Index

Abstract

Spodoptera frugiperda is one of the main pests of maize (Zea mays L.) in Côte d'Ivoire. The control of this insect requires knowledge of biological and demographic parameters. The need to know the effect of seasons on the biodemographic parameters of Spodoptera frugiperda in Côte d'Ivoire led us to carry out work in the Sub-sudanese zone. The study was carried out in dry and rainy seasons on a maize plot from 2020 to 2021. The monitoring of newly emerged individuals on 3-week-old early variety with semi-serrated grains (EV 87/28-SR) maize plants under semi-natural conditions. The development cycle consisted of six larva stages.  The development time was 27.93 ± 1.01 days in dry season and 32.47 ± 1.83 days in rainy season. Larval survival rates ranged from 85.79 to 100% in dry season and from 74.64 to 94.7% in rainy season. The average egg fertility rate was 21.19 ± 5.89% in dry season and 40.36 ± 8.49% in rainy season. The sex ratio was in favour of females. The net reproduction rate (Ro) and intrinsic rate of natural increase (rm) were highest in rainy season at 27.67 ± 7.82 and 0.26 ± 0.01 respectively. Spodoptera frugiperda performs much better in rainy season at temperatures between 25.1°C - 26.2°C due to a slow development time of 32.47 ± 1.83 days, a short population doubling time (D.T.) of 2.62 ± 0.13 and a high net reproduction rate (Ro) of 27.67 ± 7.82.

Keywords: Biodemographic parameters, Spodoptera frugiperda, Sub-sudanese zone, Zea mays.

Received: 8 November 2022 / Revised: 28 December 2022 / Accepted: 12 January 2023 / Published: 1 February 2023

Contribution/ Originality

Since the introduction of Spodoptera frugiperda in Cote d’Ivoire, maize production has decreased. Within the framework of biological control, this work address the effect of season on the life cycle of Spodoptera frugiperda  in Sub-Sudanese zone, main zone of maize production in Côte d'Ivoire.

1. INTRODUCTION

Cereals are the main sources of human and animal nutrition in the world [1]. Among them, maize (Zea mays, L.) is the most cultivated plant with an estimated production of 1,120 million tons [2]. In Sub-Saharan Africa, it accounts for almost 17% of the 200 million hectares of cultivated land. Maize is the most widely grown staple food crop. About 300 million of the Sub-Saharan population depend on it as a source of food and livelihood [3]. Regional average yields can reach 1.7 t/ha in West Africa [4].

 In Côte d'Ivoire, the maize cultivated area is estimated of about 350,000 hectares, with an average annual production of 600,000 tons for a yield of 1.9 t/ha [5]. Its importance is attested not only by the extent of the cultivated area but also by the diversity of its use in both human and animal [6]. Maize is used for human and animal (poultry, pigs, cattle) feed and as a raw material in some industries such as brewery and soap factory [7, 8]. However, this cereal  is threatened by  pests particularly, Spodoptera frugiperda, Smith, 1797 (Lepidoptera, Noctuidae) [9, 10]. This insect pest attacks more than 80 crops of different species and its infestations results of 15-73% of yield losses, which making it one of the most damaging crop pests [11-13] . The control methods used so far by producers are essentially chemical control using insecticides belonging to the organophosphate and pyrethroid family and mechanical control by manual collection of larva [14]. However, S. frugiperda appears to be resistant to some common pesticides [15]. In view of this situation, measures are needed to develop an appropriate control method. Appropriate control of S. frugiperda requires the study of its life cycle and demographic parameters. The general objective of this work, which is part of a biological control of this pest, is to study the biodemographic parameters of S. frugiperda according to seasons in Sub-Sudanese zone of Côte d'Ivoire.  More specifically, it will be question of determining the effect of seasons on some biological and demographic parameters on S. frugiperda.

1.1. Presentation of the Study Area

The study was carried out in Ferkessédougou department, northern Côte d'Ivoire located between latitudes 9°35 North and longitudes 5°12 West. The climate is a transitional tropical Sub-sudanese type characterised by two seasons [16]. A dry season from October to Mai and a rainy season from June to September. The annual mean temperatures varied between 24.5°C and 34.73°C for the year 2020 and between 23.5°C and 29.7°C for the year 2021. The average values of relative humidity (RH) during the study period ranged from 23.68 to 85.22% for the year 2020 and from 29.48 to 88.93% for the year 2021. The soil is ferralitic type with a shallow topsoil (40-60 cm) limited by indurations [17]. The physical properties of these soils, according to Soro, et al. [18] are generally poor and present development constraints (shallow indurated soils).

2. METHODS

2.1. Setting Up the Experimental Plot

The study was carried out on a plot (9°35'57''N, 5°13'33''W) of 300m² (30m x 10 m). The maize variety used was EV 87/28-SR (an improved variety). The colour of the grain was yellow and its cycle was three months. Clearing and scrubbing were carried out in a succinct manner. They consisted of cutting the grass while leaving the stumps in place, allowing in this case a shifting cultivation to ensure a quick regrowth or recruitment when the plot is abandoned. Ploughing was done manually with a hoe. The hoe was driven into the soil and the clod was turned over so that the bottom of the ploughing was on the surface. Staking, with the purpose of leading ridge formation, consisted of placing a stake on either side of the field, connected to a nylon measuring rope (template). Once connected, the rest of the stakes were added between the two fixed stakes, respecting the corresponding row spacing (40 cm). The ridges, consisted of small mounds of about 15 cm with a flattened top were made manually with a hoe and were separated by furrows. The distance between the ridges was 80 cm and 40 cm between the bunches with two plants per bunch. Sowing was done manually (in aligned bunches) with a spacing between rows of 80 cm and a spacing between bunches of 40 cm. The number of seeds per cluster was three. Approximately 15 days after germination, excess plants were removed to achieve the desired density. Also weeds, especially during the vegetative phase of the crop, were pulled out manually (weeding). No phytosanitary treatments were applied. During dry season, watering was done manually with a 20m connection to a modern borehole. The frequency was every three days until the plants were two weeks old and two days during the rest of the vegetative cycle.

