Bangladesh is one of the most vulnerable countries for climate change in agricultural water management. A research had been done to assess climate change effects on irrigation water use of wheat and maize in the northern part of Bangladesh. The twenty nine years of data (1990-2018) were analyzed with Mann-Kendall test as well as Sen’s slope for climate change impact and the responsible weather parameters due to climate change were identified with correlation coefficients. The crop water requirement of wheat in Bogura and Rangpur was declining at the rate of 3.3mm and 2.3mm per decade respectively. Net irrigation water requirement of wheat at both Bogura and Rangpur was inclining at the rate of 1mm and 10mm per decade respectively because the effective rainfall of these regions was decreasing at 5mm and 11mm per decade respectively. The crop water requirement of maize for similar districts was increasing at the rate of 3.2mm and 2.5mm per decade respectively although net irrigation water requirement had statistically non-significance for climate change effect. The weather parameter, which was mainly responsible for climatic change in irrigation water requirement, was increasing temperature. Therefore, wheat cultivation might be coped with climate change in the northern part of Bangladesh rather than maize on the basis of irrigation and water management.
Keywords: Reference evapotranspiration, Crop water requirement, Net irrigation water requirement, Mann-Kendall test, Serial correlation.
Received: 2 June 2021 / Revised: 28 June 2021 / Accepted:26 July 2021/ Published: 30 August 2021
The paper's primary contribution is finding that the northern region of Bangladesh might be meet up extra irrigation water demand for wheat and maize cultivation due to climate change.
Climate change has the impact on water resources, agriculture and scio-economics etc. it increases temperature as well as anomaly rainfall and irrigation water is more vulnerable to temperature and rainfall [1].
In Bangladesh, climate change impact is susceptible for agriculture and irrigation water use. This country, about 70% of percentage of water is used for agriculture. A study performed by Delaporte and Maurel [2] found that when climate change affects one percentage point of agricultural income, then it is to mitigate the expense by three percentage points. The mean daily temperature increases (0.200C per decade) and the rainfall increases (7.13mm per year) in monsoon and decreases(0.75mm per year) in post-monsoon which creates the flood and drought in rainy and dry seasons [3]. Bangladesh has three main cereal crops: rice, wheat, maize.Acharjee, et al. [4] found that the water requirement of rice was on a downward trend (3mm per year) in the northern part of Bangladesh. Haque and Chowdhury [5] studied in the southern part of Bangladesh that climate change affected the irrigation water requirement of boro rice, wheat and maize in an upward trend. So, the northern part of Bangladesh may have a critical to climate change impact in irrigation and water management of wheat and maize Figure 1.
Figure-1. Bangladesh districts map and “red point “indicates research locations.
The research work was started in July 2020 and had finished April, 2021 at regional agricultural research centre, Bangladesh Agricultural Research Institute, Chittagong.
2.1. Data Collection
The meteorological data: temperature, humidity, sunshine duration, wind speed and rainfall were collected over the period 1990-2018 from Bangladesh Meteorological Department, Agargaon, Dhaka. The crop related data was taken from Bangladesh Agricultural Research Institute, Gazipur, Dhaka.
2.2. Estimation of Reference Evapotranspiration, Crop Water Requirement, Net Irrigation Water Requirement
Reference crop evapotranspiration is the evaporative need of the surrounding atmosphere which is dependent on weather data (solar radiation, temperature, humidity and wind speed). It was calculated with the guide line of Allen, et al. [6].
Where, NIR=Net irrigation water requirement (mm), Peff= effective rainfall which is part of rainfall is used for plants and it was assumed 70% of rainfall [9].
2.3. Climate Change Effects’ Analysis
2.3.1. Serial Correlation Test
Firstly, the time series data were tested for serial correlation with autocorrelation function at different lags since the existence of serial correlation influences more trend or rate of change due to climate change effect [10].
Autocorrelation function (ACF) at lag k (rk) was calculated with Equation 4.
The plot of rk against lag k was correlogram, which showed autocorrelation, crossing the upper and lower limits’ lines. The standard error (SE) and confidence interval (CI) of the autocorrelation function at lag k were in Equation 6 and 7 respectively. If time series have autocorrelation or serial correlation, the data should be prewritten with the outlying of Gocic and Trajkovic [11].
2.3.2. Trend Detection and Rate of Change’s Estimation
Mann-Kendall trend test was carried out whether there was any tend in crop water requirement, net irrigation water requirement, and irrigation parameter and the rate of change in time series data was estimated with sen’s slope, shown in Equation 8, which is non-parametric method with the framework of Gocic and Trajkovic [11].
