Index

Abstract

In this article, integrability, center, and monotonicity of associated period function for -quasi-homogeneous vector fields are investigated. We are concerned with family of vector field given by sum, finite or infinite number of quasi-homogeneous polynomials not necessarily to be sharing the same weights. The investigation is done by utilizing method of computing focal values. As an application of the result, a particular family of (p, q)-quasi-homogeneous vector field is studied to find conditions for center, monotonicity and consequently an explicit form for the associated period function.

Keywords: Integrability, Centre, Period function, Quasi-homogeneous polynomial, Center-focus problem, Vector field.

Received: 20 March 2017 / Revised: 30 May 2017 / Accepted: 23 June 2017 / Published: 13 July 2017

Contribution/ Originality

The paper contributes the first means-ends analysis of the connections of in-class simulation-based learning-performance by using the learning setting and participant-authored reports. Contrasted with previous studies which were essentially oriented in product/service decision-making, this study was built on the efforts to enhance the understanding of how the virtual management practices contribute to generation of personal values, rather than to focus on simulation system’s external validity.


1. INTRODUCTION

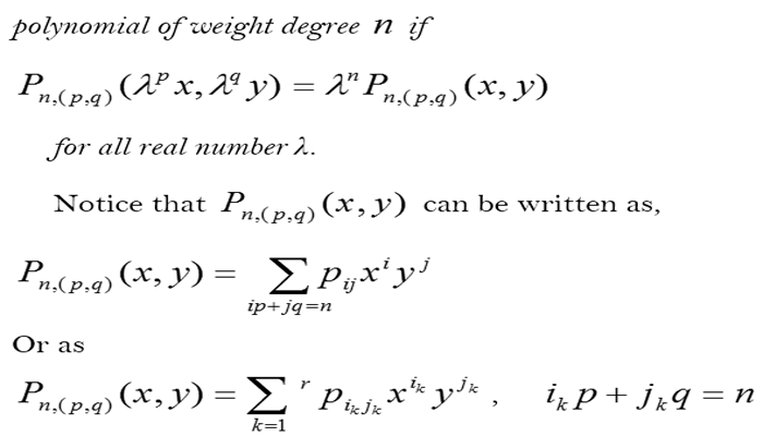
The quasi-homogeneous (and in general nonhomogeneous) polynomial function is defined as follows,

Definition 1. Let

A planar polynomial vector field of the form

(p,q)-quasi-homogeneous of quasi-degree n vector field. Notice that homogeneous vector fields of degree n are quasi-homogeneous of quasi-degree n and weight (1, 1).

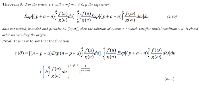
The quasi-homogeneous polynomial differential systems have been studied from many different point of view, one of these studies is the Centre, see for instance [1]; [2]; [3]; [4]. But up to now there was not an algorithm for constructing all the quasi-homogeneous polynomial differential systems for a given degree. In this paper we are concerned with (p,q)-quasi-homogeneous vector field having a degenerate critical point, at the origin given by sum of quasi-homogeneous polynomials. We study the integrability, center conditions, and the monotonicity of associated period function and moreover give a closed form for the period function of (p,q)-quasi-homogeneous vector fields of particular case.

A critical point is called a Centre if it has a punctured neighborhood full of periodic orbits. The largest of such neighborhood is called the period annulus of the Centre. If the eigenvalues of the linear part of X at the Centre are not purely imaginary, then the Centre is called degenerate. This is our case since n ≻1. In the period annulus of a center the so-called period function T(x) gives the least period of the periodic solution passing through the point with coordinates (x,0)=(r,0) inside the period annulus of the Centre. If all periodic solutions inside the period annulus of the Centre have the same period it is said that the Centre is isochronous. For more details on characterization of isochronocity see [5] and references therein. For a Centre that is not isochronous, any value

also been investigated by many authors, see for example [6]; [7] and references therein. Recall that a critical point is called monodromic if there are no orbits tending or leaving the point with a certain direction. For analytic vector fields, monodromic points are either Centre or focus, and the problem of distinguishing between both options is called the Centre -focus problem. In order to have a Centre at the origin we only need to guarantee that the origin is monodormic and moreover, that some definite integral, that can be obtained from the expression in quasi-homogeneous polar coordinates, is zero.

We write the vector field associated with the differential system (1.1) as X(x, y). We give conditions on the parameters of the system in order to get integrable system and to study its period function on the period annulus of the origin when we assume that the differential equation associated to X has a degenerate Centre at this point.

In this article, we are interested in characterizing integrability and monotonicity of period function of degenerate Centre for certain classes of planar polynomial differential system given by sum, finite or infinite number, of quasi-homogeneous polynomials of the form

be sharing same weight degree. In the literature the authors investigated classes of quasi-homogeneous polynomial systems with a given weight degree sharing all the parts of the system, see for instance [8] and references therein. Our result extends the homogeneous case as a particular case.

