| _t_lnk | -0.028 |
0.024 |
-1.18 |
| _t_lnoil | -0.038 |
0.015 |
-2.51 |
| _t_lngas | 0.002 |
0.035 |
0.07 |
| _t_lnelec | 0.001 |
0.022 |
0.06 |
| _t_2 | -0.001 |
0.002 |
-0.29 |
| lnl_2 | -0.351 |
0.278 |
-1.26 |
| lnk_2 | 0.186*** |
0.068 |
2.76 |
| lnoil_2 | -0.038 |
0.224 |
-0.17 |
| lngas_2 | 0.178 |
0.183 |
0.97 |
| lnelec_2 | -0.238 |
0.110 |
-2.16 |
| _cons | 13.025*** |
0.490 |
26.56 |
Note:. *** denotes significance at the 10% level. |
Concerning Pakistan’s industrial sector, panel data analysis was performed on nine major sub-industries from 1980 to 2019. The primary goal was to conduct a disaggregate analysis to calculate the elasticity substitution in the case of the inputs used in various industries, such as textile, mining and currying, manufacturing, fuel extraction, electricity, gas, and water supply, using the translog production function.
The main objective of the study was thus to conduct a disaggregate analysis of elasticity substitution of input and output for the major industries of Pakistan using the translog production function.
1.1. Hypotheses of the Study
The following hypotheses were formulated and tested to meet the research objective.
Ho1: There is no significant difference between the output elasticity of inputs of sub-industries.
Ho2: There is no difference in elasticity among the different industries of Pakistan using energy and non-energy inputs.
Mahmood (1989) was the first to use the translog model to study the manufacturing sector of Pakistan. In the study of Mahmud (2000), the translog cost function was applied to discover the elasticity of energy and non-energy factors. Mahmud (2000) provided further analysis of the same issue using a quasi-fixed generalized Leontief specification instead of a simple translog function. Two models were submitted based on public prices and other prices and aggregated through the model. Short-run and log-run results were estimated for both models by keeping capital fixed in the short run and adjustable in long run and using the aggregated translog cost function price of inputs rather than using government-published prices. A generalized Leontief classification was used to keep capital fixed in the short run and flexible in the long run. Models were estimated using the Zellner iterative method. The results suggested that own price elasticity should remain low in both the short and long run for labor but in the long run, capital could be adjustable. In the end, the elasticity result showed that all inputs were substitutes for each other and, therefore, energy and non-energy products can be substituted in the case of Pakistan, although this is a limited possibility. As the cost of production increases due to increases in the prices of the inputs, the high prices cause a lack of capital formation. These results contradicted those of Chishti and Mahmood (1991). As in most similar studies, time-series data was used; however, some authors have suggested using cross-sectional data to obtain more rigorous results. Moreover, there could be problems of endogeneity and multicollinearity in the model; therefore, using the translog function could lead to biased results. The ridge regression method could be used to avoid this problem. Also, the electricity and transport sectors have, in many cases, been ignored in Pakistan as they are big users of energy and have notable effects on energy demand and price.
More contradicting results are those of Mahmood (1989), who found that energy and capital complement each other in a study using the same data set on the Pakistani manufacturing sector as Chishti and Mahmood (1991). They also concluded that all inputs have a substitutionary relationship after conducting a price elasticity analysis. The author was the first to use the translog function in the case of Pakistan, although the manufacturing sector of Pakistan had been previously studied (e.g., Kemal, 1982). The author argued that there were too many restrictions in the Constant Elasticity of Substitution (CES) and Cobb Douglas production functions, although these approaches are still used in many studies internationally due to their easy method of estimation. However, the translog function is a complex way to estimate the model in a two-stage process, meaning that results could be problematic.
Methodologically, Mahmood (1989) pioneered the use of the translog function to estimate substituting elasticity in the case of Pakistan’s manufacturing sector and also pioneered the use of the additional factor raw material by using seemingly uncorrelated regression. Other studies, such as (Batool & Zulfiqar, 2011; Khan & Burki, 1999; Mahmud & Chishti, 1990; Zafar & Ahmed, 2005) , have also used the translog function to estimate the substitution elasticity on input factors and prices for the manufacturing sector of Pakistan using the Zellner iterative approach. Also, Batool and Zulfiqar (2011) and Zafar and Ahmed (2005) have done the same for the manufacturing industries and Census of Manufacturing Industries (CMI) of Punjab and Sindh, respectively. Kemal (1982) and Zahid, Akbar, and Jaffry (1992) used the CES production function as introduced by Kazi, Khan, and Khan (1976). However, these models have too many restrictions that could lead to wrong and unreliable results. Khan and Burki (1999) also used the generalized Leontief approach of Mahmud (2000) to study the manufacturing sector of Pakistan, with the only difference being that they aimed to check the bias in the technological changes in this sector. Only one study researched the transport sector of Pakistan to estimate the substitution elasticity; most studies concerned Pakistan’s manufacturing sector at the aggregate level.
3.1. Translog Production Function
Based on the studies of Lin and Ahmad (2016) and Smyth, Narayan, and Shi (2011), the translog production function (TPF) derived by Christensen et al. (1973) was applied as below.
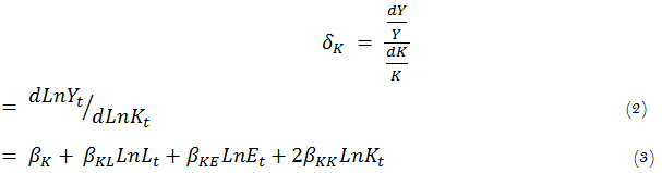
Where Yt represents the output of industry in year t, Kt represents the capital stock of industry in year t, Lt represents the labor of industry in year t, Et represents the energy consumption of industry in year t, is the coefficient that would be estimated, and
is the constant. Next, the elasticities were tested for output.
3.2. Output Elasticities
In accordance with Lin and Ahmad (2016), Equation 1 was differentiated for the natural log of Kt, Lt, Pt, Ct, and Gt, giving us the output elasticity for capital K:
Where E represents energy inputs such as oil, gas, coal, and electricity, and L and K denote labor and capital inputs, respectively. The combination of other inputs can be calculated as above.
3.3. Substitution Elasticity
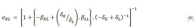
The elasticity of substitution between capital and labor can be written as Equation 4:
Equation 5 is the simple transformation of Equation 4 by solving inverse terms for the elasticity of substitution between capital and labor.
The expression of the elasticity of substitution between capital and labor is presented in Equation 6.
Similarly, the elasticity of substitution was estimated for other inputs like oil, gas, and coal.
3.4. Data and Data Sources
Data were retrieved from various sources, including the Federal Bureau of Statistics Pakistan (FBS), the International Monetary Fund (IMF), World Bank Indicators (WDI) data, publications of economic surveys of Pakistan (from 1989 to 2019), and labor force surveys and energy yearbooks for Pakistan. For the variable capital, the capital stock data were estimated based on measurements by Berlemann and Wesselhöft (2016), as used by Kamps (2006) and Lin and Ahmad (2016) and expressed in Equation 7:
Where Kt is the capital stock, is the depreciation rate in investment, and It is an investment.
Thus, to conduct panel data analysis, data on nine major sub-industries of Pakistan were collected, covering output (Y), labor (L), capital (K), and consumption of oil, gas, and electricity in each industry. This data was used in the translog production function to estimate output and substitution elasticity for each industry from 1980 to 2019.
Originally, our main purpose was to calculate output elasticity for each input. First, the translog production function was differentiated, which resulted in the estimates provided in Table 1 for capital, labor, oil, gas, and electricity used in the agriculture, forestry, hunting, and fishing sectors. Similarly, the output elasticity for all sub-industries was calculated (note that energy inputs for the mining and currying, construction, transport and storage, and finance/insurance sectors were not available). All the output elasticities calculated for these industries from 1980 to 2018 are listed in Appendix A1 and A2. The average output elasticity has been graphed and is displayed in Figure 1, where it can be observed that the output elasticity for oil in all five industries shows a negative trend and all values are negative, which indicates that there is a negative return in all sectors due to the use of oil as an input. This could be because petroleum products are imported in great quantity in Pakistan but are not used for development purposes.
