This research aimed to study the effects of economic factors on the success of sustainable tourism development in communities in Upper Northeast Thailand, as well as to study the indicators of success for sustainable tourism development in communities in the area. A questionnaire was used to collect 400 samples from four provinces: Loei, Nong Khai, Bueng Kan, and Nakhon Phanom. Quota sampling was used to ensure 100 samples per province along with convenience sampling. Exploration factor analysis (EFA) and confirmatory factor analysis (CFA) were carried out. The results revealed that the economic factors affected the success of sustainable tourism development in the communities, which was measured by the indicators of community-based tourism (CBT) in all five dimensions. The indicators in the dimension of sustainable tourism management had the greatest influence on sustainable tourism development. The results suggest that the concerned agencies should set economic motivation policies and should educate about quality community management and development to help expand the economy in the communities in order to create income, generate employment, and increase the standard of living for people in the communities.
Keywords: Impacts on tourism, Community participation, Tourism, Sustainable development, Index of indicators, CBT.
JEL Classification: R2; Z3.
Received: 8 June 2021 / Revised: 6 September 2021 / Accepted: 4 October 2021/ Published: 2 November 2021
The paper’s primary contribution is the finding that economic factors enable the promotion of sustainable tourism development in comunities and function as a tool for tourism economics and policy making in the development of tourism at the macro level.
Sustainable tourism development promotes the use of local resources. A key component of the strategy is to connect with local development; moreover, sustainable tourism should control progress in an appropriate way. Therefore, participating communities should collectively decide on the appropriate planning for the development of environmental resources. Their participation would also help maintain ethnic diversity and show respect for cultural communities, as an influx of tourists would help to maintain and conserve cultural heritage and the traditional way of life. Furthermore, acceptance and understanding of cultural differences should be promoted to ensure that economic recovery occurs in the long run, along with socio-economic benefits for all parties, including employment distribution and income creation. In addition, the provision of opportunities and social services, the reduction of poverty within the tourism communities, and the transfer of technology would be mainly related to the hotel and restaurant sectors. Likewise, there would be issues relating to product tourism and the handicraft industry sectors. Technology transfer brought about by tourism would in principle be related to the following seven key fields, i.e., manufacturing, design, management, distribution, marketing, environment, and quality. These affect the economy directly and indirectly, and as a result would affect sustainable community-based tourism (CBT).
Regional economic growth has its own characteristics of economic development. Economic expansion or recession affected CBT in 2019. Economic expansion in each region of Thailand since then has been rather low due to the global economic slowdown, appreciation of the Thai Baht in 2020, and national and global situations, particularly the COVID-19 pandemic. Consequently, exports decreased, followed by the reduced consumption of the private sector resulting in the low economic growth in each region, in combination with tourism problems. However, tourism in Northeast Thailand expanded rather significantly Figure 1 (Ministry of Tourism and Sports, 2019). Matichon Online (2019) characterized Upper Northeast Thailand as a region with unique attractions, fascinating scenery, pure nature, a simple way of life, and attractive charms. These comprised, for instance, the Mekong riverbank slow-life cities, religious sites, archeology, and natural attractions. These were regarded as sustainable products of each province in the region Figure 2.
Simultaneously, in 2020, the year in which the impacts of the COVID-19 outbreak were most felt, sustainable product development and skills/competencies of entrepreneurs were the key factors that ensured successful businesses and handling of problems due to the risks. However, several entrepreneurs in certain communities still lacked knowledge and understanding of their own product development, which was parallel to the direct and indirect impacts of the economy. As such, these were the tourism development problems faced by communities.
Figure-1. Comparative statistics of tourists in Thailand, 2018-2019.
Source: Ministry of Tourism and Sports (2019)
Figure-2. Upper Northeast Thailand as indicated.
Source: Thailand Traveling Guide (n.d)
Therefore, this study investigates the benefits that tourism entrepreneurs would accrue and the indicators of success in sustainable tourism development for the communities in Upper Northeast Thailand, as well as the impacts of the wider economic factors on the sustainable tourism development for communities in this area.
The findings regarding the influence of the community’s economic factors on sustainable tourism could be used for policy implementation or setting public projects, and to successfully implement sustainable tourism development for local communities by creating strategies and promoting CBT.
