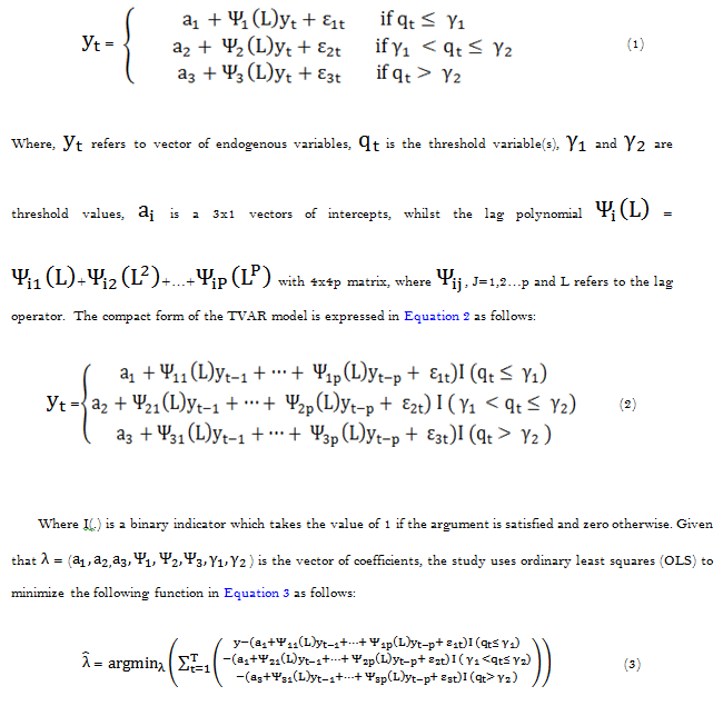
Index

Abstract

This study employs threshold models to examine the export-led growth hypothesis (ELG) for Ghana from 1970-2018. The analysis commences as follows. Firstly, using real GDP as threshold variable, the study conducts a non-linearity test for the threshold vector autoregressive (TVAR) model as against the linear vector autoregressive (VAR) model. Secondly, the study evaluates whether the ELG hypothesis is best explained with linear co-integration models or threshold co-integration models. The empirical results indicate that, the ELG hypothesis is supported by the two-threshold vector autoregressive model (threshold values of 2.35 and 2.46) and a two-threshold vector error correction model (threshold values -0.50 and -0.20). The error correction term of the TVECM is negative and statistically different from zero, signifying speed of long run convergence. In terms of threshold co-integration, real GDP versus real exports and real GDP vs real imports are threshold co-integrated. In contrast, the null hypothesis of linear co-integration is not rejected for real export versus real import.

Keywords: Macroeconomic data,Exports ,Non-linear time series models Ghana,Unit root test,Co-integration.

Received: 15 April 2020/ Revised: 19 May 2020 / Accepted:23 June 2020/ Published: 27 July 2020

Contribution/ Originality

This study uses new estimation methodology to evaluate the export – output growth nexus for Ghana for the period spanning from 1970-2018.