Figure 1. Output elasticities in sub-industries of Pakistan.
Thus, adding an additional unit of oil causes the total output to reduce. Similarly, the output elasticity for labor, gas, and electricity shows a negative trend and has a negative return in all industries; however, the value of elasticity is near -1, which is far less than that of oil. Only the output elasticity of capital in these sectors shows a positive trend, characterized by increasing returns to scale or outputs greater than one, meaning that the output increases or has increasing returns to scale for capital in Pakistan’s industries.
4.2. Substitution Elasticities
The elasticity of substitution was derived using the ratio between two inputs used in production to obtain the ratio of their marginal product, as illustrated in the section above. From the results in Appendixes A3 to A7, regarding the elasticity of substitution, it can be observed that all the values are positive and greater than one or close to one. Table 2 summarizes the elasticity of substitution, showing the average elasticity for all industries from 1980 to 2018.
| Sectors | σKL |
σKO |
σKG |
σKE |
σLO |
σLG |
σLE |
σOG |
σOE |
σGE |
| AGRI | 1.112 |
1.005 |
1.032 |
1.112 |
1.014 |
0.887 |
1.288 |
1.010 |
1.141 |
0.671 |
| MANUF | 1.103 |
1.004 |
1.033 |
1.110 |
1.011 |
0.886 |
1.275 |
1.011 |
1.144 |
1.741 |
| ELEC | 1.121 |
1.004 |
1.031 |
1.097 |
1.012 |
0.838 |
1.341 |
1.010 |
1.124 |
2.048 |
| W.S. | 1.124 |
1.005 |
1.034 |
1.098 |
1.013 |
0.867 |
1.373 |
1.011 |
1.126 |
1.523 |
| S.S. | 1.113 |
1.005 |
1.032 |
1.112 |
1.014 |
0.885 |
1.291 |
1.010 |
1.140 |
0.617 |
Note: AGRI: Agriculture, MANUF: Manufacturing, ELEC: electricity, W.S.: Wholesale, S.S.: Social Services. |
The graph illustrating these averages, in Figure 2, shows that the capital-labor elasticity in agriculture, manufacturing, electricity, wholesale, and social services is greater than one; meaning that capital-labor is highly elastic and easily substitutable. More, and more efficient, labor can be employed for production purposes in place of capital by using skilled and efficient labor, which increases production at lower input costs in all industries in Pakistan. It can be seen that the substitution elasticity between all the inputs is greater than one or close to one, so it can be concluded that all the inputs are substitutable for each other in all sectors.
Figure 2. Elasticity of substitution in sub-industries of Pakistan.
The elasticity of substitution between capital-gas, capital-electricity, labor-electricity, and oil-electricity is greater than one and positive, which shows that each of these sets of inputs is easily substitutable and has elastic demand. The government increased the price of Compressed Natural Gas (CNG) up to 20 to 25Rs in Oct 2018, which put considerable pressure on the common people, and, due to this, the price of fertilizers and related goods also increased. In 2016, the price of CNG was higher than petrol, and since then many industries and stakeholders have faced a decline in the CNG sector.
By 2018, the CNG prices had increased too much, which was very alarming for gas consumers; due to the high gas prices, consumers shifted back to petrol consumption. However, there was no saving when using gas, so it led to a burden on import bills due to the costliness of the import of petrol and petroleum products. High prices caused a low level of saving and investment, leading to an increase in unemployment.
Costly inputs like oil and gas can be replaced with cheaper and easily available inputs like labor and capital for production purposes in all these sectors, but they need more advanced machinery and efficient and skilled labor. As labor is available in great quantity in Pakistan and at a cheaper cost, highly skilled and efficient labor can be employed to increase production in place of energy inputs. According to a report by The Economist (August 6, 2018), oil consumption will have decreased by 2030 due to an increase in the consumption of coal, hydro, and other renewable resources. Therefore, the demand for costly inputs is being substituted with other inputs due to the effect of the price. The elasticity of substitution in the case of gas-electricity has a positive value larger than one; thus, expensive energy inputs must be swapped for less expensive ones. In Pakistan, a gas that is more affordable than electricity can be used to substitute a form of energy. The elasticity of substitution in the cases of capital-oil, labor-oil, and oil-gas is equal to one, which means that both inputs can be equally substituted or have constant substitution; thus, capital, labor, oil, and electricity can be equally utilized in these industrial sectors but costly energy inputs like oil and electricity must be replaced by the cheaper inputs of labor and capital. However, to achieve that, there is a need to use highly skilled and efficient labor to increase production in the sectors.
Such substitutions will lead to energy efficiency and a reduction in CO2 emissions. The value of elasticity of substitution in the case of gas and electricity is less than one for the agriculture and social sectors, which means that gas and electricity inputs are slightly inelastic and thus slightly less substitutable.
In this paper, we have employed the translog production function introduced by Christensen et al. (1973) using the inputs of capital, labor, oil, gas, and electricity for nine major industries of Pakistan from 1980 to 2018. For the analysis, the trans-log production function was estimated using panel data. Because it was long panel data, the panel unit root test was applied to all the variables to check their stationarity and revealed that all the variables were stationary at first difference. Based on the findings of output elasticities, we concluded that the inputs oil, gas, and labor all had negative elasticities, while capital had positive elasticity. This resulted in an increased return to scale for industries. In the case of Pakistan, all other inputs revealed a declining return to scale across all industries examined in this paper. In these industries, where the elasticity of substitution is greater than one and the value is positive, expensive energy inputs must be replaced with less expensive energy inputs. Gas, which is more affordable than electricity in Pakistan, can be used to replace certain utilities. The elasticity of substitution in the case of capital-oil, labor-oil, and oil-gas is equal to one, which means that both inputs are equally substituted or have constant substitution; therefore, these industrial sectors can equally utilize capital, labor, oil, and electricity but need to replace costly energy inputs like oil and electricity with the cheaper inputs of labor and capital, and for that, it is necessary to use highly skilled and efficient labor to increase the production in these sectors.
Funding: This study received no specific financial support. |
Competing Interests: The authors declare that they have no competing interests. |
Authors’ Contributions: All authors contributed equally to the conception and design of the study. |
Amjad, R., & Awais, N. (2016). Pakistan’s productivity performance and TFP trends, 1980–2015: Cause for real concern. The Lahore Journal of Economics, 21(SE), 33–63.Available at: https://doi.org/10.35536/lje.2016.v21.isp.a3.
Barro, R. J. (1991). Economic growth in a cross section of countries. The Quarterly Journal of Economics, 106(2), 407-443.Available at: https://doi.org/10.2307/2937943.
Batool, S. A., & Zulfiqar, S. (2011). The Performance and structure of small & medium enterprises: An empirical evidence from Pakistan. Pakistan Journal of Social Sciences (PJSS), 31(2), 433-447.
Berlemann, M., & Wesselhöft, J.-E. (2016). Estimating aggregate capital stocks using the perpetual inventory method. Review of Economics, 65(1), 1–34.Available at: https://doi.org/10.1515/roe-2014-0102.
Chishti, S., & Mahmood, F. (1991). The energy demand in the industrial sector of Pakistan. The Pakistan Development Review, 30(1), 83-88.Available at: https://doi.org/10.30541/v30i1pp.83-88.
Christensen, L., Jorgenson, D., & Lau, L. (1973). Transcendental logarithmic production frontiers. Review of Economics & Statistics, 55(1), 28-45.Available at: https://doi.org/10.2307/1927992.
Edgardo, F., & Koehler-Geib, F. (2009). Pakistan – a fresh look at the crisis and policy priorities. Washington, D.C: The World Bank Group.
Hartwell, R. M. (2017). The industrial revolution and economic growth: Routledge.
Kalim, R. (2001). A measure of the elasticity of substitution in the manufacturing sector of Pakistan. Lahore Journal of Economics, 6(2), 43-56.Available at: https://doi.org/10.35536/lje.2001.v6.i2.a3.
Kamps, C. (2006). New estimates of government net capital stocks for 22 OECD countries, 1960–2001. IMF Saff Papers, 53(1), 120-150.
