Index

Abstract

We analyze and formulate an Eco-Epidemiological model with disease in the prey and predator, study the existence of the non-negative equilibria, obtain the sufficient conditions of locally asymptotical stability of the equilibria, then analyze the global stability of the positive equilibria.

Keywords: Eco-epidemiological model, Asymptotically stable, Equilibria, Liapunov function, Prey, Predator .

Received: 23 December 2016 / Revised: 20 January 2017 / Accepted: 8 March 2017 / Published: 20 April 2017

Contribution/ Originality

: This study contributes in the existing literature of Eco-Epidemiological model. We get the conditions of local asymptotic and the existence of the boundary balance, and we proved the positive balance point is global asymptotical stability by constructing Liapunov function.


1. INTRODUCTION

Mathematical ecology and mathematical epidemiology are major fields of study. Since transmissible disease in ecological situation can’t be ignored, it is very important from both the ecological and the mathematical points of view to study ecological systems subject to epidemiological factors. A number of studies have been performed in this field; However, all these papers available only discussed the disease spread  in a species ,seeing [1-3] deal with the disease is  spread among the  predator population only ,but in literatures [4-7] the disease is spread among the preys population considered. In our common life ,the disease may spread among the prey and the predator. On the basic of this ,this paper deals with the prey-predator model with diseases in the prey and predator ,  and we suppose the predator with disease dose not  capture on the preys, the susceptible predator capture both on the susceptible an on the infected prey, but the  capture rate  is different , which much closer to the actual  situation . This paper consider the model as follows:

All the parameters are assumed to be positive.

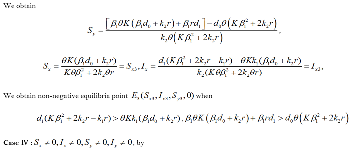
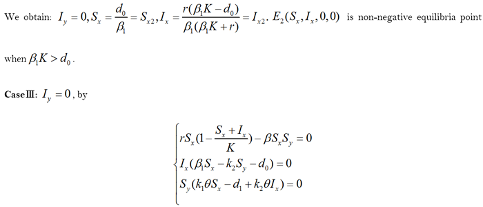
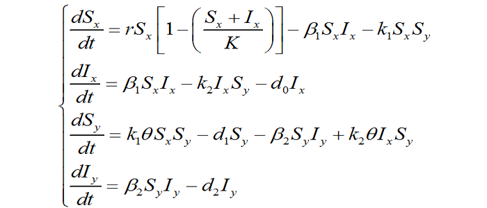
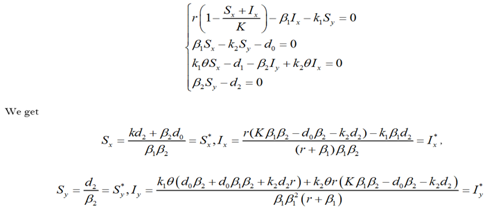
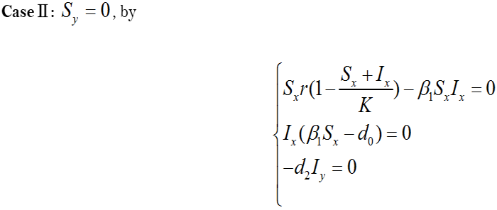
2. EQUILBRIA ANALYSIS

Let

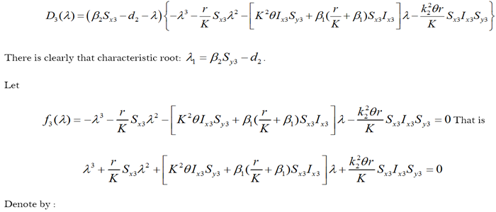
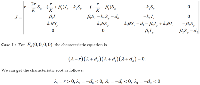
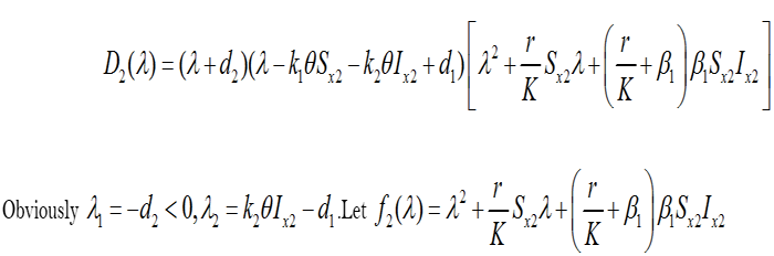
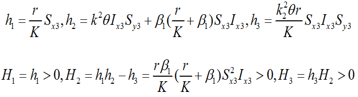
3. STABLE ANALYSIS

