Index

Abstract

Considerable efforts have been made to protect people from indoor air pollutant exposure as approximately 80% of people spend time indoors where pollution is often worse than outside. Further, vulnerable populations, including elderly, children, and pregnant women, spend an excessively of time indoors, exposing them to pollutants that are responsible for both short-term and long-term negative health effects, resulting an estimated 4 million premature deaths annually. Aim of this research was to assess impressions of domestic use of solid fuels (firewood and charcoals) burning on Particulate Matter PM2.5 and PM10, which are particles that are less than or equal to 2.5 and 10 micrograms (μm) in diameter respectively within Kigali the capital city of Rwanda. A sample of 31 households using only charcoals and woods for cooking were selected for targeted 72 hours of monitoring. Portable air quality sensors AirVisual Nodes were used to measure concentration levels of PM2.5 and PM10 in microgram per cubic meter (μg/m3). Results showed that homes using wood for cooking experience moderately high concentrations level of PM2.5 and PM10, over 1000 μg/m3 and 1200 μg/m3 respectively, whereas homes using charcoals for cooking had lower concentrations. This later direct to that: Outstanding to low market prices of these solid fuels, poorer households are highly exposed to indoor air pollution. So, an alternative reasonably priced domestic energy to be used for cooking are indorsed and pollution levels survey in households using combination or different types of fuels for cooking are recommended for future research.

Keywords: Particulate matters, Kigali-city, Household, Indoor air pollution, Outdoor air pollution, Woods, Charcoals.

Received: 7 January 2021 / Revised: 29 January 2021 / Accepted: 17 February 2021/ Published: 2 March 2021 

Contribution/ Originality

The paper's primary contribution is that:

  • Households using woods and charcoals for cooking activities are exposed to high air pollution levels.
  • An alternative reasonably priced domestic energy to be used for cooking should be used as a primary energy for cooking.

1. INTRODUCTION

Particulate matter the complex mixture of small particles and liquid droplets, which includes organic chemicals, metals, acids, and dust particles considered to be among the major air pollutants of concern (Global Burden of Disease Collaborative Network, 2015; Lee et al., 2002; Seinfeld & Pandis, 2006; WHO, 2016). By its aerodynamic diameters, particulate matter is classified into two types: PM2.5, which are particles that are less than or equal to 2.5 μm in diameter, and PM10, which are particles that are 10 μm in diameter or less (Pugliese, Murphy, Geddes, & Wang, 2014; Seinfeld & Pandis, 2006; WHO, 2016). The most commonly known sources of particulate matter are human activities and natural processes. Various studies have indicated that between PM2.5 and PM10, PM2.5 pollutants are more hazardous to human health due to their ability to penetrate the lungs and enter the bloodstream (Biggs & Graves, 1962; Coker & Kizito, 2018; Dockery, 2009; Geddes, Murphy, & Wang, 2009; Halonen et al., 2009; Hayden et al., 2011; Krewski, 2009; Pope, Ezzati, & Dockery, 2009; WHO, 2018). In addition, several studies on particulate matter have indicated that personal exposure is associated with well-documented long-term and short-term negative human health effects. (Coker & Kizito, 2018) stated that the burden of human disease attributable to ambient air pollution in sub-Saharan Africa is growing, and current estimates of its impact on the region are possibly low due to a lack of air quality monitoring, a scarcity of air pollution epidemiological studies, and related population vulnerabilities in the region. They continued to state that thousands of air pollution health effect studies conducted in Europe and North America have some of the highest measured air pollution levels in the world, including urban areas in sub-Saharan Africa. (Dockery, 2009) conducted a similar study, mentioning that air pollution is responsible for well-documented diseases. Currently, particulate matter pollution is considered an important point of concern in developing countries due to its negative health effects. In Rwanda, a few studies concerning air quality have shown that particulate matter, sulfur oxide (SOx), nitrogen oxide (NOx), and ozone (O3) are the most common pollutants in disquiet countries (Irankunda. & Ishigaki, 2020). The majority of air pollution emissions in Rwanda are a result of the transport sector, including vehicle emissions, manufacturing industrial activities, such as cement and steel mills, quarrying activities that introduce dust in air, domestic cooking, soil-blown dust, and waste combustion (Irankunda, 2019; Nduwayezu, Ruffo, Minani, Munyaneza, & Nshutiyayesu, 2009). The aim of this research was to assess imprints of domestic use of solid fuels (firewood and charcoals) burning on Particulate Matter PM2.5 and PM10.  

2. METHODS

2.1. Study Area

Kigali, the capital city of Rwanda, has three districts: Gasabo, Kicukiro, and Nyarugenge districts. Kinyinya sector is located in Gasabo district, Kigarama sector within Kicukiro district, and Nyamirambo sector in Nyarugenge district, these sectors were selected as the study area of present research. Figure 1 indicate locations of these sectors in map of Kigali city.