1. INTRODUCTION

According to Ulrich (2014); Krueger (1978); Ram (1985); Salvatore and Hatcher (1991) export-output hypothesis (ELG) is described as the positive effects of export growth on output through its multiplier effect. The unanimous argument gravitates towards the believe that exports stimulates output growth (see for instance Rivera-Batiz and Romer (1991)). Alternatively, Arnade and Vasavada (1995); Ghartey (1993); Lancaster (1980); Stavrinos (1987)  argued in favour of the growth-led exports (GLE) hypothesis, that is output growth causes export growth.
Hitherto, the literature on ELG has documented some findings and they are categorised as follows. The earlier studies such as Balassa (1978); Michaely (1977); Heller and Porter (1978); Tyler (1981); Feder (1983)  focused on cross-country analysis. They found that exports positively affect output growth in developing countries. However, their study precluded the plausibility of causality running from exports to imports or vice versa. Another group of studies evaluated the export-output nexus for individual countries using (Granger, 1969) or Sims (1972) causality test. Findings showed exports growth has no causal impact on output growth (see for instance (Dodaro, 1993; Love, 1994; Riezman, Summers, & Whiteman, 1996; Sharma & Dhakal, 1994)). Another strand of studies that employed co-integration and error correction found long run convergence between output and export. Generally, their findings revealed causality running from exports to output or in both ways (see for instance (Asafo, 2017; Asafo & Matuka, 2019; Bahmani-Oskooee, 1993; Bahmani-Oskooee & Economidou, 2009; Bahmani-Oskooee & Oyolola, 2007; Fosu, 1990; Love & Chandra, 2004). Another strand of studies employed panel co-integration methods to examine the ELG hypothesis. Findings presented by Abu-Qarn and Abu-Bader (2004); Bahmani‐Oskooee, Economidou, and Goswami (2005); Reppas and Christopoulos (2005); Jun (2007); Richards (2001)  found causality running from output to exports. Also, Parida and Sahoo (2007) showed that higher exports stimulate higher output growth. In addition, more recent works such as Yamada (1998); Awokuse and Christopoulos (2009); Liu and Zhang (2015) explained the ELG hypothesis via neo-classical production function or augmented production functions. Given that studies on the ELG hypothesis has been dominated by linear VAR models, findings from such models might be susceptible to different periods of the business cycle (recessions, recoveries and growth) leading to misleading policy conjecture. That is, in the presence of structural break, linear VAR models might not capture the true dynamics in the time series (see for instance (Haddad, 2010; Lee & Huang, 2002)).

Motivated by the above argument, this paper contributes to the existing literature by examining the dynamics between exports, imports and output in Ghana using threshold regression models as developed by Hansen (2000). The paper follows (Arisara, Liu, & Sriboonchitta, 2019) to evaluate the ELG hypothesis for Ghana via a two-threshold vector autoregressive (TVAR) model and two-threshold vector error correction (TVECM) model. At the time of writing this paper, there is no known study employing TVAR and TVECM to examine the ELG for Ghana. The contribution of the study depends on providing answers to the following research questions.

  1. Is the relationship between exports, import and output growth non-linear in Ghana? if yes,
  2. Is the relationship threshold co-integrated?

The empirical analysis to the above research questions is presented as follows. Firstly, the paper conducts a non-linearity test for the two-TVAR model as against the linear VAR model by employing the logarithm of real GDP (lGDP)1 as threshold variable. Following the multivariate extension of the linearity test of Hansen (1999); Lo and Zivot (2001), the likelihood ratio (LR) test suggests a rejection of the null hypothesis of linearity in favour of non-linearity. The implication is that, the export-output nexus in Ghana is non-linear and it is validated by the two-TVAR model. The generated threshold values of 2.35 and 2.46 represents the turning points at which real output growth passes-through above the threshold signifies the expansive stage of the business cycle. In the lower regime

positive and statistically significant. This implies that real GDP, real export and real import pass-through at varied stages of the business cycle. Secondly, results of the two-TVECM model for IEX versus IGDP showed threshold values of (-0.52 and -0.20). The error correction term (ECT) is negative and statistically significant in regime 1 and 2, implying speed of adjustment to the long term. In terms of threshold co-integration, a residual bootstrap approach with 100 simulation replications is used to ascertain whether the relevant variables converge to long run equilibrium. Findings indicate that real GDP vs real exports and real GDP vs imports are threshold co-integrated. On the other hand, the null hypothesis of linear co-integration is not rejected for real exports versus real imports.

A further justification for the usage of threshold models for the study is provided in Figure 1. That is, albeit the endogenous variables (lGDP, lEX, lIM) are subjected to first differencing, they still remained non-stationary due to structural breaks and regime changes.

Figure-1. Levels and first differences of endogenous variables. Note: The upper panel are variables in log-levels whilst the lower panel are first differenced series. The D_ = the first difference of the relevant series and l= logarithm of the relevant series.

The rest of the paper is structured as follows. Section 2 describes the methodology. Section 3 presents the data description. Section 4 shows the empirical results. Section 5 provides the concluding remarks.

2. METHODOLOGY

2.1. Threshold Vector Autoregressive Model (TVAR)

The paper estimates a two-threshold model in Equation 1 as follows.

