Index

Abstract

This study aimed to experimentally investigate the effects of dry flue gas on biomass torrefaction. In this work, an oil palm frond (OPF) was torrefied in a laboratory-scale horizontal torrefaction reactor at temperatures of 240, 260, and 280 °C, with a residence time of 20 and 40 min, using dry flue gas with variable compositions (N2/CO2/O2: 76/16/8, 80/14/6, and 74/12/4). In addition, the experiments of conventional torrefaction were conducted for comparison. The effects of operating parameters on mass yield, the proximate and ultimate analysis, and the heating value of the fuel were investigated. The proposed method improved the fuel property of OPF substantially. With dry flue gas, OPF had lower moisture and volatile, and higher fixed carbon. The heating value of the selected biomass increased from 14.6 MJ/kg to 25.8 MJ/kg. Therefore, torrefaction using dry flue gas exhibited a potential for practical use for the biomass fuel pre-treatment method. However, this method resulted in a decreased mass yield and, consequently, the energy yield of the sample compared to conventional torrefaction.

Keywords: Torrefaction, Biomass, Oil palm frond, Dry flue gas, Pretreatment, Mass yield , Energy yield.

Received: 28 April 2022 / Revised: 10 June 2022 / Accepted: 24 June 2022/ Published: 13 July 2022

Contribution/ Originality

This study contributes to the use of dry flue gas in torrefaction process. The proposed method shows potential for practical use of biomass fuel pre-treatment, significantly improving biomass fuel properties by removing moisture and volatiles, and increasing carbon, therefore leading to increased calorific value.

1. INTRODUCTION

Biomass is the main renewable energy resource in Thailand because of the agricultural foundation of this country. Sustainable agricultural biomass residues produced by the Thai agricultural sectors on a large scale can be treated as CO2-neutral with regard to their combustion, i.e., reducing the CO2 net emission from the domestic power generation. Another  benefit of biomass utilization through combustion is a quite low emission of SO2, typically due to insignificant sulfur content in biomass (Ninduangdee, Arromdee, Se, & Kuprianov, 2020).

As the world's third-largest palm oil producer, the Thai oil palm industry produces a tremendous amount of solid waste, including oil palm trunk, oil palm frond, empty fruit bunch, and palm kernel shells. These residues are critical biomasses as they can be considered a promising energy source, displaying an energy potential of about 226 PJ/year (Department of Alternative Energy Development and Efficiency Ministry of Energy Thailand DEDE, 2020). Among these solid wastes, the oil palm frond is the largest, accounting for 47% of the total oil palm waste (Nordin, Sulaiman, Hashim, & Kassim, 2017). Thus, oil palm fronds can be considered a promising lignocellulosic biomass for heat and power production. However, the use of oil palm frond as a fuel in a large-scale heat and power productions likely faces a number of challenges, mainly due to its original property (quality). This includes inconsistency of shape and size, low bulk density, very high moisture content, and consequently quite low calorific value.

Torrefaction is a proven thermochemical pre-treatment process used for improving the quality of a low-grade solid waste like biomass. This method can overcome the above-mentioned challenges and make biomass suitable to be used as a fuel in energy conversion applications (Cheng et al., 2022; Mamvura & Danha, 2020). It is a mild pyrolysis process in which a biomass is subjected to heat in an inert environment, generally under nitrogen gas. The thermal degradation of the biomass sample occurs at low temperatures between 200 °C and 300 °C, with a relatively low heating rate of up to 50 °C/min and residence time between 20 and 120 minutes (Matali, Rahman, Idris, Yaacob, & Alias, 2016; Sukiran, Abnisa, Daud, Bakar, & Loh, 2017).

The agricultural residue is lignocellulosic biomass, mainly composed of cellulose, hemicellulose, and lignin (Haykiri-Acma, Yaman, & Kucukbayrak, 2010; Ninduangdee & Kuprianov, 2014). During biomass torrefaction, the thermal decomposition of hemicellulose, light volatiles, partial cellulose and lignin, and organic extractable occurs via chemical reactions is coupled with heat and mass transfer, depending on the temperature range (Chen, Peng, & Bi, 2015). As reported in many publications, torrefaction offers a number of benefits including (i) lower moisture and volatile matter contents; (ii) better water-resistivity; (iii) lower atomic O:C and H:C ratios; (iv) increased calorific value and energy density; (iv) improved grindability; and (vi) more homogenized properties of biomass (Li, Chen, Li, & Xiao, 2018; Medic, Darr, Shah, Potter, & Zimmerman, 2012).