Table-1. Standard criteria for CBT management in five dimensions.
| Dimension 1: CBT management | ||
| Objective 1.1 | Efficient CBT management. | |
| Objective 1.2 | Efficient common agreement for CBT management. | |
| Objective 1.3 | Efficient regulations for tourists. | |
| Objective 1.4 | Efficient development of personnel in the CBT management group. | |
| Objective 1.5 | Efficient promotion of participation from all parties. | |
| Objective 1.6 | Efficient participation of alliances. | |
| Objective 1.7 | Efficient marketing and PR management for CBT. | |
| Objective 1.8 | Efficient accounting and financial systems. | |
| Objective 1.9 | Participation of juveniles in CBT management. | |
| Dimension 2: Good quality of life, economic, and social management | ||
| Objective 2.1 | Efficient income allocation. | |
| Objective 2.2 | Efficient enhancement of the good quality of life. | |
| Objective 2.3 | Quality community products for higher income opportunities from tourism. | |
| Objective 2.4 | Giving precedence to human rights in terms of tourism. | |
| Dimension 3: Cultural heritage conservation and promotion | ||
| Objective 3.1 | Quality database of cultural heritage for tourism. | |
| Objective 3.2 | Efficient cultural heritage dissemination through CBT. | |
| Objective 3.3 | Efficient conservation and rehabilitation of the local culture. | |
| Dimension 4: Systematic and sustainable resource and environmental management | ||
| Objective 4.1 | Local resource management for self-adaptation to handle climate change. | |
| Objective 4.2 | Quality database of natural resources and the environment. | |
| Objective 4.3 | Efficient dissemination of local wisdom about natural resources and the environment through CBT. | |
| Objective 4.4 | Efficient conservation and rehabilitation of natural resources and the environment in the communities. | |
| Objective 4.5 | Efficient creation of natural resources and environmental awareness through CBT. | |
| Dimension 5: Service quality of CBT | ||
| Facilities and services | ||
| Objective 5.1 | Satisfactory tourism services and safety. | |
| Objective 5.2 | Efficient interpreters. | |
| Objective 5.3 | Quality tourist service points. | |
| Objective 5.4 | Efficient service coordination. | |
| Safety preparedness | ||
| Objective 5.5 | Safe routes and tourism activities. | |
| Objective 5.6 | Safe tourist service points. | |
| Objective 5.7 | Efficient CBT route management. | |
| Objective 5.8 | Efficient management in case of emergencies. | |
Source: National Tourism Policy Committee (2019).
2.1. Related Theories
Guidelines on sustainable tourism and the sustainable fulfillment of human needs are continuously expanding. The increasing world population with its endless needs but limited environmental and natural resources has led to attempts to find more renewable resources that lead to less resource depletion. Humans must therefore develop and manage the remaining resources as responsibly as possible. This includes sustainable tourism indicators. Therefore, the Designated Areas for Sustainable Tourism Administration (Public Organization), or DASTA, has cooperated with the Thailand Community Based Tourism Institute (CBTI), Thai Ecotourism and Adventure Travel Association (TEATA), Green Leaf Foundation, and European Center for Eco and Agro Tourism (ECEAT) on a project called CSR-MAP. This project sets out the standard criteria for CBT management, which have been developed and modified from the Global Sustainable Tourism Criteria (GSTC). The standard criteria for tourism management cover five dimensions with a total of 29 objectives, see Table 1.
The standard criteria for CBT management are a milestone that will benefit area development with minimal depletion of the available resources. The criteria include five dimensions that cover management, environmental and cultural conservation, and CBT services and safety that will ensure the well-being of tourists when they visit and communities throughout the year.
2.2. Related Research
Swangkong and Pasunon (2016) conducted a study on the efficiency of four waterfall tourist destinations in Saraburi province. It was found that the indices of facilities and management were the lowest. This led to practical suggestions to the concerned agencies and policies to develop and enhance both components for the better. Luangchanduang and Punyawadee (2018) used the abovementioned criteria to determine five indicators of sustainable creative CBT as follows: 1) Management of the attraction/natural resource and tourism environmental conservation: To manage attractions in accordance with the community’s way of life to ensure a prominent identity that could attract tourists, a total of seven indicators. 2) Tourism activity management: Creating tourism activities without any environmental impact and degradation, with tourist participation and knowledge exchange in the communities, a total of four indicators. 3) Participation in tourism management: Local communities participate in CBT management, a total of five indicators. 4) Basic facility and tourist service point management: Facility management to support tourists, including safety of life and belongings, a total of eight indicators. 5) Personnel and local interpreters: Having personnel ready to serve tourists with knowledge of attractions, a total of four indicators.
