Index

Abstract

From the time immemorial, researchers have been beaming their search lights round the numerical solution of ordinary differential equation of initial value problems. This was as a result of its large applications in the area of Sciences, Engineering, Medicine, Control System, Electrical Electronics Engineering, Modeled Equations of Higher order, Thin flow, Fluid Mechanics just to mention few. There are a lot of differential equations which do not have theoretical solution; hence the use of numerical solution is very imperative. This paper presents the derivation, analysis and implementation of a class of new numerical schemes using Lucas polynomial as the approximate solution for direct solution of fourth order ODEs. The new schemes will bridge the gaps of the conventional methods such as reduction of order, Runge-kutta’s and Euler’s methods which has been reported to have a lot of setbacks. The schemes are chosen at the integration interval of seven-step being a perfection interval. The even grid-points are interpolated while the odd grid-points are collocated. The discrete scheme, additional schemes and derivatives are combined together in block mode for the solution of fourth order problems including special, linear as well as application problems from Ship Dynamics. The analysis of the schemes shows that the schemes are Reliable, P-stable and Efficient. The basic properties of the schemes were examined. Numerical results were presented to demonstrate the accuracy, the convergence rate and the speed advantage of the schemes. The schemes perform better in terms of accuracy when compared with other methods in the literature.

Keywords: Fourth order IVP, Lucas polynomial, Ship dynamics, Numerical schemes, P-stability, Order four, Block method, Taylor series, Zero stability, Convergent.

Received: 10 April 2020 / Revised: 14 May 2020 / Accepted: 18 June 2020/ Published: 21 July 2020

Contribution/ Originality

The study uses Lucas polynomial for the derivation of a new class of numerical schemes. The schemes were implemented in block mode for approximating fourth order ODEs directly without reduction.  It solves variety of problems including problem in Electrical Engineering. The schemes performs excellently better than other schemes in the literatures.

1. INTRODUCTION

Mathematics is considered by many people, institutions and employers of labours among others, as very important. Mathematics is considered indispensable because it has substantial use in all human activities including school subjects such as Introductory technology, Biology, Chemistry, Physics, Engineering including Agricultural science [1]. İn management, Linear programming which is an application of mathematics is used to calculate certain constraints [2]. Ordinary Differential Equations often appear in mathematical modeling of physical phenomena such as modeling and formulation of pricing policy for the production of goods, modeling of population growths for two or more countries, modeling of chemical reactions, etc.  Over the year, many numerical methods for approximating the solutions of initial value problems have been developed by various authors.
In this paper, we are concerned with solutions of fourth order initial value problem of the form:

Many Authors such as Ogunware and Omole [3];Adoghe and Omole [4];Ukpebor, et al. [5];Olanegan, et al. [6];Adeyeye and Kayode [7];Jator and Lee [8];Hussain, et al. [9]  have devoted lots of attention to the development of various methods for solving (1) directly without reducing it to system of first order.

Ogunrinde, et al. [10] developed a numerical method for the solution of first order initial value problems. Comparison of the method were made with Runge-kutta method, some conclusions were made on the performance of the method. The develop method has an advantage over the conventional method.

Modebei, et al. [11] constructed a block hybrid integrator for numerically solving fourth-order Initial Value Problems, which are developed with the presence of higher derivatives with same order. The resulting block methods are used to solve fourth order ordinary differential equations. Numerical implementation of the method shows that it displaysa good accuracy.

Olabode and Omole [12] in their paper titled “Implicit hybrid block Numerov-type Method for direct solution of fourth Order Ordinary Differential Equations Using Power Series function. The methods were implemented both in block and predictor corrector mode, the methods have the same order of accuracy. The results presented shows that the method implemented in block mode is more accuracy that the counterparts in Predictor corrector mode despite that they have the same order of accuracy. The properties of the methods were also discussed and the performance of the method was demonstrated on some numerical examples.

Numerous numerical methods based on the use of different polynomial functions has been adopted including Hermite polynomials, Chebyshev, and Othorgonal functions [13-15]   have been used as basis function to develop numerical methods for direct solution of (1) using interpolation and collocation procedure.