2.2. Collection Method

Rearing was done in a semi-natural environment. The larvae were collected from the maize fields and transferred into transparent plastic pots (15 cm high x 25 cm diameter). The larvae were fed with maize leaves collected from the field. The pupae obtained during the larval development process were transferred to plastic pots (15 cm high x 25 cm diameter) on a cotton substrate until the emergence of the adults.

2.3.  Rearing Methods

During the oviposition period, the leaves were checked daily for egg masses laid. All eggs were checked daily, the duration of egg development and the total number of hatched eggs were recorded. Newly emerged larvae (24 hours old) were individually transferred into glass vials (7.5 cm high x 2.5 cm diameter) with a fine brush and fed with fresh leaves. The larvae were counted and divided into four replicates, 50 in each. The rearing larvae were inspected daily to record mortality and development time to pupation.  Developed pupae were transferred to an empty glass vial (measuring 7.5 cm high x 2.5 cm diameter), sealed with cotton wool and observed until emergence. Purpae that did not emerge were observed for a longer period of time (over a month) and recorded as dead. On the day of emergence, thirty females and males were paired and placed individually in clear plastic pots (9 cm diameter x 16 cm height).

2.4. Determination of Some Biological Parameters

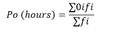
2.4.1.  Average pre-Oviposition Period

The average pre-oviposition period corresponds to the time between the emergence of the females and their first oviposition. During the experiment, the date of the imaginal moult was noted Jo. The experiment continued until the first oviposition was observed in each glass vial. The day of first oviposition (Dpp) was recorded and the average pre-oviposition period was determined using the following formula:  

Po=Average pre-oviposition period; 0i = Dpp - Jo; fi: number of females.

2.4.2.  Average Number of Eggs Laid Per Female and Average Laying Time 

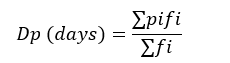
As soon as the first egg was observed, the number of eggs laid by the female was noted each day. The experiment continued until the female died. The number of eggs laid per female was summed. The day of the last oviposition (Dp) was recorded and the average oviposition period was determined by the formula:

Dp = average laying time; pi = Jdp - Jpp; fi: number of females.

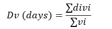
2.4.3. Average Lifespan of Adults

The life span is the time between the date of emergence (Jo) of the imago and the date of its death (Jm). The average life span of females and males was calculated using the formula:

Dv: average life span; di = Jm - Jo; vi: number of males or females.

2.4.4.  Incubation Period and Egg Fertility Rate

The date of egg laying was recorded as Dp. For each of the 30 females, the number of eggs was recorded and the fertility rate was calculated using the formula: 

2.5. Demographic Parameters

2.5.1. Net Reproductive Rate (Ro)

This is the average number of female off spring produced by a female during her lifetime.

2.5.2. Intrinsic Rate of Natural Population Increase (Rm)

This is the instantaneous growth expressed when the population grows in an unlimited environment where the effects of density increase cannot be felt and under certain conditions (relative humidity, temperature, etc.). This rate was determined by the formula of Giga and Smith [19]:

In this formula, L = female life span; N = average number of eggs laid per female; S = larval survival rate; T = development time; ln = natural logarithm

2.5.3. Generation Time

The generation time (Tg) was determined according to the formula used by Giga and Smith [19]
Tg = (development time) + average age of a female at the time of laying of all her eggs.

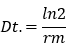
2.5.4. Population Doubling Time

The population doubling time (Dt) is the time required for the population to double in size. It was calculated according to the formula [20]:

2.6. Statistical Analysis

The data collected was entered into the Excel 2016 spreadsheet which was then used to calculate the averages and construct the various graphs. The data were then subjected to a descriptive analysis (Student's t test) using the STATISTICA 7.1 software at the 5% probability threshold.

3.  RESULTS

3.1. Biological Parameters of Spodoptera Frugiperda

3.1.1. Average Pre-Oviposition Time, Average Number of Eggs Laid and Average Oviposition Time

The average duration of pre-oviposition differs significantly from one season to another. It was longer in dry season with 6.66 ± 1.06 days and shorter in rainy season with 2.83 ± 0.70 days (t-test = 16.52185; ddl =58; p = 0.0001) Figure 1. The average number of eggs laid per female was significantly higher in the dry season with 204.3 ± 6.52 eggs and lower in the rainy season with 149.9 ± 11 eggs (t-test = 23.30123; ddl = 58; p = 0.0001) Figure 2. The average egg-laying time was significantly different in the two seasons. In the dry season, it was longer with 7.7 ± 0.99 days and shorter in the rainy season with 3.9 ± 0.92 days (t-test = 15.39591; ddl = 58; p = 0.0001) Figure 3.