Adikampana, Sunarta, and Pujani (2019) conducted a study on the dimensions of rural tourism product development and the necessity of local community participation to achieve sustainable development. They found that community products could attract tourists, in the form of the local environment and way of life. Local identity consisted of the routine of the local people and was simultaneously the capital owned by the CBT. Apart from identity, in terms of the efficiency and prominence of local cultural society, the results also conformed to the target market. Rural tourism products could increase local community participation in common decision-making and sharing of the benefits of tourism. Kantar and Svržnjak (2017) studied the feasibility of sustainable rural tourism development in Koprivnica-Krizevcin, Northwest Croatia. The sustainability of rural tourism was studied in four dimensions, i.e., biosustainability, economic sustainability, cultural-societal sustainability, and political sustainability. They found that rural tourism development could not be sustainably carried out in all dimensions. Therefore, rural tourism might offer both a strategy for sustainable rural development and a tool to differentiate local products in non-touristic areas. Likewise, Sihabutr and Nonthapot (2021) analyzed the role of travel expenses on the indicator factors of sustainability in the Greater Mekong Subregion (GMS) member countries, using a three-dimensional concept of sustainability, i.e., environmental, economic, and social. In Thailand, all dimensions were affected. Specifically, Thailand displayed short-term effects in the economic dimension and long-term effects in the social dimension.
Furthermore, Wongburan and Nonthapot (2016) conducted a study on the quality of Walking Street activity management in Nong Khai Province, Thailand that demonstrated a positive impact on tourists’ satisfaction and impressions. The results found that Nong Khai Municipality should increase the variety of activities and improve the facilities for greater effectiveness of Walking Street activities, e.g., improved toilets and parking areas. These would lead to increased repurchasing behavior and increased tourism overall.
Moreover, Nonthapot, Wongsiri, and Gurdeep (2019) analyzed the effects of mediator variables on the relationship between promotion and CBT economic growth in Ban Jom Jaeng and Ban Si Kai, Mueang District, Nong Khai Province, Thailand. Structural equation modeling (SEM) was used for the estimation. It was found that the economy of both communities acted as a mediator variable on promotion, with a positive impact on CBT economic growth. This confirmed that economic factors affect economic growth as an indicator within the components of sustainability as well. However, those factors have not only been shown to affect economic growth, but also to affect other sustainability factors. This was demonstrated by a study measuring the impacts of tourism development on local communities near Shalban Vihara, a key archeological site in Moinamoti, Comilla, Bangladesh. Local people felt the positive impacts of tourism development on their communities, as well as the positive association between tourism development and living standards. These effects were also experienced regarding common economic benefits, i.e., employment creation and community infrastructure development, as well as in the social dimension, i.e., higher incomes and local businesses, facilities, and education. However, in the environmental dimension, multiculturalism, pollution, noise, traffic jams, and a higher cost of living did not have a significant and positive relationship with the wellbeing of local communities (Siddique, 2016). This study clearly indicated that Shalban Vihara could help to enhance local development. It also provided key data on tourism development for policymakers and stakeholders in the tourism industry that could motivate increased tourism development.
Therefore, based on a study of the indicators of success in CBT development in accordance with the GSTC in Upper Northeast Thailand, according to the related theories and research, it was found that economic factors affect sustainable tourism development, which can be divided into economic sustainability, social sustainability, environmental sustainability, and political sustainability. However, because the GSTC includes five dimensions, this study has incorporated attraction sustainability to arrive at five key components, in accordance with the GSTC, see Figure 3.
Figure-3. Conceptual framework.
3.1. Population and Samples
The study population included tourism entrepreneurs in Upper Northeast Thailand from four provinces, Loei, Nong Khai, Bueng Kan, and Nakhon Phanom, recruited through purposive sampling. Four hundred samples were obtained by means of quota sampling and convenience sampling, with 100 samples per province.
3.2. Data Collection
Data collection was carried out by means of a questionnaire. An test of item-objective congruence (IOC) was conducted by five experts, with a resulting value of over 0.83. A pre-test was then conducted with 30 tourism entrepreneurs in Bueng Kan Province, who were not related to the sample respondents, to test the questionnaire and its reliability. The value obtained was over 0.7, which implied that the questionnaire was reliable.
