Index

Abstract

In this paper, we generate the Adomian polynomial for major nonlinear terms which are mostly common in differential equations. And we applied it to Lane-Emden type of equations whose nonlinear terms are exponential functions. The result we obtained by modified Adomian decomposition method (ADM) gave a series solution which is the same as the Taylors series of the exact solution.

Keywords:Adomian polynomials, Adomian decomposition method, Lane-Emden.

Received: 30 January 2017 / Revised: 15 March 2017 / Accepted: 28 March 2017/ Published: 20 April 2017

Contribution/ Originality

This study contributes in the existing literature on the use of Adomian decomposition method. It explicitly provide the Adomian polynomials of frequently occurring nonlinear terms in a linear functional. And, for the first time, applied to obtain an exact solution to the Lane-Emden type of equation.


1. INTRODUCTION

Considering the significance of nonlinear equations [1] quite recently came up with ADM. The method is widely used to obtain approximate solution to linear and nonlinear equations in series form. A reasonable approximate solution depends strictly on the right form of Adomian polynomials of the nonlinear term in a linear functional.  Because of the different nature of nonlinearity, these polynomials are difficult to obtain, especially when the right codes are not written for the computer algebra system in use. Currently, there are two forms, in literature, on how to generate these polynomials. The standard form by Adomian [2] and the accelerated form. The most preferred and widely used is the standard form. Unlike other numerical methods, ADM has proved to be a reliable method for problems whose true solutions are hard to obtain by classical means. Nonetheless, there are barriers as well. However, a logical analysis for several varieties of problems in science and engineering has revealed that there is greater agreement between facts and solutions when ADM is used in equations with no classical solution. We further explore the modified ADM to solve the Lane-Emden type of equation which was solved by Supriya, et al. [3] using variation of parameters.

2. THEORY OF ADM AND ITS POLYNOMIALS

In a general nonlinear equation

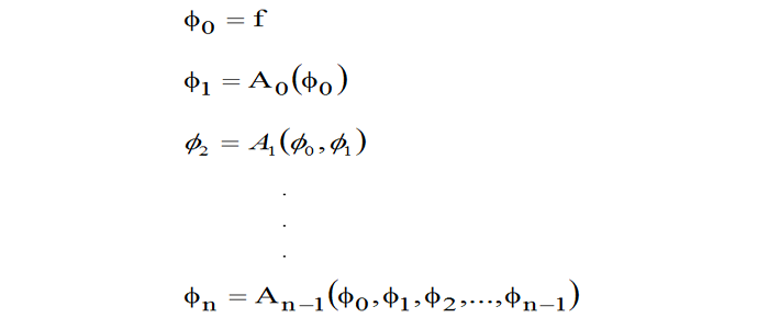
where N is a nonlinear operator from a Hilbert space H into H, f is a given function in H. By ADM

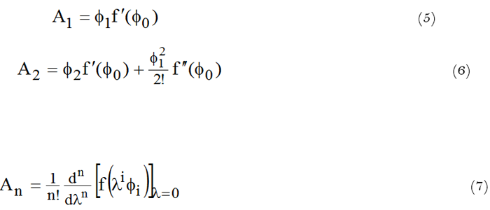
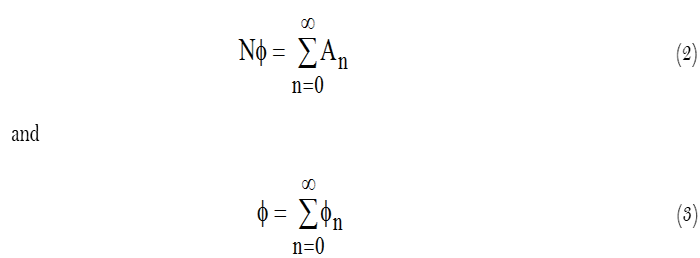
An are the Adomian polynomials that can be obtained for various classes of nonlinearity according to specific algorithm set by Adomian [2].

Thus, we can recursively obtain the solution of (1) and (3).

3. NONLINEAR TERMS AND ITS ADOMIAN POLYNOMIALS

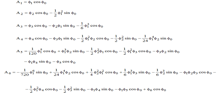
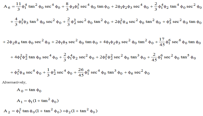
In this section, we give the first few terms of Adomian polynomials of some frequently occurring nonlinear terms in a linear functional.  Suppose

4. NUMERICAL ILLUSTRATION

We consider the Lane-Emden type of equation

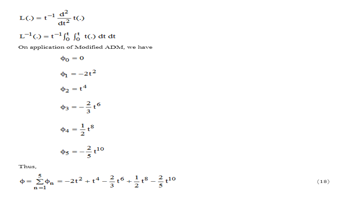
convergence to the exact solution. So we explore the Modified ADM by Yahaya and Mingzhu [5] and  Neelima and Kumar [6] in conjunction with procedures in  Agom and Ogunfiditimi [7] and Agom, et al. [8]. The linear operator of (1) and its inverse are given as

Equation (18) and (16) are the same.

 

5. CONCLUSION

We have been able to generate the Adomian polynomials for major nonlinear terms that frequently occur in functional differential equations using Maple. We discovered that the application of the traditional ADM to the Lane-Emden type of equation yielded a slow converging series solution, possibly due to the presence of Noise term (left for further research.). But the modified ADM produced an exact result which is similar to the Taylor’s series of the exact solution.

Funding: This study received no specific financial support.
Competing Interests: The authors declare that they have no competing interests.
Contributors/Acknowledgement: All authors contributed equally to the conception and design of the study.

REFERENCES

[1]         G. Adomian, Solving frontier problems of physics: The decomposition method. New York: Springer, 1993.

[2]         G. Adomian, "A review of the decomposition method in applied mathematics," Journal of Mathematical Analysis and Applications, vol. 135, pp. 501-544, 1988. View at Google Scholar 

[3]         M. Supriya, R. Banamali, and P. K. Chaterjee, "Solution of Lane-Emden equation by differential transform method," Journal of Nonlinear Science, vol. 12, pp. 478-484, 2012. View at Google Scholar 

[4]         E. U. Agom and F. O. Ogunfiditimi, "Modified adomian polynomial for nonlinear functional with integer exponent," International Organisation of Scientific Research – Journal of Mathematics, vol. 11, pp. 40-45, 2015.

[5]         Q. Yahaya and L. Mingzhu, "Modified adomian decomposition method for singular initial value problems in the second-order ordinary differential equations," Survey in Mathematics and it Applications, vol. 3, pp. 183-193, 2008.View at Google Scholar 

[6]         S. Neelima and M. Kumar, "Adomian decomposition method for solving higher order boundary value problems," Mathematical Theory and Modeling, vol. 2, pp. 11-22, 2011. View at Google Scholar 

[7]         E. U. Agom and F. O. Ogunfiditimi, "Numerical solution of third-order time invariant linear differential equations by adomian decomposition method," International Journal of Engineering and Science, vol. 16, pp. 81-85, 2016. View at Google Scholar 

[8]         E. U. Agom, F. O. Ogunfiditimi, and A. Tahir, "Numerical solution of fourth-order linear differential equations by adomian decomposition method," British Journal of Mathematics and Computer Science, vol. 17, pp. 1-8, 2016. View at Google Scholar | View at Publisher