Index

Abstract

Artificial Human Optimization is a latest field proposed in December 2016. Just like artificial Chromosomes are agents for Genetic Algorithms, similarly artificial Humans are agents for Artificial Human Optimization Algorithms. Particle Swarm Optimization is very popular algorithm for solving complex optimization problems in various domains. In this paper, Human Thinking Particle Swarm Optimization (HTPSO) is proposed by applying the concept of thinking of Humans into Particle Swarm Optimization. The proposed HTPSO algorithm is tested by applying it on various benchmark functions. Results obtained by HTPSO algorithm are compared with Particle Swarm Optimization algorithm.

Keywords:Artificial humans, Global optimization techniques, Artificial human optimization, Particle swarm optimization, Evolutionary computing, Nature inspired computing, Genetic algorithms, Bio-Inspired computing. .

Received: 27 July 2018 / Revised: 28 August 2018/ Accepted: 31 August 2018/ Published: 3 September 2018

Contribution/ Originality

The paper contributes a new algorithm to the Artificial Human Optimization Field. All the optimization algorithms which were proposed based on Artificial Humans will come under Artificial Human Optimization Field. The concept of Human Thinking is introduced into the Particle Swarm Optimization (PSO) to create new algorithm titled HTPSO.


1. INTRODUCTION

More than 30 papers are published in Artificial Human Optimization Field. All optimization algorithms proposed based on Human Cognition, Human Behavior, Human Psychology and Human Thinking etc. will come under Artificial Human Optimization Field. Papers [1-8] give introduction to Artificial Human Optimization Field. Papers [9-13] are Particle Swarm Optimization Algorithms which come under Artificial Human Optimization Field.

Section 2 explains Particle Swarm Optimization Algorithm. The proposed Human Thinking Particle Swarm Optimization (HTPSO) is described in Section 3. Section 4 shows results obtained. The conclusion is given in Section 5.

2. PARTICLE SWARM OPTIMIZATION (PSO)

In PSO, first we initialize all particles as shown below. Two variables pbesti and gbest are maintained. pbesti is the best fitness value achieved by ith  particle so far and gbest is the best fitness value achieved by all particles so far. Lines 4 to 11 in the below text helps in maintaining particle best and global best.  Then the velocity is updated by rule shown in line no. 14. Line 15 updates position of ith particle. Line 19 increments the number of iterations and then the control goes back to line 4. This process of a particle moving towards its local best and also moving towards global best of particles is continued until termination criteria will be reached.

Procedure: Particle Swarm Optimization ( PSO )

1) Initialize all particles

2) iterations = 0

3) do

4)            for each particle i do

5)         If ( f( xi ) < f( pbesti ) ) then

6)            pbesti = xi

7)            end if

8)         if ( f( pbesti ) < f( gbest ) ) then

9)         gbest = pbesti

10)            end if

11)         end for 

12)         for each particle i do

13)       for each dimension d do

14)       vi,d = vi,d + C1*Random(0,1)*(pbesti,d – xi,d) + C2*Random(0,1)*(gbestd – xi,d)

15)         xi,d = xi,d + vi,d

17)       end for

18)       end for

19)       iterations = iterations + 1

20)       while ( termination condition is false)

3. HUMAN THINKING PARTICLE SWARM OPTIMIZATION ( HTPSO )

Almost all Particle Swarm Optimization (PSO) algorithms are proposed such that the particles move towards best particles. But Human Thinking is such that they not only move towards best but also moves away from the worst. This concept was used to design algorithm titled “Multiple Strategy Human Optimization (MSHO)” in Satish [4]. In MSHO, artificial Humans move towards the best in even generations and move away from the worst in odd generations. But in Human Thinking Particle Swarm Optimization, both strategies happen in the same generation and all generations follow the same strategy. That is moving towards the best and moving away from the worst strategies happen simultaneously in the same generation unlike MSHO designed in Satish [4]. The Proposed HTPSO algorithm is shown below:

Procedure: Human Thinking Particle Swarm Optimization ( HTPSO )

1) Initialize all particles

2) iterations = 0

3) do

4) for each particle i do

5) If ( f( xi ) < f( pbesti ) ) then

6) pbesti = xi

7) end if

8) if ( f( pbesti ) < f( gbest ) ) then

9)  gbest = pbesti

10) end if

11) If ( f( xi ) > f( pworsti ) ) then

12) pworsti = xi

13) end if

14) if ( f( pworsti ) > f( gworst ) ) then

15) gworst = pworsti

16) end if

17) end for

18) for each particle i do

19) for each dimension d do

20) vi,d = w*vi,d + Random(0,1)*(pbesti,d – xi,d) + Random(0,1)*(gbestd – xi,d)

21) vi,d = vi,d + Random(0,1)*( xi,d - pworsti,d ) + Random(0,1)*( xi,d - gworstd)

22) xi,d = xi,d + vi,d

23) end for

24) end for

25) iterations = iterations + 1

26) while ( termination condition is false)

4. RESULTS

This section shows results obtained after applying proposed HTPSO on various benchmark functions. The obtained results are compared with PSO algorithm. The figures and equations of benchmark functions are taken from Sonja [14].

Figure-1. Ackley Function

Figure-2. Equation of Ackley Function

Figure-3. Result given by HTPSO on Ackley Function

Figure-4. Result given by PSO on Ackley Function

From Figure 3 and Figure 4 we can see that Optimal value given by proposed HTPSO is 4.262748 where as PSO gave optimal solution as 0 which is the global optimal of Ackley Function. Hence PSO performed better than proposed HTPSO on Ackley Function.