3.3. Data Analysis
The quantitative data was analyzed using SPSS for exploratory factor analysis (EFA) and using WarpPLS 7.0 for confirmatory factor analysis (CFA) to test the construct validity of the mediator variables in the model. The IOC of the SEM was also tested.
Table-2. Initial eigenvalues of the success of sustainable tourism development for communities.
Component |
Initial Eigenvalues |
||
Total |
% of Variance |
Cumulative % |
|
1 |
11.40 |
40.71 |
40.71 |
2 |
1.70 |
6.10 |
46.80 |
3 |
1.44 |
5.16 |
51.96 |
4 |
1.14 |
4.10 |
56.02 |
5 |
1.10 |
3.75 |
59.77 |
6 |
0.89 |
3.65 |
63.43 |
… |
... |
... |
... |
… |
... |
... |
... |
… |
... |
... |
... |
28 |
0.23 |
0.67 |
100.00 |
Table-3. Rotated component matrix.
|
No. |
Variable | Factor |
||||
1 |
2 |
3 |
4 |
5 |
||
s1.1 |
Efficient income allocation. | 0.78 |
||||
s1.2 |
Efficient enhancement of the good quality of life. | 0.81 |
||||
s1.3 |
Quality community products for higher income opportunities from tourism. | 0.80 |
||||
s1.4 |
Giving precedence to human rights in terms of tourism. | 0.70 |
||||
s2.1 |
Quality database of cultural heritage for tourism. | 0.84 |
||||
s2.2 |
Efficient cultural heritage dissemination through CBT. | 0.89 |
||||
s2.3 |
Efficient conservation and rehabilitation of the local culture. | 0.81 |
||||
s3.1 |
Efficient tourism area management. | 0.67 |
||||
s3.2 |
Quality database of natural resources and the environment. | 0.76 |
||||
s3.3 |
Efficient dissemination of local wisdom about natural resources and the environment through CBT. | 0.80 |
||||
s3.4 |
Efficient conservation and rehabilitation of natural resources and the environment in the communities. | 0.79 |
||||
s3.5 |
Efficient creation of natural resource and environmental awareness through CBT. | 0.66 |
||||
s4.1 |
Efficient CBT management. | 0.69 |
||||
s4.2 |
Efficient regulations for tourists. | 0.70 |
||||
s4.3 |
Efficient development of personnel in the CBT management group. | 0.74 |
||||
s4.4 |
Efficient promotion of participation from all parties. | 0.77 |
||||
s4.5 |
Efficient participation of alliances. | 0.76 |
||||
s4.6 |
Efficient marketing and PR management for CBT. | 0.73 |
||||
s4.7 |
Efficient accounting and financial system. | 0.68 |
||||
s4.8 |
Participation of juveniles in CBT management. | 0.74 |
||||
s5.1 |
Satisfactory tourism services and safety. | 0.70 |
||||
s5.2 |
Efficient interpreters. | 0.68 |
||||
s5.3 |
Quality tourist service points. | 0.75 |
||||
s5.4 |
Efficient service coordination. | 0.78 |
||||
s5.5 |
Safe routes and tourism activities. | 0.77 |
||||
s5.6 |
Safe tourist service points. | 0.77 |
||||
s5.7 |
Efficient CBT route management. | 0.75 |
||||
s5.8 |
Efficient management in case of emergencies. | 0.61 |
||||
Figure-4. Results from the EFA.
The results of the EFA regarding the success of sustainable tourism for communities found that KMO = 0.93, Bartlett's Test of Sphericity = 5486.67, df = 378 and p < 0.001, implying that the data was appropriate (Hair, Black, Babin, & Anderson, 2010). Then, eigenvalues were tested using varimax rotation. It was found that five components had eigenvalues over 1.00, see Table 2. This implied that the five components could be grouped. Each component could describe the variance, which was acceptable in the field of social science. All five components could describe the variance of the questions at 59.77%, which was regarded as appropriate.
The factor loadings must be over 0.50 to show the factor arrangement of the variables. It was found that s1.1-s1.4 were arranged by Factor 1, with values ranging from 0.70 to 0.81. S2.1-s2.3 were arranged by Factor 2 with values ranging from 0.81 to 0.89. S3.1- s3.5 were arranged by Factor 3 with values ranging from 0.66 to 0.80. S4.1- s4.9 were arranged by Factor 4 with values ranging from 0.68 to 0.77. S5.1- s5.8 were arranged by Factor 5 with values ranging from 0.61 to 0.78, see Table 3. The arrangement of variables into factors is illustrated in Figure 3.