Table 1. Average larval survival rate of S. frugiperda.
Season
Tsv L1 (%)
Tsv L2 (%)
Tsv L3 (%)
Tsv L4 (%)
Tsv L5 (%)
Tsv L6 (%)
Tsv I (%)
Dry season
85.719 ± 7.552a
95 ± 3.924a
97.805 ± 2.341a
99.267 ± 1.990a
99.741± 1.306a
100 ± 0a
100 ± 0a
Rainy season
74.604 ± 5.129b
93.168 ± 4.513b
95.890 ± 2.507b
96.773 ± 3.142b
96.174 ± 3.813b
94.710 ± 4.792b
94.931 ± 4.254b
Test-t
6.659535
1.675591
3.079727
3.686991
4.786752
6.056327
6.524568
ddl
58
58
58
58
58
58
58
P
0.0001
0.099202
0.003164
0.000502
0.000012
0.0001
0.0001

 Note:

Within the same column, means (± standard deviation) followed by the same letter are not significantly different at the 5% probability level (according to the Newman-Keuls test).
Tsv : Average larval survival rate of S. frugiperda
L1: Larva stage 1; L2: Larva stage 2; L3: Larva stage 3; L4: Larva stage 4; L5: Larva stage 5; L6: Larva stage 6; I: Imaginal.

3.1.2. Average Larval Survival Rate

The survival rates of the larval stages were significantly different from one season to another. However, for the L2 larval stage there was no significant difference between the two seasons (t-test = 1.675591; ddl = 58; P > 0.05) Table 1. For the L1 larval stage, the survival rate was significantly higher in the dry season (85.79 ± 7.55) compared to the rainy season (74.64 ± 5.19) (t-test = 6.659535; ddl = 58; P = 0.0001) Table 1. For the L3 larval stage, the survival rate was significantly higher in the dry season 97.8 ± 2.3 and lower in the rainy season 95.89 ± 2.50 (t-test = 3.079727; ddl = 58; P < 0.05) Table 1. At the L4 larval stage, the survival rate was significantly shorter during the rainy season, 96.77 ± 3.14 compared to the dry season 99.27 ± 1.99 (t-test = 3.686991; ddl = 58; P < 0.05).

Table 1 for the L5 larval stage, survival was significantly higher in the dry season 99.7 ± 1.30 compared to the rainy season 96.17 ± 3.81 (t-test = 4.786752; ddl = 58; P < 0.05) Table 1. At the L6 larval stage, it is significantly higher during the dry season 100 ± 0 than during the rainy season 94.7 ± 4.79 (t-test = 6.056327; ddl = 58; P = 0.0001) Table 1. At the imaginal stage, the survival rate is significantly higher in the dry season with 100 ± 0.00 and lower in the rainy season with 94.93 ± 4.25 (t-test = 6.524568; ddl = 58; P = 0.0001) Table 1. Overall, regardless of the study period, the survival rate from stage 1 to adult stage is quite high.

Table 2. Fertility rate, emergence rate, adult life span and sex ratio by season.
 Season
Fertility rate (%)
Emergence rate (%)
Adult life span (Days)
Sex-ratio
Dry season
26.77 ± 6.44b
21.19 ± 5.89b
10.77 ± 1.13b
0.72 ± 0.17a
Rainy season
71.64 ± 6.98a
40.36 ± 8.49a
8 ± 1.43a
1.22 ± 0.15b
Test-t
-25.8745
-25.8745
8.270111
-11.9686
ddl
58
58
58
58
P
0
0
0
0

Source:

In the same column, the means (± standard deviation) followed by the same letter are not significantly different at the 5% probability level (according to the Newman-Keuls test).

3.1.3. Fertiliy Rate, Emergence Rate, Adult Life Span and Sex Ratio

Fertility rate and emergence rate were significantly different according to seasons. There were significantly higher in the rainy season with respectively 71,64 ± 6,98 and 40.36 ± 8.49 and lower in the dry season with 26,77 ± 6,44 and 21.19 ± 5.89 (t-test = -25.8745; ddl = 58; P = 0.0001) Table 2. The sex ratio in the dry season differed significantly from the one in rainy season with 0.72 ± 0.17 and 1.22 ± 0.15 respectively (t-test = -11.9686; ddl = 58; P = 0.0001) Table 2. The average lifespan of male and female S. frugiperda differed significantly within the same period. The lifespan of females was higher with 7.7±0.99 days and the one of males shorter with 3.07±0.74 days during the dry season (t-test = 20.56392; ddl = 58; P = 0.0001) Figure 4. In the rainy season, no significant difference was observed in the life span of adults (t-test = 0.856841; ddl = 58; P > 0.05) Figure 4. Furthermore, the average lifespan of adults varies significantly over the two study periods. It was longer during the dry season with 10.77 ± 1.13 days and shorter during the rainy season with 8 ± 1.43 days (t-test = 8.270111 ; ddl = 58 ; P = 0.0001) Table 2.

Figure 1. Average pre-oviposition time by season.

Note:

Test t = 16.52185; ddl = 58; p = 0.0001.


Figure 2. Average number of eggs laid per female by season.

Note:

Test t= 23.30123; ddl = 58; p = 0.0001.


Figure 3. Average laying time by season.

Note:

Test t = 15.39591; ddl = 58; p = 0.0001.

