Index

Abstract

Cupressus lusitanica is a key plantation species with many uses leading to demand for seed. This species produces seeds within cones, which are collected for seed extraction. There are variations in seed collection and handling which compromise quality. Few studies focus on cone morphometry and seed characterization, thereby causing a gap in quality improvement through packaging and subsequent germination. Fifty cones were collected from each of the thirty identified trees within a clonal seed orchard. Cone characterization, seed extraction and germination were performed in the laboratory. This was a factorial experiment with three factors: cone diameter, seed diameter and seed density and their influences on germination. The present study separated the cones by diameter (20mm sieve) and weight. Seed were sieved (2mm sieve) weighed, floated and germinated. The results showed that seed size and density heavily impacted on germination and thereby showing that sorting through sieving and floatation would provide a low cost technique for seed quality improvement. The technique in the present study improved germination from 25% to 50%, and also reduced the number of seeds per kilogram from 290,000 to 105,000.

Keywords: Cupressus lusitanica, Cone diameter, Cone weight, Seed weight, Floatation, Germination, Low-cost technology.

Received: 13 April 2021 / Revised: 17 May 2021 / Accepted: 10 June 2021/ Published: 1 July 2021

Contribution/ Originality

The paper's primary contribution is finding that C. lusitanica seed size and density heavily impacted on germination and thereby showing that sorting through sieving and floatation would provide a low-cost technique for seed quality improvement.


1. INTRODUCTION

Cupressus lusitanica [1, 2] also called Mexican cypress, was globally introduced in many tropical plantation areas to increase diversity of plantation species suitable for timber due to the susceptibility of other species to biological attacks [3, 4]. In Kenya, C. lusitanica is the most widely planted commercial species comprising about 55% of forest plantation area [5, 6]. This species has wide uses mainly for timber, plywood, fuel wood, poles production, live hedges and carbon sequestration [7-9]. These myriad uses has caused a surge in demand for propagation by seed [10]. The propagation of C. lusitanica for seed production has been on going with a major focus  on grafted clonal seed orchard [11, 12]. Being a conifer, C. lusitanica produces its seeds within cones [2]. It has been observed that there exists a variation in seed collection practices which compromises germination and subsequent quality [13-15]. The challenges that have been observed in seed collection of C. lusitanica infer relationship between cone and seed characteristics. The relationship between cones and seed characteristics and seed germination behavior, has been observed in other conifers to be correlated with either environmental or genetic variables [16, 17].  There are few studies that have focused in cone morphometry for characterization in conifers but  none  on C. lusitanica [18, 19]. Variations  in seeds weight affect  the number of seeds in a unit of packaging in most developing countries [20, 21]. These variations have been attributed to differences in physiological characteristics, whereby, heavy seeds were observed to contain greater reserves of protein, carbohydrate, lipid and energy than smaller seeds [2, 22, 23]. Variation in seed weight within a species affects seed germination, germination rate and seedling survival which are all limited by local environmental conditions [23-25].  In order to improve the seed quality during handling to enhance germination performance, a host of methods have been tested for efficacy such as sieving, hand sorting, winnowing and floatation [26-29]. These methods have lacked an evaluation for ease of practice in developing countries whereby the technology should be easy on labour and cost. More so, there is limited studies available on sorting of C. lusitanica seeds [28-30].

 The objectives of the present study includes: i) characterization of C. lusitanica cones by diameter and its effects on germination, ii) characterization of seeds by size from the different cone sizes and their effect on germination, and iii) the effect of floatation of seeds on water and its effect on germination. This will offer an opportunity to improve seed collection and handling for improved germination of C. lusitanica seeds. Both cones and seeds were weighed for improved extraction and packaging respectively based on germination performance.

2. MATERIALS AND METHODS

2.1. Study Site

The study materials were collected from a Cupressus lusitanica clonal seed orchard in Londiani within the Rift Valley region of Kenya. The area is located at latitude 0o 10ʹ South and longitude 35o 36ʹ E and also at an elevation of 2,320 to 2,500 m above sea level. The area experiences annual precipitation of 1,000 to 1,500 mm. It has mean minimum temperature of 140C and a maximum temperature of 170C with an average temperature of 15.70C. This area has a cool and moist climate, which is conducive to C. lusitanica seed production [6]. This study was conducted in June 2020, which is the peak cone production season for C. lusitanica in the region [31]. Thirty trees that were heavily seeding were randomly selected from a 14-year-old Cupressus lusitanica seed orchard. From each tree, fifty mature cones were collected totaling to 1,500 cones. Mature cones were those that were brown in color and closed at the time of collection [32]. The cones were packed in gunny bags and then brought to the KEFRI Rift Valley Eco-Region Research Programme (RVERP) laboratory in Londiani, for seed extraction, sieving and weighing.