After the EFA, the CFA was carried out to investigate the effects of the economic factors on the success of the sustainable tourism development in the communities. The results show that APC = 0.78 and ARS = 0.63, thus implying a rather high degree of relationship. GoF = 0.61, which implies a good fit. SPR, RSCR, and SSR = 1 as shown in Table 4.
Table-4. The results of the goodness of fit assessment.
| Assessment value | Calculation |
Sig./Assessment principle |
Results |
| Average path coefficient (APC) | 0.78 |
P<0.001 |
Highly related |
| Average R-squared (ARS) | 0.63 |
P<0.001 |
Highly related |
| Tenenhaus GoF (GoF) | 0.61 |
Small>= 0.1, medium >= 0.25, large >= 0.36 |
Large |
| Sympson's paradox ratio (SPR) | 1.00 |
acceptable if >= 0.7, ideally = 1 |
Acceptable |
| R-squared contribution ratio (RSCR) | 1.00 |
acceptable if >= 0.9, ideally = 1 |
Acceptable |
| Statistical suppression ratio (SSR) | 1.00 |
acceptable if >= 0.7 |
Acceptable |
Source: Calculation.
According to the assessment, a goodness of fit was found. Next, a reflective SEM was applied, and the convergent validity was tested. Regarding the criteria, the minimum of the indicator loadings was required to be 0.70 with significance (Henseler, Ringle, & Sarstedt, 2012). Loadings below 0.70 were acceptable but could not drop below 0.50. Likewise, the AVE must not be below 0.50 (Hair, Hult, Ringle, & Sarstedt, 2014; Wasiul, Arije, & Huda, 2020). The results of the analysis implied a convergent validity of the scale and are displayed in Table 5.
Table-5. Statistics of the convergent validity of the scale for the reflective latent variables
| Construct | Loading |
S.E. |
P-value |
| Dimension 1: Good quality of life, economic, and social management (s1) | |||
| 1.1 Efficient income allocation. (s11) | 0.75 |
0.045 |
<0.001 |
| 1.2 Efficient enhancement of the good quality of life. (s12) | 0.80 |
0.045 |
<0.001 |
| 1.3 Quality community products for higher income opportunities from tourism. (s13) | 0.81 |
0.045 |
<0.001 |
| 1.4 Giving precedence to human rights in terms of tourism. | 0.71 |
0.045 |
<0.001 |
| Dimension 2: Cultural heritage conservation and promotion (s2) | |||
| 2.1 Quality database of cultural heritage for tourism. (s21) | 0.82 |
0.045 |
<0.001 |
| 2.2 Efficient cultural heritage dissemination through CBT. (s22) | 0.85 |
0.045 |
<0.001 |
| 2.3 Efficient conservation and rehabilitation of local culture. (23) | 0.79 |
0.045 |
<0.001 |
| Dimension 3: Systematic and sustainable resource and environmental management (s3) | |||
| 3.1 Efficient tourism area management. (s31) | 0.70 |
0.045 |
<0.001 |
| 3.2 Quality database of natural resources and the environment. (s32) | 0.69 |
0.046 |
<0.001 |
| 3.3 Efficient dissemination of local wisdom about natural resources and the environment through CBT. (s33) | 0.80 |
0.045 |
<0.001 |
| 3.4 Efficient conservation and rehabilitation of natural resources and the environment in communities. (s34) | 0.74 |
0.045 |
<0.001 |
| 3.5 Efficient creation of natural resource and environmental awareness through CBT. (s35) | 0.66 |
0.046 |
<0.001 |
| Dimension 4: Sustainable tourism management in communities (s4) | |||
| 4.1 Efficient CBT management. (s41) | 0.66 |
0.046 |
<0.001 |
| 4.2 Efficient regulations for tourists. (s42) | 0.62 |
0.046 |
<0.001 |
| 4.3 Efficient development of personnel in the CBT management group. (s43) | 0.74 |
0.045 |
<0.001 |
| 4.4 Efficient promotion of participation from all parties. (s44) | 0.81 |
0.045 |