Although the conventional torrefaction is a promising method for quality improvement of biomass feedstock, the technology is a costly process as it requires additional thermal energy and inert purge gases (generally, nitrogen from cylinder) to provide pre-treatment conditions. Therefore, the use of flue or exhaust gas emitting from combustion process in torrefaction is the best solution in terms of practical, environmental, and economic perspectives. Several publications have recently investigated the effects oxidative environment using non-inert gas, such as oxygen, carbon dioxide, and their mixture, on torrefaction behavior of biomass (Chen, Zhuang, Liu, Juang, & Tsai, 2016; Thanapal et al., 2014; Tran, Trinh, & Bach, 2016) . Nevertheless, a finite number of studies using dry flue gas to upgrade biomass fuel properties have been published.

In order to overcome the challenges as mentioned above, this work was performed to explore the potential of using dry flue gas in the torrefaction process. The impacts of process parameters (temperature and time) as well as composition of dry flue gas on the fuel properties of the torrefied biomass were investigated and discussed.

2. MATERIALS AND METHODS

2.1. Properties of Raw Oil Palm Frond

The feedstock used in this work was oil palm frond (OPF) obtained from palm oil plantation field in Chumporn province, Thailand. The as-received OPF was originally characterized as a high moisture biomass. The original moisture content in raw OPF was about 30 wt.%. Prior to the experiment, the moisture content in this biomass was reduced by open-air sun drying for about 8 hours. The fuel properties of this biomass are summarized in Table 1.

Table 1. Fuel analysis of oil palm frond used in the torrefaction experiment.
Proximate analysis
(as-received basis, wt.%)
Ultimate analysis
(as-received basis, wt.%)
Chemical structure
 (dry ash free basis, wt.%)
HHV (MJ/kg)
M
VM
FC
A
C
H
O
N
S
Hemi-cellulose
Cellulose
lignin
6.1
61.6
24.0
8.3
40.3
4.8
54.2
0.7
-
29.32
43.47
27.21
14.6

The proximate analysis was performed following ASTM E-871 for moisture, ASTM E-1755 for volatile matter, ASTM D-3172 for fixed carbon, and ASTM E-1755 for ash. The ultimate analysis was conducted using ASTM D- 5291 , whereas the higher heating value (HHV) was determined using a bomb calorimeter (LECO AC500).

The chemical structure of this biomass was determined according to the method recommended by Van Soest, Robertson, and Lewis (1991). As seen in Table 1, this biomass mainly consisted of cellulose, followed by hemicellulose and lignin. The proportions of constituents in the chemical structure of OPF used in this work were similar to those reported elsewhere (Kumneadklang, Sompong, & Larpkiattaworn, 2019; Nasser et al., 2016).

2.2. Experimental Setup and Procedures

The torrefaction experiments were conducted in a test rig depicted in Figure 1. The test rig consisted of three major units: (i) a horizontal torrefaction reactor, (ii) a gas control (mixing) unit, and (iii) a temperature control unit. The reactor was made of 4-mm-thick steel with 150 mm inner diameter and 600 mm length, and an insulated ceramic fiber board to prevent heat loss across the reactor wall. In order to obtain the desired temperature, four 300-W heaters were equipped along the reactor length. The temperature inside the reactor was measured using K-type thermocouples and controlled by a digital control system.

Figure 1. Experimental setup for torrefaction experiment using dry flue gas (DFG): (1) electric heaters (2) insulation (3) thermocouples (4) flowrate control valves (5) pressure gages (6) pressure control valve (7) biomass sample.