Lucas polynomial in one variable can be written as Equation 2,According to Adeniran and Longe [16] these polynomial are not so well studied in the theory of orthogonal polynomials, the reason being that, they are special case of Chebyshev polynomial (of the first kind) where bivariate Lucas polynomial are replaced by 2x and -1 yielding the similar three term recurrence.

In this paper, we are motivated by the work of Adeniran and Longe [16] to develop an order four numerical schemes for solving directly fourth order ordinary differential equations using Lucas polynomial as basic function. The basic function helps in the control of error of the problem solved. The developed schemes are then applied to solve varieties of problems in order to test for the speed, accuracy and efficiency. Throughout this work, PC means Predictor-Corrector[12].

2. MATERIAL METHOD

The Lucas polynomial series as an approximate solution to (1) is given by Equation 3 below;

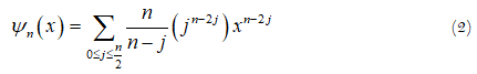
The schemes derived inEquations6,  7,  8, 9,  10, 11, 12, 13, 14, 15, 16, 17, 18, 19, 20, 21, 22, 23, 24, 25, 26, 27,  28, 29, 30, 31, 32 and  33are combined and implemented as a block in solving numerical problems of fourth order ordinary differential equations directly.

3. ANALYSIS OF THE SCHEMES

In this section, we analyze the derived schemes which include the order & error constant, consistency, zero stability, convergence of the method and region of absolute stability.

3.1. Order and Error Constant

In the Spirit of Fatunla [17];Jain, et al. [18] the order of the developed schemes was examined. It has order P=4 such that (4,4,4,4,4,4,4)T, T is called the Transposeand the error constants is shown inEquation 34as

3.2. Consistency

According to Adeniyi, et al. [19];Brown [20]  A linear multistep method is said to be consistent if it has an order of convergence greater than

Thus, our derived schemes are consistent, since the orders are 4.

3.3. Zero Stability

A linear multistep method is Zero-stable for any well behaved initial value problem provided

Setting Equation 35 equal to zero and solving for z gives z=1, hence the method is zero stable.

3.4. Convergence

The necessary and sufficient condition for a linear multistep to be convergent is for it to be consistent and zero stable. As ascertained by Henrici [21];Lambert [22];Lambert [23]. since the scheme is consistent and zero stable, hence it is convergent.

3.5. Region of Absolute Stability

The RAS of the developed schemes is considered in the light of Lambert [23];Areo and Omojola [24];Ibijola, et al. [25].

Figure-1.  Region of Absolute stability of the developed Schemes. The shaded region shows the region in which the method is absolutely stable. Hence the scheme is P-Stable in nature[25].

Source:Ibijola, et al. [25].

4. NUMERİCAL EXAMPLES

In this section, practical performance of the new method is examined on some test examples. We present the results obtained from the test examples which include special, linear and application problem in electrical engineering, namely Ship Dynamics of initial value problems found in the literature. The results are compared with the exact solutions. The results or absolute errors |u(x) un(x)| are presented side by side in the Table of values as shown below. All computations were carried out using Maple Mathematical Software version 17. 0, on Acer Laptop, Window 10. And the computations used 18 DGT.

Problem I: Consider the special fourth order below

4.1. Numerical Results

The numerical results of the developed schemes are presented below

Table-1The computation result of u-exact, u-computed and error in the new method with h = 0.1 for Problem (36) – (37).

x
u-exact solution
u-computed solution
Error in our Method
0.1
0.100000083333333333
0.100000083333333333
0.00e-00
0.2
0.200002666666666667
0.200002666666666667
0.00e-00
0.3
0.300020250000000000
0.300020250000000000
0.00e-00
0.4
0.400085333333333333
0.400085333333333333
0.00e-00
0.5
0.500260416666666667
0.500260416666666667
0.00e-00
0.6
0.600648000000000000
0.600648000000000000
0.00e-00
0.7
0.701400583333333333
0.701400583333333333
0.00e-00
0.8
0.802730666666666667
0.802730666666666669
2.00e-18
0.9
0.904920750000000000
0.904920750000000002
2.00e-18
1.0
1.00833333333333333
1.00833333333333334
1.00e-17

Note:  Result of Problem 1 using h=0.1.