<0.001 |
| 4.5 Efficient participation of alliances. (s45) | 0.75 |
0.045 |
<0.001 |
| 4.6 Efficient marketing and PR management for CBT. (s46) | 0.63 |
0.046 |
<0.001 |
| 4.7 Efficient accounting and financial system. (s47) | 0.66 |
0.046 |
<0.001 |
| 4.8 Participation of juveniles in CBT management. (s48) | 0.69 |
0.046 |
<0.001 |
| Dimension 5: Services and safety (s5) | |||
| 5.1 Satisfactory tourism services and safety. (s51) | 0.50 |
0.047 |
<0.001 |
| 5.2 Efficient interpreters. (s52) | 0.72 |
0.045 |
<0.001 |
| 5.3 Quality tourist service points. (s53) | 0.80 |
0.045 |
<0.001 |
| 5.4 Efficient service coordination. (s54) | 0.82 |
0.045 |
<0.001 |
| 5.5 Safe routes and tourism activities. (s55) | 0.83 |
0.045 |
<0.001 |
| 5.6 Safe tourist service points. (s56) | 0.67 |
0.046 |
<0.001 |
| 5.7 Efficient CBT route management. (s57) | 0.78 |
0.045 |
<0.001 |
| 5.8 Efficient management in case of emergencies. (s58) | 0.61 |
0.046 |
<0.001 |
| Economic Factor (ec) | |||
| 1. Current national economic conditions. (ec1) | 0.86 |
0.044 |
<0.001 |
| 2. Current cost of living. (ec2) | 0.89 |
0.044 |
<0.001 |
| 3. Level of economic expansion in communities. (ec3) | 0.89 |
0.044 |
<0.001 |
| 4. Minimum wage. (ec4) | 0.85 |
0.044 |
<0.001 |
| 5. Economic risks due to unexpected threats, e.g., COVID-19 outbreak. (ec5) | 0.67 |
0.046 |
<0.001 |
The results of the analysis show that all latent variables of the economic factors and CBT indicators in all five dimensions had loadings of at least 0.60 with a significance level of 99%, i.e., good quality of life, economic, and social management; cultural heritage conservation and promotion; systematic and sustainable resource and environmental management; sustainable tourism management in communities; services and safety. This implies that these variables affect sustainable tourism development and CBT economic development.
Regarding the discriminant validity of the reflective latent variables, correlation, and reliability of the scale, all the values of CR are over 0.80, the AVEs are over 0.50, and Cronbach’s alphas are over 0.75. This implies that the model can efficiently predict the endogenous variables (Chin, 1998). When R2 > 0.20, this implies the reliability of R2 to describe the estimation by PLS-SEM (Table 6).
Table-6. Statistics of discriminant validity.
Construct |
CR |
R2 |
AVE |
Cronbach Alpha |
Q2 |
s1 |
0.85 |
0.62 |
0.59 |
0.77 |
0.62 |
s2 |
0.86 |
0.66 |
0.67 |
0.76 |
0.66 |
s3 |
0.84 |
0.72 |
0.51 |
0.76 |
0.72 |
s4 |
0.88 |
0.79 |
0.50 |
0.85 |
0.79 |
s5 |
0.90 |
0.73 |
0.53 |
0.87 |
0.73 |
ed |
0.92 |
0.26 |
0.69 |
0.89 |
0.25 |
ec |
0.92 |
0.70 |
0.89 |
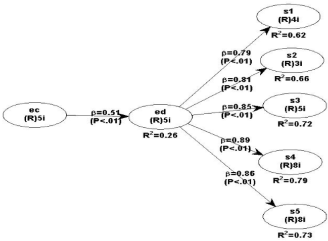
Table 7 contains the results of the cross-construct correlation; it demonstrates that the square roots of the average variances extracted (AVE) in the parentheses of Table 7 were higher than the AVE in Table 6. The values of the AVE in Table 7 are over 0.70, thus implying the discriminant validity and reliability of the scale for all variables. The results of the analysis show that the independent variables could help predict the independent variables (Cohen, 1988; Hair. et al., 2014; Henseler, Ringle, & Sinkovics, 2009). This is what led to the results of the analysis as shown in Table 4, which displays the results of the estimated CFA, which shows that the economic factors affect sustainable tourism development (ed) by 0.51 at a significance level of 99%.
Table-7. Cross-construct correlation.