Kazi, S., Khan, Z. S., & Khan, S. A. (1976). Production relationships in Pakistan's manufacturing industries. The Pakistan Development Review, 15(4), 406-423.Available at: https://doi.org/10.30541/v15i4pp.406-423.
Kemal, A. R. (1982). Substitution elasticities in the large-scale manufacturing industries of Pakistan - a rejoinder. The Pakistan Development Review, 21(2), 159–168.Available at: https://doi.org/10.30541/v21i2pp.159-168.
Khan, M.-U.-H., & Burki, A. A. (1999). Technological change and substitution possibilities in Pakistan's large-scale manufacturing: Some new evidence. Pakistan Economic and Social Review, 37(2), 123-138.
Lewis, W. A. (1955). The theory of economic growth. London: George Allen & Unwin.
Lin, B., & Ahmad, I. (2016). Energy substitution effect on transport sector of Pakistan based on trans-log production function. Renewable and Sustainable Energy Reviews, 56, 1182-1193.Available at: https://doi.org/10.1016/j.rser.2015.12.012.
Mahmood, Z. (1989). Derived demand for factors in the large-scale manufacturing sector of Pakistan. The Pakistan Development Review, 28(4), 731-742.
Mahmud, F., & Chishti, S. (1990). The demand for energy in the large-scale manufacturing sector of Pakistan. Energy Economics, 12(4), 251-254.Available at: https://doi.org/10.1016/0140-9883(90)90015-8.
Mahmud, S. F. (2000). The energy demand in the manufacturing sector of Pakistan: Some further results. Energy Economics, 22(6), 641-648.Available at: https://doi.org/10.1016/s0140-9883(99)00031-6.
Smyth, R., Narayan, P. K., & Shi, H. (2011). Substitution between energy and classical factor inputs in the Chinese steel sector. Applied Energy, 88(1), 361-367.Available at: https://doi.org/10.1016/j.apenergy.2010.07.019.
Zafar, S., & Ahmed, E. (2005). Evidence on allocative efficiency and elasticities of substitution in the manufacturing sector of Pakistan. The Pakistan Development Review, 44(4), 795-803.Available at: https://doi.org/10.30541/v44i4iipp.795-803.
Zahid, S. N., Akbar, M., & Jaffry, S. A. (1992). Technical change, efficiency, and capital-labour substitution in Pakistan's large-scale manufacturing sector. Pakistan Development Review, 31(2), 165-189.Available at: https://doi.org/10.30541/v31i2pp.165-188.
Appendix A1. Output elasticities for agriculture, forestry, hunting and fishing and manufacturing industries (1980-2018). |
Agriculture, Forestry, Hunting and Fishing |
Manufacturing |
||||||||||
Φk |
ΦL |
Φoil |
Φgas |
Φelec |
Φk |
ΦL |
Φoil |
Φgas |
Φelec |
||
1.55 |
-1.11 |
-9.47 |
-0.71 |
-0.56 |
1.56 |
-0.86 |
-9.50 |
-0.64 |
-0.56 |
||
1.91 |
-0.94 |
-9.09 |
-0.59 |
-0.52 |
1.88 |
-0.76 |
-9.50 |
-0.57 |
-0.53 |
||
1.90 |
-0.99 |
-9.32 |
-0.62 |
-0.54 |
1.90 |
-0.79 |
-9.70 |
-0.59 |
-0.55 |
||
1.91 |
-1.01 |
-9.38 |
-0.64 |
-0.55 |
1.90 |
-0.86 |
-10.14 |
-0.64 |
-0.57 |
||
1.89 |
-1.05 |
-9.57 |
-0.67 |
-0.56 |
1.91 |
-0.88 |
-10.27 |
-0.65 |
-0.58 |
||
1.90 |
-1.06 |
-9.66 |
-0.68 |
-0.57 |
1.92 |
-0.89 |
-10.38 |
-0.67 |
-0.59 |
||
1.92 |
-1.06 |
-9.65 |
-0.68 |
-0.57 |
1.93 |
-0.92 |
-10.59 |
-0.68 |
-0.61 |
||
1.91 |
-1.11 |
-9.91 |
-0.72 |
-0.60 |
1.94 |
-0.91 |
-10.58 |
-0.68 |
-0.61 |
||
1.92 |
-1.10 |
-9.82 |
-0.71 |
-0.60 |
1.96 |
-0.91 |
-10.62 |
-0.68 |
-0.62 |
||
1.93 |
-1.09 |
-9.81 |
-0.71 |
-0.60 |
1.97 |
-0.93 |
-10.63 |
-0.69 |
-0.63 |
||
1.94 |
-1.08 |
-9.74 |
-0.70 |
-0.60 |
1.99 |
-0.90 |
-10.53 |
-0.68 |
-0.62 |
||
1.95 |
-1.08 |
-9.78 |
-0.71 |
-0.61 |
1.99 |
-0.95 |
-10.69 |
-0.72 |
-0.64 |
||
1.96 |
-1.08 |
-9.80 |
-0.70 |
-0.61 |
2.01 |
-0.93 |
-10.72 |
-0.71 |
-0.64 |
||
1.94 |
-1.12 |
-9.89 |
-0.72 |
-0.62 |
2.03 |
-0.92 |
-10.78 |
-0.70 |
-0.64 |
||
1.96 |
-1.10 |
-9.77 |
-0.71 |
-0.62 |
2.03 |
-0.92 |
-10.88 |
-0.69 |
-0.64 |
||
1.97 |
-1.09 |
-9.72 |
-0.70 |
-0.62 |
2.02 |
-0.96 |
-11.08 |
-0.72 |
-0.65 |
||
1.99 |
-1.09 |
-9.77 |
-0.70 |
-0.63 |
2.02 |
-0.95 |
-10.99 |
-0.72 |
-0.65 |
||
2.00 |
-1.05 |
-9.68 |
-0.68 |
-0.62 |
2.02 |
-0.96 |
-11.08 |
-0.72 |
-0.65 |
||
2.00 |
-1.06 |
-9.69 |
-0.67 |
-0.61 |
2.02 |
-0.95 |
-10.99 |
-0.72 |
-0.65 |
||
2.00 |
-1.09 |
-9.82 |
-0.69 |
-0.61 |
2.03 |
-0.94 |
-10.93 |
-0.69 |
-0.66 |
||
2.39 |
-1.04 |
-9.64 |
-0.69 |
-0.57 |
2.64 |
-0.82 |
-10.65 |
-0.64 |
-0.60 |
||
2.39 |
-1.02 |
-9.54 |
-0.68 |
-0.57 |