3.1.4. Average Incubation and Development Time of S Frugiperda

The incubation period varies according to the season. It is significantly shorter in the dry season with 2.9 ± 0.30 days, and longer in the rainy season with 3.97 ± 0.18 days (t-test = -16.4306; ddl = 58; P = 0.0001) Table 3. The development time of the different larval stages varies from L1 larva to pupa for each season. It is significantly longer 32.47 ± 1.83 days in the rainy season and shorter in the dry season 27.93 ± 1.01 days (t-test = -11.8497; ddl = 58; P < 0.05) Table 3. The duration of development differs between the two seasons. Thus, from the L1 to the L2 larval stage, the development time is significantly longer in the rainy season with 5.3 ± 0.59 days and shorter in the dry season with 4.43 ± 0.68 days (t-test = -5.254640; ddl = 58; P <0.05) Table 3.  From the L2 larval stage to the L3 larval stage, the development time is significantly longer in the dry season with 2.33 ± 1.06 days and shorter in the rainy season with 1.83 ± 0.65 days (t-test = 2.202567; ddl = 58; P < 0.05) Table 3. The time taken by the L3 larva to become  L4 larva was significantly longer in the rainy season with 3.17 ± 0.6 days than in the dry season with 2.4 ± 1.10 days (t-test = -3.28571; ddl = 58; P < 0.05) Table 3. However, no significant difference between the transition from L4 to L5 larvae stage is observed (t-test = 0.485317; ddl = 58; P > 0.05) Table 3. Also, no significant difference is observed between the passage from L5 to L6 larvae stage (t-test = 0.485317; ddl = 58; P > 0.05). Furthermore, a significant difference was observed from L6 larva stage to pupa, which was longer in the rainy season with 3.17 ± 1.31 days than in the dry season with 2.3 ± 1.18 days (t-test = -2.687620; ddl = 58; P < 0.05). The transition from pupa to imago was significantly longer in the rainy season with 11±1.70 days, and shorter in the dry season with 9.67 ± 0.55 days (t-test = -4.08542; ddl = 58; P < 0.05) Table 3.

Table 3. Average development time of S. frugiperda.
Season
PI
L1-L2
L2-L3
L3-L4
L4-L5
L5-L6
L6-P
P-E
Development time
Dry season
2.9 ± 0.30a
4.43 ± 0.68a
2.33 ± 1.06a
2.4 ± 1.10a
2.1 ± 1.03b
1.8 ± 0.61a
2.3 ± 1.18b
9.67 ± 0.55b
27.93 ± 1.01b
Rainy season
3.97 ± 0.18b
5.3 ± 0.59b
1.83 ± 0.65b
3.17 ± 0.65b
1.97 ± 1.1a
2.07 ± 0.45b
3.17 ± 1.31a
11 ± 1.70a
32.47 ± 1.83a
Test-t
-16.4306
-5.254640
2.202567
-3.28571
0.485317
-1.92666
-2.687620
-4.08542
-11.8497
ddl
58
58
58
58
58
58
58
58
58
P
0.0001
0.000002
0.031613
0.001729
0.629279
0.058927
0.009376
0.000137
0.0001
Source:
Within the same column, means (± standard deviation) followed by the same letter are not significantly different at the 5% probability level (according to the Newman-Keuls test).
PI: Incubation period; L1: Stage 1 larva; L2: Stage 2 larva; L3: Stage 3 larva; L4: Stage 4 larva; L5: Stage 5 larva; L6: Stage 6 larva; P: Pupation; E: Emergence.

Figure 4. Adult lifespan by season.

Note:

Dry season: t-test = 20.56392; ddl = 58; p = 0.0001.
Rainy season: t-test = 0.856841; ddl = 58; p = 0.395059.

In the same column, the means (± standard deviation) followed by the same letter are not significantly different at the 5% probability level (according to the Newman-Keuls test).

3.2. Population Growth Parameters 

The analysis indicated that the net reproductive rate, intrinsic rate of natural increase, generation time and doubling time of the population differed significantly between the study seasons Table 4. The net reproduction rate (Ro) was significantly higher in the rainy season 27.67 ± 7.82 compared to the dry season 25.43 ± 7.61 (t-test = -1.12086; ddl = 58; P < 0.05) Table 4. The intrinsic rate of natural population increase (Rm) was significantly higher in the rainy season 0.26 ± 0.01 compared to the dry season rate 0.24 ± 0.03 (t-test = -4.9187; ddl = 58; P < 0.05). As for the generation time (Tg) the highest is observed during the rainy season 35.93 ± 2.04 days while the shortest is obtained in the dry season 35.12 ± 1.47 days (t-test = 3.826212; ddl = 58; P < 0.05) Table 4. For the population doubling time (DT), the S. frugiperda population is significantly lower in the rainy season with 2.62 ± 0.13 days compared to the dry season, 2.93 ± 0.28 days (t-test = -2.58667; ddl = 58; P < 0.05) Table 4.

Table 4. Determination of the biodemographic parameters of S. frugiperda.
 Season
Ro
Rm
Tg (Days)
D.T. (Days)
Dry season
25.43 ± 7.61a
0.24 ± 0.03a
35.12 ± 1.47a
2.93±0.28a
Rainy season
27.67 ± 7.82a
0.26 ± 0.01b
35.93 ± 2.04a
2.62±0.13b
Test-t
-1.12086
-4.9187
3.826212
-2.58667
ddl
58
58
58
58
P
0.266969
0.000008
0.000321
0.012222

Source:

In the same column, the means (± standard deviation) followed by the same letter are not significantly different at the 5% probability level (according to the Newman-Keuls test).
Ro: Net reproduction rate; Rm: Intrinsic rate of natural increase; Tg: Generation time; DT: Population doubling time.

In the same column, the means (± standard deviation) followed by the same letter are not significantly different at the 5% probability level (according to the Newman-Keuls test).

Ro: Net reproduction rate; Rm: Intrinsic rate of natural increase; Tg: Generation time; DT: Population doubling time.