Figure-1. Location of reference sectors considered during sampling activities (Kinyinya, Kigarama, and Nyamirambo sectors) in Kigali

2.2. Monitoring Activities and Data Analysis

From April to August of 2018 was period of data collection where a sample of 31 households from the aforementioned sectors that use only woods and charcoals for cooking. Table 1 summarizes the total number of houses considered for each fuel type. Portable air quality monitors AirVisual Nodes that detect PM2.5 and PM10 were used to collect data. Air Visual Node, the ring-shaped device with 5 LCD (liquid crystal display) on the front. Its screen is intelligently laid out, providing concise information regarding current and historical air quality Figure  2a. The advanced laser particle sensor Node is capable of measuring the Carbon Dioxide (CO2) concentration levels in part per million (ppm), as well as that of PM2.5 and PM10 in µg/m3 Figure 2c. This auto power saving Node can generate log real time data in CSV (comma-separated values) format. It is an auto-calibration component instantly consider factors such as temperature, humidity, and outlying data points. The node is controlled with four buttons located on the top of the case, allowing users to scroll through menus, and select the relevant information Figure 2b. Screen display of the device has two faces, one on the left and one on the right with green smiling face indicates good air quality, while a red masked face indicates poor air quality Figure 2d, which change according to the variation of the registered pollutant concentration levels. It is can show also bar graph on the screen where each bar represents 1 h and the height of the bar represents the number of particles detected in the air Figure 2a.

Figure-2. Air visual nodes used in data collection: (a) screen view of the node. (b) top view of the node with four navigating buttons. (c) Advanced laser particle sensor inside the node, which is capable of measuring the carbon dioxide and particulate matter concentrations and (d) Air Quality Index display on Node’s screen (color change according to the variation of the registered pollutant concentration levels from Good to Hazardous air).

During monitoring activities, for each household simultaneous measurements was performed in a period of at least 72 hours where two AirVisual Nodes were used. One was placed outside of the kitchen to monitor the ambient air quality taken as a baseline. Device was placed at least between 3.0 – 4.0 m from the house’s kitchen at a height of approximately 1.0 – 1.5 m from the ground. The second node was placed indoors where cooking activities took place, mostly in kitchens, for this late Node was placed approximately at height between 1.0 – 1.5 m and a distance of at least 1.0 m from the emission source. Figure 3 shows a sample of household’s kitchen used during sampling. House-to-house PM2.5 and PM10 datasets were downloaded for statistical analysis, this was done by producing bar-plots and a time series graph of hourly average concentration levels.

Figure-3. Field activities in houses using woods and Charcoals cooking: (a) Ambient air (Baseline) Measurements outside kitchen, (b) In kitchen woods were used for cooking (c) In kitchen where charcoals were used for cooking.

Table-1. Number of households used for sampling and their sector location.

Fuel Type
Number of houses
Sectors of Household Location
Wood used for cooking
5
Kinyinya
3
Kigarama
2
Nyamirambo
Charcoal used for cooking
5
Kinyinya
12
Kigarama
4
Nyamirambo

3. RESULTS AND DISCUSSION

3.1. Households Using Charcoal for Cooking

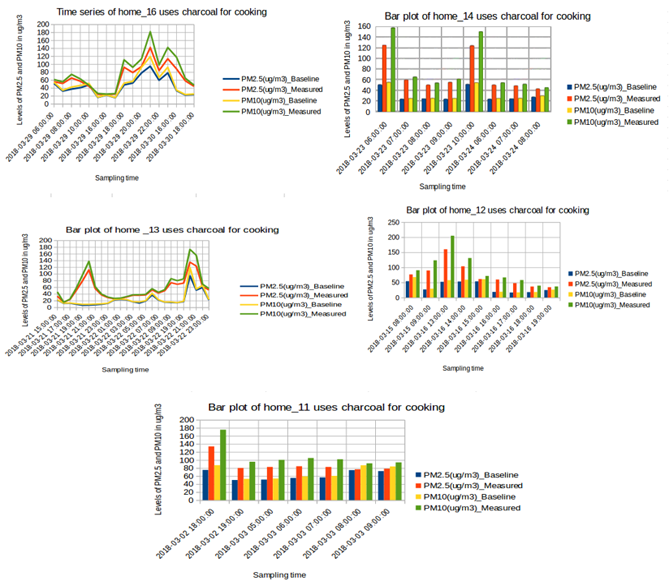
A total of 21households using charcoal for cooking was monitored during the data collection activities Table 1. Generally, results indicated that variation of PM2.5 and PM10 pollutants concentration level exist from house to house this is due to different kitchen’s characteristics including first kitchens’ ages. Specifically, most of the old kitchens was having some holes (Home 3,1,20,9 and 21) but not for newer ones. Secondary during cooking activities some kitchens had open windows and open doors (Home11,3,12,7,17,21,13,14 and 19) while other was only door open. Thirdly type of charcoal used for cooking some houses used wet charcoals (Home 7,3,17 and 18) while others used dry charcoals this is associated with charcoal’s store places in houses. As result vary from household to household, the hourly average concentration levels of PM2.5 and PM10 pollutants for 21 households using charcoal for cooking are shown using bar-plots and a time series plots Figure 4,5,6,7 and 8. These graphs indicate the variation of PM2.5 and PM10 concentration levels with respect to time. On these graphs results indicated that during cooking activities, the concentration levels increase to a certain level, whereas when there are no cooking activities concentration can reach as low as the baseline level (Home 8,7,6,15,17,10 and 4). Results indicated that also when kitchen is old; cooking with open windows and doors or when charcoals are totally dry these are associated with low values of PM2.5 and PM10 pollutants concentration levels which means some portion of concentrations outflow through openings while on the other hands correspond to high concentration levels.