This work prepared a simulated dry flue gas (DFG) by mixing high purity research-grade N2, CO2, and O2 with a specified volume fraction (vol.%). Concentrations of these gases were controlled by a regulator and flowrate control valves. The experiments were performed at 240, 260, and 280 °C, while reaction times were 20 and 40 min. Prior to the experiments with DFG, the torrefaction tests in an inert condition, using N2 (i.e., conventional torrefaction test) were performed at the above-mentioned temperature and time as a reference study. In the main experiments, the concentration of N2, CO2, and O2 (vol.% of N2/CO2/O2) were varied for three values: 76/16/8, 80/14/6, and 74/12/4. These volumetric concentrations were in the range of the flue gas emitted from the solid fuel-fired boiler (Nag, 2001; Song et al., 2004). For each test, the flow rate of each gas was adjusted to the specified condition while keeping the total flow rate DFG (gas mixture) constant at 100 ml/min.

Each experiment began by heating a specified gas concentration DFG in the reactor by the heaters. When the temperature reached the set point, the OPF sample, about 100 g, was loaded into the reactor through the reactor gate, and it was kept for a given residence time. Once the experiment was completed, the torrefied OPF was immediately taken out from the reactor and cooled in a special external cooling unit for 10 min, and kept in a plastic zipper bag for further analysis.

The proximate and ultimate analyses, as well as the HHV of all torrefied OPF were determined according to the above-mentioned standards and methods. Note that all analyses were performed twice for repeatability of the results, and the average values were presented in the current study. The mass yield and energy yield were computed according to Equations 1 and 2, respectively.

where mr is the mass of raw biomass and mt is the mass of torrefied biomass, while HHVr and HHVt are the higher heating values of raw and torrefied biomass, respectively.

3. RESULTS AND DISCUSSION

3.1. Mass Yield of the Torrefied OPF

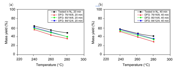
Figure 2 shows the effects of temperature, residence time, and composition of DFG on the mass yield of torrefied OPF. As shown, the temperature and reaction time exhibited important effects on the mass yield of treated OPF. During torrefaction in the specified operating conditions, the mass loss was predominantly attributed to evaporation of moisture and decomposition (devolatilization) of hemicellulose, light extractives, and some parts of cellulose and lignin (Haykiri-Acma et al., 2010; Ninduangdee & Kuprianov, 2014). An increased temperature and time led to a greater mass loss. This was mainly as a result of a higher degree of hemicellulose, cellulose, and lignin decompositions.

Figure 2. Effects of dry flue gas on mass yield of torrefied OPF tested at different temperatures for (a) 20 min and (b) 40 min.

From Figure 2, the mass yield of torrefied OPF from all test runs with DFG was lower (i.e., more significant mass loss) than in the conventional test. The presence of CO2 and O2 made the condition inside the reactor to be oxidative and consequently, a higher reactive for thermal degradation of the biomass sample. This fact was apparent when increasing concentrations of CO2 and O2 in the dry flue gas. The effects of DFG on the sample mass loss can be explained by (i) higher specific heat of CO2 than that of N2, resulting in enhancing heat transfer rate in the reactor, and (ii) the catalytic reaction between CO2 and O2 and OPF ash (Onsree et al., 2019; Thanapal et al., 2014).

3.2. Volatile Matter and Fixed Carbon in the Torrefied OPF

The effect of temperature, residence time, and composition of DFG on the volatile matter (VM) and fixed carbon (FC) in the torrefied OPF is shown in Figure 3. For comparison, VM and FC of the untreated sample are also plotted in Figure 3. The effect of temperature and DFG on the values of VM and FC was substantial, whereas the residence time seemed to have little effect. With increasing temperature, volatile matter in the samples for all tests significantly dropped, mainly caused by thermal degradations of light extractives, hemicellulose, partial cellulose, and lignin, as well as NH/NH3 (Ninduangdee & Kuprianov, 2014).

Figure 3. Effects of dry flue gas on the volatile matter (upper graphs) and fixed carbon (lower graphs) of torrefied OPF tested at different temperatures for (a) 20 min and (b) 40 min.

A more significant VM loss was observed when the furnace medium was switched from N2 to DFG at a given temperature. At a fixed temperature and time, the loss of VM for the tests with DFG was higher than the test run with N2. Furthermore, when the concentration of CO2 and O2 in the reactor increased, the extent of VM loss increased. This behavior was strengthened by increasing temperature.