2.3.3. Identification of Responsible Parameters for Variability
The climatic parameters (temperature, humidity, sunshine hour, wind speed) was more dominantly cause in changing the crop water requirement, net irrigation water requirement, and irrigation parameter-was determined with the correlation coefficient (rxy)among them Equation 9 .
Where, X= temperature, humidity, sunshine hour, wind speed and Y = reference crop evapotranspiration, crop water requirement, net irrigation water requirement and effective rainfall. The significance of rxy was computed with Pearson’s product- moment method. If the value of r with Pearson’s product- moment method at level of (N’-2df) is less than the calculated with Equation 9, then the X and Y has significantly the correlation [12].
2.4. Data Analysis
The data of research work was analyzed and made graphs with Microsoft Excel 2007 and R version 4.0.2 software “modifiedmk”, “trend change” as well as “Hmisc” packages.
3.1. Serial Correlation Test
The serial correlation was identified with different lags of time series data: net irrigation water requirement (NIR), crop water requirement (ETc), and reference evapotranspiration (ET0) by autocorrelation function (ACF). Almost all time series data was serial correlation free since there was no cross the boundary limit of autocorrelation at lag-1 which is shown in Figure 2, Figure 3 and Figure 4. The data crossing the limit was prewritten by guidance of Gocic and Trajkovic [11], otherwise it yielded more trend and rate of change.
Figure-2. Autocorrelation (ACF) of net irrigation water requirement (NIR), crop water requirement (ETc), reference evapotranspiration (ET0) with different lags at Bogura from 1990 to 2018.
Figure-3. Autocorrelation (ACF) of net irrigation water requirement (NIR), crop water requirement (ETc), reference evapotranspiration (ET0) with different lags Dinajpur and Mymensingh from 1990 to 2018.
Figure-4. Autocorrelation (ACF) of net irrigation water requirement (NIR), crop water requirement (ETc), reference evapotranspiration (ET0) with different lags at Rajshahi and Rangpur from 1990 to 2018.
3.2. Reference Evapotranspiration (ET0), Crop Water Requirement (ETc) and Net Irrigation Water Requirement (NIR)
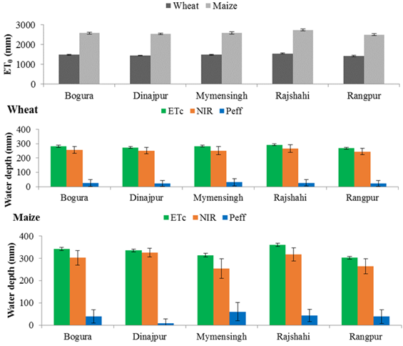
Reference evapotranspiration (ET0) during wheat and maize cultivation was the lowest (1420mm and 2500mm respectively) at Rangpur and highest (1552mm and 2737mm respectively) at Rajshahi Figure 5 because the temperature at Rajshahi was higher than Rangpur. Mojid, et al. [13] showed the evidence of the similar results. The crop water requirement of both wheat and maize ranged from 268mm at Rangpur to 292mm at Rajshahi and 302mm at Rangpur to 360mm at Rajshahi respectively. The results were coincident with Schulthess, et al. [14] which studied in coastal areas in Bangladesh. Net irrigation water requirement of wheat and maize was also high (266mm and 318mm respectively) at Rajshahi since the temperature was higher and effective rainfall is lower than any regions.
Figure-5. Mean reference crop evapotranspiration (ET0), crop water requirement (ETc), effective rainfall (Peff), net irrigation water requirement (NIR) of wheat and maize from 1990 to 2018. Bar sign indicates the standard deviation.
3.3. Climate Change Effect on Irrigation Water of Wheat and Maize
Net irrigation water demand was dependent upon the reference evapotranspiration (ET0), crop water requirement (ETc) and effective rainfall. When the climatic change affected those parameters, Irrigation water requirement had a change. During the period of wheat and maize, ET0 had no trend and the rate of change was statistically significant. The crop water requirement of both crops had no trend at Dinajpur, Mymensingh and Rajshahi. Moreover, Bogura and Rangpur had the declining trend of ETc at 95% and 90% confidence intervals. Acharjee, et al. [4] had the same findings in the case of boro rice production. The rate of change for both wheat and maize at Bogura and Rangpur was about 3.3 and 2.5 mm per decade respectively. The trend of effective rainfall during wheat cultivation had no significance except for Rangpur at 1% level of significance. On the other hand, there was no trend of effective rainfall in maize production Table 1. Net irrigation water requirement (NIR) was no trend in Maize cultivation and for wheat production, NIR at bogura an Rangpur had an upward trend which was 1mm and 10mm per decade at 90% and 95% confidence interval. Therefore, wheat production might be discouraged at Bogura and Rangpur on the basis of irrigation water requirement because of extra demand of irrigation in near future. NIR of wheat was also the upward trend in the southern part of Bangladesh [5].
