Index

Abstract

As a modern port, its roles have been endowed with many new functions. Extant literatures in transportation industry view port as an individual economic entity to improve its competition or evaluate its performance. By focusing on port original concept as node in transportation, its critical role as providing service to related industry shouldn't be largely change or forget. Under this perspective, port is not as commercial organization, is transport corridor to contribute to public welfare. Hence, creating synergistic effects in a research system which can be regard as symbiotic. Our case study on the China-Railway Express (CR Express) hub-port construction in the background of China-Europe trade transportation address research question as how to construct China-Europe transport corridor. In order to achieve a complete and comprehensive understanding of the under-explored topic, we use a mixed methods, including semi-structured interview and establish symbiotic model as symbiotic transport capacity growth model and clock model. Generally, we conclude that trade and each transportation pattern can be regard as a symbiotic system and more importantly, port as public infrastructure, its service providing and transport corridor are significant contribute to the symbiotic system. Contributions and managerial implications are provided at the final section of our research which not only have guidance value on China, but also the ports whose located country is one of ‘One Belt and One Road’ countries.

Keywords: China-Europe trade, Transportation, Transport corridor construction, CR express, Port role, Symbiosis theory.

JEL Classification: L91.

Received: 10 June 2019 / Revised: 16 July 2019 / Accepted: 21 August 2019/ Published: 27 September 2019

Contribution/ Originality

This study contributes to the existing literature by using new estimation methodology as symbiont transport growth model and clock model to provide appropriate estimation when an innovation implication in transport, especially a new pattern in practice. Also, as an interdiscipline subject, the symbiosis theory that mention in the study can be apply in transportation and provide theoretical guidance.


1. INTRODUCTION

Increasingly, modern ports are more and more important, and their roles have in quite dramatically changes. In traditional view, ports are regard as an infrastructure which mainly provide a service for transport and trade (Brooks et al., 2017). With a dynamic process of economic globalization, Chinese government started to think how to further develop the functions of the port and then have a wave of port reform based on improvement of its performance and competition in recently years. Because of port externalities, port counties could develop local economic, such as relevant industry trade, job opportunity, and overseas investment. Under this environment, the role of port is different from the original and many scholars in the perspective of modern function which mostly regard port as an individual economic entity to discuss its competition and revenue. Extant transportation literatures basically are conducted on an input-output model to evaluate port efficiency, for example, DEA, SFA, Metafrontier analysis, etc. (Álvarez-SanJaime et al., 2015; Suárez-Alemán et al., 2016; Chang and Tovar, 2017). Hence, port authorities always focus on port throughput when they make policy. However, according to Marsden and Reardon (2017) most studies focus on “the end” and ignore the factors like “how”, such as context, power, resources and legitimacy, finally cause implication asymmetry. In order to solve this problem, scholars put forward many suggestions to policy makers. Brooks et al. (2017) revisit existing governance structure and relevant conclusion is drawn that the role of port authority has changed in the new pattern and need to balancing the relationship of various interests to improve port efficiency and profit. Meersman et al. (2016) highlight that to cope with the important dynamic changes on port environment is ensure port output function like throughput and need to technology innovation. Panayides et al. (2015) make a point that if PPP (Public-private partnership) can be successful applied on port, the port will have a great development. Therefore, in these literatures, the role of port always is defined as a profit organization and commercialization, which emphasizes the importance of throughput and ignore an important problem, “what is the port”. As Othman M K and his colleagues’ recent study, port is identified as a shelter for ships, a means of goods to transfer and a node to link sea and land. Hence, for policy maker or port managers, port should be regarded as transport corridor which its main function is promoting related industry. In particular, policy implementation outcome evolution always includes not only port contracture, but also the whole system input-output efficient, which is called symbiotic development. However, port role as transport corridor underlies the symbiosis theory in transportation research is still in its infancy.

Our case study focus on the port role as transport corridor in the perspective of the symbiosis theory during the China-Europe trade transportation develop process, and address our research question as how to construct trade transport corridor for promoting symbiotic system. Theoretically, our research provides an alternative explanation complementary to the materialism-based view of symbiotic development in transportation literatures. Practically, this paper also enlightened practitioners, including managers and government agencies, to formulate better strategies to accelerate institution adoption the market.