On the contrary, the operating parameters exhibited inverse impacts on FC content. Figure 3 shows that OPF torrefaction in N2 at 280 °C and 40 min resulted in an increased FC of the raw OPF from 22 wt.% to 48 wt.%. A further increase of FC can be found in the trials using DFG. When using DFG with the highest CO2 and O2 concentration (i.e., the test: 76/16/8) at 280 °C and 40 min, the FC content in the torrefied OPF increased up to 58 wt.%. The increased FC in the torrefied products was due to the removal of hydroxyl (–OH) functional groups, and the above-mentioned devolatilization, consequently, mild carbonization of OPF particles.

Figure 4 depicts the profiles of VM and FC of torrefied OPF using N2 and DFG. Note that the data for raw OPF and different types of coal (Miller, 2017) is also presented in Figure 4 for comparison. It is clearly demonstrated that when increasing the degree of torrefaction (i.e., increased temperature and time, CO2 and O2), VM exhibited a linear decrease with increasing FC. The values of VM and FC of torrefied OPF move towards the properties of lignite and bituminous coals. This means that torrefied biomass's fuel properties improved with increasing the degree of torrefaction.

Figure 4. The plots of volatile matter versus fixed carbon of torrefied OPF.

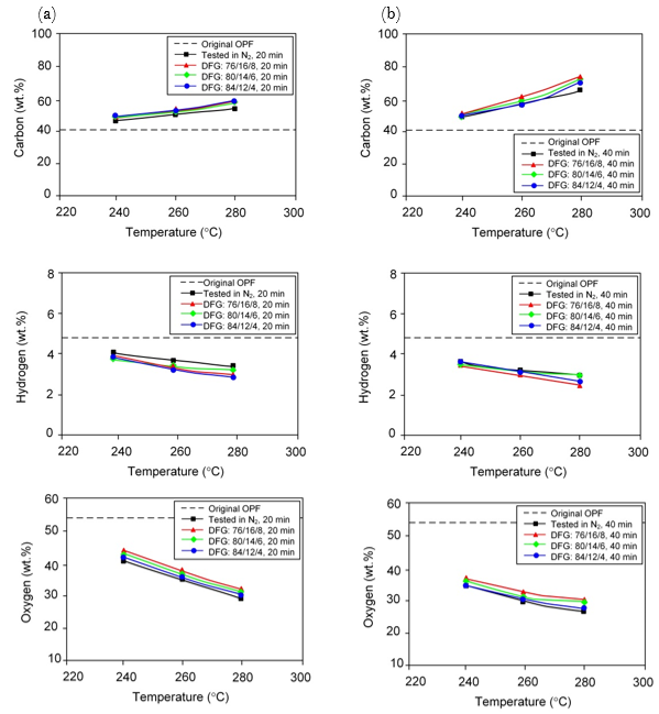
3.3. Carbon, Hydrogen, and Oxygen Content in the Torrefied OPF

Figure 5 depicts the carbon (C), hydrogen (H), and oxygen (O) content of the torrefied OPF tested under N2 and DFG environments. As seen in Figure 5, with increasing temperature and residence time, the value of C content of the torrefied OPF increased, whereas the values for H and O decreased. This behaviour was consistent with previous studies (Chen et al., 2015; Onsree & Tippayawong, 2020). During torrefaction, the removal of moisture and light volatiles (mainly containing hydrogen and oxygen) from OPF resulted in a reduced O and H contents. Consequently, relatively more carbon was retained in the biomass particle, resulted in the mild carbonization of biomass.

For the range of operating conditions, the carbon content in torrefied OPF tested under N2 and DFG were 47–66 wt.% and 50–73 wt.%, which increased to 63% and 81%, respectively, compared to that of C = 40.3 wt.% for raw OPF. The increased C content in torrefied OPF likely enhanced the calorific value of this biomass. In the conventional torrefaction, H content in OPF reduced from 4.8 wt.% (raw OPF) to 4.1–3.3 wt.%, whereas values of H for the trails with DFG were 3.9–2.5 wt.%. The reduction of H and O was attributed to the above-mentioned biomass dewatering and devolatilization, as well as the removal of the hydroxyl functional group.

