Index

Abstract

Adoption and use of e-commerce technologies continue to rise because they provide access to global markets, offer a competitive advantage and increase the effectiveness of businesses. Safety and trust are important factors that affect users' intentions and use of e-commerce technologies. Considering the upsurge of cyber-crime activities and the paucity of research in this domain particularly in developing countries, this paper investigated how cyber-crime perceptions affect users' intention to conduct business via e-commerce technologies. Using a survey approach, an online questionnaire was distributed and data from 476 participants was rigorously analyzed using Partial Least Square Structural Equation Modelling. The paper extends the theory of reasoned action with relevant constructs; trust and cyber-crime perceptions. The relationships between the constructs were based on deductive reasoning from prior studies. The hypothesized model explained 33.1% of the variance in Attitude Towards Behavior and 41.5% of Consumers Intention to Purchase.   The results indicate that trust in internet medium, attitude towards behavior, subjective norm and cyber-crime perceptions are significant predictors of intention to purchase using e-commerce. There was, however, no significant relationships between Trust of Ecommerce Sellers and Cyber Crime Perceptions as well as Trust of Ecommerce Sellers and Consumers Purchase Intention.  The findings elucidate businesses and stakeholders on the impacts of   trust and cyber-crime perceptions on users' purchase intentions. It also inspires e-commerce technology developers to incorporate security features that reduce the vulnerability of these systems. Finally, the findings for this study are limited to respondents from Ghana hence future analysis could explore other countries.

Keywords: Cyber-crime, Electronic commerce, Intention to purchase, Theory of reasoned action, Trust, Consumer behavior.

Received: 8 March 2019 / Revised: 11 April 2019 / Accepted: 17 May 2019/ Published: 6 August 2019

Contribution/ Originality

This study is one of the very few studies which have investigated the effects of cybercrime on e-commerce technologies from the perspective of a developing country. In fact, the first study in Ghana, which attempts to examine consumers’ perception of cybercrime on their purchase intentions using electronic commerce technologies.


1. INTRODUCTION

Globally, the web and the Internet provide an essential medium for facilitating e-commerce transactions and technologies. E-commerce offers a lot of opportunities to businesses from small and medium scale enterprises (SMEs) to large scale industries [1]. Since there are differences in the nature of market operations as well as resource strengths, the adoption and integration paths of ecommerce technologies by firms in their business operation also differs [2]. Ecommerce technology adoption is speedily increasing and this has opened avenues for cyber-crime activities [3]. E-commerce technologies and their associated transactions are growing due to the rapidly evolving Internet users across the globe [4]. The global Internet usage was projected to reach 3 billion people by 2015, following an increase from 361 million in 2000 to 1.97 billion in 2010 [4]. Ghana has witnessed increased usage of Internet over some time now. Internet users in Ghana reached two million in 2011 [5] and over 10 million in 2016 [6].

Extensive use of the Internet affects e-commerce businesses [7]. According to [8] “e-commerce is defined as the use of information technology, including the Internet, computer, and other electronic devices, for buying, selling, transferring, and exchanging products, services, or information”. Internet has facilitated the growth in the use of e-commerce thereby allowing many firms to adopt various e-commerce models [9]. Businesses believe that the use of e-commerce offers numerous opportunities and advantages to their operations [7, 10]. Globally, ecommerce transactions are faster and has become the preferred means of transacting business internationally as compared to traditional or physical business [10]. Rapid Internet usage and powerful handheld devices as well as tremendous advancement of technology remain the major factors contributing to the evolution of e-commerce technologies [11]. The merits associated with the use of e-commerce include access to global and international marketplace, reduction in cost of operation, mass customization, high rate of competitive advantage and trading 24 hours in e-commerce [12]. According to Yu and Wu [13] e-commerce offers opportunities for firms to save time and also become cost effective. As a result, e-commerce has positive effects on businesses as it increases the effectiveness of business operations and enhances financial performance [12].

E-commerce transactions must be safe for both sellers and buyers. In using the internet for business transaction, trust is considered important and significant indicator [8]. According to Hawkins, et al. [14] the openness of the Internet mediumallows everyone access, creating an open medium for cyber-crime activities. Furthermore, anonymity on the Internet hides the intentions of cyber-criminals [15] thus, making it more challenging to address cyber-crime activities. In essence, business transactions involving the use of the Internet poses significant threats or risks to both customers and vendors alike if the necessary security measures are not put in place Patel, et al. [16]. Leena [1] defines cyber-crime as the threats caused by irresponsible actions perpetrated by internet users who take the advantage of the vulnerabilities associated with the computer networks as well as the internet medium to perpetrate crime. Cyber-crime is often perpetrated by organized groups [17] with the potential of resulting in large magnitude of losses. In the United States alone, financial losses as a result of cyber-crime activities increased from $52.5 million in 2006 to $67 million in 2007 [18]. Losing money through Internet purchases due to cyber-crime affects both businesses and customers. It also widens the digital divide and destroys the information infrastructure [19, 20]. Indeed Boateng, et al. [21] suggests that e-commerce activities have the potential to stall development in less advanced countries.

Internationally, cyber-crime and other criminal activities are on the rise. It is believed that most of these activities originate from West Africa, particularly Nigeria Smith, et al. [22]. Warner [23] attributes the increasing cyber-crime activities to the inability of security agencies to have the necessary legal framework to deal with perpetrators. This could be due to the diverging views on prosecution of cyber criminals [24]. The major challenge has been the application of the law of jurisdiction [25]. Currently, there are major debates about how cybercrime perpetrators should be punished.  Whereas some school of thought believed it should be the country where the internet service provider is located, others think it should be according to the laws of the country where the website is located with others also advocating for the person to be punished according to the laws of the country where the crime was committed [25]. 

Rupert [26] presents a different perspective. Rupert [26] opines that the challenges in dealing with cyber-crime activities originate from perceived loss of reputation. Specifically, individuals and institutions are failing to report cyber-crime cases to authorities because of potential loss of reputation and concerns over public confidence in their systems [26]. In Ghana, most of these cases come to bear when foreigners are defrauded. Cyber-crimes associated with the transaction of business on the Internet reduces customer’s trust which make potential customers reluctant to conduct business using e-commerce technologies [8].

Crimes mostly associated with the use of the Internet include fraudulent sales online, electronic fund transfer, identity theft/crimes, advance fee schemes and fraudulent investment Clough [27]. Warner [23] identifies false identification, fake gold dealings and credit card fraud known in Ghana as “sakawa” as the three main cyber-crime activities. The risk associated in conducting business through the Internet continues to be a source of worry to many due to the activities of cyber-crime. Therefore, for successful business transactions using the Internet, measures must be in place to safeguard the security of both customers and businesses. Many less developed countries have made significant strive towards the adoption of e-commerce technologies and transactions. However, notorious computer users continue to take advantage of the vulnerabilities associated with the Internet medium and computer networks to perpetrate crimes against users [23]. Perpetrators of cyber-crime identify weaknesses and vulnerabilities in e-commerce technologies, exploit the weaknesses and take advantage of victims using various means [16].

Studies examining consumers purchase intentions through the use of e-commerce and their cybercrime perceptions are limited. Perceived risk remains the most used construct that examine the purchase intention of e-commerce consumers [28-31]. This present study employs cyber-crime perceptions derived from perceived risk [32] and fear of crime [33]. A lot of studies conducted on the consumer purchase intention using ecommerce were predominantly done across Europe and the United States. Therefore, it is important to test if concepts validated in these countries are applicable to countries where e-commerce is gradually emerging.
Gefen, et al. [34] have highlighted the need to investigate the effects of trust on e-commerce activities particularly within a social context. An empirical study conducted by Murphy and Blessinger [30] examined consumers’ intention to purchase through e-commerce. Murphy and Blessinger [30] study re-examined commitment trust theory and found that trust and commitment positively affect consumers’ purchase intention. Kim, et al. [29] also examined consumers’ purchase intention and e-commerce technologies and found that trust and benefits positively affect consumers’ purchase intention, risk negatively affects purchase intention and trust negatively influence risk. Dai and Palvi [28] conducted a cross country study in China and USA to examine customers’ intention to use mobile commerce. The study found that consumers’ intention to purchase using mobile commerce in China is influenced by subjective norm, perceived ease of use, and perceived usefulness, whereas perceived innovativeness, compatibility, ease of use and perceived usefulness are the determinants of the use of mobile commerce in USA. Consumers’ intention to re-purchase through e-commerce technologies was examined by Zhang, et al. [35]. The study revealed that quality online relationship and perceived usability of website are predictive indicators of consumers’ re-purchase intention. Yang, et al. [31] further conducted a study to investigate mobile payment system adoption. The study results showed that behavioral intention to pay using mobile payment system is negatively influenced by perceived risk and perceived fees.