4. DISCUSSION

This work allowed us to study the influence of season on the development cycle of Spodoptera frugiperda. The reproductive parameters of S. frugiperda  were significantly affected by temperature and humidity during dry and rainy seasons. The mean pre-oviposition duration of 2.83 ± 0.70 days in the rainy season (25.1°C - 26.2°C; RH: 78.53 - 83.9%) observed in our study is close to that of Hauverset, et al. [21] who obtained 2.52 ± 0.52 days at a temperature range of 24 to 26°C and a relative humidity (RH) of 60 to 63%. This is in agreement with the results of Luginbill [22] who obtained a pre-oviposition period of 3 to 4 days [23]. Reported that Spodoptera species have a relatively short pre-oviposition period. According to these authors, adults reach sexual maturity and mate shortly after emergence. The average oviposition period was longer in the dry season (7.7 ± 0.99 days) than in the rainy season (3.9 ± 0.92 days) in the Sub-Sudanese zone. According to Prasanna, et al. [11] this could be explained by the fact that after a pre-oviposition period of 3 to 4 days, normally, oviposition occurs within 4 to 5 days despite that some oviposition occurs up to 3 weeks. In this study, female S. frugiperda laid eggs in both seasons. Insect eggs require large amounts of nutrients for their development until they hatch [24]. The average number of eggs laid per female 204.3 ± 6.52 eggs in the dry season (26°C - 29.7°C; RH: 26.9 - 74.26%) was higher than in the rainy season with 149.9 ± 11 eggs. Our results do not corroborate those of Barfield and Asley [25] who obtained 1929 eggs at 25°C, 1086 eggs at 30°C. This difference could be explained by the fact that in our study, the work was carried out on maize in the vegetative phase in contrast to those of these authors, who carried out their study on maize in the reproductive phase. Survival rates were high in both seasons. The highest rates were 100 ± 0% in the dry season and 96.17 ± 3.81% in the rainy season for the sixth instar. We also observed an increase in larval survival rates during the evolution of the different instars. The imaginal survival rates were also high in the dry season as well as in the rainy season. These results show that the optimum temperature and relative humidity threshold for larval and imaginal survival of S. frugiperda would be between 25.55°C - 27.61°C and 49.87% and 78.55%. During our study, not all eggs hatched. This finding does not corroborate the results of Luginbill [22] who reported that S. frugiperda was very fertile with a fertility rate of 100%. According to Milonas and Savopoulou-Soultani [26] fecundity generally increases with temperature, between a lower and an upper threshold, up to the optimal point. In this study, the fertility rate in the dry season was 26.77 ± 6.44% and 71.64 ± 6.98% in the rainy season. Most eggs hatched in the rainy season at an average temperature of 25.65°C, which would indicate that the optimal temperature range for oviposition would be between 25°C and 26°C. Schlemmer [27] showed that constant high temperatures of 30 and 32°C had a negative impact by reducing the fertility of female S. frugiperda moths. This observation is in line with our results obtained in the dry season. Concerning the pupal emergence rate, it was higher in the rainy season (40.36 ± 8.49%) and lower in the dry season (21.19 ± 5.89%). Our results differ from those of Truzi, et al. [28] who obtained higher pupal emergence rates of 80.0 ± 5.71%; 88.0 ± 4.64% and 78.0 ± 5.92% at 25 ± 1°C with a relative humidity of 70 ± 10%,during rearing of S. frugiperda with artificial diets containing different protein levels. This difference could be due to the higher relative humidity in the rainy season (78.53 - 83.9% RH) in the Sub- Sudanese zone. The lifespan of the adults was longer during the dry season 10.77 ± 1.13 days and shorter during the rainy season 8 ± 1.43 days in the southern Sub- Sudanese zone. Our results agree with those of Hauverset, et al. [21] who obtained an average of 10.00 ± 0.92 days in the southern Sudanese zone at a temperature range of 24 - 26°C and a relative humidity of 60 to 63%. Furthermore, the lifespan of males was much lower than that of females during the dry season. Our observations agree with those of Truzi, et al. [28] who reported that S. frugiperda females had a longer life span than males. Furthermore, at temperatures close to 30°C, the wings of adults tend to deform, especially in males [29] thus reducing the motor skills of males, which would affect their feeding and copulation abilities. Indeed, fecundity would be able to reduce adult survival due to the costly production of gametes or survival could be reduced due to the risk of courtship and mating behaviour [30]. The lifespan of males and females was the same in the rainy season. The results obtained are different from those of  Kalleshwaraswamy, et al. [31] who obtained in males and females of the fall armyworm a complete life cycle of 32 - 43 days and 34 - 46 days, respectively at temperatures ranging from 24°C - 26°C with humidity between 60 - 63%. This difference may be due to the fact that larvae that have fed and developed on host plants with low nutritional value under unfavourable temperature conditions may be adversely affected [32]. According to Luginbill [22] the longevity of S. frugiperda moths varies between 6 and 23 days with an average of 10 days, depending on temperature and food sources. The difference between the present study and Barfield and Asley [25] work is explained by the difference in larvae diet. Barfield and Asley [25] reared the larvae on maize tissue in the early and late vegetative stages. However, in our rainy season work, the larvae were fed on maize tissue at the reproductive stage. The sex ratio obtained in this study was in favour of males in the rainy season and in favour of females in the dry season. This trend was also reported in the work of Hauverset, et al. [21] in the Sub Sudanese zone. As for the average incubation times obtained in the dry season (2.9 ± 0.30 days) and in the rainy season (3.97 ± 0.18 days), they agree with those of Dahi, et al. [33] who obtained an average incubation time of 3.4 and 2.1 days at 25°C and 30°C. We found that the average incubation time decreased with increasing temperature.