Table-2The computation result of u-exact, u-computed and Error in the new method with h = 0.01 for Problem (38) – (39).

x
u-exact solution
u-computed solution
Error in our Method
0.01
0.000128995622844036815
0.000128995622844036735
8.0000e-20
0.02
0.000257396543210135729
0.000257396543210134814
9.1500e-19
0.03
0.000385195797911474182
0.000385195797911470767
3.4150e-18
0.04
0.000512386483927294689
0.000512386483927286467
8.2220e-18
0.05
0.000638961759093201193
0.000638961759093185228
1.5965e-17
0.06
0.000764914842785369764
0.000764914842785342360
2.7404e-17
0.07
0.000890239016598605380
0.000890239016598562086
3.43294e-17
0.08
0.00101492762501817681
0.00101492762501797948
3.2551e-17
0.09
0.00113897407608536255
0.00113897407608505724
6.5927e-17
0.10
0.00126237184205664122
0.00126237184205619294
1.1919e-16

Note:  Result of Problem 1 using h=0.1.

Table-5.  Comparison of the new method with Duromola [26];Mohammed [30] and Omar and Kuboye [27]  for solving problem (36) – (37)  with h = 0.1.

x
Error in
Duromola [26]
P=7,k=1
Error in
Mohammed [30]
P=4, K=6
Error in
Omar and Kuboye [27]
P=7, K=6
Error in our Method
K=7, P=4
0.1
1.658e-13
7.000e-10
1.002087e-12
0.00e-00
0.2
3.316e-12
8.999e-10
0.000000e+00
0.00e-00
0.3
7.183e-12
2.999e-09
0.000000e+00
0.00e-00
0.4
6.649e-11
5.100e-09
0.000000e+00
0.00e-00
0.5
9.906e-11
7.799e-09
1.002087e-12
0.00e-00
0.6
3.217e-11
1.180e-08
2.755907e-12
0.00e-00
0.7
2.432e-10
1.240e-08
3.507306e-12
0.00e-00
0.8
3.202e-10
1.410e-08
3.507306e-12
2.00e-18
0.9
2.540e-10
1.880e-08
4.175549e-12
2.00e-18
1.0
2.024e-10
2.600e-08
4.175549e-12
1.00e-17

Table-6Comparison of the new method with Awoyemi [31] andKayode [32] for solving problem (38) – (39). with  h = 0.01.

x
Error in
Kayode [32]
Error in our Method
0.01
8.5052e-19
4.8355e-17
8.0000e-20
0.02
1.3010e-18
1.3933e-16
9.1500e-19
0.03
4.7704e-18
6.6893e-16
3.4150e-18
0.04
1.7347e-17
2.0129e-15
8.2220e-18
0.05
4.3368e-17
4.6736e-15
1.5965e-17
0.06
9.5409e-17
9.1874e-15
2.7404e-17
0.07
1.8127e-16
1.6069e-14
3.43294e-17
0.08
3.1571e-16
2.5407e-14
3.2551e-17
0.09
5.1868e-16
3.8108e-14
6.5927e-17
0.10
8.0491e-16
5.4051e-14
1.1919e-16

Table-7Comparison of the new method with Akinfenwa, et al. [28]  and Awoyemi [31] for solving problem (40) – (41)  with  h = 1/320.

Table-8.  Comparison of the new method with Familua and Omole [29] which were implemented by both block and predictor-corrector mode, for solving problem (42) – (43)  with h = 1/320.

5. DISCUSSIONS OF RESULTS

In this work, four problems weresolved. Equations 36 and 37 are the problem under consideration and the initial conditions for problem 1 correspondingly. Equations 38 and 39 represents the problem under consideration and the initial conditions for problem 2in that order, while Equations 40 and 41 denotes the problem under consideration and the initial conditions for problem 3 respectively. Equations 42 and 43 described the problem under consideration and the initial conditions for problem 4 respectively.