However, it can be seen in the tests with DFG that O content in the biomass slightly increased as concentration of CO2 and O2 was increased. This is likely because of penetration and diffusion of an oxygen atom into the torrefied OPF cells. Based on findings in Figure 5, values of C, H, and O in OPF obtained from the conventional torrefaction, and the proposed method was quite the same. This fact exemplified the potential of using DFG to upgrade biomass fuel properties.

The van Krevelen diagram for OPF detailing the before and after torrefaction process using N2 and DFG is depicted in Figure 6. Note that the data for coals (Miller, 2017) is also plotted in Figure 6 for comparison.

As seen in the diagram, the atomic oxygen-to-carbon (O:C) and hydrogen-to-carbon (H:C) ratios exhibited a quasi-linear decreasing trend as increasing the degree of torrefaction. This fact followed the previously mentioned behaviours of C, H, and O content in the torrefied biomass.

Figure 5. Effects of dry flue gas on the contents of carbon (upper graphs), hydrogen (middle graphs), and oxygen (lower graphs) in torrefied OPF tested at different temperatures for (a) 20 min and (b) 40 min.

Initially, the O:C and H:C ratios of untreated OPF were 1.0 and 1.42, respectively. However, after torrefaction, the atomic O:C and H:C ratios of OPF decreased to 0.3–0.7 and 0.4–1.1, respectively. This fact was attributed to the removal of moisture, light volatile, and extractives, as well as thermal degradation of hemicellulose, some cellulose, and lignin, consequently resulting in pointing a quality improvement of the selected biomass. By increasing the temperature of torrefaction, the O:C and H:C ratios of OPF moved toward that of lignite. Therefore, torrefaction using dry flue gas is able to improve oil palm frond fuel properties. Note that the findings in this work agreed with the pioneering studies (Chen et al., 2015; Parikh, Channiwala, & Ghosal, 2005).

3.4. Higher Heating Value and Energy Yield of the Torrefied OPF

Figure 7 shows the higher heating values of torrefied OPF tested in N2 and DFG. It was found that increased torrefaction temperatures and reaction time led to greater HHV of the torrefied product. This was as a result of the reduction of moisture content and increased carbon content. Compared to the conventional test, the HHV of torrefied OPF from trials with DFG was slightly higher, following the elemental analysis. An increased CO2 and O2 concentration in DFG had a fairly effect on HHV of the fuel. After torrefaction for the range of operating conditions, the HHV of OPF increased from 14.6 MJ/kg (untreated OPF) to 19.1–23.2 MJ/kg for the tests with N2, and to 20.2–25.8 MJ/kg for the tests with DFG. The HHV of torrefied OPF found in the present study were quite close to that of lignite coals (Miller, 2017; Parikh et al., 2005).

Figure 6. Van Krevelen diagram of torrefied OPF tested with dry flue gas.
Figure 7. Effects of dry flue gas on the higher heating value of torrefied OPF tested at different temperature for (a) 20 min and (b) 40 min.
Figure 8. Effects of dry flue gas on energy yield of torrefied OPF tested at different temperature for (a) 20 min and (b) 40 min.

Figure 8 shows the effects of torrefaction parameters on the energy yield of oil palm frond torrefied using N2 and DFG. The energy yield is critical information and is utilized for decision making in the torrefaction process. It was observed in Figure 8 that increasing temperature, time, and concentration of CO2 and O2 in DFG led to decreased energy yields. For the range of operating conditions, the energy yield of torrefaction using DFG ranged from 50.8–80.4%. In spite of the greater HHV of torrefied OPF tested using DFG, the energy yield of the torrefied products obtained from the proposed method was lower compared to that obtained from tests with N2, especially at higher temperatures. This fact was attributed by the greater mass loss and consequently lower mass yield of torrefied products from the tests using DFG.