Construct |
s1 |
s2 |
s3 |
s4 |
s5 |
ed |
ec |
s1 |
(0.77) |
||||||
s2 |
0.61 |
(0.82) |
|||||
s3 |
0.58 |
0.54 |
(0.72) |
||||
s4 |
0.52 |
0.59 |
0.61 |
(0.73) |
|||
s5 |
0.18 |
0.27 |
0.17 |
0.27 |
(0.84) |
||
ed |
0.79 |
0.81 |
0.84 |
0.82 |
0.25 |
(0.83) |
|
ec |
0.58 |
0.63 |
0.74 |
0.69 |
0.14 |
0.88 |
(0.70) |
Note: Square roots of the average variances extracted (AVEs) shown on the diagonal.
Figure-5. Results of the model analysis.
As illustrated in Figure 5, for the factors of sustainable tourism development as described in the five dimensions, the sustainable tourism development in the communities (s4) has the highest effect (0.89) with a confidence level of 99%. Good quality of life, economic, and social management (s1) = 0.79 with a confidence level of 99%. Cultural heritage conservation and promotion (s2) = 0.81 with a confidence level of 99%. Systematic and sustainable resource and environmental management (s3) = 0.85 with a confidence level of 99%. Services and safety (s5) = 0.86 with a confidence level of 99%.
Additionally, when considering the equation structure, it can be concluded that the empirical data supports all hypotheses, which conforms to the understanding that economic factors affect sustainable tourism development in Upper Northeast Thailand.
The results of this study’s analysis should be discussed in accordance with its objectives. Specifically, it was found that for the success indicators for sustainable tourism development in communities, the entrepreneurs gave the most precedence to services and safety, e.g., safe tourist service points. This implies that both the people in the communities and tourists are still very aware of and gave precedence to the safety of tourism. This is because tourists may balance the value received from tourism against any potential unsafety. Therefore, providing safe and sustainable tourist service points is at the heart of tourism. This is consistent with the findings of Luangchanduang and Punyawadee (2018), who found that the indicators of creative and sustainable CBT included basic facilities and a tourism information center, and who also referred to the importance of safety of life and belongings, followed by quality community products for higher income opportunities from tourism, thus implying that the community products offered to tourists were necessary to attract tourists, i.e., souvenirs, the natural environment, atmosphere, or unique culture/traditions. This is further consistent with the findings of Adikampana et al. (2019) who found that tourists were attracted by community products, e.g., the environment, identity of efficiency, social prominence, or culture.
Regarding the effects of economic factors on the success of sustainable tourism development for the communities in Upper Northeast Thailand, it was found that the effects from all dimensions of those factors were similar, i.e., current national economic conditions, current cost of living, level of economic expansion in the communities, minimum wage, and economic risks due to unexpected threats, e.g., the COVID-19 outbreak. This implies that economic factors play a crucial role in CBT development.
When the economy changes, either due to wider economic conditions or public policy, the daily expenses and travel expenses of people change as well. Therefore, economic factors absolutely affect CBT growth. This is consistent with the results of Nonthapot et al. (2019) on the effects of mediator variables on the relationship between promotion and CBT economic growth in Ban Jom Jaeng and Ban Si Kai, Mueang District, Nong Khai Province, Thailand. It was found that promotions had a positive mediating effect between the community’s economy and CBT economic growth. The economic variables in this case included national economic conditions, cost of level, and economic expansion. In addition, economic communities were shown to be good for CBT economic growth. Therefore, to assist, concerned agencies could participate in tourism support, promotion through PR, and community economic development.
According to the results of this study, sustainable CBT businesses are affected by economic factors. Therefore, in the case of economic problems, such as for instance economic recession or any unexpected situations, e.g., the COVID-19 outbreak, the concerned agencies should implement policies to accelerate the economy and develop the communities in a way that can lead to economic expansion in these communities. For example, infrastructure in the communities and the surrounding area should be developed. Expenditure on travel should be encouraged. Furthermore, CBT should support tourism entrepreneurs in their business conduct. For example, they should be educated about business conduct that supports sustainable CBT and about conservation/rehabilitation of CBT attractions as cultural heritage, so that people in the communities can continue to transfer correct and clear knowledge in the future.
