Index

Abstract

Urban air pollution is increasingly getting attention in developing countries in recent years. It was against this backdrop that this piece of work examined three indices of air pollution along a single carriage road (Kissy Road) and dual carriage road (Wilkinson Road) on either direction. Brief monitoring spell of nitrogen dioxide (NO2); sulphur dioxide (SO2) and carbon monoxide (CO) were made between August 2015 and September 2015 using the Drager X am 5000 realtime monitor for the different gases. Diurnal monitoring was made in the morning, afternoon and evening periods representing peak and off peak periods. Results indicated higher levels of pollution at Kissy Road relative to Wilkinson Road. Considerable variation were also observed among the pollutants for the two sites and the hourly average values revealed levels that are within ambient air quality standards except for SO2. Field observations revealed poorly maintained vehicles, human behavioral pattern, frequent traffic jams were attributed to the observed values.

Keywords: Nitrogen dioxide, Sulphur dioxide, Carbon monoxide, Traffic, Pollution.

Received: 22 August 2016 / Revised: 21 November 2016/ Accepted:28 November 2016/ Published: 3 December 2016

1. INTRODUCTION

The production of acidic pollutants (e.g. sulphur dioxide and nitrogen dioxide) in the atmosphere can have detrimental health effects and with the propensity to cause other environmental damage (Lee et al., 1999) They are released by either anthropogenic or natural sources and they can go through several transformations as a result of the complex reactions in the atmosphere (e.g. gas to particle conversion, transport associated with wind, wet and dry deposition). Traffic due to automobile is a major source of combustible gases emissions in cities of developing countries. Previous studies in developing countries have shown that air pollution in urban areas are the result of vehicular emissions (Jackson, 2005; Fanou et al., 2006; Jenny et al., 2008; Dionisio et al., 2010; Kandasamy et al., 2011; Olajire et al., 2011; Taylor and Nakai, 2012) . It has also been recently reported in Nigeria that about 60% of urban air pollution in mega cities such as Lagos is due to emissions from vehicles (Abam and Unachukwu, 2009; Hopkins et al., 2009) and this makes air pollution due to traffic worrisome particularly in developing countries where more than 80% of vehicles are in a very bad shape. This problem would be further exacerbated where there is lack of effective policy instruments that addresses urban transport systems, land use planning and the growing ownership of vehicles and traffic congestion. According to a recent report (UNEP, 2010) rural population of developing countries will continue to migrate to urban areas or cities of developing countries in search of better lives. And as a consequence, if nothing is done, this urbanization pattern will further worsen the already severe air quality problems in sub-Saharan African cities. 

Outdoor air pollution is no longer seen as a major problem for developed countries but now being considered one in developing countries. The World Health Organization has noted that large cities of developing countries have poor air quality which makes large number of urban residents expose to ambient levels of air pollutants that are above WHO guidelines (WHO, 2000). Of great concern is the large number of pedestrian and street sellers mostly women, street beggers and traffic police officers and wardens who are exposed to noxious exhaust fumes on a daily basis. Several epidemiological studies have revealed association between exposure to traffic generated air pollutants and health endpoints such as asthma, respiratory problems, cardiovascular diseases, cancer among children, elderly and women (Peters et al., 2001; Abu-Allaban et al., 2002; Lee et al., 2002; Lin et al., 2002; Yang et al., 2004; Peel et al., 2005; Lanki et al., 2006)

Freetown, the capital of Sierra Leone is confronted with a number of environmental and public health concerns. One notable area is the ambient air environment. The problem of outdoor air pollution is pervasive due to a combination of conventional sources. Among these, traffic source of air pollution is one of the major contributors to the problem in Freetown. Nitrogen dioxide (NO2), sulfur dioxide (SO2) and carbon monoxide (CO) are usually indices of traffic air pollution. In many developing countries as the case of Sierra Leone, single and dual carriage roads are quite apparent. It is undoubtedly clear that over 90% of automobiles in Freetown are used second hand vehicles that ply these roads with engines that combust unregulated gasoline and diesel fuels. A manifestation of impact is the visible plumes of smoke from vehicle tail pipes which has been echoed in a recent study conducted in Freetown (Taylor and Nakai, 2012). Knowledge of the contribution of traffic related indices of ambient air pollution is necessary to evolve a proper strategy to control and mitigate the problem, especially with the current drive to expand on the road infrastructure in the city. However, the absence of periodic monitoring data that would throw light on the current environmental conditions continues to be a big challenge in the country. Hence, in this piece of work, we present a pilot study of gaseous air quality indicators (NO2, SO2 and CO) along single and dual carriage roads in urban Freetown. 

2. MATERIALS AND METHODS

2.1. Study Area

This study was conducted in Freetown, founded on the 11th March 1792. It was selected for the study because it is the capital city of Sierra Leone where more than half of automobiles in the country exist. It is a Port city that is 27 m above sea level and lie on coordinates 8.48°N and 13.23°W with a total area of 137.8 square miles (357 square kilometers) located on the western area of the country on a mountain peninsula stretching into the Atlantic Ocean. The climate of Sierra Leone is tropical (hot and humid); with the raining season lasting from May to December and the dry season from December to April. Rainfall along the coast can reach 495 cm a year with Freetown having the highest amount of rainfall, greater than 3500 milliliters. The current population is estimated to be more than one million. The city is politically divided into three broad regions-East, Central and West.