Table-1. Rate of Change at Reference crop evapotranspiration, effective rainfall, crop water requirement and net irrigation requirement in different districts from 1990 to 2018.
Wheat |
Maize |
|||||||
ET0 |
Peff |
ETc |
NIR |
ET0 |
Peff |
ETc |
NIR |
|
| Bogura | -0.97 |
-0.5 |
-0.33* |
0.01+ |
-1.79* |
-0.31 |
-0.32* |
-0.21 |
| Dinajpur | -0.18 |
-0.45 |
-0.18 |
0.35 |
-0.65 |
-0.06 |
-0.24 |
0.19 |
| Mymensingh | 0.65 |
-0.96 |
-0.01 |
0.97 |
0.3 |
-1.2 |
0.01 |
0.8 |
| Rajshahi | 0.55 |
-0.7 |
0.026 |
0.65 |
0.4 |
-0.77 |
0.02 |
0.72 |
| Rangpur | -0.91 |
-1.1** |
-0.23+ |
0.9* |
-1.56 |
-0.34 |
-0.25+ |
-0.1 |
Note: ET0= Reference crop evapotranspiration; ETc= Crop water requirement; Peff= effective rainfall; NIR= Net irrigation requirement; “+”,”*”,”**”, are 10%, 5%, 1% level of significance.
Table-2. Correlation coefficient (rxy) of reference crop evapotranspiration (ET0), crop water requirement (ETc), effective rainfall (Peff) and net irrigation water requirement (NIR) with relative humidity, temperature, Sunshine and wind speed at district and crop wise.
Crops |
RH |
Tmax |
Tmin |
Sunshine |
Wind |
Responsible parameters for variation | ||
Bogura |
Wheat |
NIR |
-0.28 |
0.63** |
0.37* |
0.16 |
-0.05 |
Maximum and minimum temperature |
ETc |
0.05 |
0.73** |
0.01 |
0.46* |
-0.13 |
Maximum temperature and sunshine hours | ||
ET0 |
0.08 |
0.77** |
0.09 |
0.4* |
0 |
Maximum temperature and sunshine hours | ||
Peff |
0.31 |
-0.48** |
-0.4* |
-0.04 |
0.02 |
Maximum and minimum temperature | ||
Maize |
NIR |
-0.41* |
0.66** |
0.24 |
0.08 |
0.01 |
Relative humidity and maximum temperature | |
ETc |
0.02 |
0.74** |
0.04 |
0.46* |
-0.11 |
Maximum temperature and sunshine hours | ||
ET0 |
-0.01 |
0.72** |
-0.01 |
0.38* |
0.04 |
Maximum temperature and sunshine hours | ||
Peff |
0.45* |
-0.55** |
-0.25 |
0.01 |
-0.03 |
Relative humidity and maximum temperature | ||
Dinajpur |
Wheat |
NIR |
-0.12 |
0.24 |
-0.17 |
-0.2 |
0.31 |
- |
ETc |
-0.1 |
0.69** |
-0.18 |
0.31 |
-0.06 |
Maximum temperature | ||
ET0 |
0.04 |
0.5** |
-0.2 |
0.18 |
0.04 |
Maximum temperature | ||
Peff |
0.11 |
-0.06 |
0.14 |
0.31 |
-0.36 |
- | ||
Maize |
NIR |
-0.2 |
0.28 |
-0.21 |
-0.24 |
0.18 |
- | |
ETc |
-0.24 |
0.77** |
-0.15 |
0.3 |
-0.04 |
Maximum temperature | ||
ET0 |
-0.3 |
0.67** |
-0.25 |
0.22 |
0.08 |
Maximum temperature | ||
Peff |
0.12 |
-0.01 |
0.17 |
0.37 |
-0.21 |
- | ||
Mymensingh |
Wheat |
NIR |
0.15 |
0.57** |
0.2 |
0.1 |
-0.03 |
Maximum temperature |
ETc |
0.23 |
0.74** |
0.16 |
0.24 |
-0.13 |
Maximum temperature | ||
ET0 |
0.23 |
0.78** |
0.19 |
0.23 |
-0.16 |
Maximum temperature | ||
Peff |
-0.11 |
-0.46* |
-0.19 |
-0.05 |
0 |
Maximum temperature | ||
Maize |
NIR |
0.06 |
0.55** |
0.12 |
0.11 |
-0.38* |
Maximum temperature and wind speed | |
ETc |
-0.03 |
0.85** |
0.07 |
0.36 |
-0.3 |
Maximum temperature | ||
ET0 |
0 |
0.8** |
0 |
0.21 |
-0.36 |
Maximum temperature | ||
Peff |
-0.07 |
-0.44* |
-0.11 |
-0.06 |
0.36 |
Maximum temperature | ||
Rajshahi |
Wheat |
NIR |
-0.08 |
0.68** |
0.17 |
0.1 |
0.1 |
Maximum temperature |
ETc |
0.09 |
0.6** |
-0.34 |
-0.02 |
0.58** |
Maximum temperature and wind speed | ||
ET0 |
0.13 |
0.69** |
-0.23 |
-0.11 |
0.63** |