Figure-5. Beale Function

Figure-6. Equation of Beale Function

Figure-7. Result given by HTPSO on Beale Function

Figure-8. Result given by PSO on Beale Function

From Figure 7 and Figure 8 we can see that Optimal value given by proposed HTPSO is 0.134325 where as PSO gave optimal solution as 0 which is the global optimal of Beale Function. Hence PSO performed better than proposed HTPSO on Beale Function.

Figure-9. Bohachevsky Function

Figure-10. Equation of Bohachevsky Function 

Figure-11. Result given by HTPSO on Bohachevsky Function

Figure-12. Result given by PSO on Bohachevsky Function

From Figure 11 and Figure 12 we can see that Optimal value given by proposed HTPSO is 5.305778 where as PSO gave optimal solution as 0 which is the global optimal of Bohachevsky Function. Hence PSO performed better than proposed HTPSO on Bohachevsky Function.

Figure-13. Booth Function

Figure-14. Equation of Booth Function

Figure-15. Result given by HTPSO on Booth Function

Figure-16. Result given by PSO on Booth Function

From Figure 15 and Figure 16 we can see that Optimal value given by proposed HTPSO is 0.338471 where as PSO gave optimal solution as 0 which is the global optimal of Booth Function. Hence PSO performed better than proposed HTPSO on Booth Function.

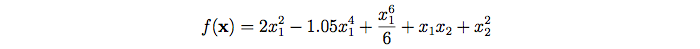
Figure-17. Three-Hump Camel Function

Figure-18. Equation of Three-Hump Camel Function

Figure-19. Result given by HTPSO on Three-Hump Camel Function

Figure-20. Result given by PSO on Three-Hump Camel Function

From Figure 19 and Figure 20 we can see that Optimal value given by proposed HTPSO is 0.024926. PSO gave optimal solution as 0 which is the global optimal of Three-Hump Camel Function. Hence both PSO and HTPSO performed well when applied on Three-Hump Camel Function.

5. CONCLUSION

An innovative algorithm titled “Human Thinking Particle Swarm Optimization (HTPSO)” is proposed in this paper. Results show that HTPSO and PSO both performed well on Three-Hump Camel Function. PSO performed better than HTPSO on all other benchmark functions. Overall PSO performed better than Human Thinking Particle Swarm Optimization (HTPSO) algorithm. This is just the beginning of research in Artificial Human Optimization Field. General Expectation is that algorithms based on Humans will perform better than other algorithms. In this paper it has been found that Artificial Human Optimization Algorithms might not always perform well. Based on this single paper we cannot say PSO is better than Artificial Human Optimization Algorithms. Still lot of work has to be done in this latest field titled “Artificial Human Optimization”.

Funding: This study received no specific financial support.  
Competing Interests: The authors declare that they have no competing interests.
Contributors/Acknowledgement: Both authors contributed equally to the conception and design of the study.

REFERENCES

[1]         G. Satish, "Entrepreneur: Artificial human optimization," Transactions on Machine Learning and Artificial Intelligence, vol. 4, pp. 64-70, 2016. View at Google Scholar 

[2]         G. Satish, "CEO: Different reviews on phd in artificial intelligence," Global Journal of Advanced Research, vol. 1, pp. 155-158, 2014. View at Google Scholar 

[3]         S. Gajawada, "POSTDOC: The human optimization," Computer Science & Information Technology (CS & IT), CSCP, vol. 3, pp. 183-187, 2013. View at Google Scholar 

[4]         G. Satish, "Artificial human optimization – an introduction," Transactions on Machine Learning and Artificial Intelligence, vol. 6, pp. 1-9, 2018. View at Google Scholar | View at Publisher

[5]         S. Gajawada, "An ocean of opportunities in artificial human optimization field," Transactions on Machine Learning and Artificial Intelligence, vol. 6, pp. 25-32, 2018. View at Google Scholar 

[6]         G. Satish, "25 reviews on artificial human optimization field for the first time in research industry," Intelligence, vol. 6, pp. 5, 2018. View at Google Scholar 

[7]         S. Gajawada and H. M. Mustafa, "Collection of abstracts in artificial human optimization field," International Journal of Research Publications, vol. 7, pp. 1-16, 2018. View at Google Scholar 

[8]         G. Satish and M. H. M. Hassan, "HIDE: Human inspired differential evolution - an algorithm under artificial human optimization field," International Journal of Research Publications, vol. 7, pp. 1-6, 2018.

[9]         H. Liu, G. Xu, G.-y. Ding, and Y.-b. Sun, "Human behavior-based particle swarm optimization," The Scientific World Journal, vol. 2014, pp. 194706-194706, 2014. View at Google Scholar 

[10]       R.-L. Tang and Y.-J. Fang, "Modification of particle swarm optimization with human simulated property," Neurocomputing, vol. 153, pp. 319-331, 2015. View at Google Scholar | View at Publisher

[11]       M. R. Tanweer and S. Sundaram, "Human cognition inspired particle swarm optimization algorithm," in Intelligent Sensors, Sensor Networks and Information Processing (ISSNIP), 2014 IEEE Ninth International Conference on, 2014, pp. 1-6.

[12]       M. R. Tanweer, S. Suresh, and N. Sundararajan, "Self regulating particle swarm optimization algorithm," Information Sciences, vol. 294, pp. 182-202, 2015. View at Google Scholar | View at Publisher

[13]       M. R. Tanweer, S. Suresh, and N. Sundararajan, "Improved SRPSO algorithm for solving CEC 2015 computationally expensive numerical optimization problems," in Evolutionary Computation (CEC), 2015 IEEE Congress on, 2015, pp. 1943-1949.

[14]       S. Sonja, "Derek Bingham. Simon Fraser University." Retrieved: https://www.sfu.ca/~ssurjano/ackley.html . [Accessed 26th July, 2018], 2013.