2. LITERATURE REVIEW

Port as transport corridor, its construction has significant influence on related industry development and national macro-strategy achievement. Hence, in the context of modernization, combining with its original function, the most important role is providing service to the whole industrial chain or transport chain. Yuen et al. (2012) and his colleagues compare the ports of Shanghai and Singapore, and conclude that users like liner company and freight forwarder will trend to choice Singapore port for its better transport service as close connection with hinterland, although Shanghai port has higher throughput. In the study of Suárez-Alemán et al. (2016) the critical factor to improve port competiveness is closely linkage transport network and hinterland, like hub-port and rail-sea intermodal transportation, not technology or size efficiency. In U.S. department of transportation, one of output to evaluate investment project is local economy and they emphasis on related industry chain, such as railway and inland hinterland connection and logistic supply chain (Knatz, 2017). Some studies find port service, truck market and railway transport chain should not be ignored and port has its role as providing better and more efficient service (Álvarez-SanJaime et al., 2015; Suárez-Alemán et al., 2016). However, currently transport literature seems to redefined new functions to port and mostly like a process of evolution. They regard modern ports as an individual economic entity and aim to improve their performance. As Ha et al. (2019) latest study, multimodal transport operation efficiency is significant to transport logistics chain. Hence, nearly nobody has a considerable question as what is the primary role of port based on its “node” function. In addition, another interesting phenomenon is really important and confused us, London as international shipping center to promote maritime trade and London port has more competitive than Shanghai port, although lower throughput. Therefore, we have to rethink the role of port for its original conception. More importantly, by reviewing these literatures, in our study, we fully consider port external and suggest that regarding port as transport corridor is more appropriate. Moreover, when port as transport corridor, related transportation pattern in logistic chain or trade has positive correlation (Hummels et al., 2009; Alizadeh, 2013) which could be regard as synergistic effect.

In the biological field, symbiosis refers to the fact that different species eventually live together based on a certain substance in a certain environment (Ernest et al., 2002). Since China-European trade transport involves multiple modes of transport, each type of transport represents a stakeholder, such as the shipping means port group, trucking means road transport companies, and railway means rail transport companies under local government. And the transport modes are in the common transportation market, because of the synergy between various transportation volumes and total trade volume, transportation network or multimodal transport is result of coordination of different stakeholders and through the game between them. Hence, as the composition of the hub-port, it is not reasonable to construct it for developing China-European trade just rely on optimizing equation based on input-output model or ignore the specific context. Therefore, we also aim to facilitate our theoretical development based on the symbiosis theory and it is reasonable and feasible.

According to Yao J, the symbiotic system is composed of symbiotic unit (foundation), symbiotic pattern (key) and symbiotic environment (important external conditions), and symbiotic energy function exists between symbiotic body and environment. In the China-European trade transportation, quantitate the volume of transport, and the symbiotic units are trade and all modes of transportation except air, the symbiotic environment is the transportation market environment, the pattern of symbiosis is integrative symbiosis, which means the symbiotic relationship is stable and inherent during the study period. Therefore, Yao J’s theory is quite suitable to investigate into our research question as how to construct hub-port promoting the China-Europe trade transportation based on port role as transport corridor. Moreover, relationships between the symbiosis of organisms and China-European trade are shown in Table 1.

Table-1. Relationships between the symbiosis of organisms and China-European trade.

Features Organisms symbiosis China-European trade symbiosis
Symbiotic units Various genera Various modes of transport and trade
Development pattern Interdependence Collaborative development
Symbiotic pattern Cooperative symbiosis Integrated symbiosis
Symbiotic environment Natural environment Transportation market
Research emphasis Biometric nature Symbiotic transport capacity increment

The rest of this paper will be organized as follow: Case study of China-Europe trade transportation will be provided in section three, and we will briefly introduce our background information, and analysis our research question with qualitative and quantitative method based on our theory, data collected from semi-structured interview while conclusion and implication will be provided in final section.