Although some of these studies acknowledge the different dimensions of trust, most of them have adopted either customer trust in vendors [10] or trust in Internet [30]. Thus, research that integrates the two dimensions of trust is scarce. Other studies have also predominantly examined e-commerce activities either focusing on specific vendors [36] or from an institutional perspective [10]. Currently, research that discusses country specific cyber-crime perception and its influences on purchase intention is scarce [2]. This paper extends the Theory of Reasoned Action (TRA) proposed by Davis, et al. [37] and integrates models such as cyber-crime perception, trust of sellers and trust of Internet medium with the relevant constructs of TRA. The question this research seeks to address is how cyber-crime perceptions and the various dimensions of trust affect users’ intention to use e-commerce technologies for transactions. We adopt TRA because it is one of the most used theories in the field of e-commerce that has successfully been used to explain and predict users’ behavior. In doing so, we attempt to answer the calls for investigations into country-specific cyber-crime and e-commerce activities. Our findings will enlighten stakeholders on the extent to which the proposed relationships affect users’ purchase intention. 

2. THEORETICAL FRAMEWORK

This study adopted the Theory of Reasoned Action (TRA) as the theoretical foundation underpinning the research. TRA is considered as one of the three most classic theories of persuasion. The theory is used to explain the relationship between attitude and behavior in humans and is also used to predict how individuals behave based on their pre-existing attitudes and behavioral intentions. Fishbein and Ajzen [38] believed that attitude towards behavior and subjective norm are the two basic determinants on intent. Behavioral intention is the likelihood and willingness to perform certain behavior [35]. According to Cohen, et al. [39] attitude is measured by people’s belief that a behavior leads to some outcome which can be favorable or unfavorable. Subjective norms however, is the degree to which a person thinks that the importance of other people influence their behavior [40]. TRA has been employed in many studies that examine decision making processes, including online shopping intention Chuchinprakarn [41] M-commerce adoption [42] and online purchase intention [43]. Figure 1 shows the detail indicators of the theory of reasoned action (TRA).

Figure-1. Thoery of Reasoned Action

Source: Davis, et al. [37].

3. METHODS

3.1. Conceptual Model

The conceptual model proposed in this study integrates cyber-crime perceptions, trust of the Internet medium and trust of sellers using the Theory of Reasoned Action [38].

Figure-2. Conceptual Framework.

Source: Authors’ Construct, 2018.

Trust of sellers comprises three dimensions including: ability, benevolence and integrity [44] whereas trust of the Internet medium consists of understanding of the medium, reliability and technical competence [45]. The proposed model postulates that cyber-crime perceptions, trust of sellers and trust of Internet medium directly affect attitude towards behavior and e-commerce purchase intention. Furthermore, it is suggested that subjective norm and attitude towards behavior influence e-commerce purchase intention. Hypotheses are therefore postulated based on this conceptual model, to test the relationships between the constructs. Figure 2 illustrates the conceptual model for the study.

3.2. Hypothesis Formulation

Trust remains a critical antecedent that influences many businesses. Trust demonstrates partners’ commitment to trust business contract Lee, et al. [46]. Koranteng, et al. [47] argue that, the fear of being exploited by others is eliminated when trust exists between individuals. Thus, confidence in business relationship in increased by trust and plays a significant role in the quality and nature of business transactions that often exist between sellers and buyers Lee [48]. Tung, et al. [49]; Refaat El Said and Galal-Edeen [50] and Kim, et al. [29] have all demonstrated that trust of sellers positively influences e-commerce purchase intention. Therefore, hypothesis one is formulated as follows:
Hypothesis 1: Trust of e-commerce sellers positively affects e-commerce consumers’ purchase.

Customers’ desire to use electronic commerce technologies for business transaction is significantly influenced by the role of technology. Technology remains an important precursor in encouraging and facilitating customers’ business transactions through the use of ecommerce technologies. However, there is hesitation on the part of many people to transact business using ecommerce technologies due to lack of trust with the Internet medium Kaplan and Nieschwietz [51]. Tung, et al. [49] have also pointed out that trust of a system positively influence the decision to use electronic logistics information systems. This therefore, means that if trust is achieved or maintained, customers will be comfortable in transacting business using online or e-commerce. Therefore, second hypothesis is stated as follows:
Hypothesis 2: Trust of the Internet medium positively impacts consumers e-commerce purchase intention. 

Perceived risk poses great obstacles to the successful execution of e-commerce transactions. Due to risk, customers are not willing to conduct business or purchase items on the Internet using e-commerce technologies. Kim, et al. [29] opined that, perceived risks negatively impact consumers’ intention to purchase using online technologies. Fear of crime on the online environment also contributes negatively to e-commerce transactions [52]. The perception of people that crime will be committed against them through their online purchases will prevent them from engaging in online transactions. Hypothesis three is therefore postulated as follows:
Hypothesis 3: Cyber-crime perceptions negatively impacts consumers’ intention to purchase through e-commerce.

Attitude toward behavior’ is explained in the e-commerce adoption as the evaluation of a person’s desire to transact business through the use of e-commerce technology. Several studies previously conducted have revealed that ‘attitude towards behavior’ positively impact online purchase intentions. Chen and Li [53] found that ‘attitude towards behavior’ has a positive influence on the intention to use e-services. Other studies that have shown positive relationship between attitude and purchase intention include Kim, et al. [29]; Refaat El Said and Galal-Edeen [50], Crespo and del Bosque [54] and Yu and Wu [13]. This study therefore formulates hypothesis four as follows:
Hypothesis 4:  ‘Attitude towards behavior’ positively influences consumers’ e-commerce purchase intention.

Applicability of subjective norms in e-commerce stem from the perceived social pressure pertaining to conducting business using e-commerce [4]. In e-commerce technologies, numerous studies have demonstrated that subjective norms positively influence the intention to transact business through the use of e-commerce technologies. Several researches conducted in the past have shown a positive association between subjective norm and the consumer’s ecommerce technologies purchase intention [54, 55]. In addition, Yu and Wu [13] in their study empirically demonstrated that, a positive relationship exists between subjective norm and purchase intentions. Hypothesis five is there formulated as follows:
Hypothesis 5:  Customers’ subjective norm positively impacts consumers’ e-commerce purchase intentions.

The trust of the seller in e-commerce transaction is an important factor influencing individuals’ attitude to purchase using online services. In China and the USA, evidences by previous studies suggest the effect of trust of sellers on the desire of consumers to purchase or transact business using electronic business services [56]. This therefore, means that, as consumers trust in online sellers’ increases, their attitudes towards behavior of online purchases also increases. In an empirical study of consumers ecommerce purchase intention which conducted by Refaat El Said and Galal-Edeen [50] the study results showed that the trust of e-commerce sellers have a positive impact on the behavioral attitude intention to purchase through online means. Hypothesis six therefore, is stated as follows:
Hypothesis 6: Trust of e-commerce sellers positively impacts consumers’ attitude towards behavior.

Confidence in technology and its features are imperative in influencing users’ perception and attitude. Naturally, people are reluctant to adopt technologies if they have concerns. Kaplan and Nieschwietz [51] empirically prove that customers are hesitant to perform transactions on e-commerce platforms because of the lack of trust of the Internet medium. Several previous researches have demonstrated the positive effects of consumers’ trust of technology and its influence on attitude towards e-commerce technologies [52, 57, 58]. The online behavior of consumers, their desire to engage in business activities or commerce using online technologies will be based on the trust and confidence the consumer has for the medium in which the transaction is taking place. Consumers are aware of the vulnerabilities associated with the Internet technologies, as such e-commerce consumers will prefer to transact business with vendors that have the necessary infrastructure to protect their interest whiles they are online. As consumers’ Internet medium trust increases, their attitude towards the use of e-commerce to transact business will be positively increased. In accordance with these empirical studies, hypothesis seven postulates that:
Hypothesis 7: Trust of the internet medium positively influence e-commerce consumers’ attitude towards behavior.

As stated previously, the perceived risk serves as barriers to the success of e-commerce transactions and technologies. Negative perceptions reduce individuals’ commitment and willingness to transact business using online services [4]. Studies have further demonstrated that perceived risk negatively affects customers’ attitude towards online purchases [48, 52]. Due to the continuous activities of online fraudsters and cyber fraud activities such as credit card fraud, phishing, man in the middle attacks, auction fraud, identity theft and many other online related crimes, many consumers have a negative attitude towards online transactions for fear that, they will be victims of crimes on the Internet. According to Lee [48] the negative perception of people towards online business transaction consequently has effects on the attitude to conduct business using online technologies. This therefore, means that cybercrime perceptions of e-commerce consumers negatively affect their attitude towards behavior of e-commerce technologies. This study postulates hypothesis eight as follows:
Hypothesis 8: Cyber-crime perceptions negatively impacts attitude towards behavior.