2.2. Threshold Vector Error Correction Model (VECM)

Balke and Fomby (1997) proposed the TVECM to examine the adjustment of variables to long run equilibrium. In a bivariate case such as (IGDP, lEX), the two variables behave 2 across regimes as stated in Equation 4 as follows:

3. DATA

3.1. Datasets

The datasets used in this study is taken from the International Finance Statistics of the International Monetary Fund for the period 1970-2018. All datasets are taken as millions of domestic currencies and later transformed into logarithm to remove the trend components. The vector of endogenous variables is stated as: Y = (lGDP, lEX,

lIM) 3. The Table 1 shows the descriptive statistics of the endogenous variables. On average, output, export and import at current prices is about 35241.57 million (Ghc), 10427.37 million (Ghc) and 12831.05 million (Ghc) respectively. In terms of variability, the variables are respectively 70918.72, 23647.34 and 26922.16.

Table-1.Descriptive statistics.

Variable
Mean
Std.Dev
Min
Max
GDP
35241.57
70918.72
0.5535181
300596.1
EX
10427.37
23647.34
0.0478192
105111.2
IM
12831.05
26922.16
0.0353296
108378.7

Note: Descriptive statistics in millions of domestic currencies, Std.Dev=standard deviation, Min=minimum, Max=maximum.

4. EMPIRICAL RESULTS

4.1. Unit Root and Co-integration Analysis

Given that macroeconomic time series often are non-stationary, the underlying series is specified in a linear VAR model to check the presence or otherwise of unit root ( see for instance (Dickey & Fuller, 1979; Dickey & Fuller, 1981)). Results presented in Table 2 suggest that the null hypothesis of unit root is not rejected when variables are at levels 4. However, at first differences the null hypothesis is rejected, implying that the series is first difference stationary.

Table-2.Unit root test.

Variables
Levels
ADF
p-value
First Difference
ADF
p-value
Levels
PP
p-value
First Difference
PP p-value
lGDP
0.5202
0.0318**
0.9901
0.0002***
lEX
0.3399
0.0102***
0.9391
0.0003***
lIM
0.3497
0.0091***
0.9338
0.0003***

Note: ***, ** and * reveals 1%,5% and 10% level of significance. ADF=Augmented Dicker Fuller Test, PP = Phillips Perron Test

Subsequently, the Akaike information Criterion (AIC) and the Hanna-Quinn Information Criterion (HQIC) are used to select the optimal lag order for the linear VAR model. Both the AIC and HQIC indicated 4 lags see Table 3.  Following the approach of Johansen (1988);  Johansen and Juselius (1990) the co-integrating rank of the time series is examined by employing Johansen trace statistics and maximum eigenvalue statistics. Reports in Table 4 suggests a rejection of the null hypothesis of no co-integration at the 5% level. At maximum ranks 1 and 2, both the trace and maximum eigenvalue statistics are lower than the 5% critical value. The implication therefore is that, there is the presence of at least 1 or 2 co-integrating equations in the model.

Table-3. Lag selection criteria.

Lag
FPE
AIC
HQIC
SBIC
0
.000016
-2.50088
-2.45538
-2.37676
1
5.7e-08
-8.17301
-7.99103
-7.67653*
2
4.9e-08
-8.32958
-8.01112
-7.46074
3
3.8e-08
-8.61129
-8.15634
-7.3701
4
2.8e-08*
-8.93866*
-8.34723*
-7.32511
5
3.0e-08
-8.91326
-8.18535
-6.92736
6
4.5e-08
-8.6062
-7.74181
-6.24794
7
5.0e-08
-8.6348
-7.63392
-5.90418

Note: Akaike information Criterion (AIC) and the Hanna-Quinn Information Criterion (HQIC), Final Prediction Error (FPE), Schwarz-Bayesian Information Criterion (SBIC).

Table-4. Johansen cointegration test.

Hypothesis
Trace Statistic
5% Critical Value
Eigen Statistic
5% Critical Value
0
42.47**
29.68
29.51**
20.97
1
12.95
15.41
10.58
14.07
2
2.36
3.76
2.36
3.76

Note: ***, **, * refers to 1%, 5% and 10% significance levels.