3. CASE STUDY OF CHINA-EUROPE TRADE TRANSPORTATION

3.1. Case Background

Since China's reform and opening up, the international status has been continuously improved and has gradually become a logistics great power which include large volume. In the next step, China needs to further transform itself with more efficient and lower organization cost. In recent years, our country has issued a lot about deepening reform in the field of transport policy, among them, the "One Belt and One Road" policy is the important strategic task in our country, the development of multimodal transport in the background of Chinese economic development has important strategic significance, and China Railway Express (CR Express) is an achievement to economic development by the important process of the dot and face. First, at the national strategy-driven level, CR Express is an important platform for the construction of "One Belt and One Road" and an important starting point for the deployment of transport volume according to ‘CR Express construction and development plan (2016-2020)’ (State Railway Administration, 2016). Second, it is the transportation industry mature endogenous power. Wenxin Li, the deputy general manager of China railway corporation said that strengthen the cooperation between relevant departments and enterprises to jointly build multimodal transport quality brand as CR Express, land-sea new channel train and other high-quality brands of multimodal transport (Wang, 2018).

CR Express uses intercontinental railway freight through Eurasian Land Bridge (ELB), relies on the cooperation between different governments and railway companies, which is technically feasible and theoretically can achieve Chinese strategic objectives, with advantages as shorter delivery time and lower cost compared with sea freight (Liu and Ho, 2018). However, in operation, on the one hand, the central policy as institutional legitimacy pressure is dominance in the actual operation, not market-oriented, which cause difficulty to conduct effective governance through excessive intervention by local governments; on the other hand, it involves the interconnection and interaction of multiple stakeholders, such as public and private parties (Chen, 2016). Hence, exist blind opening of routes and further lead to serious similar lines, and supply shortages. According to Haiyan and Jiao (2018) at present, the problem is that empty backhaul makes CR Express unprofitable and fully dependent on government subsidies. Therefore, in theory, there is a synergistic effect between trade, transport and economy, but in fact, CR Express trade and transport has not produced the synergistic development and no trade-economic chain, just on road connection. In conclusion, CR Express is not marketization and cannot develop sustainably at present, so the construction of CR Express trade and transportation channel is extremely urgent.

3.2. Semi-Structured Interview

CR Express is a land container international intermodal train having transportation in ELB (China and Europe) organized by China railway corporation. In the domestic section, the trains operate according to the railway operation organization pattern of "combination of trunk and branch, hub for the distribution", and in accordance with the bus organization pattern and the principle of "five determinations". On June 8, 2016, China railway officially adopted the CR Express brand (Zhang, 2018). In fact, CR Express tried to operate in 2012. The earliest route passed through Chongqing without government subsidies, and the company set up factories in Chongqing, and the final destination may be in eastern Europe, Poland, Germany and other places. In 2014, the "One Belt and One Road" policy began to develop rapidly.

Based on our semi-structured interview with a shipping company in Shanghai, we will have further analysis according to some information after collating. From 2011 to 2017, the China-European rail business grew by more than 100 percent year-on-year. In 2017, the annual throughput capacity of 165,000 FFE (70 classes/week, 45FFE), accounting for 4.3% of the sea traffic between China and northern Europe, and plan to reach 5,000 rows/year (250,000 FFE) by 2020, accounting for about 6% of the marine market. The railway traffic volume of CR Express in 2014-2018 is shown in Table 2. In addition, the development of China-European trade market is not particularly balanced at present. The cities with stable development are Chengdu, Chongqing, Xi 'an, Zhengzhou and Wuhan. Although there are many routes opened, the sustainability is low. Specific layout as shown in Figure 1, the design of the hub station is more partial the west, the entire coast is relatively less, moreover, the price varies greatly from region to region depending on the level of government subsidies. On the other hand, Europe currently pay less attention to the line setup and has strong homogeneity, except Russia (CR Express is currently only available to Moscow), Poland and Germany are as the main countries in Europe, therefore, Therefore, in Europe, the network planning is more limited, just to several nodes. The transport chain in Shanghai to Europe, for example, after being trucked from the warehouse located in Shanghai Yangshan port to the station, and then to Europe, trucks or barges usage to reach more countries, that is, transport to each distribution network.

Table-2. Railway transport volume of CR express in 2014-2018.

Time
2014
2015
2016
2017
Number of trains
308
815
1072
3673
Growth rate
——
164.6%
31.5%
242.6%

Data source: Industry research.

Figure-1. CR Express network layout.

Source: Provide by the interviewed firm.