Maximum temperature and wind speed | ||
Peff |
0.11 |
-0.59** |
-0.28 |
-0.12 |
0.05 |
Maximum temperature | ||
Maize |
NIR |
-0.29 |
0.68** |
0.18 |
0.12 |
0.12 |
Maximum temperature | |
ETc |
-0.04 |
0.65** |
-0.25 |
-0.03 |
0.57** |
Maximum temperature and wind speed | ||
ET0 |
-0.01 |
0.68** |
-0.19 |
-0.17 |
0.67** |
Maximum temperature and wind speed | ||
Peff |
0.31 |
-0.57** |
-0.26 |
-0.13 |
0.02 |
Maximum temperature | ||
Rangpur |
Wheat |
NIR |
-0.28 |
0.53** |
0.19 |
-0.04 |
0.15 |
Maximum temperature |
ETc |
-0.05 |
0.64** |
-0.11 |
0.39* |
0.17 |
Maximum temperature and sunshine hours | ||
ET0 |
0 |
0.69** |
-0.04 |
0.38* |
0.24 |
Maximum temperature and sunshine hours | ||
Peff |
0.28 |
-0.4* |
-0.22 |
0.14 |
-0.11 |
Maximum temperature | ||
Maize |
NIR |
-0.53** |
0.5** |
-0.02 |
0.23 |
-0.08 |
Relative humidity and maximum temperature | |
ETc |
-0.23 |
0.73** |
-0.15 |
0.36 |
0.06 |
Maximum temperature | ||
ET0 |
-0.23 |
0.68** |
-0.24 |
0.39* |
0.14 |
Maximum temperature and sunshine hours | ||
Peff |
0.51** |
-0.39* |
-0.01 |
-0.17 |
0.09 |
Relative humidity and maximum temperature |
Note: RH=Relative humidity, Tmax and Tmin= maximum and minimum temperature respectively, The notation * and** is at 5% and 1% level of significance respectively.
3.4. Climate Change-Responsible Parameters for Variability
Irrigation parameters were estimated with the help of weather data (temperature, humidity, sunshine duration, wind speed). The maximum temperature was the main cause of variability in reference crop evapotranspiration (ET0), crop water requirement (ETc), effective rainfall (Peff) and net irrigation water requirement (NIR) due to climate change. Table was showed the responsible climatic data in irrigation parameters. The variability of ET0 was the combined effect of temperature, sunshine and wind speed Table 2. The results were similar to Mojid, et al. [13] as well as Haque and Chowdhury [5]. So, the maximum temperature in this region played a vital role in changing the irrigation water parameters.
The purpose of research is to evaluate the climatic change impact on irrigation water requirement of wheat and maize in the northern region of Bangladesh. The crop water requirement of wheat and maize was the increasing rate of approximately 3mm per decade due to climate change in both Bogura and Rangpur districts. But the net irrigation water requirement of wheat had only the climate change impact in Bogura (1mm per decade) and Rangpur (10mm per decade) at 10% and 5% levels of significance. Net irrigation water requirement of maize was non-significance of climatic change. The temperature (especially maximum temperature) was the dominant parameter for climate change effect on irrigation water requirement in the northern region of Bangladesh. Therefore, due to climate change impact, wheat cultivation at Bogura and Rangpur would require extra 10,000 liters and 100000 liters irrigation water per hectare respectively for every ten years later. In the future, irrigation projects like Teesta barrage irrigation project should be considered for this extra irrigation water requirement in water resources planning for wheat production.