2.61 |
-0.86 |
-10.65 |
-0.66 |
-0.62 |
||
2.40 |
-1.01 |
-9.44 |
-0.67 |
-0.57 |
2.61 |
-0.90 |
-10.77 |
-0.68 |
-0.65 |
||
2.40 |
-1.01 |
-9.40 |
-0.67 |
-0.58 |
2.60 |
-0.93 |
-10.76 |
-0.71 |
-0.66 |
||
2.41 |
-0.97 |
-9.20 |
-0.65 |
-0.57 |
2.52 |
-0.91 |
-10.48 |
-0.69 |
-0.65 |
||
2.43 |
-0.93 |
-8.79 |
-0.62 |
-0.56 |
2.44 |
-0.94 |
-10.45 |
-0.71 |
-0.65 |
||
2.55 |
-0.97 |
-8.92 |
-0.67 |
-0.56 |
2.46 |
-0.94 |
-10.46 |
-0.71 |
-0.66 |
||
2.55 |
-0.99 |
-9.02 |
-0.68 |
-0.57 |
2.47 |
-0.95 |
-10.68 |
-0.71 |
-0.66 |
||
2.56 |
-0.94 |
-8.67 |
-0.65 |
-0.55 |
2.48 |
-0.94 |
-10.69 |
-0.70 |
-0.67 |
||
2.57 |
-0.93 |
-8.54 |
-0.64 |
-0.55 |
2.48 |
-0.95 |
-10.66 |
-0.71 |
-0.67 |
||
2.58 |
-0.89 |
-8.27 |
-0.62 |
-0.54 |
2.48 |
-0.96 |
-10.67 |
-0.72 |
-0.67 |
||
2.60 |
-0.82 |
-7.83 |
-0.57 |
-0.51 |
2.53 |
-0.94 |
-10.60 |
-0.71 |
-0.63 |
||
2.61 |
-0.84 |
-8.05 |
-0.58 |
-0.51 |
2.51 |
-0.99 |
-10.73 |
-0.74 |
-0.67 |
||
2.60 |
-0.90 |
-8.36 |
-0.62 |
-0.53 |
2.53 |
-0.97 |
-10.67 |
-0.74 |
-0.67 |
||
2.61 |
-0.87 |
-8.18 |
-0.60 |
-0.52 |
2.54 |
-0.98 |
-10.67 |
-0.74 |
-0.67 |
||
2.64 |
-0.76 |
-7.46 |
-0.53 |
-0.49 |
2.53 |
-1.02 |
-11.01 |
-0.77 |
-0.68 |
||
2.64 |
-0.75 |
-7.36 |
-0.52 |
-0.49 |
2.55 |
-1.03 |
-11.00 |
-0.78 |
-0.68 |
||
2.65 |
-0.75 |
-7.36 |
-0.52 |
-0.49 |
2.57 |
-1.03 |
-11.00 |
-0.78 |
-0.68 |
||
2.21 |
-0.99 |
-9.14 |
-0.65 |
-0.57 |
2.24 |
-0.92 |
-10.59 |
-0.70 |
-0.63 |
||
Appendix A2. Output elasticities for electricity, gas & water construction, wholesale, retail trade, restaurants and hotels, community, social and personal services. |
Electricity, gas & water Construction |
Wholesale, Retail Trade, restaurants and Hotels |
Community, social and personal services |
||||||||||||
Φk |
ΦL |
Φoil |
Φgas |
Φelec |
Φk |
ΦL |
Φoil |
Φgas |
Φelec |
Φk |
ΦL |
Φoil |
Φgas |
Φelec |
1.206 |
-0.811 |
-9.215 |
-0.559 |
-0.485 |
1.491 |
-0.928 |
-10.044 |
-0.619 |
-0.538 |
1.367 |
-1.035 |
-10.261 |
-0.723 |
-0.485 |
1.486 |
-0.815 |
-9.798 |
-0.562 |
-0.484 |
1.844 |
-0.812 |
-9.971 |
-0.535 |
-0.515 |
1.724 |
-0.908 |
-10.145 |
-0.638 |
-0.448 |
1.470 |
-0.910 |
-10.238 |
-0.637 |
-0.516 |
1.851 |
-0.834 |
-10.057 |
-0.548 |
-0.532 |
1.733 |
-0.915 |
-10.186 |
-0.641 |
-0.451 |
1.493 |
-0.882 |
-10.224 |
-0.623 |
-0.518 |
1.858 |
-0.860 |
-10.175 |
-0.567 |
-0.552 |
1.741 |
-0.928 |
-10.204 |
-0.653 |
-0.465 |
1.516 |
-0.904 |
-10.389 |
-0.651 |
-0.551 |
1.857 |
-0.886 |
-10.267 |
-0.584 |
-0.568 |
1.751 |
-0.926 |
-10.130 |
-0.650 |
-0.469 |
1.527 |
-0.881 |
-10.409 |
-0.638 |
-0.552 |
1.873 |
-0.897 |
-10.326 |
-0.592 |
-0.581 |
1.770 |
-0.916 |
-10.123 |
-0.650 |
-0.470 |
1.521 |
-0.957 |
-10.585 |
-0.676 |
-0.557 |
1.875 |
-0.924 |
-10.404 |
-0.611 |
-0.597 |
1.798 |
-0.848 |
-9.531 |
-0.606 |
-0.449 |
1.535 |
-0.974 |
-10.808 |
-0.690 |
-0.576 |
1.885 |
-0.935 |
-10.413 |
-0.623 |
-0.607 |
1.807 |
-0.862 |
-9.616 |
-0.618 |
-0.458 |
1.560 |
-1.009 |
-10.924 |
-0.724 |
-0.595 |
1.895 |
-0.951 |
-10.514 |
-0.633 |
-0.618 |
1.818 |
-0.857 |
-9.614 |
-0.611 |
-0.460 |
1.575 |
-1.025 |
-11.063 |
-0.726 |
-0.595 |
1.893 |
-0.983 |
-10.640 |
-0.652 |
-0.635 |
1.823 |
-0.882 |
-9.768 |
-0.627 |
-0.469 |
1.584 |
-1.066 |
-11.179 |
-0.747 |
-0.615 |
1.895 |
-0.988 |
-10.534 |
-0.657 |
-0.640 |
1.832 |
-0.876 |
-9.636 |
-0.620 |
-0.470 |
1.599 |
-1.083 |
-11.282 |
-0.757 |
-0.620 |
1.915 |
-0.943 |
-10.206 |
-0.627 |
-0.631 |
1.845 |
-0.873 |
-9.623 |
-0.618 |
-0.472 |
1.614 |
-1.097 |
-11.380 |
-0.765 |
-0.619 |
1.925 |
-0.949 |
-10.226 |
-0.631 |
-0.641 |
1.845 |
-0.906 |
-9.723 |
-0.637 |
-0.486 |
1.615 |
-1.136 |
-11.563 |
-0.796 |
-0.649 |
1.928 |
-0.951 |
-10.193 |
-0.633 |
-0.646 |
1.856 |
-0.905 |
-9.718 |
-0.630 |
-0.472 |
1.624 |
-1.156 |
-11.625 |
-0.822 |
-0.654 |
1.918 |
-0.994 |
-10.228 |
-0.662 |
-0.663 |
1.866 |
-0.908 |
-9.719 |
-0.633 |
-0.478 |
1.656 |
-1.156 |
-11.712 |
-0.824 |
-0.661 |
1.923 |
-1.003 |
-10.251 |
-0.671 |
-0.672 |
1.874 |
-0.925 |
-9.844 |
-0.646 |
-0.491 |
1.673 |
-1.148 |
-11.754 |
-0.813 |
-0.663 |
1.938 |
-0.976 |
-10.126 |
-0.648 |
-0.668 |
1.884 |
-0.933 |
-9.828 |
-0.652 |
-0.494 |
1.654 |
-1.195 |
-11.912 |
-0.845 |
-0.680 |
1.928 |
-0.999 |
-10.136 |
-0.661 |
-0.678 |
1.891 |
-0.946 |
-9.802 |
-0.660 |
-0.497 |