Based on the stated hypothesis, a model was therefore postulated to show the relationships between the various hypotheses that has been formulated. Figure 3 demonstrates the hypothesized model for the study.

Figure-3. Hypothesized Model.

Source: Authors’ Construct, 2018.

3.3. Data Collection

This research seeks to deductively predict users’ intention to purchase using e-commerce technologies. To be able to draw a generalized conclusion based on the population sample, a survey research approach was adopted to prove or otherwise the validity of the hypotheses developed [59]. Online questionnaire was adopted as the primary instruments for collecting data for study. Links to the online questionnaire was sent to Customer Relations (CR) Departments of some major companies (e.g. MELCOM Ghana Ltd and Amalina Children’s Haven) that provide e-commerce services. Customers who had conducted business with e-commerce were invited by the CR departments to answer the questionnaire through an e-mail. This method has gained popularity in recent times and have been widely used. Previous studies conducted by Hansen, et al. [60], Jensen, et al. [61], Liao, et al. [62], Murphy and Blessinger [30] and Rofiq and Mula [8] which examined similar subject in different jurisdiction all made use of online questionnaires. While this approach was to ensure the questionnaire was widely distributed, responses were only limited to Ghanaians. The period of the data collection was between June and August, 2018. Respondents who were willing to participate in the study were asked to report their opinions on a set of five-point Likert scale questions related to the factors that influence their e-commerce purchase intentions. These included: (i) Trust of the Internet Medium (TIM) (ii) Trust of E-commerce Seller (TES) (iii) Cyber-Crime perception (CCP) (iv) Customer Subjective Norm (CSN) (v) Attitude Towards Behavior (ATB) and (vi) Consumer’s E-commerce Purchase Intention (IPE). Most of the question items were adopted from prior studies (appendix one). Nonetheless, all the questions were pretested with 20 initial participants to validate their reliability with all Cronbach’s alpha values greater than 0.7. The questionnaire also queried respondents on their demographics and their cyber-crime experiences. With a total of 467 responses received, all respondents indicated that they had used e-commerce before.

3.4. Measurement of Constructs

The study considered [63]’s recommendation for analysis of measurement model. The item reliability, internal consistency, convergent and discriminant validity were studied. All constructs were modeled as reflective and item loadings were above the 0.7 threshold [64] see Table 4. Internal consistency was analyzed using Cronbach’s Alpha and Spearman rank correlation co-efficient (rho_A). As other researcher prefer, composite reliability was also assessed Table 3. Convergent validity was measured using Average Variance Extracted (AVE) as suggested by Wixom and Watson [65]. Discriminant validity was measured by comparing the square root of AVE of a latent variable against correlations with other latent variables [66]. The possibility of multicollinearity was also evaluated using Variance Inflation Factor (VIF).

4. DATA ANALYSIS AND RESULTS

4.1. Demographics of Participants

A total of 476 responses were analyzed after about two month of data collection. Of the convenience sample (N=476), 82.4% were male and 17.6% were female. Majority (75.6%) were below 30 years, 22.7% were between 30 and 50 years whilst only 1.7% were above 50. All respondents were literates with majority (74%) having a bachelor’s degree and the remaining (26%) with postgraduate degrees. Majority of the respondents (42.9%) were students whilst 15.1% were academics. Another 25.2% of the respondents were professional workers, however 16.87% of the respondents were self-employed, retired, worked as administrators or in other business circles. Table 1 represents the summary of demographics of the respondents.

Table-1. Demographics of Respondents.

Demographics
Value
Frequency
Percentage
Sex
 
Male
392
82.4%
Female
84
17.6%
Age
 
Below 30
360
75.6%
30 – 50
108
22.7%
Above 50
8
1.7%
Education
 
Postgraduate
124
26%
Undergraduate
352
74%
Occupation
 
Student
204
42.9%
Academic
72
15.1%
Profession
120
25.2%
Other
80
16.8%

Source: Field Data, 2018.

4.2. Cyber-Crime Experience

The study also seeks to uncover the most prevalent cyber-crime activities hence, respondents’ cyber-crime experiences were also analyzed. The results reveal that counterfeit cashier’s cheque was least prevalent with none of the respondents experiencing such incidents. However, spam was the most common among respondents with about 40% having experienced such crime. This was followed by investment fraud where about 18% reported to have experienced such incidents. Other notable cybercrime experiences of the respondents were credit card fraud, auction fraud, identity theft and phishing. These are the experiences that shape consumers behavior to transact business using electronic commerce technologies. Figure 4 presents a graphical representation of respondents’ cyber-crime experiences.

Figure-4. Respondents’ cyber-crime experience.

Source: Field Data, 2018.

Table-2. Results showing the Test of Normality.

Variable
Missing
Mean
Standard Deviation
Minimum
Maximum
Excess Kurtosis
Skewness
TES1
0
1.899
0.679
1
4
0.967
0.618
TES2
0
2.429
0.875
1
5
0.549
0.488
TES3
0
2.336
0.802
1
4
-0.198
0.401
TES4
0
2.168
0.99
1
5
-0.029
0.549
TES5
0
2.429
1.001
1
5
0.399
0.734
TES6
0
2.403
0.955
1
5
0.566
0.632
TES7
0
2.605
0.891
1
5
0.061
0.364
TIM1
0
2.218
0.927
1
5
0.747
0.829
TIM2
0
2.487
0.906
1
5
-0.127
0.381
TIM3
0
2.286
0.779
1
4
0.067
0.526
TIM4
0
2.588
1.126
1
5
-0.482
0.368
TIM5
0
2.504
1.011
1
5
0.306
0.679
CCP1
0
1.429
0.602
1
3
0.201
1.098
CCP2
0
1.588
0.679
1
3
-0.586
0.736
CCP3
0
1.798
0.784
1
5
1.22
0.905
CCP4
0
1.513
0.592
1
3
-0.472
0.688
CCP5
0
1.395
0.583
1
3
0.446
1.193
CSN1
0
2.605
0.891
1
5
0.061
0.364
CSN2
0
2.218
0.927
1
5
0.747
0.829
CSN3
0
2.025
0.783
1
4
-0.31
0.381
CSN4
0
2.084
0.784
1
4
-0.209
0.379
ATB1
0
1.832
0.781
1
4
0.2
0.735
ATB2
0
2.21
0.849
1
4
-0.678
0.165
ATB3
0
2.025
0.783
1
4
-0.31
0.381
ATB4
0
2.084
0.784
1
4
-0.209
0.379
ATB5
0
2.462
1.002
1
5
-0.392
0.333
IPE1
0
2.126
0.894
1
4
-0.985
0.176
IPE2
0
2.143
0.813
1
5
0.586
0.587
IPE3
0
2.034
0.859
1
5
0.164
0.579
IPE4
0
2.143
0.981
1
5
0.373
0.789
IPE5
0
2.328
0.988
1
5
0.866
0.94
IPE6
0
2.681
1.144
1
5
-0.535
0.347

Source: Field Data, 2018.

4.3. Model Estimation

The results as shown in Table 1 indicate that the missing value for all 32 indicators is zero. This means that all 476 respondents who participated in the survey completed the questions perfectly. Missing data does not exist and as such further treatment for missing data is not required. The initial model consisted of six constructs and 32 indicators. The six constructs included: (i) Trust of the Internet Medium (TIM) (ii) Trust of E-commerce Seller (TES) (iii) Cyber-Crime Perceptions (CCP) (iv) Customer Subjective Norm (CSN) (v) Attitude Towards Behavior (ATB) and (vi) Consumer E-commerce Purchase Intention (IPE). The construct comprises of different indicators. TES consists of seven indicators (TES1 to TES7), TIM consists of five indicators (TIM1 to TIM5), CCP comprises of five indicators (CCP1 to CCP5), CSN comprises of four indicators (CSN1 to CSN4), ATB has five indicators (ATB1 to ATB5), and IPE made of six indicators (IPE1 to IPE6).

In order to ensure the accuracy of the data for further analysis, the test of normality was conducted. The Partial Least Square (PLS) analysis of the data shows absolute kurtosis values range from 0.029 (TES4) to 1.22 (CCP3) and the absolute skewness values also range from 0.165 (ATB2) to 1.193 (CCP5) Table 1. The maximum kurtosis value achieved from the test was 1.22 while the test achieved a maximum skewness value of 1.193. From the rule of thumb pertaining to the values obtained for kurtosis and skewness, the rule suggests that kurtosis value greater than 10 and skewness value greater than 3 give indication that the data distribution is not normalized [67]. Based on the kurtosis value and skewness value obtained in this study, the assumption of normally distributed data is achieved; hence PLS-SEM analysis of measurement model and structural models were estimated. Table 2 shows detailed analysis of normality.