The duration of the different developmental stages varied with the seasons. The different larval stages were generally shorter in the dry season than in the rainy season. The duration from pupation to adult emergence was also shorter in the dry season than in the rainy season. These variations in the duration of the different stages are thought to be related to natural conditions (temperature, relative humidity and rainfall). Several authors [34-37] have reported the effect of abiotic factors on the duration of insect development. The total development time (egg - adult), which is 32.47 ± 1.83 days in the rainy season, falls within the range defined by Kalleshwaraswamy, et al. [31] and Hauverset, et al. [21] who obtained 32 - 46 days and 25 - 54 days respectively at similar temperatures. For the dry season, the total cycle length of S. frugiperda (27.93 ± 1.0 days) falls within the range defined by Tendeng, et al. [38] 23 - 29 days (25 ± 1°C, RH: 65 ± 5%). Luginbill [22] reported that the development time and number of larval instars of S. frugiperda depended on diet and temperature. For instance, Ali and Luttrell [39] reported five larval instars for larvae reared on artificial diet and temperature between 25°C and 29°C.  Meanwhile, six larval instars were observed on maize leaves and temperature ranging between 21 and 35°C. During the rearing, we identified six larval stages at each period. This allowed us to detect the most voracious stages for maize. These were larval stages 4, 5 and 6. Our results are similar to those of Luginbill [22] who states that the most damage is caused by the last three instars because of their high consumption rate (98%). This is due to the fact that, the larvae have more developed mouthparts at this stage.

Demographic parameters are parameters that integrate changes in insect growth, development, reproduction, survival and indicate the growth capacity of the population in a specific environment [40]. The intrinsic rate of natural increase (rm) has varied over the seasons. The net reproduction rate (Ro) and intrinsic rate of natural increase (rm) were highest in the rainy season (25.1°C - 26.2°C). Our results differ from those of Golizadeh, et al. [41] who found in their study on Plutella xylostella (Lepidoptera: Plutellidae) that the net reproductive rate (Ro) increased with increasing temperature (10, 15, 20, 25, 28, 30 and 35 °C), while the generation time (Tg) decreased. This resulted an increase in the intrinsic rate of natural increase (rm) from 0.038 to 0.340 on cauliflower and from 0.033 to 0.315 on cabbage from 10 to 28 °C.  This difference is due to the fact that temperature cannot be considered as a limiting factor in Plutella xylostella [42]. Spodoptera frugiperda performs much better in the rainy season at temperatures between 25.1°C - 26.2°C due to a slow development time, a short population doubling time (D.T.) and a high net reproduction rate (Ro). The high value of rm in the present study can be explained by a higher value of Ro and Tg. Our results agree with those of Mehrkhou, et al. [43] who studied the demographic parameters of Spodoptera exigua on nine soybean cultivar seeds and concluded that '033' was the most suitable host in terms of population increase compared to other host plants, due to a high value of rm.

5. CONCLUSION

The establishment of an effective control method against Spodoptera frugiperda requires the determination of the developmental stages of the pest infesting maize, the duration of its developmental cycle and demographic parameters. Thus, the study of biological parameters showed that S. frugiperda is a holometabolous pest with a developmental cycle of 6 larval stages with high survival rates for stages 2, 3, 4, 5 and 6. Of these stages, the most voracious are stages 4, 5 and 6. The study showed that female Spodoptera frugiperda laid eggs in both seasons. However, most eggs hatched in the rainy season indicating an optimal temperature range for oviposition in this season. The average number of eggs laid per female was high only in the rainy season. S. frugiperda female had a longer lifespan than males. The lifespan of males was much shorter than that of females during the dry season. In the experiment with S. frugiperda it was found that not all eggs are fertile and hatch. Also that the sex ratio varies according to the season and that the incubation time is relative to the temperature. The climatic conditions are therefore important factors affecting the life cycle of S. frugiperda. The study showed that the intrinsic rate of natural increase (rm) varied over the seasons, confirming the effect of climatic factors on this pest. The net reproduction rate (Ro) and the intrinsic rate of natural increase (rm) were highest in the rainy season, indicating that S. frugiperda performs much better in this season. Thus, taking into account on the one hand the knowledge of the development cycle and on the other hand the generation time and the intrinsic rate of natural increase of  S. frugiperda population one could set up biological control methods and an appropriate control schedule in the sub-Sudanese zone.

Funding: This study received no specific financial support.  

Competing Interests: The authors declare that they have no competing interests.

Authors’ Contributions: All authors contributed equally to the conception and design of the study.

REFERENCES

[1]         A. Slama, M. Ben Salem, M. Ben Naceur, and E. Zid, "Cereals in Tunisia: Production effect of drought and resistance mechanisms," Drought, vol. 16, no. 3, pp. 225-229, 2005.

[2]         Commodafrica, "Agro-agri-West Africa world maize production," Retrieved: http://www.commodafrica.com/c éréales/. 2020.

[3]         H. Macauley and T. Ramadjita, "Cereal crops: Rice, maize, millet, sorghum, and wheat," presented at the Feeding Africa, International Conference on an Action Plan for Tranforming African Agriculture, Dakar, Sénégal, 21-23 October2015, 2015.

[4]         B. M. Prasanna et al., "Beat the stress: Breeding for climate resilience in maize for the tropical rainfed environments," Theoretical and Applied Genetics, vol. 134, no. 6, pp. 1729-1752, 2021.  https://doi.org/10.1007/s00122-021-03773-7

[5]         Yara, "Nutrition des cultures: Maïs. Retrived from: https://www.yara.ci/fertilisation/fertilisation/mais/mais/ ," 2020.

[6]         T. Rouf Shah, K. Prasad, and P. Kumar, "Maize—a potential source of human nutrition and health: A review," Cogent Food & Agriculture, vol. 2, no. 1, p. 1166995, 2016.  https://doi.org/10.1080/23311932.2016.1166995

[7]         J. E. Cairns et al., "Maize production in a changing climate: Impacts adaptation and mitigation strategies," Advances in Agronomy, vol. 114, pp. 1-58, 2012.

[8]         H. A. N’DA, L. Akanvou, R. Akanvou, and A. Zoro Bi, "Evaluation of the agro-morphological diversity of maize accessions (Zea mays L.) collected Ivory coast," Journal of Animal & Plant Sciences, vol. 20, no. 3, pp. 3144-3158, 2014.