1.654 |
-1.195 |
-11.912 |
-0.845 |
-0.680 |
1.926 |
-1.000 |
-10.129 |
-0.662 |
-0.680 |
1.898 |
-0.949 |
-9.801 |
-0.659 |
-0.503 |
1.712 |
-0.977 |
-11.772 |
-0.567 |
-0.502 |
1.924 |
-1.075 |
-10.117 |
-0.739 |
-0.694 |
1.915 |
-0.911 |
-9.769 |
-0.623 |
-0.499 |
2.072 |
-0.916 |
-11.649 |
-0.568 |
-0.463 |
2.357 |
-0.968 |
-9.775 |
-0.702 |
-0.643 |
2.299 |
-0.880 |
-9.848 |
-0.638 |
-0.477 |
2.034 |
-0.853 |
-11.059 |
-0.505 |
-0.464 |
2.368 |
-0.928 |
-9.501 |
-0.667 |
-0.638 |
2.312 |
-0.851 |
-9.557 |
-0.617 |
-0.480 |
1.996 |
-0.960 |
-11.442 |
-0.592 |
-0.508 |
2.383 |
-0.897 |
-9.076 |
-0.657 |
-0.631 |
2.312 |
-0.891 |
-9.699 |
-0.647 |
-0.507 |
1.969 |
-0.987 |
-11.784 |
-0.614 |
-0.525 |
2.397 |
-0.867 |
-8.927 |
-0.631 |
-0.629 |
2.320 |
-0.928 |
-9.658 |
-0.686 |
-0.518 |
2.067 |
-0.980 |
-11.802 |
-0.618 |
-0.521 |
2.406 |
-0.878 |
-9.028 |
-0.633 |
-0.636 |
2.328 |
-0.925 |
-9.626 |
-0.682 |
-0.520 |
2.050 |
-1.015 |
-11.873 |
-0.648 |
-0.529 |
2.432 |
-0.859 |
-8.864 |
-0.619 |
-0.627 |
2.333 |
-0.951 |
-9.761 |
-0.697 |
-0.525 |
1.968 |
-1.106 |
-12.053 |
-0.718 |
-0.553 |
2.429 |
-0.817 |
-8.790 |
-0.578 |
-0.624 |
2.355 |
-0.921 |
-9.655 |
-0.671 |
-0.521 |
1.989 |
-1.053 |
-11.958 |
-0.675 |
-0.540 |
2.438 |
-0.821 |
-8.757 |
-0.581 |
-0.627 |
2.369 |
-0.934 |
-9.763 |
-0.682 |
-0.527 |
1.922 |
-1.106 |
-11.968 |
-0.719 |
-0.553 |
2.427 |
-0.860 |
-8.893 |
-0.596 |
-0.644 |
2.392 |
-0.910 |
-9.633 |
-0.667 |
-0.523 |
1.977 |
-1.066 |
-12.047 |
-0.672 |
-0.548 |
2.425 |
-0.880 |
-8.925 |
-0.618 |
-0.650 |
2.413 |
-0.914 |
-9.714 |
-0.675 |
-0.525 |
1.998 |
-1.031 |
-12.003 |
-0.664 |
-0.537 |
2.438 |
-0.858 |
-8.825 |
-0.602 |
-0.647 |
2.431 |
-0.908 |
-9.718 |
-0.674 |
-0.523 |
2.175 |
-0.966 |
-11.409 |
-0.646 |
-0.466 |
2.525 |
-0.730 |
-8.291 |
-0.518 |
-0.587 |
2.518 |
-0.824 |
-9.280 |
-0.631 |
-0.466 |
2.147 |
-1.061 |
-11.897 |
-0.714 |
-0.527 |
2.497 |
-0.832 |
-8.862 |
-0.580 |
-0.634 |
2.486 |
-0.909 |
-9.615 |
-0.665 |
-0.496 |
2.079 |
-1.095 |
-12.028 |
-0.740 |
-0.538 |
2.508 |
-0.832 |
-8.881 |
-0.585 |
-0.637 |
2.498 |
-0.917 |
-9.701 |
-0.674 |
-0.499 |
2.064 |
-1.143 |
-12.081 |
-0.756 |
-0.549 |
2.519 |
-0.821 |
-8.789 |
-0.578 |
-0.636 |
2.516 |
-0.911 |
-9.704 |
-0.674 |
-0.495 |
2.064 |
-1.140 |
-11.983 |
-0.752 |
-0.552 |
2.535 |
-0.798 |
-8.647 |
-0.565 |
-0.631 |
2.529 |
-0.914 |
-9.743 |
-0.680 |
-0.498 |
2.197 |
-1.082 |
-11.995 |
-0.707 |
-0.539 |
2.542 |
-0.917 |
-8.747 |
-0.684 |
-0.651 |
2.563 |
-0.903 |
-9.697 |
-0.678 |
-0.498 |
2.218 |
-1.063 |
-11.981 |
-0.692 |
-0.536 |
2.550 |
-0.910 |
-8.741 |
-0.677 |
-0.650 |
2.577 |
-0.901 |
-9.693 |
-0.677 |
-0.497 |
1.8 |
-1.02 |
-11.37 |
-0.69 |
-0.56 |
2.15 |
-0.9 |
-9.61 |
-0.62 |
-0.63 |
2.09 |
-0.91 |
-9.77 |
-0.65 |
-0.49 |
σKL |
σKO |
σKG |
σKE |
σLO |
σLG |
σLE |
σOG |
σOE |
σGE |
1.089 |
1.004 |
1.034 |
1.104 |
1.013 |
0.906 |
1.247 |
1.009 |
1.141 |
1.473 |
1.115 |
1.005 |
1.036 |
1.123 |
1.014 |
0.894 |
1.300 |
1.012 |
1.156 |
1.994 |
1.107 |
1.005 |
1.035 |
1.116 |
1.014 |
0.900 |
1.281 |
1.011 |
1.148 |
1.886 |
1.105 |
1.005 |
1.034 |
1.114 |
1.014 |
0.900 |
1.275 |
1.010 |
1.146 |
1.762 |
1.100 |
1.005 |
1.033 |
1.110 |
1.013 |
0.902 |
1.261 |
1.010 |
1.142 |
1.630 |
1.098 |
1.004 |
1.033 |
1.108 |
1.013 |
0.903 |
1.257 |
1.009 |
1.141 |
1.594 |
1.099 |
1.004 |
1.033 |
1.106 |
1.013 |
0.902 |
1.258 |
1.009 |
1.138 |
1.651 |
1.093 |
1.004 |
1.031 |
1.100 |
1.013 |
0.904 |
1.244 |
1.009 |
1.131 |
1.573 |
1.094 |
1.004 |
1.032 |
1.101 |
1.013 |
0.903 |
1.247 |
1.009 |
1.132 |
1.605 |
1.095 |
1.004 |
1.032 |
1.099 |
1.013 |
0.903 |
1.247 |
1.009 |
1.130 |
1.649 |
1.097 |
1.004 |
1.032 |
1.100 |
1.013 |
0.900 |
1.252 |
1.009 |
1.130 |
1.697 |
1.096 |
1.004 |
1.031 |
1.099 |
1.013 |
0.900 |
1.250 |
1.009 |
1.130 |
1.670 |
1.096 |
1.004 |
1.032 |
1.099 |
1.013 |
0.902 |
1.250 |
1.009 |
1.129 |
1.755 |
1.092 |
1.004 |
1.031 |
1.095 |
1.013 |
0.907 |
1.240 |
1.009 |
1.126 |
1.711 |
1.095 |
1.004 |
1.031 |
1.096 |
1.013 |
0.904 |
1.247 |
1.009 |
1.127 |
1.798 |
1.096 |
1.004 |
1.031 |
1.096 |
1.013 |
0.902 |
1.250 |
1.009 |
1.127 |
1.868 |
1.096 |
1.004 |
1.031 |
1.096 |
1.013 |
0.902 |
1.249 |
1.009 |
1.126 |
1.907 |
1.100 |
1.004 |
1.032 |
1.098 |
1.013 |
0.902 |
1.260 |