Theoretically, CR Express has many advantages for customers: high reliability, low cost, high flexibility, reduced transportation time and customized service. At the social level, reduce carbon emissions and enhance green performance; at the enterprise level, working capital can be reduced. However, in fact, the shipping company that launched CR Express did not generate any increment, and the shippers and ports have little enthusiasm for it. Compared with Europe, the problem of CR Express is not marketization and commercialization, not in terms of technology and infrastructure, but more in terms of Chinese political requirements, and its practical significance is still to be discussed. At present, in the actual operations of CR Express in ship company, and the CR Express of subdivided into weeks block train, generally for 41 to 50 cabinets /block, that is, at least 41 cabinets /block, which need platform company provide CR Express service, or canceling block. On the other hand, customers can choose three blocks or day block, that is, the pattern without the limitation on the number of containers, can provide specific service including single container (as long as there is cooperation and platform company), LCL service and custom columns (Dolj).

According to deepen the reform in the new period our urban the strategic target, China - European trade transportation can change the world economic and political pattern to a large extent. It is mutually beneficial to both sides with the EU countries to enhance the economic interdependence of the two sides. On the one hand, China - European trade reduce Europe's economic fluctuations, spur exports, on the one hand, China-European trade reduces the fluctuation of European economy and promotes its export. On the other hand, Chinese international trade may explore new development opportunities in its trade with European countries, but it also faces challenges as the similar export structure of transportation services of the two sides and the competition is fierce (Zhao, 2018). Therefore, how to improve the trade volume, reduce the empty load rate and improve the economic efficiency has become key issues at present. In order to solve these problems, the construction of China-European trade routes should be considered, that is, whether too many nodes and routes are needed, how to construct hub ports reasonably and optimize the distribution of transport network.

3.3. Symbiotic Transport Capacity Growth Model

Under the perspective of symbiosis theory, in order to put forward the growth model of symbiotic transport capacity based on Logistic model, the symbiotic strength of each symbiotic unit was firstly verified to provide a basis for the establishment of the model. The transport volume and trade volume of each mode from 2014 to 2018 were selected, as shown in Table 3. SPSS was used for correlation test, and the test results were shown in Table 4 and Table 5.

Table-3. Transport volume and trade volume under various modes of transport.

Time
Sea transport capacity
/million tons
Road traffic
/million tons
Railway traffic
/million tons
Block train number
/column
EU trade volume
/Million RMB
2014
5982.8
3113.3
3813.3
308
378.2
2015
6135.7
3150.0
3358.0
815
350.9
2016
6382.4
3341.3
3331.9
1072
361.1
2017
6678.5
3686.9
3688.7
3673
417.4
2018.11
6409.5
3591.9
3679.3
6000(predict)
409.9

Data source: General administration of customs, statistical yearbook

Table-4. Correlation test.

 
(1)
(2)
(3)
(4)
(5)
Sea transport capacity (1)
1
.938
-.023
.654
.664
Road traffic (2)
1
.237
.858
.855
Railway traffic (3)
1
.330
.705
Block train number (4)
1
.816
EU trade volume (5)
1

Source: By using SPSS 20.

Table-5. ANOVA linear regression analysis.

Model
The dependent variable (DV) The independent variables (IV)
F
1
EU trade volume Railway traffic, Sea transport capacity, Road traffic
177.597*
2
Block train number
5.990*
3
Block train number Railway traffic, Sea transport capacity, Road traffic
61.709*

*:P<0.1.

According to Table 4, to analyze the correlation of the symbiotic unit after the found, China – European trade situation and the mode of transportation between highly correlated, were greater than 0.6, and the positive correlation, which means promoting each other, there is also a high correlation between each transportation mode, the number of block trains is closely related to the trade volume, but due to the particularity of Chinese railway, the railway transport has not fully market-oriented, mainly operate by the government, so the correlation is not strong, which can explained the current obstacles to the development of the CR Express are more due to the insufficient trade volume and the high cost of railway transportation. Therefore, the construction of transportation channels, namely hub-ports, should be strengthened to promote the interconnection and interaction of all parties.