[9]         H. De Groote, S. C. Kimenju, B. Munyua, S. Palmas, M. Kassie, and A. Bruce, "Spread and impact of fall armyworm (Spodoptera frugiperda J.E. Smith) in maize production areas of Kenya," Agriculture Ecosystems & Environment, vol. 292, p. 106804, 2020.  https://doi.org/10.1016/j.agee.2019.106804

[10]       R. Day et al., "Fall armyworm: Impacts and implications for Africa," Outlooks Pest Manag, vol. 28, no. 5, pp. 196–201, 2017.  https://doi.org/10.1564/v28_oct_02

[11]       B. M. Prasanna, J. E. Huesing, R. Eddy, and V. M. Peschke, "Fall Armyworm in Africa: A guide for integrated pest management," 1st ed. CIMMYT, Mexico: CDMX, 2018, p. 109.

[12]       C. FAO, "Community-based fall armyworm monitoring early warning and management: Training of trainers manual," 2019.

[13]       J. A. Nboyine et al., "A new pest spodoptera frugiperda (JE Smith) in tropical Africa: Its seasonal dynamics and damage in maize fields in northern Ghana," Crop Protection, vol. 127, p. 104960, 2020.  https://doi.org/10.1016/j.cropro.2019.104960

[14]       I. Maiga, M. Ndiaye, S. Gagare, and G. Oumarou, "Special bulletin: Alert: The autumn caterpillar spodoptera frugiperda, a new maize pest in West Africa, has reached Niger." Niamey, Niger: AGRHYMET, 2017, p. 7.

[15]       M. K. K. Yoboue, C. K. D. Tano, S. Soro, and A. P. N’Guessan, "Impact of attacks by spodoptera frugiperda (Lepidoptera: Noctuidae) on the production of 3 varieties of maize and control trials using insecticide products (Nielle, Ivory Coast)," African Agronomy, vol. 34, no. 1, pp. 133-153, 2022.

[16]       A. K. Jean-Firmin, "Mobilisation of surface water resources for the supply of drinking water to the populations of the Department of Ferkéssedougou (Ivory Coast)," Master's Thesis, Health and Environmental Engineering, International Institute for Water and Environmental Engineering, Burkina Faso, 2010.

[17]       S. Bigot, Y. T. Brou, J. Oszwald, and A. Diedhiou, "Rainfall variability factor in Côte d'Ivoire and relationship with some environmental changes," Sécheresse, vol. 16, no. 1, pp. 5-13, 2005.

[18]       G. E. Soro, A. B. Yao, Y. M. Kouame, and T. A. G. Bi, "Climate change and its impacts on water resources in the Bandama basin Ivory coast," Hydrology, vol. 4, no. 1, p. 18, 2017.  https://doi.org/10.3390/hydrology4010018

[19]       D. Giga and R. Smith, "Comparative life history studies of four callosobruchus species infesting cowpeas with special reference to callosobruchus rhodesianus (Pic)(Coleoptera: Bruchidae)," Journal of Stored Products Research, vol. 19, no. 4, pp. 189-198, 1983.  https://doi.org/10.1016/0022-474x(83)90007-3

[20]       G. Murúa and E. Virla, "Population parameters of spodoptera frugiperda (Smith)(Lep.: Noctuidae) fed on corn and two predominant grasess in Tucuman (Argentina)," Mexican Zoological Act, vol. 20, no. 1, pp. 199-210, 2004.  https://doi.org/10.21829/azm.2004.2012533

[21]       A. Hauverset, N. H. Annicet, B. Sidoine, E. N. Hala, and K. Alphonse, N., "Biologycycle and natural enemies of spodoptera frugiperda (Lepidoptera: Noctuidae) in maize crops in cote D’ivoire," Journal of Entomology, vol. 18, no. 1, pp. 37–46, 2021.  https://doi.org/10.3923/je.2021.37.46

[22]       P. Luginbill, "The fall army worm," Nature, vol. 121, no. 3054, pp. 770–771, 1928.

[23]       M. Habib, L. Paleari, and M. Amaral, "Effect of three larval diets on the development of the armyworm spodoptera latifascia walker 1856 (Noctuidae, Lepidoptera)," Brazilian Journal of Zoology, vol. 1, no. 3, pp. 177-182, 1982.  https://doi.org/10.1590/s0101-81751982000300007 .

[24]       M. Hilker and T. Meiners, "Chemoecology of insect eggs and egg deposition," Physiol Entomol, vol. 28, no. 2, pp. 154–154, 2003.

[25]       C. Barfield and T. Asley, "Effects of corn phenology and temperature on the life cycle of the fall armyworm spodoptera frugiperda ( Lepidoptera: Noctuidae ) Author ( s ): C . S," Barfield and T . R . Ashley Published by: Florida Entomological Society Stabl, vol. 70, no. 1, pp. 110–116, 2010.  https://doi.org/10.2307/3495097

[26]       P. Milonas and M. Savopoulou-Soultani, "Development, survivorship and reproduction of adoxophyes orana (Lepidoptera: Tortricidae) at constant temperatures," Annals of the Entomological Society of America, vol. 93, no. 1, pp. 96-102, 2000.  https://doi.org/10.1603/0013-8746(2000)093[0096:dsaroa]2.0.co;2

[27]       M. Schlemmer, "Effect of temperature on development and reproduction of spodoptera frugiperda (Lepidop: Noctuidae)," Doctoral Dissertation, North-West University, 2018.