4.4. Model Validation

Partial Least Square Structural Equation Modeling (PLS-SEM) was used in the evaluation of the hypothesized model. The PLS-SEM approach provides potent techniques for validating the measurement model and also for the estimation of the structural model. Thus, PLS is effective for observing the relationship between latent variables [68]. According to Hair, et al. [69] PLS is appropriate for research that extends existing theory and in situations where the research goal is to predict the effects of target constructs. Moreover, unlike other covariance based techniques PLS is robust to errors from a multivariate distribution [70]. PLS requires that the sample size should be ten times larger than the number of structural paths directed at a target construct in a structural model hence, suitable for this study. After initial model estimation, seven indicators did not meet the minimum threshold of 0.7 [71]. These indicators were TIM = 0.416, TES1 = 0.198, TES7 = 0.254, CCP3 = 0.443, ATB5 = 0335, IPE1 = 0.196 and IPE4=0.359. The seven indicators that did not meet the threshold were deleted. After deleting the seven indicators, model re-estimation was done and the result is shown in Table 6 as the final item loadings indicating that all the constructs and indicators met the reliability requirement of 0.7. The results as shown in Table 3 also indicate that all AVE values were above the 0.5 requirement [72]. The highlighted diagonal elements in Table 3 indicate that the square roots of AVEs of the latent variables were greater than the correlations with other latent variables.

Table-3. Construct Validity and Reliability.

Construct
CA
CR
VIF
AVE
TIM
TES
CCP
CSN
ATP
IPE
TIM
0.801
0.870
1.389
0.626
0.791
TES
0.850
0.893
1.388
0.625
0.185
0.791
CCP
0.869
0.903
1.046
0.701
0.620
0.142
0.806
CSN
0.842
0.901
1.023
0.721
0.533
0.315
0.114
0.819
ATB
0.873
0.913
1.496
0.725
0.353
0.000
0.257
0.236
0.837
IPE
0.818
0.881
1.747
0.650
0.543
0.025
0.476
0.108
0.529
0.791

Note: CA, Cronbach’s Alpha; CR, Composite Reliability, VIF, Variance Inflation Factor (full collinearity).
Source: Field Data, 2018.

As Henseler, et al. [73] prefer, the discriminant validity was also evaluated using Heterotrait-Monotrait Ratio (HTMT) scale. The entries in Table 4 as shown diagonally demonstrates the constructs that met the maximum threshold of 0.85 as suggested by Clark and Watson [74]. Finally, the possibility multicollinearity was measured using Variance Inflation Factor (VIF). Hair, et al. [69] suggests that VIF values for all constructs must be below 3. The results in Table 5 indicate that multicollinearity did not affect the findings.

Table-4. Discriminant Validity Testing with Heterotrait-Monotrait Ratio (HTMT).

Construct
ATB
CCP
IPE
TES
ATB
CCP
0.193
IPE
0.726
0.197
TES
0.413
0.085
0.308
TIM
0.644
0.143
0.583
0.630

Source: Field Data, 2018.

Table-5. Multicollinearity Testing using Variance Inflation Factor (VIF) Values.

Construct
ATB
IPE
TES
ATB
1.496
CCP
1.001
1.046
IPE
TES
1.388
1.402
TIM
1.389
1.747
1.000

 Source: Field Data, 2018.

Table-6. Final Item Loadings.

Constructs and Indicators
Item Loadings
rho_A
Cronbach’s Alpha
Trust of Internet Medium
0.803
0.801
  • TIM1 (Technically handle transaction)
0.752
  • TIM2 (Properly protect transactions)
0.810
  • TIM3 (Detect any fraudulent activities)
0.811
  • TIM5 (Offers secured platform)
0.791
Trust of E-commerce Seller
0.856
0.850
  • TES2 (Vendors have my best interests)
0.720
  • TES3 (Follow acceptable business practices)
0.784
  • TES4 (Repurchase from past vendors)
0.820
  • TES5 (Vendors protect my transaction)
0.793
  • TES6 (Vendors deliver my purchases on time)
0.831
Cyber-Crime Perception
0.957
0.869
  • CCP1 (Serious problem in society)
0.757
  • CCP2 (Detrimental in e-commerce transaction)
0.879
  • CCP4 (Threat to everyone in e-commerce)
0.850
  • CCP5 (Loss of money and other valuables)
0.857
Customers Subjective Norms
0.896
0.842
  • CSN1 (Expectation from people I know)
0.865
  • CSN2 (People’s influence on my behavior)
0.884
  • CSN3 (Influence from important people)
0.829
  • CSN4 (Influence from valuable people)
0.812
Attitude Towards Behavior
0.876
0.873
  • ATB1 (Like purchasing with e-commerce)
0.843
  • ATB2 (Purchase is a wise idea)
0.875
  • ATB3 (Purchase is a good idea)
0.898
  • ATB4 (Purchase is a positive experience)
0.787
Consumer’s E-commerce Purchase Intention
0.826
0.818
  • IPE2 (Recommendation to others)
0.888
  • IPE3 (Repurchase using the Internet)
0.799
  • IPE5 (Repurchase from different vendors)
0.815
  • IPE6 (Choose Internet purchase over traditional vendors)
0.713

Source: Field Data, 2018.

4.5. Structural Model

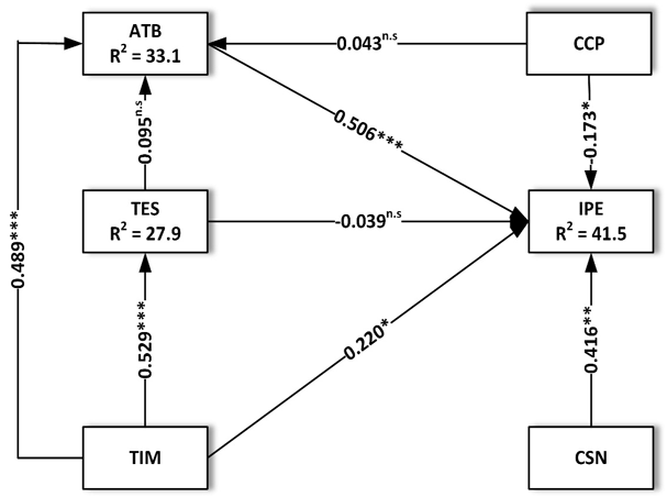
The bootstrapping technique was adopted to assess the structural model. According to Kock [75] the technique is appropriate for analyzing data a larger sample size. Specifically, sample size greater than 100 has been found to be more suitable for such analysis. The hypothesized model indicating R-squared and path coefficients is shown in Figure 5. Path coefficients were significant if the p-values were less than 0.05.

From Figure 5 TIM explained 27.9% of the variance in TES. TIM, TES and CCP jointly explained 33.1% of the variance in ATB. Similarly, TIM, TES, CCP, CSN and ATB together accounted for 41.5% of the variance in IPE. TIM strongly predicted TES (p-value: 0.000). Similarly, the relationship between TIM and ATB was significant with p-value of 0.000. However, TES, as well as CCP did not significantly predict ATB (p-value: 0.198; 0.286 respectively). Surprisingly, TES did not have a statistically significant influence on IPE (p-value: 0.361). ATB had the strongest impact on IPE with p-value of 0.000. CSN and CCP also had significant relationship with IPE (p-value = 0.001; 0.028 respectively). There was also a significant relationship between TIM and IPE (p-value: 0.031).  Table 7 also shows the significance of path coefficients.

Table-7. Significance of Path Coefficients.

Construct
Original Sample (O)
Sample Mean (M)
Standard Deviation (STDEV)
T Statistics (|O/STDEV|)
P Values
TIM -> TES
0.529
0.541
0.080
6.612
0.000
TIM -> ATB
0.489
0.492
0.098
4.971
0.000
TES -> ATB
0.095
0.086
0.112
0.849
0.198
CCP -> ATB
0.043
0.051
0.080
0.536
0.296
TIM -> IPE
0.220
0.211
0.118
1.871
0.031
TES -> IPE
-0.039
-0.044
0.110
0.355
0.361
CCP -> IPE
-0.173
-0.180
0.091
1.915
0.028
CSN -> IPE
0.416
0.420
0.093
4.25
0.001
ATB -> IPE
0.506
0.510
0.085
5.937
0.000

Note: Boldface items are significant relationships.
Source: Field Data, 2018.