2.2. Experimental Design

Once in the laboratory, the cones were sorted by sieving using a 20mm sieve. Cones that were more than 20mm were categorized as large cones (CB) and those that were less than 20mm were categorized as small (CS). Assessment for maturity and defects (already opened, immature and pest damage) was conducted and 240 mature and defect free cones selected for each of the two categories (CB and CS). Each cone in each of the categories (CB and CS) was measured for diameter with an electronic caliper and weighed with as a KERN & Sohn (KB 10000-1N) balance. They were then placed in glass petri dishes and subjected to artificial heating for seed extraction at 650C for 48 hours in an oven (YAMATO DS411) [33] (Figure 1). Seeds from each of the two categories (CB) and (CS) were then sieved in a standard 2mm sieve. Seeds that were more than 2mm were categorized as big seed from both the large and small cones (CBBS and CSBS) while those that were less than 2mm were categorized as small seeds from the large and small cones (CBSS and CSSS).  Thirty seeds were randomly selected from each of the four categories (CBBS, CBSS, CSBS and CSSS) and individually weighed using an analytical balance (UMS-UK BA2204C) (Figure 1). Seeds from each of the four categories were subsequently subjected to floating test [28, 34] for 5 minutes where they were further separated into floaters (CBBSFF, CBSSFF, CSBSFF and CSSSFF) and sinkers (CBBSFS, CBSSFS, CSBSFS and CSSSFS) resulting to eight categories. During germination, four replicates of 50 seeds each from each of the eight categories were placed in petri dishes lined with wet cotton wool (distilled water) and placed in the cultivation chamber (TOMY CFH-415) at 270C and 70%RH. The number of germinated seeds were recorded daily for up to 30 days. Radicle emergence was taken as the criterion for germinability [35] .

Figure-1. The experimental design diagram with the steps from cones collection up to seed extraction and floatation.

3. RESULTS

3.1. Cone Characteristics

After the sieving and measuring cones, the study observed cones >20mm had a mean diameter of  23.7 ± 0.33mm and a mean weight of 8.6 ± 0.31g which was significantly different (p<0.05) than cones  < 20mm  (Figure 2 a, b and Table 1.

Figure-2(a). Mean cone diameters for large cones >20mm (CB-red) and small cones <20mm (CS-blue), 2 (b) Mean cone weights for large cones >20mm (CB-red), and small cones <20mm (CS-blue). Error bars show standard error, n=480 cones.

3.2. Seed Characteristics

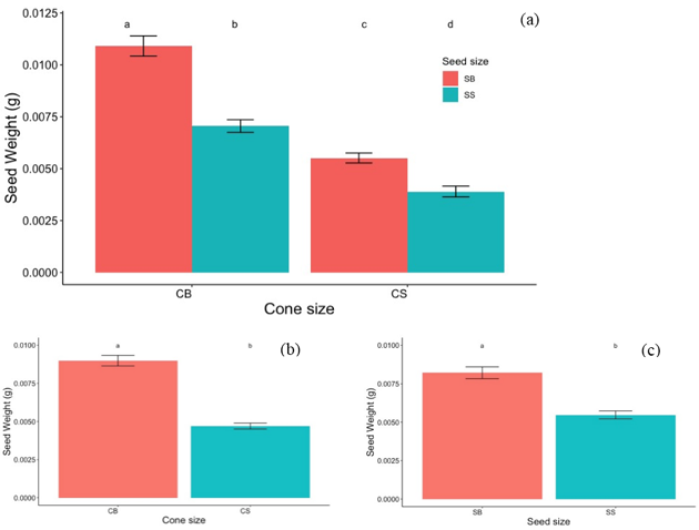
Following seed extraction, sieving and weighing based on the cones from which the seeds were extracted, seeds >2mm were the heaviest (CBSB 10.9±0.49mg, p<0.05) Figure 3a and Table 1. All seeds from the big cones (CB) were observed to be heaviest with mean weight of 9.0±0.35mg (p<0.05) Figure 3b and Table 1. All big seeds (SB) were observed to be heaviest with a mean weight of 8.2±0.38mg (p<0.05) Figure 3c and Table 1.

Figure-3(a). Seed weight by cone size from which seeds were derived (CBSB, CBSS, CSSB, and CSSS), (b) mean weight of seed by cone (CB and CS), and (c) mean weight of a seed by size (SB and SS), small letters (a, b, c, d; a and b) above denote significance (p<0.05).