On the basis of Table 4, the existence of symbiotic energy function of the symbiotic system is analyzed. According to Table 5, model 1 and model 2 mainly explain that there is a regression model between the trade volume, the number of trains and the traffic volume between China and EU, which has statistical significance. Model 3 explains the synergistic effect between the number of trains and various modes of transportation, that is, there is a regression model with statistical significance.

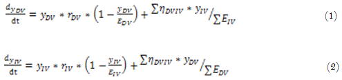
In the process of deducing the symbiotic energy function, the Logistic model is combined with the symbiotic degree and coefficient in the symbiotic theory, and the results are as follows:

r: Average growth rate of each transport volume (symbiotic unit).
y: Trade volume/number of block trains as a function of time t.
E: Maximum capacity of each mode of transport.

The influence of the change of A on B refers to the independent variables (various modes of transport) and dependent variables (trade volume/number of block train) in the model.

Establish differential equations for Equations 1 and 2:

Thus, the symbiotic energy function, namely the symbiotic transport capacity growth model, is obtained. Based on this model, the synergistic effect between transport, trade and economy can be described, which is of great significance for the construction of China - European trade channel and the realization of its strategic goal.

3.4. ClockModel

The symbiosis theory can be used to effectively evaluate and construct the China - European trade and transport hub-port. The clock model can be used to analyze its performance, and the layout of the port can be optimized by combining the symbiotic transport capacity growth model with the existing multi-modal transport multi-objective model based on the time window. Figure 2 shows the symbiotic strategic performance clock model (Xu, 2007) which aims to make the CR Express sustainable development.

In the clock model from the perspective of symbiosis, the core is symbiosis strategic performance, and apply in the layout evaluation of China-European trade hub port, which is mainly evaluated from four aspects, namely, transportation performance, social performance, economic performance and business performance. According to the Metafrontier analysis framework (Chang and Tovar, 2017) port performance evaluation includes input (labor force, labor facilities, mobile equipment and other assets), output (transportation volume under various transportation modes), and possible technical differences. Combined with the characteristics of CR Express and the symbiosis theory, the performance evaluation of hub-port is finally divided into the above four parts.

First, facilities & equipment, organizations & processes in business performance and cost inputs in economic performance can be considered inputs; second, customer & market is regarded as the basis of strategic dynamic adjustment in the process of development, while profit in transportation performance and economic performance is regarded as output; then, the value-added capacity under economic performance and the innovation & decision-making in business performance are considered as possible technical differences, however, with no significant difference, facilities & equipment are not treated as technical differences; finally, social performance is the sustainable development goal and national strategic goal of China - European trade. Hence, the hub-port construction of China - European trade by using clock model can effectively combine rational and irrational factors, and the network layout formed by it is more reliable.

Figure-2. Clock model of symbiotic strategic performance.

Source: The authors sort out.

In the process of construction, the necessity of construction should be made clear at first, as in the symbiotic system, the energy of the whole system can only be increased if each symbiotic unit are strengthened interconnection and interaction. According to the growth model of symbiotic transport capacity, the symbiotic units are positively correlated with each other and have synergistic effect. Secondly, the construction target of hub port should be clarified. In China-European trade, according to the multi-modal transport and multi-objective model of time window, transport cost = miscellaneous cost + transit cost + service cost, and the optimization goal is to minimize the total transport cost and time. Therefore, the hub-port construction of China-European trade should consist of railway central stations (railway ports), highway ports and seaports, with the goal as promoting economic and trade, including empty loading rate reduction and the utilization rate increment of limited production factors in the market. Moreover, the role of government is leading CR Express gradual marketization.

After clarifying the above problems of hub-port construction, as for the network layout, we can consider the following two aspects, including the choice of nodes and path planning. There are many existing researches about it, including complex networks, optimization models and discrete selection models (Jiao, 2016; Xiong, 2017). Our proposed symbiotic model can be combined with existing models. Existing models of some independent variable changes in applying to the hub port layout construction, can consider to synergistic effect on the impact of these variables, the symbionts transport capacity growth model as one of the objective function, which involves the new variable to rethink, increase the constraint conditions. Then, a specific optimization model can be applied to CR Express hub-port construction under the context of China-European trade.