In reference to the tables above, Table 1- 4 shows the numerical computational results of problem 1, 2, 3 and 4 using the developed schemes. The tables show the u-exact, u-computed and the error (the absolute values of the differences between the u-exact and the u-computed). The results were presented using different values of step size h= 0.1 and h=0.01 for problem 1 and 2, and h=1/320 for problems 3 and 4.

In Table 5, the comparison of error in the developed schemes were made with the authors Mohammed [30];Duromola [26] and Omar and Kuboye [27]. In the literature, author [26] proposed a one-step method with five-hybrids points, the method has order p=7. Author [30] developed a six-step block method with order of accuracy p=6.  Author [26] also presented a six step method with an interval of integration of six, the method possess order p=7. In comparing the author’s results with the proposed results in this paper, It is very clear that the results of the scheme proposed here is more accurate and converge faster than other methods.

In Table 6, the comparison of errors in the developed scheme were made with the authors Adesanya, et al. [33] and Kayode [32]. In the literature, author [33] proposed a five-step numerical method which was implemented in block mode, the method has order p=6. Likewise, Author [32] developed a numerical methods which was implemented in predictor-corrector mode, It has order of accuracy p=6. Our results performs excellently well better than the methods despite that our method has order p=4 against their own of order p=6. 

In Table 7, the comparison of error in the developed scheme were made with the authors Akinfenwa, et al. [28] and Awoyemi [31]. In the literature, author [28]  presented a two-step method with four hybrid points, power series was used as a basic function and the method has order of accuracy p=7. Author [31] developed an algorithms using predictor-corrector approach. Our results is more superior to the results of the author Akinfenwa, et al. [28] and Awoyemi [31]. This has been display in the table above.

In Table 8, the comparison of error in the developed scheme were made with the author [29].  The method of author [29]  was implemented both in block mode and predictor-corrector mode, they were both of the same order p=7. The methods used power series as the basic function. Our results showsuperior results over the methods proposed by the authors.  This actually shows that our results are far better and efficient with the use of Lucas polynomial as a basic function. Furthermore, the interpolation and collocation points that was strategically choosen also helps in performances of the new scheme.

6. CONCLUSION

In this study, we have derived; analyzed and implemented the developed schemes for solving directly fourth order ordinary differential equations. The schemes are implemented in block mode since continuous block method has advantage of evaluation at all selected points with the interval of integration [33]. The schemes are consistence, zero stable, and consistence.  The schemes are absolutely stable. It is p-stable in nature as presented in Figure 1. In the derivation of the schemes we make use of Lucas polynomial because of its good properties. The comparisons of our methods were presented in Table 5 -8. It could be seen clearly that our scheme of order p = 4 outperforms other authors in the literature with their methods of order p=6, 7. The methods also solve application problems from electrical engineering, namely Ship dynamics.

We also establish the claim made by Badmus [34] for  second order schemes that when the derived schemes has uniform order of accuracy, the block scheme gotten from the minimal value of k performed excellently well and compared favourably with the exact solutions. This has also been established for fourth order schemes derived from various values of k which are of the same order as shown in Table 5 -8 with different value of h. we also establish that if a method has a low order of accuracy and still perform better than the methods with higher order, this means that the method is superb.

Funding: This study received no specific financial support.  

Competing Interests: The authors declare that they have no competing interests.

Acknowledgement: All authors contributed equally to the conception and design of the study.

REFERENCES

[1]          T. O. Abe and E. O. Omole, "Difficulty and discriminating indices of junior secondary school Mathematics examination in Osun State; A Case Study of Oriade Local Government," American Journal of Education and Information Technology, vol. 3, pp. 37-46, 2019. Available at: http://dx.doi.org/10.11648/j.ajeit.20190302.12.

[2]          O. O. Kayode, A. E., and E. O. Omole, "Profit Maximization in a product mix bakery using linear programming technique," Journal of investment and Management, vol. 5, pp. 27 – 30, 2020. Available at: .  http://dx.doi.org/10.11648/j.jim.20200901.14.

[3]          B. G. Ogunware and E. O. Omole, "A class of irrational linear multistep block method for the direct numerical solution of third order ordinary differential equations," Turkish Journal of Analysis and Number Theory, vol. 8, pp. 21-27, 2020. Available at: http://dx.doi.org/10.12691/tjant-8-2-1.