1.010 |
1.128 |
2.535 |
1.100 |
1.004 |
1.032 |
1.099 |
1.013 |
0.904 |
1.258 |
1.010 |
1.129 |
2.451 |
1.096 |
1.004 |
1.032 |
1.100 |
1.013 |
0.907 |
1.249 |
1.009 |
1.130 |
1.908 |
1.104 |
1.005 |
1.030 |
1.113 |
1.013 |
0.893 |
1.262 |
1.009 |
1.139 |
1.543 |
1.108 |
1.005 |
1.030 |
1.112 |
1.013 |
0.890 |
1.271 |
1.009 |
1.139 |
1.638 |
1.110 |
1.005 |
1.031 |
1.112 |
1.013 |
0.888 |
1.275 |
1.010 |
1.139 |
1.688 |
1.109 |
1.005 |
1.030 |
1.111 |
1.013 |
0.888 |
1.275 |
1.009 |
1.138 |
1.715 |
1.115 |
1.005 |
1.031 |
1.113 |
1.014 |
0.886 |
1.289 |
1.010 |
1.140 |
1.980 |
1.121 |
1.005 |
1.032 |
1.116 |
1.014 |
0.880 |
1.306 |
1.010 |
1.143 |
2.252 |
1.116 |
1.005 |
1.030 |
1.117 |
1.014 |
0.875 |
1.289 |
1.009 |
1.143 |
1.618 |
1.113 |
1.005 |
1.030 |
1.115 |
1.014 |
0.878 |
1.281 |
1.009 |
1.141 |
1.588 |
1.121 |
1.005 |
1.031 |
1.119 |
1.015 |
0.872 |
1.301 |
1.009 |
1.145 |
1.717 |
1.123 |
1.005 |
1.031 |
1.119 |
1.015 |
0.871 |
1.307 |
1.009 |
1.145 |
1.810 |
1.129 |
1.006 |
1.032 |
1.124 |
1.015 |
0.866 |
1.325 |
1.010 |
1.150 |
1.979 |
1.144 |
1.006 |
1.034 |
1.133 |
1.016 |
0.855 |
1.367 |
1.011 |
1.159 |
2.595 |
1.139 |
1.006 |
1.033 |
1.133 |
1.016 |
0.858 |
1.351 |
1.011 |
1.159 |
2.078 |
1.128 |
1.006 |
1.032 |
1.125 |
1.015 |
0.867 |
1.321 |
1.010 |
1.151 |
1.869 |
1.135 |
1.006 |
1.032 |
1.128 |
1.016 |
0.864 |
1.338 |
1.011 |
1.154 |
2.102 |
1.158 |
1.006 |
1.035 |
1.138 |
1.017 |
0.848 |
1.415 |
1.012 |
1.165 |
-28.507 |
1.161 |
1.006 |
1.036 |
1.138 |
1.017 |
0.845 |
1.426 |
1.012 |
1.165 |
-4.561 |
1.161 |
1.006 |
1.036 |
1.138 |
1.017 |
0.845 |
1.427 |
1.012 |
1.165 |
-5.735 |
σKL |
σKO |
σKG |
σKE |
σLO |
σLG |
σLE |
σOG |
σOE |
σGE |
1.12 |
1.00 |
1.04 |
1.11 |
1.01 |
0.84 |
1.35 |
1.01 |
1.14 |
1.95 |
1.15 |
1.00 |
1.04 |
1.12 |
1.01 |
0.81 |
1.45 |
1.01 |
1.15 |
8.17 |
1.14 |
1.00 |
1.04 |
1.11 |
1.01 |
0.82 |
1.42 |
1.01 |
1.15 |
3.77 |
1.13 |
1.00 |
1.03 |
1.11 |
1.01 |
0.83 |
1.36 |
1.01 |
1.14 |
2.18 |
1.13 |
1.00 |
1.03 |
1.10 |
1.01 |
0.84 |
1.35 |
1.01 |
1.14 |
2.06 |
1.12 |
1.00 |
1.03 |
1.10 |
1.01 |
0.84 |
1.34 |
1.01 |
1.13 |
1.99 |
1.12 |
1.00 |
1.03 |
1.10 |
1.01 |
0.84 |
1.33 |
1.01 |
1.13 |
2.02 |
1.12 |
1.00 |
1.03 |
1.10 |
1.01 |
0.84 |
1.34 |
1.01 |
1.13 |
2.28 |
1.12 |
1.00 |
1.03 |
1.10 |
1.01 |
0.84 |
1.34 |
1.01 |
1.13 |
2.23 |
1.12 |
1.00 |
1.03 |
1.10 |
1.01 |
0.84 |
1.33 |
1.01 |
1.13 |
2.14 |
1.12 |
1.00 |
1.03 |
1.10 |
1.01 |
0.83 |
1.35 |
1.01 |
1.13 |
2.52 |
1.11 |
1.00 |
1.03 |
1.09 |
1.01 |
0.84 |
1.32 |
1.01 |
1.12 |
1.95 |
1.12 |
1.00 |
1.03 |
1.09 |
1.01 |
0.83 |
1.34 |
1.01 |
1.12 |
2.21 |
1.12 |
1.00 |
1.03 |
1.09 |
1.01 |
0.83 |
1.34 |
1.01 |
1.12 |
2.20 |
1.12 |
1.00 |
1.03 |
1.09 |
1.01 |
0.84 |
1.34 |
1.01 |
1.12 |
2.83 |
1.11 |
1.00 |
1.03 |
1.09 |
1.01 |
0.84 |
1.32 |
1.01 |
1.12 |
2.11 |
1.11 |
1.00 |
1.03 |
1.09 |
1.01 |
0.84 |
1.32 |
1.01 |
1.12 |
2.15 |
1.11 |
1.00 |
1.03 |
1.09 |
1.01 |
0.84 |
1.32 |
1.01 |
1.12 |
2.15 |
1.12 |
1.00 |
1.03 |
1.09 |
1.01 |
0.85 |
1.34 |
1.01 |
1.12 |
-5.23 |
1.12 |
1.00 |
1.03 |
1.09 |
1.01 |
0.85 |
1.34 |
1.01 |
1.12 |
-5.23 |
1.14 |
1.00 |
1.03 |
1.11 |
1.01 |
0.80 |
1.44 |
1.01 |
1.13 |
5.00 |
1.13 |
1.00 |
1.03 |
1.10 |
1.01 |
0.82 |
1.39 |
1.01 |
1.13 |
5.71 |
1.13 |
1.00 |
1.03 |
1.10 |
1.01 |
0.83 |
1.37 |
1.01 |
1.12 |
-19.21 |
1.12 |
1.00 |
1.03 |
1.10 |
1.01 |
0.83 |
1.34 |
1.01 |
1.12 |
2.74 |
1.13 |
1.00 |
1.03 |
1.10 |
1.01 |
0.83 |
1.36 |
1.01 |
1.12 |
4.78 |
1.12 |
1.00 |
1.03 |
1.09 |
1.01 |
0.84 |
1.33 |
1.01 |
1.12 |
2.82 |
1.12 |
1.00 |
1.03 |
1.09 |
1.01 |
0.84 |
1.34 |
1.01 |
1.12 |
3.30 |
1.12 |
1.00 |
1.03 |
1.09 |
1.01 |
0.84 |
1.33 |
1.01 |
1.12 |
4.04 |
1.12 |
1.00 |
1.03 |
1.09 |
1.01 |
0.85 |
1.34 |
1.01 |
1.12 |
12.13 |
1.12 |
1.00 |
1.03 |
1.09 |
1.01 |
0.84 |
1.33 |
1.01 |
1.12 |
3.90 |
1.12 |
1.00 |
1.03 |
1.09 |
1.01 |
0.85 |
1.33 |
1.01 |
1.12 |
3.20 |
1.12 |
1.00 |
1.03 |
1.10 |
1.01 |
0.84 |
1.32 |
1.01 |
1.13 |
1.81 |
1.11 |
1.00 |
1.03 |
1.09 |
1.01 |
0.85 |
1.30 |
1.01 |
1.12 |
2.06 |
1.12 |
1.00 |
1.03 |
1.09 |
1.01 |
0.84 |
1.31 |
1.01 |
1.12 |
2.04 |
1.11 |
1.00 |
1.03 |
1.09 |
1.01 |
0.84 |
1.31 |
1.01 |
1.12 |
1.95 |
1.11 |
1.00 |
1.03 |
1.09 |
1.01 |
0.85 |
1.29 |
1.01 |
1.11 |
1.75 |
1.11 |
1.00 |
1.03 |
1.09 |
1.01 |
0.85 |
1.28 |