Figure-4. Time series indicating the variations of PM2.5 and PM10 concentration levels for homes 8, 7, 6, and 4 using charcoals for cooking activities.

Figure-5. Time series indicating the variations of PM2.5 and PM10 concentration levels for homes 3, 1, 20, and 5 using charcoals for cooking activities.

Figure-6. Time series indicating the variations of PM2.5 and PM10 concentration levels for homes 17, 15, 10, and 9 using charcoals for cooking activities.

Figure-7. Time series indicating the variations of PM2.5 and PM10 concentration levels for homes 2,21,19, and 18 using charcoals for cooking activities.

Figure-8. Time series and bar-plots indicating the variations of PM2.5 and PM10 concentration levels for homes 16,14,13, 12 and11 using charcoals for cooking activities.

3.2. Households Using Woods for Cooking

In Kigali city, few houses use only woods for cooking, in our considered research area only total of 10 households using woods for cooking were found and considered during measurements Table 1. Results indicated that concentration level of PM2.5 and PM10 varied from house to house this is due to diverse kitchen’s features including first kitchens’ ages. Precisely, most of the old kitchens was having some holes (Home 3,1,9 and10) but not for newer ones. Secondary, during cooking activities some kitchens had open windows and open doors (Home 2,3 and 7) while other was only door open. Thirdly, type of woods used for cooking some houses used wet woods (Home 1 and 18) while others used dry woods. As result vary from household to household, the hourly average concentration levels of PM2.5 and PM10 pollutants for 21 households using woods for cooking are shown using bar-plots and a time series plots Figure 9,10 and 11. From these plots results indicated that the use of woods in cooking activities for all home considered are responsible high level of PM2.5 and PM10 pollutants emissions over 1000 μg/m3 and 1200 μg/m3 respectively. Only time series of home 2 indicates that concentration levels PM2.5 and PM10 increase to a certain level during cooking activities, whereas when there are no cooking activities, the level can reach as low as the baseline which is different to other kitchens this means implies the high pollution level of home uses woods for cooking.

Figure-9. Time series and bar-plots indicating the variations of PM2.5 and PM10 concentration levels for homes 10, 9, 7, and 5 using woods for cooking activities.

4. CONCLUSIONS

As effect assessment of domestic use of solid fuels namely wood and charcoals burning on PM2.5 and PM10 was the aim of this research. Where sample of 31 households, which used different fuel types charcoals, and woods for cooking were selected for monitoring activities. The results showed that homes using woods for cooking experienced the highest concentrations of PM2.5 and PM10 with values reaching above 1000 µg/m3 and 1200 µg/m3, respectively, whereas homes that used charcoals for cooking had low values compared to those of woods. Based on these results, we believe that those involved in a home’s cooking activities are highly exposed to harmful air pollution levels, which mainly includes women, children, and house girls and boys. Further, cooking with the windows and doors open for self-protection is highly recommended. Moreover, we suggest that an alternative reasonably priced domestic energy to be used for cooking and pollution levels examination in household using combination or different types of fuels for cooking are recommended for future research this will results to our forest conservation, and overall environmental protection in general.

Figure-10. Bar-plots indicating the variations of PM2.5 and PM10 concentration levels for homes 6, 4, 3, and 1using woods for cooking activities.

Figure-11. Bar-plots and time series indicating the variations of PM2.5 and PM10 concentration levels for homes 8 and 2 using woods for cooking activities.

Funding: This study received no specific financial support.  

Competing Interests: The authors declare that they have no competing interests.

Acknowledgement: Authors acknowledge and thank all of the home owners who participated in this research. Their permission to access their kitchens was highly appreciated. Authors also thank the MUGOGO Climate Observatory laboratory for their support concerning all the instruments used in this research.