[4]          L. O. Adoghe and E. O. Omole, "A fifth-fourth continuous block Implicit hybrid method for the solution of third order initial value problems in ordinary differential equations," Journal of Applied and Computational Mathematics, vol. 8, pp. 50 – 57, 2019. Available at: 10.11648/j.acm.20190803.11.

[5]          L. A. Ukpebor, E. O. Omole, and L. O. Adoghe, "Fully ımplicit five-quarters computational algorithms of order five for numerical approximation of second order  IVPs  in ODEs," Journal of Advances in Mathematics and Computer Science, vol. 30, pp. 1-15, 2019. Available at: 10.9734/JAMCS/2019/44846.

[6]          O. O. Olanegan, B. G. Ogunware, E. O. Omole, T. S. Oyinloye, and B. T. Enoch, "Some classes of continous hybrid linear mulstistep methods for the solution of first order ordinary differential equations," International Organization of Scientific Research, vol. 11, pp. 08-13, 2016. Available at: 10.9790/5728-11510813.

[7]          O. Adeyeye and S. J. Kayode, "Two-step two-point hybrid methods for general second order differential equations," African Journal of Mathematics and Computer Science Research, vol. 6, pp. 191–196, 2013. Available at: https://doi.org/10.5897/AJMCSR2013.0502.

[8]          S. N. Jator and L. Lee, "Implementing a seventh-order linear multistep method in a predictor-corrector mode or block mode: Which is more efficient for the general second order initial value problem," Springer Plus, vol. 3, pp. 1–8, 2014. Available at: https://doi.org/10.1186/2193-1801-3-447.

[9]          K. Hussain, F. Ismail, and N. Senu, "Two embedded pairs of runge-kutta type methods for direct solution of special fourth-order ordinary differential equations," Mathematical Problems in Engineering, pp. 1–12, 2015. Available at: https://doi.org/10.1155/2015/196595.

[10]        R. B. Ogunrinde, S. E. Fadugba, and J. T. Okunlola, "On some numerical methods for solving initial value problems in ordinary differential equations," IOSR Journal of Mathematics, vol. 1, pp. 25-33, 2012. Available at: http;//dx.doi. org/10.9790/5728-013253.

[11]        M. I. Modebei, R. B. Adeniyi, S. N. Jator, and H. Ramos, "A block hybrid integrator for numerically solving fourth-order initial value problems," Applied Mathematics and Computation, vol. 346, pp. 680–694, 2019. Available at: https://doi.org/10.1016/j.amc.2018.10.080.

[12]        B. T. Olabode and E. O. Omole, "Implicit hybrid block numerov-type methods for the direct solution of fourth order ordinary differential equations," American Journal of Computational and Applied Mathematics, vol. 5, pp. 129 – 139, 2015. Available at: 10.5923/j.ajcam.20150505.01.

[13]        T. Aboiyar, T. Luga, and B. V. Iyorter, "Derivation of continuous linear multistep methods using hermite polynomials as basic functions," American Journal of Applied Mathematics and Statistics, vol. 3, pp. 220-225, 2015.

[14]        R. B. Adeniyi and M. O. Alabi, "Continuous formulation of a class accurate implicit linear multistep methods with chebyshev basis function in a collocation technique," Journal of Mathematical Association of Nigeria (ABACUS), vol. 34, pp. 58-77, 2007.

[15]        E. O. Adeyefa and R. B. Adeniyi, "Construction of orthogonal basis function and formulation of continuous hybrid schemes for the solution of third order ODEs," Journal of the Nigerian Association of Mathematical Physics, vol. 29, pp. 21-28, 2015.

[16]        A. O. Adeniran and I. O. Longe, "Solving directly second order initial value problems with Lucas polynomial," Journal of Advances in Mathematics and Computer Science, vol. 32, pp. 1-7, 2019. Available at: http://dx.doi.org/10.9734/jamcs/2019/v32i430152.