4. CONCLUSION AND IMPLICATION

At present, the implementation of the strategy of "The Belt and Road" in China is still facing many obstacles. China-Europe trade transportation has not yet produced economic benefits, relying on government subsidies, staying on the road, and contrary to the original intention of the strategy. Hence, the symbiosis theory is used to analyze the problems existing in the construction of China-Europe trade transportation hub-port. The symbiont transport growth model and the clock model for evaluating the transport channel are put forward to summarize and form relevant and beneficial development experiences. According to the analysis, the China Railway Express should strengthen railway construction in the development process. The evaluation of operational performance should be based on input-output efficiency, and open appropriate routes according to freight volume, rationally plan the hub port transportation network in order to improve economic efficiency.

According to our symbiont transport growth model, each transport pattern will influence CR Express and then impact China-Europe trade transportation. Hence, in the development of the symbiotic system, the shortage part should be taken seriously, meanwhile, to form economic interconnection, strengthen the coordination between symbiotic units such as the integration of transport chains is necessary. In addition, we set up clock model, which means the construction of the hub-port is extremely urgent. In the construction planning, transport corridor is more appropriate for port which is regard as an important symbiotic unit. In the construction process, not only comparing the number of lines opened and CR Express, but also comparing the input-output efficiency, including market share and new freight volume. Therefore, hub-ports should be composed of railway central stations, inland ports and seaports, and a reasonable optimization model should be established. Moreover, it is not the case that denser lines or nodes are better, so as to avoid the cost burden caused by coincidence routes or routes with less traffic volume. As Belgium is the country along the ‘One Belt and One Road’, and the Antwerp port is the biggest port, we suggestion that the investment on the construction better to focus on infrastructure connectivity, the less barriers on transport corridor, the higher return on investment.

According to our conclusion, we make the following three suggestions:

First, the initiative of shippers should be mobilized. The route selection of the consignor is mainly based on the consideration of transportation cost, transportation time and transportation quality. Since CR Express generally carries neither fresh nor frozen goods, the consignor tends to choose the mode of transportation with lower transportation cost. Therefore, in order to make CR Express more easily adapt to the market, value-added services are not required to be considered for the time being when the hub port is not effectively constructed, so as to avoid higher costs.

Second, due to the particularity of Chinese railways, the initiative of local governments should be mobilized to integrate all stakeholders in the transport chain and optimize the layout of the transport network, so as to give full play to the advantages of railway transport and strengthen linkage with other modes of transport.

Third, in the construction of hub-ports, the government should take the lead in establishing a reasonable network layout. In the process of operation, the government should gradually reduce intervention, including both administrative and financial aspects, to let the market play its role and lead the commercialization of CR Express. Moreover, CR Express's excessive dependence on the government not only causes the financial burden of the government, but more importantly, it is not conducive to the sustainable development of China-European trade and the country's ultimate strategic goal.

As new policy implication in original market, and its institution adoption may largely change traditional organization structure and form a new organizational framework. In the process of diffusion, implement path as how to construct and continuous adjustment according to market feedback is so ambiguous for little cognitive about it, so CR Express will face invisible barriers and rethink what is port critical role based on its definition likely provide another breakthrough for the current bottleneck.

This study uses new estimation methodology as symbiont transport growth model and clock model to provide appropriate estimation when an innovation implication in transport, especially a new pattern in practice.

Funding: This study received no specific financial support.   
Competing Interests: The authors declare that they have no competing interests. 
Acknowledgement: Both authors contributed equally to the conception and design of the study.

REFERENCES

Alizadeh, A.H., 2013. Trading volume and volatility in the shipping forward freight market. Transportation Research Part E: Logistics and Transportation Review, 49(1): 250-265.Available at: https://doi.org/10.1016/j.tre.2012.08.001.

Álvarez-SanJaime, Ó., P. Cantos-Sánchez, R. Moner-Colonques and J.J. Sempere-Monerris, 2015. The impact on port competition of the integration of port and inland transport services. Transportation Research Part B: Methodological, 80: 291-302.Available at: https://doi.org/10.1016/j.trb.2015.07.011.

Brooks, M.R., K.P. Cullinane and A.A. Pallis, 2017. Revisiting port governance and port reform: A multi-country examination. Research in Transportation Business & Management, 100(22): 1-10.Available at: https://doi.org/10.1016/j.rtbm.2017.02.005.