Moreover, regulations for tourists should be created to prevent cultural heritage destruction in the long run. All these solutions would create income, generate employment, and increase the standard of living for people in the communities.
| Funding: This work was supported by Research and Graduate Studies, Khon Kaen University, Thailand. |
| Competing Interests: The authors declare that they have no competing interests. |
| Acknowledgement: Both authors contributed equally to the conception and design of the study. |
Adikampana, I. M., Sunarta, I. N., & Pujani, N. L. K. (2019). A model of community-based rural tourism products development. IPTA Journal (Travel Industry), 7(1), 83-88. Available at: https://doi.org/10.24843/ipta.2019.v07.i01.p11.
Chin, W. W. (1998). The partial least squares approach for structural equation modeling. In Marcoulides, G.A. (Ed.), Modern methods for business research (pp. 295- 236). London: Lawrence Erlbaum Associates.
Cohen, J. (1988). Statistical power analysis for the behavioral sciences (2nd ed.). New York: Psychology Press.
Hair, J. F., Black, W. C., Babin, B. J., & Anderson, R. E. (2010). Multivariate data analysis (7th ed.). Upper Saddle River, New Jersey: Prentice Hall.
Hair., J., Hult, T., Ringle, C., & Sarstedt, M. (2014). A primer on partial least squares structural equation modeling (PLS-SEM). Thousand Oaks, CA: Sage Publications, Inc.
Henseler, J., Ringle, C. M., & Sarstedt, M. (2012). Using partial least squares path modeling in the international advertising research: Basic concepts and recent issues (pp. 298-304): Edward Elgar Publishing.
Henseler, J., Ringle, C. M., & Sinkovics, R. R. (2009). The use of partial least squares pathmodeling in international marketing. In New Challenges to international marketing (pp. 277-319): Emerald Group Publishing Limited.
Kantar, S., & Svržnjak, K. (2017). Development of sustainable rural tourism. Journal of Regional Development and Tourism, 9(1), 26-34.
Luangchanduang, F., & Punyawadee, V. (2018). The potential of role-model communities in sustainable and creative tourism. Electronic Journal of Open and Distance Innovative Learning, 8(1), 79-104.
Matichon Online. (2019). Nong Khai opens upper Northeast tourism website. Retrieved from https://www.matichon.co.th/region/news_1686714 .
Ministry of Tourism and Sports. (2019). Domestic tourism statistics Q1-Q4 2019 (Classify by region and province)) [Statistical Data]. Retrieved from https://www.mots.go.th/more_news_new.php?cid=618 .
National Tourism Policy Committee. (2019). Criteria for Thailand's community-based tourism development. Retrieved from: https://issuu.com/trumpet255/docs/book_cbt_thailand_ver_eng.
Nonthapot, S., Wongsiri, A., & Gurdeep, S. (2019). Analysis of mediator impact on marketing promotion, community-based tourism and economic growth of Baan Jom Jaeng and Si Kai Villages, Muang District, Nong Khai Province, Thailand. Paper presented at the Proceeding of the 1st International Conference on Economics, Business and Tourism.
Siddique, Z. (2016). Impacts of tourism development on local community: A study on Shalban Vihara. Bangladesh Journal of Tourism, 1(1), 74-82.
Sihabutr, C., & Nonthapot, S. (2021). The influences of travel expenses on the indicator factors of sustainability in GMS member countries. Journal of Environmental Management & Tourism, 12(1), 233-242. Available at: https://doi.org/10.14505/jemt.v12.1(49).20.
Swangkong, K., & Pasunon, P. (2016). A study of index-based evaluation of attraction site: A case study of waterfalls in Saraburi Province. Veridian E-Journal, 9(1), 1157-1172.
Thailand Traveling Guide. (n.d). Exploring Isan: Thailand's Frontier. Retrieved from: http://thairoam.blogspot.com/p/exploring-isan-thailands-frontier.html .
Wasiul, M., Arije, M., & Huda, M. N. (2020). Determining intention to use Smartphone banking application among millennial cohort in Malaysia. International Journal of Management and Sustainability, 9(1), 43-53. Available at: https://doi.org/10.18488/journal.11.2020.91.43.53.
Wongburan, H., & Nonthapot, S. (2016). Impact of a mediator on quality of walking street activity management and tourist impression in Nong Khai Municipality of Nong Khai Province. Journal of Thai Hospitality and Tourism, 11(2), 3-12.
Views and opinions expressed in this article are the views and opinions of the author(s), International Journal of Management and Sustainability shall not be responsible or answerable for any loss, damage or liability, etc. caused in relation to/arising out of the use of the content. |