Further analysis was performed to evaluate the total effects and effect sizes (Cohen’s f 2).  Stone-Geisser (Q2) is also tested since some researchers prefer that approach to R-squared [76]. The results in Table 8 reveal that the Q2 of all constructs were greater than zero thus, proving their validity. However, effect size was measured according to Cohen [77]’s criteria. The researcher posits that effect size is either irrelevant (<0.02); small (0.02); medium (0.15) or large (0.35). Table 8 indicates that the effect size of TIM on TES was the strongest (0.338). The effect sizes of TES and CCP on ATB was less than 0.02 hence irrelevant. However, the effect size of TIM was medium (0.257). ATB, CCP and CSN had moderate effect sizes on IPE (0.293; 0.203; 0.218 respectively). Moreover, the effect sizes of TIM and TES on IPE were all small (0.048; 0.002; 0.003 respectively).

Table-8. Total Effect with Effects Size (Cohen’s f 2) and Stone-Geisser Q2.

 
TIM
TES
CCP
ATB
IPE
Q2
TIM
0.529
0.388
0.539
0.257
0.473
0.048
TES
0.095
0.010
0.009
0.002
0.153
CCP
0.073
0.005
0.231
0.203
CSN
 
0.506
0.218
0.198
ATB
0.506
0.293
0.222
IPE
0.229

Notes: Bold-face items represent total effect; Underlined items represent effect sizes.
Source: Field Data, 2018.

Figure-5. PLS Analysis of Structural Model.a

Notes: p***< 0.001; p**<0.005; p*<0.05; pn.s– non-significant.

4.6. Hypothesis Testing

The hypothesis of the study results can therefore be tested based on the estimation and structural models. H1 posits that Trust of e-commerce sellers positively affects e-commerce consumers’ purchase intention”. A path coefficient of β = -0.039 at p-value = 0.361 was achieved from the structural model estimation between trust of e-commerce sellers and consumers e-commerce purchase intention. Owing to the fact that, the coefficient is negative and the p-values is more than 0.05, it shows, trust of e-commerce sellers have a negative impact on consumer’s e-commerce purchase intention. The hypothesis is therefore REJECTED.
H2 states that “Trust of the internet medium positively impacts consumers’ e-commerce purchase intention”. The results show a path coefficient of   β = 0.220 at p-value < 0.05 between Internet medium trust and consumers’ e-commerce purchase intention .A positive coefficient and p-value less than 0.05 is an indication that, Internet medium trust positively and significantly affect consumers’ e-commerce intention to purchase. The results generally mean that as consumers trust in the medium use to transact business increases, their desire and willingness to conduct business through the use of ecommerce technologies also increases.  Hypothesis 2 postulated in this study has been accepted and therefore SUPPORTED.
H3 posits that Cyber-crime perceptions negatively impacts consumer’s intention to purchase through e-commerce”. The structural model results show a path coefficient of   β = -0.173 at p-value < 0.05 was achieved between cyber-crime perceptions and consumers’ e-commerce purchase intention. As p-value is less than 0.05 and the path coefficient is negative, cyber-crime perceptions negatively and significantly impacts consumers’ e-commerce purchase intention. This therefore, means that as the consumers begin to think that their online business transactions can be exploited to their disadvantage, they are not likely to purchase using online. Therefore, as consumers’ cybercrime perceptions increase, their desire to transact business through e-commerce technologies also decrease. The hypothesis 3 is therefore, SUPPORTED.
H 4 stated that “Attitude towards behavior positively influence consumer’s e-commerce purchase intention”. Also, from the structural model, a path coefficient of β = 0.506 at p-value < 0.001was achieved between attitude towards behavior and consumers’ e-commerce purchase intention. The positive coefficient and the p-value being less than 0.001 show a significant and positive relationship between attitude towards behavior and consumers’ e-commerce purchase intention. This therefore, means that the behavioral attitude of the consumers to purchase using e-commerce technologies positively influences their ecommerce purchase intention. The fourth hypothesis is also accepted and therefore SUPPORTED in this study.
H 5 posits that “Customer subjective norm positively impacts consumers’ e-commerce purchase intentions.” A path coefficient of β = 0.416 at p-value < 0.005 was achieved between customers subjective norm and consumers’ e-commerce purchase intention. The results therefore, show that there is positive and significant association between customer subjective norm and ecommerce purchase intention to purchase. This is because the coefficient is positive and the p-value is less than 0.005. The hypothesis 5 is therefore, SUPPORTED.
H 6 posits that “Trust of e-commerce sellers positively impacts consumers’ attitude towards behavior”. The structural model estimation achieved a result of path coefficient of β = 0.095 at p-value = 0.198 between trust of e-commerce sellers and attitude towards behavior.  Although, the path coefficient shows a positive relationship, the p-values is more than 0.05.  Therefore, trust of e-commerce sellers does not have a significant impact on consumers’ e-commerce purchase intention. Owing to the fact that trust is based on the expectation that partners in any transaction will behave in a manner that protects the interest of each other in business transaction, consumers of e-commerce products in Ghana have developed such trust and do not consider it as a factor that influence their e-commerce transactions. The hypothesis 6 is therefore, REJECTED
H 7 also states that “Trust of the Internet medium positively influence e-commerce consumers’ attitude towards behavior”. The results as shown in the structural model indicate that the path coefficient achieved between trust of Internet medium and attitude towards behavior was β = 0.489 at p-value < 0.001. Since the p-value is less than 0.001 and the path coefficient is positive, it means that a positive and significant relationship exist. The trust of the Internet medium is perceived and interpreted by the customer therefore, a reliable, consistent and predictable trust of the Internet medium is a predicative factor for consumers to develop the attitude of transacting business through the use of e-commerce technologies.  This result therefore, means that consumers are more likely to purchase a product through an online system that they are familiar with and trust even if they are unfamiliar with the seller of the product. The hypothesis 7 is SUPPORTED.
H 8 states that “Cyber-crime perceptions negatively impacts attitude towards behavior”. The structural model estimation results between cyber-crime perception and attitude towards behavior show a path coefficient of   β = 0.043 at p-value = 0.296. Since the coefficient is positive and the p-value is more than 0.05, it means cyber-crime perception does not significantly influence attitude towards behavior. Hypothesis 8 is therefore, REJECTED. 

A summary of the results for all the tested hypotheses are shown in Table 9. This table gives an overview of the hypotheses that were supported and those that were rejected based on the structural model estimation results. Finally, the results of the hypothesis testing demonstrate that, in all 3 out of the 8 hypothesis postulated for the model were rejected whereas five of the postulated hypotheses were supported in this study.

Table-9. Summary of Hypothesis Testing.

Hypotheses
Coefficient
P-values
Remarks
Hypothesis 1:       Trust of E-commerce Sellers positively affects E-commerce Consumer’s Purchase Intention
-0.039
0.361
Rejected
Hypothesis 2:       Trust of the Internet Medium positively impacts Consumers E-commerce Purchase Intention
0.220
< 0.05
Supported
Hypothesis 3:       Cyber-Crime Perceptions negatively impacts Consumer’s Intention to Purchase through E-commerce
-0.173
< 0.05
Supported
Hypothesis 4:        Attitude Towards Behavior positively influence Consumer’s E-commerce Purchase Intention.
0.506
< 0.001
Supported
Hypothesis 5:       Customer Subjective Norm positively impacts Consumer’s E-commerce Purchase Intentions.
0.416
< 0.005
Supported
Hypothesis 6:       Trust of E-commerce Sellers positively impacts Consumer’s Attitude Towards Behavior
0.095
0.198
Rejected
Hypothesis 7:       Trust of the Internet Medium positively influence E-commerce Consumer’s Attitude Towards Behavior
0.489
< 0.001
Supported
Hypothesis 8:       Cyber Crime Perceptions negatively impacts Attitude Towards Behavior
0.043
0.296
Rejected

Source: Field Data, 2018.

5. DISCUSSION

The Theory of Reasoned Action (TRA) was adopted in this study to investigate consumers’ intention to use e-commerce technologies for transactions. Aside the independent constructs (subjective norm and attitude towards use), the study integrated trust of e-commerce sellers, cyber-crime perception, and trust of Internet medium to develop a research model. The research model was evaluated using Partial Least Square Structural Equation Modeling (PLS-SEM). While some of the proposed relationships were significant, others were not so significant. 

The outcome of the study shows that trust of sellers has no significant relationship on the intention to purchase using e-commerce. This therefore, means that e-commerce users in Ghana do not consider trust of e-commerce sellers as significant influencing factor to their decision to transact business through e-commerce technologies or platforms. Although previous studies have all found that trust of e-commerce sellers positively and significantly influence consumers’ e-commerce purchase intention Kim, et al. [29]; Refaat El Said and Galal-Edeen [50]; Liu, et al. [78]; Tung, et al. [49] the results obtained in this study show otherwise. This indicates that, Ghanaian online consumers trust e-commerce vendors to protect them in the virtual world of e-commerce as obligation of seller - buyer relationship. The e-commerce business in Ghana is emerging and not fully developed, as such consumers’ experiences with Internet purchases might not be same for those in developed countries who view sellers as important contributors in the buying process. In advanced countries, buyers may want to check the online ratings of e-commerce sellers, buyers’ experiences with vendors and the delivery time of the vendor to inform their purchase intentions. This might not be the case in less advanced countries where e-commerce is not fully developed and customers have limited knowledge about the technology. 