4.2. The Non-Linearity Test

The paper conducts a non-linearity test for the two-TVAR model as against the linear VAR model by using IGDP as threshold variable. The threshold values are the turning points at which real output passes through beyond the threshold represents the expansive regime. To test the null hypothesis of linearity as against the alternative hypothesis of non-linearity (t=1,2), where t=threshold value, the study relies on the multivariate extension of linearity test by Hansen (1999); Lo and Zivot (2001).In Equation 9the likelihood ratio (LR) test is stated as follows.

represents the estimated covariance matrix for the alternative hypothesis. Findings from the LR test leads to the rejection of the null hypothesis of linearity in favour of non-linearity. These empirical results show that, the ELG hypothesis for Ghana is supported by the two-threshold VAR model see Table 5.

Table-5. Likelihood ratio test.

LR test for linearity vs. 1 threshold
 
LR statistic.                                                      
163.38
p-value                                                              
0.00
Estimated threshold                                         
2.35
LR test for linearity vs. 2 thresholds
 
LR statistic.
403.39
p-value                                                              
0.00
Estimated threshold                                        
2.35; 2.46

4.3. Threshold VAR Results5

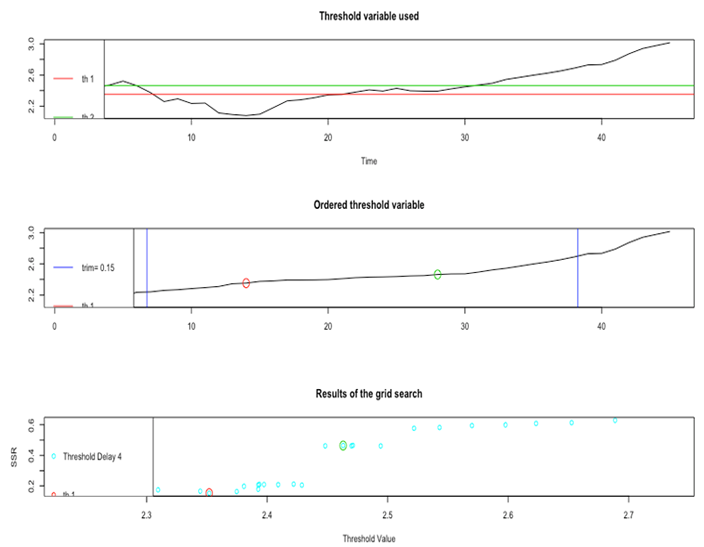
positive and statistically significant. The implication is that, real GDP, real export and real import pass-through at varied phases of the business cycle. In effect, structural breaks in the series has the tendency to influence the regimes. The model’s threshold values of 2.35 and 2.46 see Figure 2 appendix are generated from a grid search over a range of probable values of the threshold variable (IGDP) that guarantee a switch between regimes.

Table-6. Results of the two-threshold VAR model.

Note: ***, ** and* represents 1%, 5% and 10% critical values.

4.4. Threshold VECM Results
The Table 7 below shows the results of the two-TVECM model for IEX versus IGDP6 . The threshold values of (-0.52 and -0.20) are generated via a grid search with percentage of observations of 25%, 25%, 50% for the lower, middle and upper regimes respectively. The error correction term (ECT) is negative and statistically significant in regime 1 and 2. The implication is that, the model undergoes adjustment to the long term

Table-7. Results of Two-Threshold VECM Model

Note: ***, ** and* represents 1%, 5% and 10% levels.

4.5. Linear Co-Integration vs Threshold Co-Integration

This section of the paper follows (Krolzig, 1997) to evaluate whether the ELG hypothesis is best described using linear co-integration models or threshold co-integration models. Using the residual bootstrap approach with 100 simulation replications, the null hypothesis of linear co-integration is examined against the alterative of threshold co-integration. Results of the Supremum Lagrange Multiplier (Sup-LM) is shown in Table 8 below. The study rejects the null hypothesis of linear co-integration in favour of threshold cointegration for IGDP versus IEX and IGDP versus IIM. However, the study refuses to reject the null hypothesis of linear co-integration for IEX versus IIM. The economic intuition is that, whereas IGDP versus IEX and IGDP versus IIM converges to long run equilibrium, there is no evidence of long run adjustment for IEX versus IIM. The density of bootstrap distribution confirms normality in the endogenous variables (see Figure 3, Figure 4  and Figure 5 in appendix).