2. MAIN RESULTS

We consider a class of differential system given in 1.1, to study the integrability by giving an explicit from for its first integral and then investigate conditions for Centre for some subclass and monotonicity of the associated period function. For sufficiently small h>0, the solution of system 1.1 which satisfy initial condition

 

parameters p, q gives one possibility of maneuver in choosing desired form for desired purpose. The following Theorem is the first result.

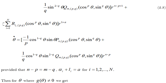
Theorem  1.  The function

where

Equation 2.4 is Bernoulli differential equation and it is transformed to a linear one by making use of classical transformation

whose solution given by

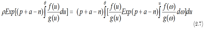
Therefore the expression given in (2.2) is a first integral for the system 1.1. This completes the proof.

Theorem  2.  For system 1.1, if

Substitute 2.9 into 2.4 to get

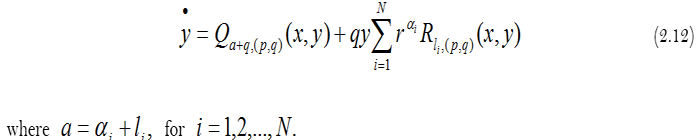
Theorem 4.  For system 2.12 ,

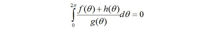
A) If, for the convergent improper integral

then the system has Centre at the origin.

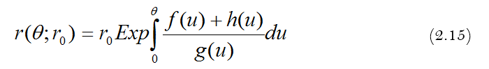
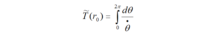
B) If the system has Centre at the origin under the above condition A), then its associated period function is monotonic decreasing. Moreover it can be written as

Proof.   Using the generalized polar coordinates 2.1 we can write system 2.12 as

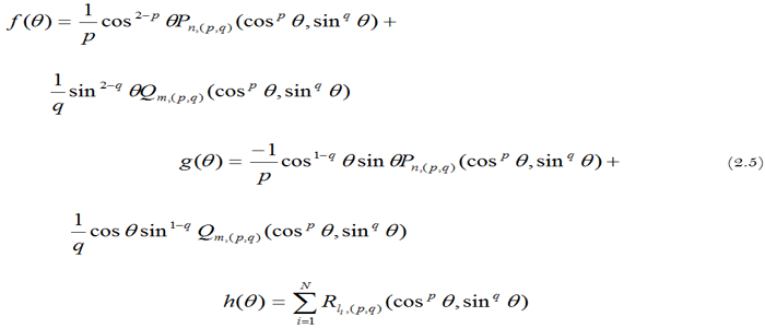
where f, g, and h are given in 2.5.

2.13 can be written as

The solution of this differential equation is given by

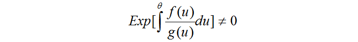
The Centre condition is r ( 0 ; r₀ ) = r ( 0 ; r₀ ), which implies

coordinates 2.1 regarding the second equation of 2.13 we obtain

From equation 2.15 we get

Hence

Funding: The authors would like to express their gratitude to the University of Sharjah for support.
Competing Interests: The authors declare that they have no competing interests.
Contributors/Acknowledgement: Both authors contributed equally to the conception and design of the study.

REFERENCES

 [1]        A. Algaba, E. Freire, E. Gamero, and C. Garca, "Monodromy, centre-focus and integrability problems for quasi-homogeneous polynomial systems," Nonlinear Analysis, vol. 72, pp. 1726-1736, 2010. View at Google Scholar | View at Publisher

[2]         A. Algaba, N. Fuentes, and C. Garca, "Centre of quasi-homogeneous polynomial planar systems," Nonlinear Analysis: Real World Applications, vol. 13, pp. 419-431, 2012. View at Google Scholar | View at Publisher

[3]         M. J. Alvarez, A. Gasull, and R. Prohens, "Global behavior of the period function of the sum of two quasi-homogeneous vecto fields," Journal of Mathematical Analysis and Applications, vol. 449, pp. 1553-1569, 2017. View at Google Scholar | View at Publisher

[4]         L. Tao, L. Feng, Y. Liu, and L. Shimin, "Center-focus determination and limit cycles bifurcation for $ p: q $ homogeneous weight singular point," arXiv preprint arXiv:1608.08890, 2016.

[5]         J. Chavarriga and M. Sabatini, "A survey of isochronous centres," Qualitative Theory of Dynamical Systems, vol. 1, pp. 1-70, 1999. View at Google Scholar 

[6]         J. Gine, "On the degenerate centre problem," International Journal of Bifurcation and Chaos Applied Sciences and Engineering, vol. 21, pp. 1382-1392, 2011.

[7]         J. Gine and J. Llibre, "On the centre conditions for analytic monodromic degenerate singularities," International Journal of Bifurcation and Chaos Applied Sciences and Engineering, vol. 22, p. 1250303, 2012. View at Google Scholar | View at Publisher

[8]         Y. Xiong, M. Han, and Y. Wang, "Centre problems and limit cycle bifurcations in a class of quasi-homogeneous system," International Journal of Bifurcation and Chaos, vol. 25, p. 1550135, 2015. View at Google Scholar | View at Publisher