With regards to the Internet medium, the study results indicate that e-commerce consumers trust of the Internet medium positively and significantly impact consumers’ e-commerce purchase intention. This means that, e-commerce consumers consider the technology used by vendors as important factor that influence their online purchase intention. The security and privacy of online activities have become very important to many Internet users due to the vulnerabilities associated with the use of the Internet [79]. This finding is consistent with studies conducted by Kim, et al. [29] and Yang, et al. [31] who found that trust of Internet medium influence consumers’ online purchase intention. This means that, Ghanaian e-commerce users are well informed about the digital world and are concerned about the vulnerabilities and threats associated with Internet purchases.
E-commerce consumers consider cyber-crime as a threat to their online purchases. This explains why the study proved that cyber-crime perception negatively and significantly impact intention to purchase using e-commerce. This therefore means that as consumers’ cyber-crime perception increases, online purchases intentions decrease. Consumers therefore, become reluctant to transact business if they perceive cyber-crime to threaten their transactions.  Scholars and researchers in the field of ecommerce have in the past study the relationship between ecommerce purchase intention and cybercrime McKnight, et al. [80]; Pavlou [81]; Kim, et al. [29]; Yang, et al. [31]; Lee [48]. These previous studies found a negative association between consumers’ cybercrime perception and ecommerce purchase intention. The outcome of the study is in tandem with such previous empirical works which asserted that cyber-crime negatively influences the purchase intention of consumers. The study outcome therefore, depicts the behavioral pattern of e-commerce users with regards to their perception of cyber-crime.

Previous studies conducted by Chen and Li [53] and Liao, et al. [62] as well as Crespo and del Bosque [54] have all found that attitude towards behavior positively and significantly influences purchase intentions of e-commerce consumers. This study postulates that, people’s intentions to purchase using e-commerce are often influenced by their attitude towards online purchases. Consistent with previous studies, the study results obtained point to the fact that attitude towards behavior is antecedent predictor for intentions to purchase using e-commerce technologies. This means that, consumers are influenced by their attitude when conducting business.

Customers’ subjective norm was confirmed to positively and significantly influence e-commerce purchase intention. Subjective norms refer to social pressure from family members, friends and other respected individuals in people’s lives to either perform certain action or not. Subjective norm also basically talks about, how people’s decisions are influenced by other people they consider important in their lives. The study result shows that subjective norm is an antecedent that significantly predicts purchasing behavior of e-commerce consumers. This study results on the relationship between subjective norms and e-commerce purchase intention confirm previous studies which found subjective norm as a predicator for online shopping behavior [13, 55, 60].

The study results reveal that trust of e-commerce sellers influence consumers attitude towards behavior. This is indicative of the fact that trust of e-commerce sellers does not significantly affects consumers’ e-commerce purchase intention and as such not considered as important factor that affects consumers’ intention to purchase using e-commerce. Whereas the result supports a previous work of Rofiq and Mula [8] it deviates from many other studies conducted in different jurisdictions [50, 56, 82]. E-commerce is an emerging market in Ghana, and not well utilized by many. Also, there are limited vendors available for Ghanaian e-commerce consumers. This might have accounted for the fact that trust of sellers is not viewed as an important factor to consider when making online purchases. 

Findings from the study also suggest that, consumers attitude towards behavior is influenced by their trust in the Internet medium. This means that trust of the Internet medium significantly determines customers’ belief to transact business online.  This is perfectly consistent with empirical studies conducted previously by Rofiq, et al. [4] and Dinev, et al. [52]. This means that e-commerce consumers in less developed countries where online purchases are not well developed are just like consumers of developed countries who believe that in making online business transaction, trust associated with the Internet medium is an important considerable factor. The vulnerabilities associate with computer networks and the Internet have resulted in a lot of cyber-related crimes. These crimes are reported on the daily basis. As such, Internet users are conscious of these fraudulent activities by cyber-criminals and that make them cautious during online transactions. Notwithstanding the vulnerabilities, consumers are willing to transact business using e-commerce technologies provided their online purchases are secure and less risky.

Although, cyber-crime perception directly impacts the consumers’ e-commerce purchase intention, results from the study show that cyber-crime perceptions have no significant effects or impact on the attitude of e-commerce users in Ghana. The study confirms an empirical work of Rofiq and Mula [8] which also found that, cyber fraud perception does not influence online attitude and behavior of e-commerce consumers. However, the study deviates from previous studies which found cyber-crime as important antecedents to predict attitude towards behavior [48, 52].

6. CONCLUSION

The study adopted the Theory of Reasoned Action as a theoretical lens to explore users’ intention to purchase using e-commerce technologies. Specifically, the extent to which various dimensions of trust and cyber-crime perception affected users’ purchasing intention was investigated. The predicted relationships among the various constructs were examined using PLS-SEM technique. From the results, five out of eight hypotheses were supported. The hypothesized model explained 33.1% of the variance in Attitude Towards Behavior and 41.5% of Intention to Purchase. Trust in Internet medium significantly affected trust of e-commerce sellers. Similarly, Trust in Internet medium was the only significant predictor of attitude towards behavior, thus there was no significant relationships between trust of e-commerce sellers and cyber-crime perception as well trust of e-commerce sellers and intention to purchase. However, trust in Internet medium, cyber-crime perception, subjective norm and attitude towards behavior significantly impacted intention to purchase.

These findings augment existing literature in cyber-crime research. It provides relevant implications for both e-commerce stakeholders and businesses in developing countries on the factors that affect intentions to purchase using e-commerce. Specifically, it informs developers of e-commerce technologies of the importance of trust and how it affects users’ adoption behavior. The study recommend that, developers and designers should integrate major security features in future e-commerce technologies to curtail breaches and vulnerabilities. This will boost users’ confidence and trust in e-commerce system. By these findings, governments, policy makers and stakeholders are also enlightened on the effects of cyber-crime perceptions on users’ purchase intention. As indicated, the lack of strong legal frameworks for e-commerce activities are a major cause of cyber-crime. E-commerce vendors are encouraged to consult, design, implement and evaluate appropriate e-commerce frameworks to identify offenders.  Finally, considering the paucity of research on cyber-crime perception and the role of trust in e-commerce transactions, this study will inform future studies on the relationships between the constructs studied.

Funding: This study received no specific financial support.   
Competing Interests: The authors declare that they have no competing interests. 
Acknowledgement: All authors contributed equally to the conception and design of the study.

REFERENCES

[1]          N. Leena, "Cyber crime effecting e-commerce technology," Oriental Journal of Computer Science & Technology, vol. 4, pp. 209-212, 2011.

[2]          R. Boateng, R. Heeks, A. Molla, and R. Hinson, "Advancing e-commerce beyond readiness in a developing country: experiences of Ghanaian firms," Journal of Electronic Commerce in Organizations, vol. 9, pp. 1-16, 2011. Available at: https://doi.org/10.4018/jeco.2011010101.

[3]          M. Johnson, Cyber crime, security and digital intelligence. Oxfordshire, United Kingdom: Routledge, 2016.

[4]          A. Rofiq, J. M. Mula, and A. H. S. Scott, "Purchase intention to undertake e-commerce transactions in developing countries: Application of theory of planned behavior in Indonesia," in In: MASS 2011: International Conference on Management and Service Science, 2011.

[5]          H. O. Quarshie and J. Ami-Narh, "The growth and usage of Internet in Ghana," Journal of Emerging Trends in Computing and Information Sciences, vol. 3, pp. 1302-1308, 2012.

[6]          GraphicOnline.Com, "Over 10 million Ghanaians use the internet-report, Accra, Ghana." Available: https://www.graphic.com.gh/news/general-news/over-10-million-ghanaians-using-the-internet-report.html, 2018.

[7]          B. W. Wirtz, O. Schilke, and S. Ullrich, "Strategic development of business models: Implications of the Web 2.0 for creating value on the internet," Long Range Planning, vol. 43, pp. 272-290, 2010.

[8]          A. Rofiq and J. M. Mula, "The effect of customers' trust on e-commerce: A survey of Indonesian customer B to C transactions," in In: iCAST 2010: International Conference on Arts, Social Sciences and Technology, 24-25 Feb 2010, Penang, Malaysia, 2010.

[9]          J. L. Gibbs and K. L. Kraemer, "A cross-country investigation of the determinants of scope of e-commerce use: An institutional approach," Electronic Markets, vol. 14, pp. 124-137, 2004. Available at: https://doi.org/10.1080/10196780410001675077.