Table-8. Linear co-integration vs threshold co-integration.

Variables
Sup-LM
p-value
Critical Values
Maximized threshold value
Co-integrating value
IGDP versus IEX
26.87*
[0.07]
25.89 (90%)
27.04 (95%)
28.06 (99%)
-2.30
-1.51
IGDP versus IIM
29.69*
[ 0.01]
26.25 (90%)
27.73 (95%)
29.55 (99%)
-0.63
-0.80
IEX versus IIM
26.599
[0.19]
27.91 (90%)
29.52 (95%)
31.06 (99%)
-0.053
-1.07

Note: p-values in squared brackets. The co-integrating value is estimated under restricted linear model.

5. CONCLUDING REMARKS

The study employs annual data from 1970-2018 to examine the ELG hypothesis for the Ghanaian economy using threshold models. Findings indicate that the ELG hypothesis is characterised by two-threshold VAR model (threshold values of 2.35 and 2.46) and two-threshold TVECM (threshold values of -0.50 and -0.20). Further empirical reports show that real output, real exports and real imports pass through at various times in the business cycle. In addition, the error correction term is negative and statistically significant in regime 1 & 2, implying long run adjustment. The Supremum Lagrange Multiplier test indicates that exports versus output and output versus imports are threshold co-integrated. In contrast, exports versus imports are not threshold co-integrated.

Funding: This research did not receive any specific grant from funding agencies in the public, commercial, or not-for-profit sectors.

Competing Interests: The author declares that there are no conflicts of interests regarding the publication of this paper.

REFERENCES

Abu-Qarn, A. S., & Abu-Bader, S. (2004). The validity of the ELG hypothesis in the MENA region: Cointegration and error correction model analysis. Applied Economics, 36(15), 1685-1695.Available at: https://doi.org/10.1080/0003684042000266865.

Andrews, D. K., & Ploberger, W. (1994). Optimal tests when a nuisance parameter is present only under the 257 alternative. Econometrica, 62(6), 1383-1414.

Arisara, R., Liu, J., & Sriboonchitta, S. (2019). Export–output growth nexus using threshold VAR and VEC models: Empirical evidence from Thailand. Economies, 7(2), 1-16.Available at: https://doi.org/10.3390/economies7020060.

Arnade, C., & Vasavada, U. (1995). Causality between productivity and exports in agriculture: evidence from Asia and Latin America. Journal of Agricultural Economics, 46(2), 174-186.Available at: https://doi.org/10.1111/j.1477-9552.1995.tb00764.x.

Asafo, S. S. (2017). Economic growth in Ghana: A vector error correction model (VECM) approach from 1970-2015. Retrieved from: https://papers.ssrn.com/sol3/papers.cfm?abstract_id=2915554.

Asafo, S. S., & Matuka, A. (2019). External debt and economic growth in Ghana: A co-integration and a vector error correction analysis. Theoretical and Practical Research in Economic Fields, 10(1), 45-53.

Awokuse, T. O., & Christopoulos, D. K. (2009). Nonlinear dynamics and the exports–output growth nexus. Economic Modelling, 26(1), 184-190.Available at: https://doi.org/10.1016/j.econmod.2008.06.009.

Bahmani-Oskooee, M. (1993). Export growth and economic growth: An application of cointegration and error-correction modeling. The Journal of Developing Areas, 27(4), 535-542.Available at: https://doi.org/10.1080/08853900701416325.

Bahmani-Oskooee, M., & Economidou, C. (2009). Export led growth vs. growth led exports: LDCs experience. The Journal of Developing Areas, 42(2), 179-209.Available at: https://doi.org/10.1353/jda.0.0030.

Bahmani-Oskooee, M., & Oyolola, M. (2007). Export growth and output growth: An application of bounds testing approach. Journal of Economics and Finance, 31(1), 1-11.Available at: https://doi.org/10.1007/bf02751507.

Bahmani‐Oskooee, M., Economidou, C., & Goswami, G. G. (2005). Export led growth hypothesis revisited: A panel cointegration approach. Scientific Journal of Administrative Development, 3, 40-55.