Chang, V. and B. Tovar, 2017. Metafrontier analysis on productivity for West Coast of South Pacific terminals. Transportation Research Part A: Policy and Practice, 103: 118-134.Available at: https://doi.org/10.1016/j.tra.2016.12.012.

Chen, M., 2016. Research on infrastructure connectivity under the background of "one belt and one road" -- a case study of CR-express operation. Administrative Assets and Finance, 26: 22-23.

Ernest, L., J. Nichols and B. Robert, 2002. Handfield. Supply chain redesign. England: FT Press. pp: 190-230.

Ha, M.-H., Z. Yang and J.S.L. Lam, 2019. Port performance in container transport logistics: A multi-stakeholder perspective. Transport Policy, 73: 25-40.Available at: https://doi.org/10.1016/j.tranpol.2018.09.021.

Haiyan, W. and Z. Jiao, 2018. How to ease the embarrassing flight return of China-Europe railway? Foreign Economic and Trade Practice, 1: 38-41.

Hummels, D., V. Lugovskyy and A. Skiba, 2009. The trade reducing effects of market power in international shipping. Journal of Development Economics, 89(1): 84-97.Available at: https://doi.org/10.1016/j.jdeveco.2008.05.001.

Jiao, X., 2016. Research on value added of multimodal transport -- based on container transport practice. Beijing: China Social Science Press. pp: 170-200.

Knatz, G., 2017. How competition is driving change in port governance, strategic decision-making and government policy in the United States. Research in Transportation Business & Management, 22: 67-77.Available at: https://doi.org/10.1016/j.rtbm.2016.08.003.

Liu, C. and C. Ho, 2018. 21st century maritime silk road' maritime network space pattern and its complexity research. World Geography Research, 3(27): 11-18.

Marsden, G. and L. Reardon, 2017. Questions of governance: Rethinking the study of transportation policy. Transportation Research Part A: Policy and Practice, 101: 238-251.Available at: https://doi.org/10.1016/j.tra.2017.05.008.

Meersman, H., E. Van de Voorde and T. Vanelslander, 2016. Port competitiveness now and in the future: What are the issues and challenges? Research in Transportation Business & Management, 19: 1-3.Available at: https://doi.org/10.1016/j.rtbm.2016.05.005.

Panayides, P.M., F. Parola and J.S.L. Lam, 2015. The effect of institutional factors on public–private partnership success in ports. Transportation Research Part A: Policy and Practice, 71: 110-127.Available at: https://doi.org/10.1016/j.tra.2014.11.006.

State Railway Administration, 2016. CR express construction and development plan (2016-2020). Available from http://www.nra.gov.cn/jgzf/yxjg/zfdt/201610/t20161027_28807.shtml [Accessed 2019.4.2].

Suárez-Alemán, A., J.M. Sarriera, T. Serebrisky and L. Trujillo, 2016. When it comes to container port efficiency, are all developing regions equal? Transportation Research Part A: Policy and Practice, 86: 56-77.Available at: https://doi.org/10.1016/j.tra.2016.01.018.

Wang, Y., 2018. The multimodal transport field advance will hold in Wuhan. Available from http://www.peoplerail.com/rail/show-456-394329-1.html [Accessed 2019.4.2].

Xiong, G., 2017. Research on optimization modeling and algorithm of international multimodal transport. Chengdu: Southwest Jiaotong University Press. pp: 100-130.

Xu, G., 2007. Research on enterprise strategic performance evaluation based on symbiosis theory. Beijing: Economic Science Press, 2: 80-90

Yuen, C.-l.A., A. Zhang and W. Cheung, 2012. Port competitiveness from the users' perspective: An analysis of major container ports in China and its neighboring countries. Research in Transportation Economics, 35(1): 34-40.Available at: https://doi.org/10.1016/j.retrec.2011.11.005.

Zhang, N., 2018. CR express under the "one belt and one road" initiative: Issues and prospects. Journal of Russian Studies, 2: 90-104.

Zhao, J., 2018. A study on the competitiveness and complementarity of China-European service trade. Shandong Social Sciences, 8: 166-170.

Views and opinions expressed in this article are the views and opinions of the author(s), International Journal of Sustainable Development & World Policy shall not be responsible or answerable for any loss, damage or liability etc. caused in relation to/arising out of the use of the content.