[10]        Y. Fang, I. Qureshi, H. Sun, P. McCole, E. Ramsey, and K. H. Lim, "Trust, satisfaction, and online repurchase intention: The moderating role of perceived effectiveness of e-commerce institutional mechanisms," Mis Quarterly, vol. 38, pp. 407-427, 2014. Available at: https://doi.org/10.25300/misq/2014/38.2.04.

[11]        M. Gantayat and C. K. Giri, "Security issues, challenges and solutions for e-commerce applications over web," International Journal of Engineering and Management Research, vol. 6, pp. 351-357, 2016.

[12]        M. Kartiwi, "Case studies of e-commerce adoption in Indonesian SMEs: The evaluation of strategic use," Australasian Journal of Information Systems, vol. 4, pp. 69-79, 2006. Available at: https://doi.org/10.3127/ajis.v14i1.8.

[13]        T.-K. Yu and G.-S. Wu, "Determinants of internet shopping behavior: An application of reasoned behaviour theory," International Journal of Management, vol. 24, pp. 744-762, 2007.

[14]        S. Hawkins, D. C. Yen, and D. C. Chou, "Awareness and challenges of Internet security," Information Management & Computer Security, vol. 8, pp. 131-143, 2000. Available at: https://doi.org/10.1108/09685220010372564.

[15]        C. L. Kenneth and C. Guercio, E-commerce: Business, technology and society, Global ed. London, United Kingdom: Pearson Education, 2017.

[16]        P. Patel, R. Patel, V. Patel, and T. Pathrabe, "Survey of privacy and security issues in spice world e-commerce website," International Journal for Innovative Research in Science & Technology, pp. 19-23, 2017.

[17]        M. Levi, "Organized fraud and organizing frauds: Unpacking research on networks and organization," Criminology & Criminal Justice, vol. 8, pp. 389-419, 2008. Available at: https://doi.org/10.1177/1748895808096470.

[18]        R. Richardson, "CSI computer crime and security survey," Computer Security Institute, vol. 1, pp. 1-30, 2008.

[19]        O. Longe, O. Ngwa, F. Wada, V. Mbarika, and L. Kvasny, "Criminal uses of information & communication technologies in Sub-Saharan Africa: Trends, concerns and perspectives," Journal of Information Technology Impact, vol. 9, pp. 155-172, 2009.

[20]        A. Salifu, "The impact of internet crime on development," Journal of Financial Crime, vol. 15, pp. 432-443, 2008. Available at: https://doi.org/10.1108/13590790810907254.

[21]        R. Boateng, L. Olumide, R. S. Isabalija, and J. Budu, "Sakawa-cybercrime and criminality in Ghana," Journal of Information Technology Impact, vol. 11, pp. 85-100, 2011.

[22]        R. Smith, P. Grabosky, and G. Urbas, "Cyber criminals on trial," Criminal Justice Matters, vol. 58, pp. 22-23, 2004. Available at: https://doi.org/10.1080/09627250408553240.

[23]        J. Warner, "Understanding cyber-crime in Ghana: A view from below," International Journal of Cyber Criminology, vol. 5, pp. 736-749, 2011.

[24]        S. W. Brenner and B.-J. Koops, "Approaches to cybercrime jurisdiction," Journal of High Technology Law, vol. 4, pp. 3-44, 2004.

[25]        S. Brenner, Law in an era of smart technology. Oxford: Oxford University Press, 2007.

[26]        J. Rupert, Banks hiding online fraud, says police, 5th ed.: The Guardian. Available: https://www.theguardian.com/money/2006/dec/05/accounts.business1, 2006.

[27]        J. Clough, Principles of cybercrime. Cambridge, UK: Cambridge University Press, 2010.

[28]        H. Dai and P. C. Palvi, "Mobile commerce adoption in China and the United States: A cross-cultural study," ACM SIGMIS Database: the DATABASE for Advances in Information Systems, vol. 40, pp. 43-61, 2009. Available at: https://doi.org/10.1145/1644953.1644958.

[29]        D. J. Kim, D. L. Ferrin, and H. R. Rao, "A trust-based consumer decision-making model in electronic commerce: The role of trust, perceived risk, and their antecedents," Decision Support Systems, vol. 44, pp. 544-564, 2008. Available at: https://doi.org/10.1016/j.dss.2007.07.001.

[30]        G. B. Murphy and A. A. Blessinger, "Perceptions of no-name recognition business to consumer e-commerce trustworthiness: The effectiveness of potential influence tactics," The Journal of High Technology Management Research, vol. 14, pp. 71-92, 2003. Available at: https://doi.org/10.1016/s1047-8310(03)00005-1.

[31]        S. Yang, Y. Lu, S. Gupta, Y. Cao, and R. Zhang, "Mobile payment services adoption across time: An empirical study of the effects of behavioral beliefs, social influences, and personal traits," Computers in Human Behavior, vol. 28, pp. 129-142, 2012. Available at: https://doi.org/10.1016/j.chb.2011.08.019.

[32]        I. Im, Y. Kim, and H.-J. Han, "The effects of perceived risk and technology type on users’ acceptance of technologies," Information & Management, vol. 45, pp. 1-9, 2008. Available at: https://doi.org/10.1016/j.im.2007.03.005.

[33]        M. Warr, "Fear of crime in the United States: Avenues for research and policy," Criminal Justice, vol. 4, pp. 451-489, 2000.

[34]        D. Gefen, I. Benbasat, and P. Pavlou, "A research agenda for trust in online environments," Journal of Management Information Systems, vol. 24, pp. 275-286, 2008. Available at: https://doi.org/10.2753/mis0742-1222240411.

[35]        Y. Zhang, Y. Fang, K.-K. Wei, E. Ramsey, P. McCole, and H. Chen, "Repurchase intention in B2C e-commerce—A relationship quality perspective," Information & Management, vol. 48, pp. 192-200, 2011. Available at: https://doi.org/10.1016/j.im.2011.05.003.

[36]        P. A. Pavlou and D. Gefen, "Building effective online marketplaces with institution-based trust," Information Systems Research, vol. 15, pp. 37-59, 2004. Available at: https://doi.org/10.1287/isre.1040.0015.

[37]        F. D. Davis, R. P. Bagozzi, and P. R. Warshaw, "User acceptance of computer technology: A comparison of two theoretical models," Management Science, vol. 35, pp. 982-1003, 1989. Available at: https://doi.org/10.1287/mnsc.35.8.982.

[38]        M. A. Fishbein and I. Ajzen, Belief, attitude, intention and behavior: an introduction to theory and research. Reading, MA: Addison Wesley, 1975.

[39]        J. Cohen, Y. Ding, C. Lesage, and H. Stolowy, "Corporate fraud and managers' behavior: Evidence from the press," Journal of Business Ethics, vol. 95, pp. 271-315, 2010. Available at: https://doi.org/10.1007/978-94-007-2926-1_8.

[40]        M.-F. Chen and T.-Y. Lu, "Modeling e-coupon proneness as a mediator in the extended TPB model to predict consumers' usage intentions," Internet Research, vol. 21, pp. 508-526, 2011. Available at: https://doi.org/10.1108/10662241111176344.

[41]        S. Chuchinprakarn, Application of theory of reasoned action to online shopping. Bangkok University: Knowledge Center E-Paper, 2005.

[42]        F. S. Fawzy and E. M. A. Salam, "M-commerce adoption in Egypt: An extension of to the theory of reasoned action," The Business & Management Review, vol. 6, pp. 111-121, 2015.

[43]        H. Van der Heijden, T. Verhagen, and M. Creemers, "Understanding online purchase intentions: Contributions from technology and trust perspectives," European Journal of Information Systems, vol. 12, pp. 41-48, 2003. Available at: https://doi.org/10.1057/palgrave.ejis.3000445.

[44]        R. C. Mayer, J. H. Davis, and F. D. Schoorman, "An integrative model of organizational trust," Academy of Management Review, vol. 20, pp. 709-734, 1995.

[45]        M. K. Lee and E. Turban, "A trust model for consumer internet shopping," International Journal of Electronic Commerce, vol. 6, pp. 75-91, 2001. Available at: https://doi.org/10.1080/10864415.2001.11044227.

[46]        K. C. Lee, N. Chung, and S. Lee, "Exploring the influence of personal schema on trust transfer and switching costs in brick-and-click bookstores," Information & Management, vol. 48, pp. 364-370, 2011. Available at: https://doi.org/10.1016/j.im.2011.09.002.

[47]        F. N. Koranteng, I. Wiafe, and E. Kuada, "An empirical study of the relationship between social networking sites and students’ engagement in higher education," Journal of Educational Computing Research, pp. 1-29, 2018. Available at: https://doi.org/10.1177/0735633118787528.