[17]        S. O. Fatunla, "Block method for second order IVPs," International Journal of Computer Mathematics, vol. 41, pp. 55-63, 1991. Available at: http://dx.doi.org/10.1080/00207169108804026.

[18]        M. K. Jain, S. R. K. Iyengar, and R. K. Jain, Numerical methods for scientific and engineering computation, 5th ed. New Delhi, India, RK: New Age International, 2007.

[19]        R. B. Adeniyi, E. O. Adeyefa, and M. O. Alabi, "A continuous formulation of some classical initial value solvers by non-perturbed multistep collocation approach using  chebyshev Polynomial as basis function," Journal of the Nigerian Association of Mathematical Physics, vol. 10, pp. 261-274, 2006.

[20]        R. L. Brown, "Some characteristics of implicit multistep multi derivative Integration formulas," SIAM  Journal on Numerical Analysis, vol. 14, pp. 982 – 993, 1977.

[21]        P. Henrici, Discrete variable methods for ODEs. New York: John Wiley, 1962.

[22]        J. D. Lambert, Numerical methods for ordinary differential systems. New York: John Wiley, 1991.

[23]        J. D. Lambert, Computational Methods in ODEs. New York: John Wiley & Sons, 1973.

[24]        E. A. Areo and M. T. Omojola, "A new one-twelfth continous block method for the solution of modelled problems of ordinary differential equations," American Journal of Computational Mathematics, vol. 5, pp. 447-457, 2015.

[25]        E. A. Ibijola, Y. Skwame, and G. Kumleng, "Formation of hybrid block method of higher step sizes, through the continuous multi-step collocation," American Journal of Science and  Industrial Research, vol. 2, pp. 161-173, 2011.

[26]        M. K. Duromola, "An accurate five off-step points implicit block method for direct solution of fourth order differential equations," Open Access Library Journal, vol. 3, pp. 1-14, 2016.

[27]        Z. Omar and J. O. Kuboye, "New seven-step numerical method for direct solution of fourth order ordinary differential equations," Journal of Mathematical and Foundational Sciences, vol. 48, pp. 94-105, 2016. Available at: http://dx.doi.org/10.5614/j.math.fund.sci.2016.48.2.1.

[28]        O. A. Akinfenwa, H. A. Ogunseye, and S. A. Okunuga, "Block hybrid method for solution of fourth order ordinary differential equations," Nigerian Journal of Mathematics and Applications, vol. 25, pp. 140 – 150, 2016.

[29]        A. B. Familua and E. O. Omole, "Five points mono hybrid point linear multistep method for solving nth order ordinary differential equations using power series function," Asian Journal of Research and Mathematics, vol. 3, pp. 1-17, 2017. Available at: http://dx.doi.org/10.9734/ARJOM/2017/31190.

[30]        U. Mohammed, "A six step block method for solution of fourth order ordinary differential equations," The Pacific Journal of Science and Technology, vol. 11, pp. 258-265, 2010.

[31]        D. O. Awoyemi, "Algorithmic collocation approach for direct solution of fourth-order initial-value problems of ordinary differential equations," International Journal of  Computer and Mathematics, vol. 82, pp. 321–329, 2005. Available at: https://doi.org/10.1080/00207160412331296634.

[32]        S. J. Kayode, "A zero stable method for direct solution of fourth order ordinary differential equation," American Journal of Applied Sciences, vol. 5, pp. 1461-1466, 2008. Available at: http://dx.doi.org/10.3844/ajassp.2008.1461.1466.

[33]        A. O. Adesanya, A. A. Momoh, M. A. Alkali, and A. Tahir, "A five steps block method for the solution of fourth order ordinary differential equations," International Journal of Engineering  Research and Applications, vol. 2, pp. 991-998, 2012.

[34]        A. M. Badmus, "A new eighth order implicit block algorithms for the direct solution of second order ordinary differential equations," American Journal of Computational Mathematics, vol. 4, pp. 376-386, 2014. Available at: http://dx.doi.org/10.4236/ajcm.2014.44032.

Views and opinions expressed in this article are the views and opinions of the author(s), International Journal of Mathematical Research shall not be responsible or answerable for any loss, damage or liability etc. caused in relation to/arising out of the use of the content.