1.01 |
1.11 |
1.66 |
1.11 |
1.00 |
1.03 |
1.09 |
1.01 |
0.85 |
1.28 |
1.01 |
1.11 |
1.69 |
σKL |
σKO |
σKG |
σKE |
σLO |
σLG |
σLE |
σOG |
σOE |
σGE |
1.13 |
1.00 |
1.04 |
1.12 |
1.01 |
0.86 |
1.37 |
1.01 |
1.17 |
2.16 |
1.13 |
1.00 |
1.04 |
1.13 |
1.01 |
0.86 |
1.36 |
1.01 |
1.17 |
2.05 |
1.11 |
1.00 |
1.04 |
1.12 |
1.01 |
0.86 |
1.31 |
1.01 |
1.16 |
1.59 |
1.12 |
1.00 |
1.04 |
1.12 |
1.01 |
0.86 |
1.33 |
1.01 |
1.15 |
1.69 |
1.12 |
1.00 |
1.04 |
1.11 |
1.01 |
0.85 |
1.32 |
1.01 |
1.14 |
1.70 |
1.12 |
1.00 |
1.04 |
1.11 |
1.01 |
0.85 |
1.33 |
1.01 |
1.14 |
1.85 |
1.11 |
1.00 |
1.04 |
1.10 |
1.01 |
0.87 |
1.29 |
1.01 |
1.14 |
1.58 |
1.11 |
1.00 |
1.03 |
1.10 |
1.01 |
0.87 |
1.29 |
1.01 |
1.14 |
1.60 |
1.10 |
1.00 |
1.03 |
1.10 |
1.01 |
0.87 |
1.28 |
1.01 |
1.13 |
1.51 |
1.10 |
1.00 |
1.03 |
1.10 |
1.01 |
0.87 |
1.27 |
1.01 |
1.13 |
1.50 |
1.09 |
1.00 |
1.03 |
1.09 |
1.01 |
0.88 |
1.26 |
1.01 |
1.13 |
1.49 |
1.09 |
1.00 |
1.03 |
1.09 |
1.01 |
0.88 |
1.25 |
1.01 |
1.13 |
1.47 |
1.09 |
1.00 |
1.03 |
1.09 |
1.01 |
0.89 |
1.25 |
1.01 |
1.13 |
1.45 |
1.09 |
1.00 |
1.03 |
1.09 |
1.01 |
0.89 |
1.24 |
1.01 |
1.12 |
1.43 |
1.09 |
1.00 |
1.03 |
1.09 |
1.01 |
0.89 |
1.23 |
1.01 |
1.12 |
1.38 |
1.09 |
1.00 |
1.03 |
1.08 |
1.01 |
0.88 |
1.23 |
1.01 |
1.12 |
1.39 |
1.09 |
1.00 |
1.03 |
1.08 |
1.01 |
0.89 |
1.23 |
1.01 |
1.12 |
1.42 |
1.08 |
1.00 |
1.03 |
1.08 |
1.01 |
0.89 |
1.22 |
1.01 |
1.11 |
1.38 |
1.08 |
1.00 |
1.03 |
1.08 |
1.01 |
0.89 |
1.22 |
1.01 |
1.11 |
1.38 |
1.11 |
1.00 |
1.04 |
1.12 |
1.01 |
0.91 |
1.29 |
1.01 |
1.16 |
2.39 |
1.12 |
1.00 |
1.04 |
1.14 |
1.01 |
0.90 |
1.32 |
1.01 |
1.18 |
1.74 |
1.13 |
1.00 |
1.04 |
1.14 |
1.01 |
0.90 |
1.34 |
1.02 |
1.18 |
7.58 |
1.11 |
1.00 |
1.04 |
1.13 |
1.01 |
0.90 |
1.29 |
1.01 |
1.16 |
1.93 |
1.11 |
1.00 |
1.03 |
1.12 |
1.01 |
0.90 |
1.28 |
1.01 |
1.15 |
1.84 |
1.11 |
1.00 |
1.03 |
1.12 |
1.01 |
0.90 |
1.29 |
1.01 |
1.15 |
1.76 |
1.11 |
1.00 |
1.03 |
1.12 |
1.01 |
0.90 |
1.27 |
1.01 |
1.15 |
1.60 |
1.09 |
1.00 |
1.03 |
1.11 |
1.01 |
0.90 |
1.25 |
1.01 |
1.14 |
1.42 |
1.10 |
1.00 |
1.03 |
1.12 |
1.01 |
0.90 |
1.26 |
1.01 |
1.15 |
1.52 |
1.09 |
1.00 |
1.03 |
1.11 |
1.01 |
0.90 |
1.25 |
1.01 |
1.14 |
1.42 |
1.10 |
1.00 |
1.03 |
1.11 |
1.01 |
0.91 |
1.26 |
1.01 |
1.14 |
1.56 |
1.10 |
1.00 |
1.03 |
1.12 |
1.01 |
0.90 |
1.27 |
1.01 |
1.15 |
1.55 |
1.11 |
1.00 |
1.03 |
1.14 |
1.01 |
0.88 |
1.30 |
1.01 |
1.17 |
1.44 |
1.10 |
1.00 |
1.03 |
1.12 |
1.01 |
0.89 |
1.26 |
1.01 |
1.15 |
1.40 |
1.10 |
1.00 |
1.03 |
1.12 |
1.01 |
0.89 |
1.25 |
1.01 |
1.15 |
1.37 |
1.09 |
1.00 |
1.03 |
1.11 |
1.01 |
0.90 |
1.24 |
1.01 |
1.14 |
1.36 |
1.09 |
1.00 |
1.03 |
1.11 |
1.01 |
0.90 |
1.24 |
1.01 |
1.14 |
1.37 |
1.10 |
1.00 |
1.03 |
1.12 |
1.01 |
0.90 |
1.26 |
1.01 |
1.15 |
1.43 |
1.10 |
1.00 |
1.03 |
1.12 |
1.01 |
0.90 |
1.26 |
1.01 |
1.15 |
1.45 |
σKL |
σKO |
σKG |
σKE |
σLO |
σLG |
σLE |
σOG |
σOE |
σGE |
1.11 |
1.00 |
1.04 |
1.11 |
1.01 |
0.88 |
1.31 |
1.01 |
1.15 |
1.94 |
1.14 |
1.00 |
1.04 |
1.12 |
1.01 |
0.87 |
1.38 |
1.01 |
1.16 |
1.86 |
1.13 |
1.00 |
1.04 |
1.12 |
1.01 |
0.87 |
1.36 |
1.01 |
1.15 |
1.08 |
1.13 |
1.00 |
1.04 |
1.11 |
1.01 |
0.88 |
1.35 |
1.01 |
1.14 |
0.92 |
1.12 |
1.00 |
1.04 |
1.11 |
1.01 |
0.88 |
1.34 |
1.01 |
1.14 |
1.14 |
1.12 |
1.00 |
1.04 |
1.10 |
1.01 |
0.88 |
1.34 |
1.01 |
1.14 |
0.62 |
1.12 |
1.00 |
1.04 |
1.10 |
1.01 |
0.88 |
1.32 |
1.01 |
1.13 |
0.80 |
1.12 |
1.00 |
1.03 |
1.10 |
1.01 |
0.88 |
1.32 |
1.01 |
1.16 |
1.10 |
1.11 |
1.00 |
1.03 |
1.10 |
1.01 |
0.88 |
1.31 |
1.01 |
1.13 |
0.90 |
1.11 |
1.00 |
1.03 |
1.09 |
1.01 |
0.89 |
1.29 |
1.01 |
1.12 |
1.36 |
1.11 |
1.00 |
1.04 |
1.09 |
1.01 |
0.89 |
1.29 |
1.01 |
1.12 |
1.17 |
1.11 |
1.00 |
1.03 |
1.09 |
1.01 |
0.88 |
1.32 |
1.01 |
1.12 |
0.11 |
1.11 |
1.00 |
1.03 |
1.09 |
1.01 |
0.88 |
1.32 |
1.01 |
1.12 |
0.27 |
1.11 |
1.00 |
1.03 |
1.09 |
1.01 |
0.88 |
1.32 |
1.01 |
1.12 |
0.32 |
1.11 |
1.00 |
1.03 |
1.09 |
1.01 |
0.89 |
1.30 |
1.01 |
1.12 |
0.01 |
1.11 |
1.00 |
1.03 |
1.09 |
1.01 |
0.89 |
1.30 |
1.01 |
1.12 |
0.05 |
1.11 |
1.00 |
1.03 |
1.09 |
1.01 |
0.89 |
1.31 |
1.01 |
1.12 |
0.43 |
1.11 |
1.00 |
1.03 |
1.09 |
1.01 |
0.89 |
1.30 |
1.01 |
1.11 |
0.39 |
1.11 |
1.00 |
1.03 |
1.09 |
1.01 |
0.89 |
1.30 |
1.01 |
1.11 |
0.39 |
1.10 |
1.00 |
1.03 |
1.08 |
1.01 |
0.89 |
1.26 |
1.01 |