REFERENCES

Biggs, W. G., & Graves, M. E. (1962). University of Michigan. Meteorological laboratories., University of Michigan. Great Lakes Research Division. Ann Arbor, Michigan: University of Michigan Library Year.

Coker, E., & Kizito, S. (2018). A narrative review on the human health effects of ambient air pollution in sub-Saharan Africa: An urgent need for health effects studies. International Journal of Environmental Research and Public Health, 15, 427.Available at: https://doi.org/10.3390/ijerph15030427.

Dockery, D. (2009). Health effect of particulate air pollution. Science direct. Annals of Epidemiology, 19(4), 257-263.

Geddes, J., Murphy, J., & Wang, D. (2009). Long term changes in nitrogen oxides and volatile organic compounds in Toronto and challenges facing local ozone control. Atmos. Environ, 43(21), 3407-3415.Available at: https://doi.org/10.1016/j.atmosenv.2009.03.053.

Global Burden of Disease Collaborative Network. (2015). Global burden of disease study 2015 (GBD 2015) Risk Factor Results 1990-2015. Seattle, United States: Institute for Health Metrics and Evaluation (IHME), 2016.

Halonen, J., Lanki, T., Yli-Tuomi, T., Tiittanen, P., Kulmala, M., & Pekkanen, J. (2009). Particulate air pollution and acute cardiorespiratory hospital admissions and mortality among the elderly. Epidemiology 20, 143-153.Available at: https://doi.org/10.1097/EDE.0b013e31818c7237.

Hayden, K., Sills, D., Brook, J., Li, S.-M., Makar, P., Markovic, M., . . . Li, Q. (2011). Aircraft study of the impact of lake-breeze circulations on trace gases and particles during BAQS-Met 2007. Atmospheric Chemistry and Physics, 11(19), 10173-10192.Available at: https://doi.org/10.5194/acp-11-10173-2011.

Irankunda, E. (2019). Ambient particulate matter (PM) evaluation in gasabo district, Rwanda. International Journal of Sustainable Development & World Policy, 8(2), 62-67.Available at: http://doi.org/10.18488/journal.26.2019.82.62.67 .

Irankunda., E., & Ishigaki, Y. (2020). The effect assessment of industrial activities on air pollution at cimerwa and its surrounding areas, Rusizi-District-Rwanda. International Journal of Sustainable Energy and Environmental Research, 9(2), 87-97.Available at: http://doi.org/10.18488/journal.13.2020.92.87.97 .

Krewski, D. (2009). Evaluating the effects of ambient air pollution on life expectancy. The New England Journal of Medicine, 360, 413-415.Available at: https://doi.org/10.1056/NEJMe0809178.

Lee, W. J., Teschke, K., Kauppinen, T., Andersen, A., Jäppinen, P., Szadkowska-Stanczyk, I., . . . Facchini, L. A. (2002). Mortality from lung cancer in workers exposed to sulfur dioxide in the pulp and paper industry. Environmental Health Perspectives, 110(10), 991-995.Available at: https://doi.org/10.1289/ehp.02110991.

Nduwayezu, J., Ruffo, C. K., Minani, V., Munyaneza, E., & Nshutiyayesu, S. (2009). Know some useful trees and shrubs for agricultural and pastoral communities of Rwanda. Rwanda: Institute of Scientific and Technological Research (IRST).

Pope, C., Ezzati, M., & Dockery, W. (2009). Fine-particulate air pollution and life expectancy in the United States. The New England Journal of Medicine, 360, 376-386.Available at: https://doi.org/10.1056/NEJMsa0805646.

Pugliese, S., Murphy, J., Geddes, J., & Wang, J. (2014). The impacts of precursor reduction and meteorology on ground-level ozone in the Greater Toronto Area. Atmos Chem Phys, 14, 8197-8207.Available at: http://doi.org/10.5194/acpd-14-10209-2014 .

Seinfeld, J., & Pandis, S. (2006). tmospheric Chemistry and Physics: From air pollution to climate vhange (2nd ed.). Toronto: John Wiley & Sons.

WHO. (2016). Ambient air pollution: A global assessment of exposure and burden of disease. Switzerland: Public Health, Social and Environmental Determinants of Health Department, World Health Organization, 1211 Geneva 27.

WHO. (2018). WHO ambient (outdoor) air quality database Summary results, update 2018. Public Health, Social and Environmental Determinants of Health Department, World Health Organization, 1211 Geneva 27, Switzerland. Retrieved from: https://www.who.int/airpollution/data/AAP_database_summary_results_2018_final2.pdf?ua=1 .

Views and opinions expressed in this article are the views and opinions of the author(s), International Journal of Sustainable Energy and Environmental Research shall not be responsible or answerable for any loss, damage or liability etc. caused in relation to/arising out of the use of the content.