Table-1. Mean diameters and mean cone weights for large cones (CB) and small cones (CS). Mean seed size in relation to cone (CBSB, CBSS, CSSB, and CSSS). Mean seed weight by cone (CB and CS) and mean seed weight by seed size (SB and SS) ± Standard error (SE).

Cone size
Diameter (mm)
Weight (g)
CB
23.7±0.33
8.6±0.31
CS
16.8±0.27
2.9±0.14
Cone size
Seed size
Weight (mg)
CB
SB
10.9±0.49
CS
SB
5.5±0.24
CB
SS
7.1±0.31
CS
SS
3.9±0.26
CB
SB and SS
9.0±0.35
CS
SB and SS
4.7±0.19
CB and CS
SB
8.2±0.38
CB and CS
SS
5.5±0.26

3.3. Germination Results

On germination and assessment of performance, it was observed that there was no significant difference in percent cumulative germination by cone size as a factor (p>0.05). Percent cumulative germination by seed size showed that big seed had highest cumulative percent germination (SB 30±4.5%) than small seed (SS 17±3.1%). Analysis of germination by floatation showed that sinkers had highest mean percent germination FS 29±4.7% than floaters FF 17±2.8% (p<0.05). Analysis of the germination performance through factor combination showed that big seed sinkers (SBFS) had highest significant percent cumulative germination of 43±8.0% (p<0.05) with factor combination compared to SBFF, SSFF and SSFS Figure 4.

Figure-4. Percent cumulative germination of C. lusitanica seeds by seed size (SB >2mm and SS <2mm) and floatation (floaters FF and sinkers FS) in 30 days.

4. DISCUSSION

The present study observed significant differences in cone diameter and cone weight but this did not affect germination performance.  Similarly, the study showed significant differences in seed weight between seeds above 2mm (SB) and those below 2mm (SS). These differences were also replicated in germination performance with SB outperforming SS. This shows that sorting of seeds through sieving offers a low-cost technique to improve seed quality of C.lusitanica. A similar outcome on the importance of sieving for other species has been documented by earlier  studies [25, 26], with the present study relating it to germination performance.

Floatation technique, otherwise known as sedimentation, has been used to improve seed lot quality, whereby, in this technique, non-viable seeds i.e. empty, shriveled and pest damaged seeds, in seed lots are easily sorted out. Thus, when sown the germination performance is improved [28, 29].  The present study showed significant differences between seed that sunk and those that floated. This finding shows that floatation is a minimum-cost technique with minimum skills required for improving seed quality for higher seedling yield, which offers higher opportunity to improve quality.

Cupressus lusitanica is primarily propagated by seed but also cuttings can be used. In the present study on observing the high germination performance of big seeds sinkers, basing on their seed weights, a one kg package would have seeds ranging between 95,000 and 105,000. These findings improves what [31, 36] had earlier reported  (160,000 to 290,000 C. lusitanica seeds per kilogram), of which only their study observed 25 % germination while  the present study observed a higher germination of 51% . Germination of C. lusitanica has been reported to take place between 25 -30 days for which the present study also observed a similar pattern [37].

5. CONCLUSION AND RECOMMENDATION

The study observed that cone differences in diameter and weight does not determine germination performance. Germination performance was mainly influenced by a combination of sorting of seeds through sieving and floating to classify them into big and small seeds. Big seeds showed significantly higher germination compared with small seeds. The big seed size is therefore recommended for use in tree nurseries for better germination performance. This also offers a low cost technique for improving seed quality for C. lusitanica seed during seed collection and handling.

Funding: This study received no specific financial support.  

Competing Interests: The authors declare that they have no competing interests.

Acknowledgement: The authors acknowledge the technicians and supporting staff in the Rift Valley Eco-regional Research Programme of the Kenya Forestry Research Institute, for assistance during data collection and experimental phase for this study.

REFERENCES

[1]          A. Farjon, "Nomenclature of the Mexican cypress or ‘cedar of Goa’, Cupressus lusitanica Mill," Taxon, vol. 42, pp. 81–84, 1993.Available at: 10.2307/1223306.

[2]          P. A. R. Mora and R. M. Galvis, "Characterization of the vegetation in Cupressus lusitanic plantations (Mill) and its potential utilization in restoration projects, Tunja-Boyacá," Revista de Investigación Agraria y Ambiental, vol. 9, pp. 39-48, 2018.