4. CONCLUSIONS

Torrefaction of oil palm frond has been successfully tested in a horizontal reactor for the range of operating parameters: temperature (240, 260, and 280 °C); residence time (20 and 40 min); and different gas composition of dry flue gas (N2/CO2/O2: 76/16/8, 80/14/6, and 84/12/4). Effects of these operating parameters on the fuel analyses and heating value of the selected biomass are substantial. With dry flue gas, carbon content in the torrefied biomass increases, whereas volatile matter, hydrogen, and oxygen decrease. The higher heating value of the selected biomass increases from 14.6 MJ/kg to 20.2–25.8 MJ/kg. However, dry flue gas results in reduction of mass yield, and consequently, energy yield. Based on the experimental findings, the torrefaction using dry flue gas shows a potential for practical application of biomass fuel properties enhancement.

Funding: This research is supported by Phetchaburi Rajabhat University and the Thailand Science Research and Innovation (Grant number: 008-2564).

Competing Interests: The authors declare that they have no competing interests.

Authors’ Contributions: All authors contributed equally to the conception and design of the study.

REFERENCES

Chen, W. H., Peng, J., & Bi, X. T. (2015). A state-of-the-art review of biomass torrefaction, densification and applications. Renewable and Sustainable Energy Reviews, 44, 847–866.Available at: https://doi.org/10.1016/j.rser.2014.12.039.

Chen, W. H., Zhuang, Y. Q., Liu, S. H., Juang, T. T., & Tsai, C. M. (2016). Product characteristics from the torrefaction of oil palm fiber pellets in inert and oxidative atmospheres. Bioresource Technology, 199, 367–374.Available at: https://doi.org/10.1016/j.biortech.2015.08.066.

Cheng, W., Zhu, Y., Zhang, W., Jiang, H., Hu, J., Zhang, X., & Chen, H. (2022). Effect of oxidative torrefaction on particulate matter emission from agricultural biomass pellet combustion in comparison with non-oxidative torrefaction. Renewable Energy, 189, 39-51.Available at: https://doi.org/10.1016/j.renene.2022.03.032.

Department of Alternative Energy Development and Efficiency Ministry of Energy Thailand DEDE. (2020). Thailand alternative energy situation 2020. Retrieved from: https://www.dede.go.th/download/stat63/Thailand%20Alternative%20Energy%20Situation%202020.pdf.

Haykiri-Acma, H., Yaman, S., & Kucukbayrak, S. (2010). Comparison of the thermal reactivities of isolated lignin and holocellulose during pyrolysis. Fuel Processing Technology, 91(7), 759-764.Available at: https://doi.org/10.1016/j.fuproc.2010.02.009.

Kumneadklang, S., Sompong, O., & Larpkiattaworn, S. (2019). Characterization of cellulose fiber isolated from oil palm frond biomass. Materials Today: Proceedings, 17, 1995-2001.Available at: https://doi.org/10.1016/j.matpr.2019.06.247.

Li, S.-X., Chen, C.-Z., Li, M.-F., & Xiao, X. (2018). Torrefaction of corncob to produce charcoal under nitrogen and carbon dioxide atmospheres. Bioresource Technology, 249, 348-353.Available at: https://doi.org/10.1016/j.biortech.2017.10.026.

Mamvura, T. A., & Danha, G. (2020). Biomass torrefaction as an emerging technology to aid in energy production. Heliyon, 6(3), e03531.Available at: https://doi.org/10.1016/j.heliyon.2020.e03531.

Matali, S., Rahman, N., Idris, S., Yaacob, N., & Alias, A. (2016). Lignocellulosic biomass solid fuel properties enhancement via torrefaction. Procedia Engineering, 148, 671-678.Available at: https://doi.org/10.1016/j.proeng.2016.06.550.

Medic, D., Darr, M., Shah, A., Potter, B., & Zimmerman, J. (2012). Effects of torrefaction process parameters on biomass feedstock upgrading. Fuel, 91(1), 147–154.Available at: https://doi.org/10.1016/j.fuel.2011.07.019.

Miller, B. G. (2017). The chemical and physical characteristics of coal. In: Miller, B. G., Ed., Clean Coal Engineering Technology (2nd ed., pp. 3–60): Butterworth-Heinemann.