[48]        M.-C. Lee, "Predicting and explaining the adoption of online trading: An empirical study in Taiwan," Decision Support Systems, vol. 47, pp. 133-142, 2009. Available at: https://doi.org/10.1016/j.dss.2009.02.003.

[49]        F.-C. Tung, S.-C. Chang, and C.-M. Chou, "An extension of trust and TAM model with IDT in the adoption of the electronic logistics information system in HIS in the medical industry," International Journal of Medical Informatics, vol. 77, pp. 324-335, 2008. Available at: https://doi.org/10.1016/j.ijmedinf.2007.06.006.

[50]        G. Refaat El Said and G. H. Galal-Edeen, "The role of culture in e-commerce use for the Egyptian consumers," Business Process Management Journal, vol. 15, pp. 34-47, 2009. Available at: https://doi.org/10.1108/14637150910931451.

[51]        S. E. Kaplan and R. J. Nieschwietz, "A Web assurance services model of trust for B2C e-commerce," International Journal of Accounting Information Systems, vol. 4, pp. 95-114, 2003. Available at: https://doi.org/10.1016/s1467-0895(03)00005-8.

[52]        T. Dinev, Q. Hu, and A. Yayla, "Is there an on-line advertisers' dilemma? A study of click fraud in the pay-per-click model," International Journal of Electronic Commerce, vol. 13, pp. 29-60, 2008. Available at: https://doi.org/10.2753/jec1086-4415130202.

[53]        S.-C. Chen and S.-H. Li, "Consumer adoption of e-service: Integrating technology readiness with the theory of planned behavior," African Journal of Business Management, vol. 4, pp. 3556-3563, 2010.

[54]        Á. H. Crespo and I. R. del Bosque, "The effect of innovativeness on the adoption of B2C e-commerce: A model based on the theory of planned behaviour," Computers in Human Behavior, vol. 24, pp. 2830-2847, 2008. Available at: https://doi.org/10.1016/j.chb.2008.04.008.

[55]        H. Lim and A. J. Dubinsky, "The theory of planned behavior in e-commerce: Making a case for interdependencies between salient beliefs," Psychology & Marketing, vol. 22, pp. 833-855, 2005. Available at: https://doi.org/10.1002/mar.20086.

[56]        P. A. Pavlou and L. Chai, "What drives electronic commerce across cultures? Across-cultural empirical investigation of the theory of planned behavior," Journal of Electronic Commerce Research, vol. 3, pp. 240-253, 2002.

[57]        S. Grazioli and S. L. Jarvenpaa, "Perils of Internet fraud: An empirical investigation of deception and trust with experienced Internet consumers," IEEE Transactions on Systems, Man, and Cybernetics-Part A: Systems and Humans, vol. 30, pp. 395-410, 2000. Available at: https://doi.org/10.1109/3468.852434.

[58]        L. Wu and J.-L. Chen, "An extension of trust and TAM model with TPB in the initial adoption of on-line tax: An empirical study," International Journal of Human-Computer Studies, vol. 62, pp. 784-808, 2005. Available at: https://doi.org/10.1016/j.ijhcs.2005.03.003.

[59]        M. Saunders, P. Lewis, A. Thornhill, and J. Wilson, Business research methods. Financial times. London: Prentice Hall, 2009.

[60]        T. Hansen, J. M. Jensen, and H. S. Solgaard, "Predicting online grocery buying intention: A comparison of the theory of reasoned action and the theory of planned behavior," International Journal of Information Management, vol. 24, pp. 539-550, 2004. Available at: https://doi.org/10.1016/j.ijinfomgt.2004.08.004.

[61]        C. Jensen, C. Potts, and C. Jensen, "Privacy practices of Internet users: Self-reports versus observed behavior," International Journal of Human-Computer Studies, vol. 63, pp. 203-227, 2005. Available at: https://doi.org/10.1016/j.ijhcs.2005.04.019.

[62]        C. Liao, J.-L. Chen, and D. C. Yen, "Theory of planning behavior (TPB) and customer satisfaction in the continued use of e-service: An integrated model," Computers in Human Behavior, vol. 23, pp. 2804-2822, 2007. Available at: https://doi.org/10.1016/j.chb.2006.05.006.

[63]        T. Coltman, T. M. Devinney, D. F. Midgley, and S. Venaik, "Formative versus reflective measurement models: Two applications of formative measurement," Journal of Business Research, vol. 61, pp. 1250-1262, 2008. Available at: https://doi.org/10.1016/j.jbusres.2008.01.013.

[64]        D. Barclay, C. Higgins, and R. Thompson, "The partial least squares (pls) approach to casual modeling: Personal computer adoption and use as an illustration," Information Management & Computer Security, vol. 8, pp. 131-143, 1995.

[65]        B. H. Wixom and H. J. Watson, "An empirical investigation of the factors affecting data warehousing success," MIS Quarterly, vol. 25, pp. 17–41, 2001. Available at: https://doi.org/10.2307/3250957.

[66]        C. Fornell and D. F. Lacker, "Evaluating structural equation modeling for travel behavior research," Transportation Research Part B, University of Michigan, vol. 37, pp. 1-25, 1981.

[67]        R. B. Kline, Principles and practice of structural equation modelling, 2nd ed. New York: The Guilford Press, 2005.

[68]        R. H. Hoyle, Structural equation modeling: Concepts, issues, and applications. Thousand Oaks, Canada: Sage Publications, 1995.

[69]        J. J. F. Hair, G. T. M. Hult, C. Ringle, and M. Sarstedt, A primer on partial least squares structural equation modeling. Thousand Oaks, Canada: Sage Publications, 2016.

[70]        D. Gefen, E. E. Rigdon, and D. Straub, "Editor's comments: An update and extension to SEM guidelines for administrative and social science research," MIS Quarterly, vol. 35, pp. 3-14, 2011. Available at: https://doi.org/10.2307/23044042.

[71]        R. P. Bagozzi and Y. Yi, "On the evaluation of structural equation models," Journal of the Academy of Marketing Science, vol. 16, pp. 74-94, 1988.

[72]        W. W. Chin, "Issues and opinion on structural equation modeling," MIS Quarterly, vol. 22, pp. 7-16, 1998.

[73]        J. Henseler, C. M. Ringle, and M. Sarstedt, "A new criterion for assessing discriminant validity in variance-based structural equation modeling," Journal of the Academy of Marketing Science, vol. 43, pp. 115-135, 2015. Available at: https://doi.org/10.1007/s11747-014-0403-8.

[74]        L. A. Clark and D. Watson, "Constructing validity: Basic issues in objective scale development," Psychological Assessment, vol. 7, pp. 309-319, 1995. Available at: https://doi.org/10.1037//1040-3590.7.3.309.

[75]        N. Kock, "Using Warp PLS in e-collaboration studies: An overview of five main analysis steps," International Journal of e-Collaboration, vol. 6, pp. 1-11, 2010.

[76]        F. Drozd, T. Lehto, and H. Oinas-Kukkonen, "Exploring perceived persuasiveness of a behavior change support system: A structural model," In International Conference on Persuasive Technology, vol. 7284, pp. 157–168, 2012.

[77]        J. Cohen, Statistical power analysis for the behavioral sciences, 2nd ed. Hillsdale, NJ: Erlbaum, 1988.

[78]        C. Liu, J. T. Marchewka, J. Lu, and C.-S. Yu, "Beyond concern—a privacy-trust-behavioral intention model of electronic commerce," Information & Management, vol. 42, pp. 289-304, 2005. Available at: https://doi.org/10.1016/j.im.2004.01.003.

[79]        R. Apau and S. A. Gyamfi, "Data hiding in audio signals using elliptic curve cryptography, huffman code algorithm and low-bit encoding," International Journal of Computer Applications, vol. 180, pp. 24-34, 2018. Available at: https://doi.org/10.5120/ijca2018917038.

[80]        D. H. McKnight, V. Choudhury, and C. Kacmar, "The impact of initial consumer trust on intentions to transact with a web site: A trust building model," The Journal of Strategic Information Systems, vol. 11, pp. 297-323, 2002. Available at: https://doi.org/10.1016/s0963-8687(02)00020-3.

[81]        P. Pavlou, "Integrating trust in electronic commerce with the technology acceptance model: Model development and validation," Amcis 2001 Proceedings, p. 159, 2001.

[82]        R. Pennington, H. D. Wilcox, and V. Grover, "'The role of system trust in business-toconsumer transactions'," Journal of Management Information Systems, vol. 20, pp. 197-226, 2004.

Views and opinions expressed in this article are the views and opinions of the author(s), Journal of Information shall not be responsible or answerable for any loss, damage or liability etc. caused in relation to/arising out of the use of the content.