[3]          J. Sawyer, "Plantations in the tropics: Environmental concern," ed Switzerland and Cambridge, UK: IUCN, Gland, 1993, p. xiii + 83.

[4]          M. Price and N. Butt, "IUFRO research series 5 : Forests in sustainable mountain development," A State of Knowledge Report for 2000, CABI Publishing, New york, USA2000.

[5]          N. C. Kuria, K. B. Balozi, and W. Kipkore, "Growth and yield models for plantation-grown cupressus lusitanica for central Kenya," African Journal of Research in Mathematics, Science and Techonoly, vol. 5, pp. 34–58, 2019.

[6]          M. R. Ngugi, E. G. Mason, and A. G. D. Whyte, "New growth models for cupressus lusitanica and Pinus patula in Kenya," Journal of Tropical Forest Science, vol. 12, pp. 524–541, 2000.

[7]          A. Legesse and M. Negash, "Species diversity, composition, structure and management in agroforestry systems: the case of Kachabira district, Southern Ethiopia," Heliyon, vol. 7, p. e06477, 2021.Available at: 10.1016/j.heliyon.2021.e06477.

[8]          R. Kindt, I. K. Dawson, J.-P. B. Lillesø, A. Muchugi, F. Pedercini, J. M. Roshetko, M. van Noordwijk, L. Graudal, and R. Jamnadass, "The one hundred tree species prioritized for planting in the tropics and subtropics as indicated by database mining," Working Paper No. 312, World Agroforestry, Nairobi, Kenya, 2021. Retrieved from: http://dx.doi.org/10.5716/WP21001.PDF2021 .

[9]          M. Anbarashan, A. Padmavathy, R. Alexandar, and N. Dhatchanamoorhty, "Survival, growth, aboveground biomass, and carbon sequestration of mono and mixed native tree species plantations on the Coromandel Coast of India," 2019.

[10]        M. Kithome, "Feasibility study for the development of public-private seed delivery systems in the arid and semi-arid lands of the republic of Kenya," Report. Nairobi, Kenya2019.

[11]        H. P. Msanga, E. W. Masunga, S. M. Andrew, and F. H. Fandey, "Challenges of producing quality tree seeds to support afforestation in Tanzania," presented at the In 1st TAFORI Scientific Conference on Forestry Research for Sustainable Industrial Economy in Tanzania, 2018.

[12]        M. S. Maduka, F. F. Laswai, and E. E. Njongomi, "Tafori experience in solving forest deforestation," presented at the In 1st TAFORI Scientific Conference on Forestry Research for Sustainable Industrial Economy in Tanzania, 2010, 2013.

[13]        W. Adongo, L. Onyango, and P. J. Were, "Community tree seedling production in maseno," International Journal of Innovative and Applied Research Science, vol. 4, pp. 86–96, 2019.

[14]        M. Maid, C. Kitingan, and J. Kodoh, Managing planting materials and planting stock production of tropical tree species,” in Prospects and Utilization of Tropical Plantation Trees, 1st ed. Boca Raton: CRC Press, 2019.

[15]        K. Kipkemboi, K. O. Odhiambo, and P. O. Odwori, "Adoption of tree nursery practices as strategic enterprise at millenium villages project, Siaya County, Kenya," African Journal of Environmental Science and Technology, vol. 3, pp. 26–34, 2020.

[16]        P. Ganatsas, M. Tsakaldimi, and C. Thanos, "Seed and cone diversity and seed germination of Pinus pinea in Strofylia Site of the Natura 2000 Network,” Biodivers," Conserv vol. 10, pp. 2427–2439, 2008.Available at: 10.1007/s10531-008-9390-8.

[17]        M. U. Stoehr, "Seed production of western larch in seed-tree systems in the Southern interior of British Columbia," Forest Ecology and Management, vol. 130, pp. 1–3, 2000.Available at: 10.1016/S0378-1127(99)00173-5.

[18]        M. Aniszewska, "Analysis of opening cones of selected coniferous trees,” in Annals of WULS," Forestry and Wood Technology, vol. 71, pp. 57–64, 2010.

[19]        P. Angaine, A. A. Onyango, and J. O. Owino, "Morphometrics of Pinus patula crown and its effect on cone characteristics and seed yield in Kenya," Journal of Horticulture and Forestry, vol. 12, pp. 94–100, 2020.Available at: 10.5897/JHF2020.0635.

[20]        Y. García-De La Cruz, A. M. Hernández-Ramírez, J. M. Ramos-Prado, and L. A. Olivares-López, "Fruit and seed production of two tree native species in a cloud forest from Veracruz, Mexico Producción de frutos y semillas de dos especies arbóreas nativas en un bosque mesófilo de montaña de Veracruz, México TT - Fruit and seed production of two tree," Polibotánica, vol. 39, pp. 103–118, 2015.