The Jacobi matrix of the system is

The corresponding characteristic polynomial is

All roots have negative real parts, by Hurwitz criterion.

Hence, we have the following main theorems:

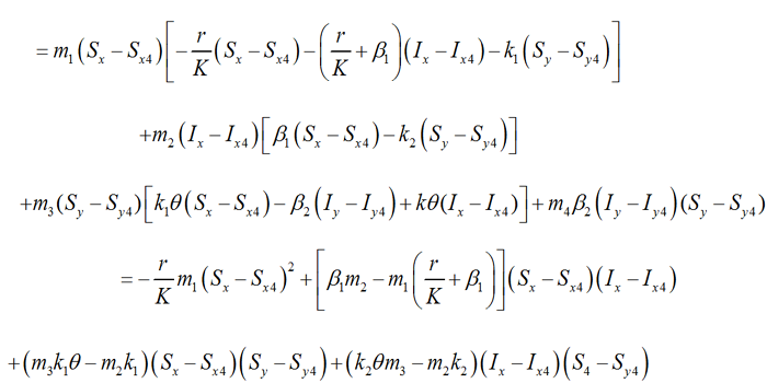
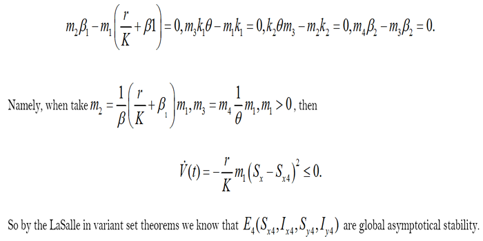
4. GLOBAL STABILITY

Let

This paper mainly discusses the prey-predator model with disease in the preys and predators ,we get the conditions of local asymptotic and the existence of the boundary balance .We prove the positive balance  point

Funding: This study received no specific financial support.
Competing Interests: The authors declare that they have no competing interests.
Contributors/Acknowledgement: All authors contributed equally to the conception and design of the study.

REFERENCES

[1]         Y. Jianya and Z. Fengqing, "The prey-predator model with epidemic in the predator [J]," Mathematical Bioscien, vol. 22, pp. 419-423, 2007. View at Google Scholar 

[2]         Z. Wuzhong and Z. Fengqing, "A prey-predator SIS model with epidemic in the predator [J]," Xuzhou Noraml Univ, vol. 26, pp. 132-133, 2008.

[3]         S. Shulin and Y. Cunde, "Analysis of eco-epidemiological SIS model with epidemmic in the predator [J]," Chinese Journal of Engineering, vol. 22, pp. 30-31, 2005. View at Google Scholar 

[4]         H. W. Herbert, W. Wendi, H. Litao, and M. Zhien, "A predator-prey model with infected prey [J]," Theoretical Population Biology, vol. 66, pp. 259-268, 2004. View at Google Scholar 

[5]         X. Yanni and C. Lansun, "A ratio-dependent predator-prey model with disease in the prey [J]," Applied Mathematics and Computation, vol. 131, pp. 397-414, 2002. View at Google Scholar | View at Publisher

[6]         X. Yanni and C. Lansun, "Modeling and analysis of a predator-prey model with disease in the prey [J]," Mathematical Biosciences, vol. 171, pp. 59-82, 2001. View at Google Scholar | View at Publisher

[7]         J. Chattopadhyay and O. Arino, "A predator-prey model with disease in the prey[J]," Nonlinear Analysis, vol. 38, pp. 749-766, 1999. View at Google Scholar