Nag, P. K. (2001). Power plant engineering (2nd ed.). New Delhi: Tata McGraw-Hill Publishers Co. Ltd.

Nasser, R. A., Salem, M. Z., Hiziroglu, S., Al-Mefarrej, H. A., Mohareb, A. S., Alam, M., & Aref, I. M. (2016). Chemical analysis of different parts of date palm (Phoenix dactylifera L.) using ultimate, proximate and thermo-gravimetric techniques for energy production. Energies, 9(5), 374.Available at: https://doi.org/10.3390/en9050374.

Ninduangdee, P., & Kuprianov, V. I. (2014). Combustion of palm kernel shell in a fluidized bed: Optimization of biomass particle size and operating conditions. Energy Conversion and Management, 85, 800-808.Available at: https://doi.org/10.1016/j.enconman.2014.01.054.

Ninduangdee, P., Arromdee, P., Se, C., & Kuprianov, V. I. (2020). Effects of (co-)combustion techniques and operating conditions on the performance and NO emission reduction in a biomass-fueled twin-cyclone fluidized-bed combustor. Waste and Biomass Valorization, 11, 5375–5391.Available at: https://doi.org/10.1007/s12649-020-01124-z.

Nordin, N. A., Sulaiman, O., Hashim, R., & Kassim, M. H. M. (2017). Oil palm frond waste for the production of cellulose nanocrystals. Journal of Physical Science, 28, 115–126.Available at: https://doi.org/10.21315/jps2017.28.2.8.

Onsree, T., & Tippayawong, N. (2020). Torrefaction of maize residue pellets with dry flue gas. BioEnergy Research, 13(1), 358-368.Available at: https://doi.org/10.1007/s12155-019-10058-x.

Onsree, T., Tippayawong, N., Williams, T., McCullough, K., Barrow, E., Pogaku, R., & Lauterbach, J. (2019). Torrefaction of pelletized corn residues with wet flue gas. Bioresource Technology, 285, 121330.Available at: https://doi.org/10.1016/j.biortech.2019.121330.

Parikh, J., Channiwala, S. A., & Ghosal, G. K. (2005). A correlation for calculating HHV from proximate analysis of solid fuels. Fuel, 84, 487–494.Available at: https://doi.org/10.1016/j.fuel.2004.10.010.

Song, C., Pan, W., Srimat, S. T., Zheng, J., Li, Y., Wang, Y. H., & Zhu, Q.-M. (2004). Tri-reforming of methane over Ni catalysts for CO2 conversion to syngas with desired H2/CO ratios using flue gas of power plants without CO2 separation. In Studies in Surface Science and Catalysis (Park, S.-E., Chang, J.-S., and Lee, K.-W., Eds (pp. 315–1322): Elsevier.

Sukiran, M. A., Abnisa, F., Daud, W. M. A. W., Bakar, N. A., & Loh, S. K. (2017). A review of torrefaction of oil palm solid wastes for biofuel production. Energy Conversion and Management, 149, 101-120.Available at: https://doi.org/10.1016/j.enconman.2017.07.011.

Thanapal, S. S., Chen, W., Annamalai, K., Carlin, N., Ansley, R. J., & Ranjan, D. (2014). Carbon dioxide torrefaction of woody biomass. Energy & Fuels, 28(2), 1147-1157.Available at: https://doi.org/10.1021/ef4022625.

Tran, K.-Q., Trinh, T. N., & Bach, Q.-V. (2016). Development of a biomass torrefaction process integrated with oxy-fuel combustion. Bioresource Technology, 199, 408-413.Available at: https://doi.org/10.1016/j.biortech.2015.08.106.

Van Soest, P. J., Robertson, J. B., & Lewis, B. A. (1991). Methods for dietary fiber, neutral detergent fiber, and nonstarch polysaccharides in relation to animal nutrition. Journal of Dairy Science, 74, 3583–3597.Available at: https://doi.org/10.3168/jds.S0022-0302(91)78551-2.

Views and opinions expressed in this article are the views and opinions of the author(s), International Journal of Sustainable Energy and Environmental Research shall not be responsible or answerable for any loss, damage or liability etc. caused in relation to/arising out of the use of the content.