[28]       C. C. Truzi, N. F. Vieira, J. M. De Souza, and S. A. De Bortoli, "Artificial diets with different protein levels for rearing spodoptera frugiperda lepidoptera: Noctuidae," Journal of Insect Science, vol. 21, no. 4, pp. 1–7, 2021.  https://doi.org/10.1093/jisesa/ieab041

[29]       C. Rios-Velasco, G. Gallegos-Morales, J. Cambero-Campos, E. Cerna-Chávez, M. C. Del Rincón-Castro, and R. Valenzuela-García, "Natural enemies of the fall armyworm spodoptera frugiperda (Lepidoptera: Noctuidae) in coahuila méxico," The Florida Entomologist, vol. 94, no. 3, pp. 723-726, 2011.  https://doi.org/10.1653/024.094.0349

[30]       M. Bell and C. Romine, "Heliothis virescens and H. Zea (Lepidoptera: Noctuidae): Dosage effects of feeding mixtures of bacillus thuringiensis and a nuclear polyhedrosis virus on mortality and growth," Environmental Entomology, vol. 15, no. 6, pp. 1161-1165, 1986.  https://doi.org/10.1093/ee/15.6.1161

[31]       C. M. Kalleshwaraswamy, M. S. Maruthi, and H. B. Pavithra, "Biology of invasive fall army worm spodoptera frugiperda (JE Smith)(Lepidoptera: Noctuidae) on maize," Indian Journal of Entomology, vol. 80, no. 3, pp. 540-543, 2018.  https://doi.org/10.5958/0974-8172.2018.00238.9

[32]       N. L. Pencoe and P. B. Martin, "Development and reproduction of fall armyworms on several wild grasses," Environmental Entomology, vol. 10, no. 6, pp. 999-1002, 1981.  https://doi.org/10.1093/ee/10.6.999

[33]       H. Dahi, S. Salem, W. Gamil, and H. Mohamed, "Heat requirements for the fall armyworm spodoptera frugiperda (J. E. Smith) (Lepidoptera: Noctuidae) as a new invasive pest in egypt," Egyptian Academic Journal of Biological Sciences, vol. 13, no. 4, pp. 73–85, 2020.  https://doi.org/10.21608/eajbsa.2020.120603

[34]       K. Ekien, "Biological parameters of diachasmimorpha tryoni ( Hymenoptera: Braconidae ) in the presence of the host bactrocera dorsalis ( Diptera : Tephritidae ) pests of," Mango in Ivory Coast, vol. 4, no. 4, pp. 453–457, 2016.

[35]       C. L. Ossey, "Seasonal variation of the population of ootheca mutabilis sahlberg ( Coleoptera : Chrysomelidae ) on the cowpea ( Vigna unguiculata L .) in Adzopé," South of Ivory Coast, vol. 5, no. 4, pp. 264–270, 2017.

[36]       G. Srasvan Kumar, S. Raju, and S. Y. Kattula, "Impact of abiotic factors on the population fluctuations of sucking insect pests on okra (Abelmoschus esculentus L.)," Journal of Entomology and Zoology Studies, vol. 5, no. 3, pp. 1258-1263, 2017.

[37]       R. Barrientos, A. Barbosa, F. Valera, and E. Moreno, "Temperature but not rainfall influences timing of breeding in a desert bird the trumpeter finch bucanetes githagineus," Journal of Ornithology, vol. 148, no. 4, pp. 411-416, 2007.  https://doi.org/10.1007/s10336-007-0149-x

[38]       E. Tendeng, B. Labou, M. Diatte, S. Djiba, and K. Diarra, "The fall armyworm spodoptera frugiperda (JE Smith) a new pest of maize in Africa: Biology and first native natural enemies detected," International Journal of Biological and Chemical Sciences, vol. 13, no. 2, pp. 1011-1026, 2019.  https://doi.org/10.4314/ijbcs.v13i2.35

[39]       A. Ali and R. G. Luttrell, "Survival of fall armyworm (Lepidoptera: Noctuidae) immatures on cotton," Florida Entomologist, vol. 73, no. 3, pp. 459-465, 1990.  https://doi.org/10.2307/3495462

[40]       S. Ning, W. Zhang, Y. Sun, and J. Feng, "Development of insect life tables: Comparison of two demographic methods of delia antiqua (Diptera: Anthomyiidae) on different hosts," Scientific Reports, vol. 7, no. 1, pp. 1-10, 2017.  https://doi.org/10.1038/s41598-017-05041-5

[41]       A. Golizadeh, K. Kamali, Y. Fathipour, and H. Abbasipour, "Effect of temperature on life table parameters of plutella xylostella (Lepidoptera: Plutellidae) on two brassicaceous host plants," Journal of Asia-Pacific Entomology, vol. 12, no. 4, pp. 207-212, 2009.  https://doi.org/10.1016/j.aspen.2009.05.002

[42]       M. Bahar, J. Soroka, L. Grenkow, and L. Dosdall, "New threshold temperatures for the development of a North American diamondback moth (Lepidoptera: Plutellidae) population and its larval parasitoid diadegma insulare (Hymenoptera: Ichneumonidae)," Environmental Entomology, vol. 43, no. 5, pp. 1443-1452, 2014.  https://doi.org/10.1603/en14055

[43]       F. Mehrkhou, A. A. Talebi, S. Moharramipour, and V. H. Naveh, "Demographic parameters of spodoptera exigua (Lepidoptera: Noctuidae) on different soybean cultivars," Environmental Entomology, vol. 41, no. 2, pp. 326-332, 2012.  https://doi.org/10.1603/en10255

Views and opinions expressed in this article are the views and opinions of the author(s), International Research Journal of Insect Sciences shall not be responsible or answerable for any loss, damage or liability etc. caused in relation to/arising out of the use of the content.