Funding: This study received no specific financial support. |
Competing Interests: The authors declare that they have no competing interests. |
Acknowledgement: All authors contributed equally to the conception and design of the study. |
[1] K. D. Frederick and D. C. Major, "Climate change and water resources," Clim Change, vol. 37, pp. 7–23, 1997.Available at: https://doi.org/10.1023/A:1005336924908.
[2] I. Delaporte and M. Maurel, "Adaptation to climate change in Bangladesh," Clim Policy vol. 18, pp. 49–62, 2018.Available at: https://doi.org/10.1080/14693062.2016.1222261.
[3] M. R. Rahman and H. Lateh, "Climate change in Bangladesh: A spatio-temporal analysis and simulation of recent temperature and rainfall data using GIS and time series analysis model," Theoretical and Applied Climatology, vol. 128, pp. 27–41, 2017.Available at: https://doi.org/10.1007/s00704-015-1688-3.
[4] T. K. Acharjee, G. v. Halsema, F. Ludwig, and P. Hellegers, "Declining trends of water requirements of dry season boro rice in the north-west Bangladesh," Agric. Water Manag, vol. 180, pp. 148–159, 2017.Available at: https://doi.org/10.1016/j.agwat.2016.11.014.
[5] M. P. Haque and S. M. K. H. Chowdhury, "Trend of irrigation water requirement in halda river basin of Bangladesh," Journal of Science, Technology and Environment Informatics, vol. 10, pp. 673–684, 2020.Available at: https://doi.org/10.18801/jstei.100120.68.
[6] R. G. Allen, L. S. Pereira, D. Raes, and M. Smith, "Crop evapotranspiration-Guidelines for computing crop water requirements-FAO Irrigation and drainage paper 56," Fao, Rome, vol. 300, p. D05109, 1998.
[7] A. P. Savva and K. Frenken, "Crop water requirements and irrigation scheduling, Fao, Rome, Italy, Irrigation manual 4. Retrieved from: http://www.fao.org/3/ai593e/ai593e.pdf, " 2002.
[8] C. Brouwer, K. Prins, and M. Heibloem, "Irrigation water management: Irrigation scheduling, Fao, Rome, Italy, Training manual module 4. Retrieved from: http://www.fao.org/3/T7202E/T7202E00.htm, " 1989.
[9] A. Singh, "Optimizing the use of land and water resources for maximizing farm Income by mitigating the hydrological imbalances," Journal of Hydrologic Engineering, vol. 19, pp. 1447–1451, 2014.Available at: https://doi.org/10.1061/(ASCE)HE.1943-5584.0000924.
[10] K. H. Hamed and A. Ramachandra Rao, "A modified Mann-Kendall trend test for autocorrelated data," Journal of Hydrology, vol. 204, pp. 182–196, 1998.Available at: https://doi.org/10.1016/S0022-1694(97)00125-X.
[11] M. Gocic and S. Trajkovic, "Analysis of changes in meteorological variables using Mann-Kendall and Sen’s slope estimator statistical tests in Serbia," Global and Planetary Change, vol. 100, pp. 172–182, 2013.Available at: https://doi.org/10.1016/j.gloplacha.2012.10.014.
[12] G. Ray and S. Mondal, Research methods in social science and extension education. New Delhi, India: Kalyani Publishers, 2004.
[13] M. A. Mojid, R. P. Rannu, and N. N. Karim, "Climate change impacts on reference crop evapotranspiration in North-West hydrological region of Bangladesh," International Journal of Climatology, vol. 35, pp. 4041-4046, 2015.Available at: https://doi.org/10.1002/joc.4260.
[14] U. Schulthess, Z. U. Ahmed, S. Aravindakshan, G. M. Rokon, A. S. M. Alanuzzaman Kurishi, and T. J. Krupnik, "Farming on the fringe: Shallow groundwater dynamics and irrigation scheduling for maize and wheat in Bangladesh’s coastal delta," Field Crops Research - Journal, vol. 239, pp. 135–148, 2019.Available at: https://doi.org/10.1016/j.fcr.2019.04.007.
Views and opinions expressed in this article are the views and opinions of the author(s), International Journal of Climate Research shall not be responsible or answerable for any loss, damage or liability etc. caused in relation to/arising out of the use of the content. |