[21]        B. Udval and N.-O. Batkhuu, "Seed and cone characteristics of scots pine (Pinus sylvestris L.) from diverse seed sources in Northern Mongolia," Eurasian Journal of Forest Research, vol. 16, pp. 57–62, 2013.

[22]        M. Khan and U. Shankar, "Effect of seed weight, light regime and substratum microsite on germination and seedling growth of Quercus semiserrata Roxb," Tropical Ecology, vol. 42, pp. 117-125, 2001.

[23]        M. Khan, "Effects of seed mass on seedling success in Artocarpus heterophyllus L., a tropical tree species of north-east India," Acta Oecologica, vol. 25, pp. 103-110, 2004.Available at: 10.1016/j.actao.2003.11.007.

[24]        K. Upadhaya, H. N. Pandey, and P. LAW, "The effect of seed mass on germination, seedling survival and growth in Prunus jenkinsil Hook.f. and Thoms," Turkish Journal of Botany, vol. 31, pp. 31-36, 2007.

[25]        C. Bladé and V. R. Vallejo, "Seed mass effects on performance of Pinus halepensis Mill. seedlings sown after fire," Forest Ecology and Management, vol. 255, pp. 2362-2372, 2008.Available at: 10.1016/j.foreco.2007.12.039.

[26]        L. Schmidt, Guide to handling of tropical and subtropical forest seed. Humlebaek: Danida Forest Seed Centre, 2000.

[27]        K. Thomsen, Handling of desiccation and temperature sensitive tree seeds. Humlebaek: Danida Forest Seed Centre, 2000.

[28]        A. Daneshvar, "Improved seed handling techniques for Juniperus polycarpos: Implications for active restoration of degraded Juniper forests in Iran," Thesis, Swedish University of Agricultural Sciences, Alnarp, 2015.

[29]        A. Daneshvar, M. Tigabu, A. Karimidoost, and P. C. Odén, "Flotation techniques to improve viability of Juniperus polycarpos seed lots," Journal of Forestry Research, vol. 28, pp. 231-239, 2017.Available at: https://doi.org/10.1007/s11676-016-0306-2.

[30]        M. Farooq, M. Usman, F. Nadeem, H. ur Rehman, A. Wahid, S. M. Basra, and K. H. Siddique, "Seed priming in field crops: Potential benefits, adoption and challenges," Crop and Pasture Science, vol. 70, pp. 731-771, 2019.Available at: https://doi.org/10.1071/cp18604.

[31]        J. Albrecht, Tree seed handbook of Kenya, 2nd ed. Nairobi: Kenya Forestry Research Institute, 1993.

[32]        P. Raddi, R. Danti, and G. Rocca, "x Cupressocyparis leylandii," Encyclopedia of Woody Plants, 74th Supplement, vol. 03/19, pp. 1–17, 2012.

[33]        A. A. Onyango, P. M. Angaine, S. K. Inoti, and J. O. Owino, "Patula pine (Pinus patula) cones opening under different treatments for rapid seed extraction in Londiani, Kenya," Journal of Horticulture and Forestry, vol. 12, pp. 63-69, 2020.

[34]        S. Ghildiyal, C. Sharma, and S. Gairola, "Effect of temperature on cone bursting, seed extraction and germination in five provenances of Pinus roxburghii from Garhwal Himalaya in India," Southern Forests: A Journal of Forest Science, vol. 70, pp. 1-5, 2008.Available at: https://doi.org/10.2989/south.for.2008.70.1.1.511.

[35]        ISTA, "ISTA news bulletin: Towards automated single counts of radicle emergence to predict seed and seedling vigour," Seed Testing International, vol. 142, pp. 44–48, 2011.

[36]        K. Dolos, A. Bauer, and S. Albrecht, "Site suitability for tree species: Is there a positive relation between a tree species’ occurrence and its growth?," European Journal of Forest Research, vol. 134, pp. 609-621, 2015.Available at: https://doi.org/10.1007/s10342-015-0876-0.

[37]        PROTA, "Cupressus lusitanica. Retrieved from https://uses.plantnet-project.org/en/Cupressus_lusitanica_(PROTA. [Accessed May 25, 2021]," 2020.

Views and opinions expressed in this article are the views and opinions of the author(s), Journal of Forests shall not be responsible or answerable for any loss, damage or liability etc. caused in relation to/arising out of the use of the content.