Balassa, B. (1978). Exports and economic growth: Further evidence. Journal of Development Economics, 5(2), 181-189.

Balke, S. N., & Fomby, T. B. (1997). Threshold co-integration: Economic modeling. International Economic Reviewe, 38(3), 627-645.

Dickey, D. A., & Fuller, W. A. (1979). Distribution of the estimators for autoregressive time series with a unit root. Journal of the American statistical association, 74(366a), 427-431.Available at: https://doi.org/10.1080/01621459.1979.10482531.

Dickey, D. A., & Fuller, W. A. (1981). Likelihood ratio statistics for autoregressive time series with a unit root. Econometrica, 49(4), 1057-1072.Available at: https://doi.org/10.2307/1912517.

Dodaro, S. (1993). Exports and growth: A reconsideration of causality. The Journal of Developing Areas, 27(2), 227-244.

Feder, G. (1983). On exports and economic growth. Journal of Development Economics, 12(1-2), 59-73.

Fosu, A. K. (1990). Exports and economic growth: The African case. World Development, 18(6), 831-835.Available at: https://doi.org/10.1016/0305-750x(90)90005-i.

Ghartey, E. E. (1993). Causal relationship between exports and economic growth: Some empirical evidence in Taiwan, Japan and the US. Applied Economics, 25(9), 1145-1152.Available at: https://doi.org/10.1080/00036849300000175.

Granger, C. J. (1969). Investigating causal relationships by econometric models: Cross-spectral methods. Econometrica, 37, 424-438.Available at: https://doi.org/10.2307/1912791.

Haddad, H. B. (2010). The export-output nexus: A Markov - switching approach. The Empirical Economics Letters, 9(3), 257-264.

Hansen, B. E. (2000). Sample splitting and threshold estimation. Econometrica, 68(3), 575-603.Available at: https://doi.org/10.1111/1468-0262.00124.

Hansen, B. (1999). Testing for linearity. Journal of Economic Surveys, 13(5), 551-576.

Hansen, B. E., & Seo, B. (2002). Testing for two-regime threshold cointegration in vector error-correction models. Journal of Econometrics, 110(2), 293-318.Available at: https://doi.org/10.1016/s0304-4076(02)00097-0.

Heller, P., & Porter, R. (1978). Exports and growth. An empirical reinvestigation. Journal of Development Economics, 5(2), 191-193.

Johansen, S. (1988). Statistical analysis of cointegration vectors. Journal of Economic Dynamics and Control, 12(2-3), 231-254.Available at: https://doi.org/10.1016/0165-1889(88)90041-3.

Johansen, S., & Juselius, K. (1990). Maximum likelihood estimation and inference on cointegration—with appucations to the demand for money. Oxford Bulletin of Economics and Statistics, 52(2), 169-210.Available at: https://doi.org/10.1111/j.1468-0084.1990.mp52002003.x.

Jun, S. (2007). Bi-directional relationships between exports and growth: A panel cointegration analysis. Journal of Economic Research, 12(2), 133-171.Available at: https://doi.org/10.17256/jer.2007.12.2.002.

Krolzig, H. M. (1997). Markov-switching vector autoregression. Berlin: Springer.

Krueger, A. O. (1978). Foreign trade regimes and economic development: Liberalization attempts and consequence. Cambridge: Balinger.

Lancaster, K. (1980). Intra-industry trade under perfect monopolistic competition. Journal of International Economics, 10(2), 151-175.Available at: https://doi.org/10.1016/0022-1996(80)90052-5.

Lee, C.-H., & Huang, B.-N. (2002). The relationship between exports and economic growth in East Asian countries: A multivariate threshold autoregressive approach. Journal of Economic Development, 27(2), 45-68.

Liu, Y., & Zhang, N. (2015). Sustainability of trade liberalization and antidumping: Evidence from Mexico’s trade liberalization toward China. Sustainability, 7(9), 11484-11503.Available at: https://doi.org/10.3390/su70911484.

Lo, M. C., & Zivot, E. (2001). Threshold cointegration and nonlinear adjustment to the law of one price. Macroeconomic Dynamics, 5(4), 533-576.Available at: https://doi.org/10.1017/s1365100501023057.