1.11 |
1.04 |
1.11 |
1.00 |
1.03 |
1.10 |
1.01 |
0.86 |
1.31 |
1.01 |
1.12 |
1.48 |
1.12 |
1.00 |
1.03 |
1.10 |
1.01 |
0.86 |
1.34 |
1.01 |
1.12 |
1.02 |
1.13 |
1.00 |
1.03 |
1.10 |
1.01 |
0.85 |
1.36 |
1.01 |
1.12 |
1.33 |
1.13 |
1.01 |
1.03 |
1.10 |
1.01 |
0.84 |
1.40 |
1.01 |
1.13 |
0.07 |
1.13 |
1.00 |
1.03 |
1.10 |
1.01 |
0.85 |
1.39 |
1.01 |
1.12 |
0.10 |
1.13 |
1.01 |
1.03 |
1.10 |
1.01 |
0.85 |
1.41 |
1.01 |
1.13 |
0.21 |
1.14 |
1.01 |
1.03 |
1.10 |
1.01 |
0.85 |
1.49 |
1.01 |
1.13 |
0.66 |
1.14 |
1.01 |
1.03 |
1.10 |
1.01 |
0.85 |
1.48 |
1.01 |
1.13 |
0.66 |
1.13 |
1.01 |
1.03 |
1.10 |
1.01 |
0.86 |
1.43 |
1.01 |
1.12 |
0.67 |
1.13 |
1.01 |
1.03 |
1.10 |
1.01 |
0.86 |
1.40 |
1.01 |
1.12 |
0.55 |
1.13 |
1.01 |
1.03 |
1.10 |
1.01 |
0.86 |
1.44 |
1.01 |
1.12 |
0.65 |
1.17 |
1.01 |
1.04 |
1.11 |
1.02 |
0.83 |
1.69 |
1.01 |
1.14 |
0.77 |
1.14 |
1.01 |
1.03 |
1.10 |
1.01 |
0.85 |
1.47 |
1.01 |
1.12 |
0.70 |
1.14 |
1.01 |
1.03 |
1.10 |
1.01 |
0.85 |
1.47 |
1.01 |
1.12 |
0.69 |
1.14 |
1.01 |
1.03 |
1.10 |
1.01 |
0.85 |
1.55 |
1.01 |
1.12 |
0.72 |
1.15 |
1.01 |
1.03 |
1.10 |
1.01 |
0.84 |
1.56 |
1.01 |
1.13 |
0.75 |
1.12 |
1.01 |
1.03 |
1.10 |
1.01 |
0.84 |
1.36 |
1.01 |
1.12 |
1.67 |
1.13 |
1.01 |
1.03 |
1.10 |
1.01 |
0.84 |
1.36 |
1.01 |
1.12 |
1.31 |
σKL |
σKO |
σKG |
σKE |
σLO |
σLG |
σLE |
σOG |
σOE |
σGE |
1.10 |
1.00 |
1.03 |
1.12 |
1.01 |
0.88 |
1.28 |
1.01 |
1.17 |
1.35 |
1.12 |
1.00 |
1.04 |
1.15 |
1.01 |
0.86 |
1.32 |
1.01 |
1.18 |
1.44 |
1.12 |
1.00 |
1.04 |
1.14 |
1.01 |
0.86 |
1.32 |
1.01 |
1.18 |
1.44 |
1.11 |
1.00 |
1.03 |
1.14 |
1.01 |
0.87 |
1.31 |
1.01 |
1.18 |
1.43 |
1.12 |
1.00 |
1.03 |
1.14 |
1.01 |
0.87 |
1.31 |
1.01 |
1.17 |
1.44 |
1.12 |
1.00 |
1.03 |
1.14 |
1.01 |
0.86 |
1.31 |
1.01 |
1.17 |
1.44 |
1.13 |
1.00 |
1.04 |
1.15 |
1.01 |
0.85 |
1.35 |
1.01 |
1.18 |
1.51 |
1.13 |
1.00 |
1.04 |
1.14 |
1.01 |
0.85 |
1.34 |
1.01 |
1.18 |
1.49 |
1.13 |
1.00 |
1.04 |
1.14 |
1.01 |
0.85 |
1.34 |
1.01 |
1.18 |
1.52 |
1.12 |
1.00 |
1.04 |
1.14 |
1.01 |
0.86 |
1.33 |
1.01 |
1.17 |
1.49 |
1.12 |
1.00 |
1.04 |
1.14 |
1.01 |
0.86 |
1.33 |
1.01 |
1.17 |
1.51 |
1.13 |
1.00 |
1.04 |
1.14 |
1.01 |
0.86 |
1.33 |
1.01 |
1.17 |
1.52 |
1.12 |
1.00 |
1.03 |
1.13 |
1.01 |
0.86 |
1.32 |
1.01 |
1.17 |
1.50 |
1.12 |
1.00 |
1.03 |
1.14 |
1.01 |
0.87 |
1.32 |
1.01 |
1.17 |
1.49 |
1.12 |
1.00 |
1.03 |
1.14 |
1.01 |
0.87 |
1.32 |
1.01 |
1.17 |
1.49 |
1.12 |
1.00 |
1.03 |
1.13 |
1.01 |
0.87 |
1.31 |
1.01 |
1.16 |
1.48 |
1.12 |
1.00 |
1.03 |
1.13 |
1.01 |
0.87 |
1.30 |
1.01 |
1.16 |
1.47 |
1.11 |
1.00 |
1.03 |
1.13 |
1.01 |
0.87 |
1.30 |
1.01 |
1.16 |
1.46 |
1.11 |
1.00 |
1.03 |
1.13 |
1.01 |
0.87 |
1.30 |
1.01 |
1.16 |
1.47 |
1.12 |
1.00 |
1.03 |
1.13 |
1.01 |
0.87 |
1.31 |
1.01 |
1.16 |
1.59 |
1.13 |
1.00 |
1.03 |
1.14 |
1.01 |
0.85 |
1.33 |
1.01 |
1.17 |
1.48 |
1.13 |
1.00 |
1.03 |
1.14 |
1.01 |
0.84 |
1.34 |
1.01 |
1.17 |
1.54 |
1.13 |
1.00 |
1.03 |
1.13 |
1.01 |
0.85 |
1.32 |
1.01 |
1.16 |
1.52 |
1.12 |
1.00 |
1.03 |
1.13 |
1.01 |
0.85 |
1.30 |
1.01 |
1.16 |
1.44 |
1.12 |
1.00 |
1.03 |
1.13 |
1.01 |
0.85 |
1.31 |
1.01 |
1.15 |
1.45 |
1.12 |
1.00 |
1.03 |
1.12 |
1.01 |
0.85 |
1.30 |
1.01 |
1.15 |
1.42 |
1.12 |
1.00 |
1.03 |
1.13 |
1.01 |
0.85 |
1.31 |
1.01 |
1.15 |
1.47 |
1.12 |
1.00 |
1.03 |
1.12 |
1.01 |
0.85 |
1.30 |
1.01 |
1.15 |
1.46 |
1.12 |
1.00 |
1.03 |
1.13 |
1.01 |
0.84 |
1.31 |
1.01 |
1.15 |
1.50 |
1.12 |
1.00 |
1.03 |
1.13 |
1.01 |
0.85 |
1.31 |
1.01 |
1.15 |
1.48 |
1.13 |
1.00 |
1.03 |
1.13 |
1.01 |
0.84 |
1.31 |
1.01 |
1.15 |
1.47 |
1.14 |
1.00 |
1.03 |
1.15 |
1.01 |
0.81 |
1.36 |
1.01 |
1.18 |
1.47 |
1.13 |
1.00 |
1.04 |
1.14 |
1.01 |
0.85 |
1.31 |
1.01 |
1.16 |
1.45 |
1.12 |
1.00 |
1.03 |
1.14 |
1.01 |
0.85 |
1.31 |
1.01 |
1.16 |
1.43 |
1.13 |
1.00 |
1.03 |
1.14 |
1.01 |
0.84 |
1.31 |
1.01 |
1.16 |
1.43 |
1.12 |
1.00 |
1.03 |
1.14 |
1.01 |
0.84 |
1.31 |
1.01 |
1.16 |
1.42 |
1.13 |
1.01 |
1.03 |
1.14 |
1.01 |
0.84 |
1.32 |
1.01 |
1.16 |
1.42 |
1.13 |
1.00 |
1.03 |
1.14 |
1.01 |
0.84 |
1.32 |
1.01 |
1.16 |
1.42 |
Views and opinions expressed in this article are the views and opinions of the author(s), The Economics and Finance Letters shall not be responsible or answerable for any loss, damage or liability etc. caused in relation to/arising out of the use of the content. |