Love, J. (1994). Engines of growth—The export and government sectors. World Economy, 17(2), 203-218.Available at: https://doi.org/10.1111/j.1467-9701.1994.tb00819.x.

Love, J., & Chandra, R. (2004). Testing export-led growth in India, Pakistan and Sri Lanka using a multivariate framework. The Manchester School, 72(4), 483-496.Available at: https://doi.org/10.1111/j.1467-9957.2004.00404.x.

Michaely, M. (1977). Exports and growth: An empirical investigation. Journal of Development Economics, 4(1), 49-53.

Parida, P. C., & Sahoo, P. (2007). Export-led growth in South Asia: A panel c-integration analysis. International Economic Journal, 21(2), 155-175.

Ram, R. (1985). Exports and economic growth: Some additional evidence. Economic Development and Cultural Change, 33(2), 415-425.Available at: https://doi.org/10.1086/451468.

Reppas, P. A., & Christopoulos, D. K. (2005). The export-output growth nexus: Evidence from African and Asian countries. Journal of Policy Modeling, 27(8), 929-940.Available at: https://doi.org/10.1016/j.jpolmod.2005.06.007.

Richards, D. G. (2001). Exports as a determinant of long-run growth in Paraguay, 1966-96. Journal of Development Studies, 38(1), 128-146.Available at: https://doi.org/10.1080/00220380412331322211.

Riezman, R. G., Summers, P. M., & Whiteman, C. H. (1996). The engine of growth or its handmaiden? A time series assessment of export-led growth. Empirical Economics, 21(1), 77-113.

Rivera-Batiz, L. A., & Romer, P. M. (1991). Economic integration and endogenous growth. The Quarterly Journal of Economics, 106(2), 531-555.

Salvatore, D., & Hatcher, T. (1991). Inward oriented and outward oriented trade strategies. The Journal of Development Studies, 27(3), 7-25.Available at: https://doi.org/10.1080/00220389108422201.

Sharma, S. C., & Dhakal, D. (1994). Causal analyses between exports and economic growth in developing countries. Applied Economics, 26(12), 1145-1157.Available at: https://doi.org/10.1080/00036849400000112.

Sims, C. A. (1972). Money, income, and causality. The American Economic Review, 62(4), 540-552.

Stavrinos, V. G. (1987). The intertemporal stability of Kaldor's first and second growth laws in the UK. Applied Economics, 19(9), 1201-1209.Available at: https://doi.org/10.1080/00036848700000067.

Tyler, W. G. (1981). Growth and export expansion in developing countries: Some empirical evidence. Journal of Development Economics, 9(1), 121-130.Available at: https://doi.org/10.1016/0304-3878(81)90007-9.

Ulrich, A. (2014). Export-oriented horticultural production in Laikipia, Kenya: Assessing the implications for rural livelihoods. Sustainability, 6(1), 336-347.Available at: https://doi.org/10.3390/su6010336.

Yamada, H. (1998). A note on the causality between export and productivity: An empirical re-examination. Economics Letters, 61(1), 111-114.Available at: https://doi.org/10.1016/s0165-1765(98)00154-2.

APPENDIX

Figure-2. Grid search for the two-threshold VAR model.

Figure-3. Density of Bootstrap Distribution for IGDP versus IEX.

Figure-4. Density of bootstrap Distribution for IGDP versus IIM.

Figure-5. Density of Bootstrap Distribution IEX versus IIM.

Views and opinions expressed in this article are the views and opinions of the author(s), The Economics and Finance Letters shall not be responsible or answerable for any loss, damage or liability etc. caused in relation to/arising out of the use of the content.

Footnotes:

1. Henceforth output and real GDP will be used unchangeably to mean the same thing.

2. . The grid search is conducted through a co-integrating vector and the threshold coefficients together with fixed regressors and residual bootstrap method.

3. lGDP=logarithm of gross domestic product, lEX=logarithm of export, IIM=logarithm of import.

4. This is true for both Augmented Dickey Fuller test and Phillips Perron test.
5. The generalized impulse response functions (GIRFs) for each regime can be provided on request.
6. Results for the other variables can be provided on request.