2.2. Sites Description

Kissy Road - Site 1: This site is a single carriage road that is situated in the East end of the city linking the peripheral or sub urban areas to the city center from that direction. It is the main entry point for office workers residing in the east. Giving the narrow path of this road coupled with the open street trading along pedestrian foot path, traffic flow is relatively slow with average speed estimated from 0-15 km/h for most part of the day. Heavy vehicles usually over 4 tons often ply this route to the city center conveying imported goods to the market stalls. Traffic jams are quite apparent due to these heavy vehicles that often broke down along the main road giving rise to endless queue of vehicles. Evidently are fairly high rising buildings that are less than 2-3 m away from the roadside and this mostly result in poor dispersion and mixing of air. Average number of vehicles per hour was estimated at 310/h.

Wilkinson Road -Site 2: Situated in the West end of the city, this road was recently expanded and upgraded to dual carriage on either side so as to ease the traffic congestion from the West end to the city center. Due to its increased road capacity, average speed of vehicles was noted to be about 15-40 km/h. This stretch of the road is being influenced by the breeze from the Atlantic Ocean. It is an area where pollutants are presumed to be easily dispersed as this area open up into the Atlantic Ocean and adequate spaces between the edge of road and buildings. Little or no street trading is practiced along this stretch of road, thus giving a new face lift to the city particularly for tourists who use this route to make visits to the beaches and hotels in the west end of the city. Average number of vehicles going through this site was estimated at 850/h.

2.3. Equipment and Monitoring program

The Drager X- am 5000 (www.drager.com) was used for the monitoring program which was obtained from Ribble -Enviro Ltd UK in August 2015.  It is a small, light and easy to use, which makes it very ideal for field monitoring in areas where conventional monitoring requirements are somehow restricted. It is very robust, water-tight and is designed for single-handed operation in tough industrial environments. Water- and dustproof according to IP 67 and with an integrated rubber boot, the device provides optimal functionality even under harsh conditions. This monitor measures up to six gases simultaneously and for the purpose of this study, four electrochemical infrared sensors for CH4, NO2, SO2 and CO were used for this study. The device has a high resolution of 0.1 ppm for both NO2 and SO2 and 2 ppm for CO with a very short response time of 15 seconds for both NO2 and SO2 and 25 seconds for CO.

The monitoring exercise was done between 18th August 2015 and 6th September 2015 during the raining season along the roadside of each of the monitoring site earlier described. A monitoring distance of 1.5 m from the edge of the road and a height of 1 m were selected. Two field Assistants were trained to monitor roadside levels along pedestrian pathways where they stood and undergone hourly shift duty so as to ease the stress and risk of roadside exposure. Values were recorded on a record sheet by field Assistants. Daytime monitoring was made between the hours of 7:30 GMT and 19:30 GMT each day for a period of three weeks on an alternate day. The peak periods were noted from 7:30 GMT to 9:30 GMT which is considered as morning rush hour; 17:00 GMT to 19:00 GMT as evening rush hour, but off peak period was taken from 12:30 GMT to 14:30 GMT each day monitoring was made.   

2.4. Quality Control Procedure

The zero point accuracy of the sensors was reached by carrying out the fresh air calibration each time measurement was made. This was achieved by the 1 button calibration procedure in an area away from monitoring zone or area where trace levels of the measured gases or interfering gases are found. Field assistants had to move to the middle of nearby secondary school campuses where there is little evidence of ambient air pollution to carry out fresh air calibration, and the display containing the current gas concentration changes with the display OK when calibration was done indicating a successful calibration process. 

2.5. Data Analysis

Quantitative and numeric data were obtained from the study; hence data were subjected to descriptive statistics. t-test was used to compare mean concentrations for NO2, SO2 and CO between peak and off peak periods. Since the data did not follow a normal distribution pattern, a Wilcoxon non parametric test was used to test whether group means are similar across the indicators (NO2, SO2 and CO). A threshold value of significance (p value) was taken at 5% or 0.05 from which all statistical inferences were made. These analyses were conducted using JMP 8 statistical package. Results are presented in the form of charts.

3. RESULTS AND DISCUSSION

This pilot study was undertaken to understand the spatial distribution and current trend of combustible gases along a single carriage road and dual carriage road in Freetown. Three distinct periods representing morning peak, afternoon and evening peak were monitored for NO2, SO2 and CO gases. The preliminary results showed that concentration levels at the single carriage roads were relatively higher than those at the dual carriage roads. According to Figure 1 (a), it was revealed that there is a significantly higher level of NO2 in the evening hours at Kissy road relative to Wilkinson Road but no such difference was observed in the morning period. In the same way, the spatial distribution of SO2 levels between the two sites appeared to be the same in the morning period but a significantly high level of SO2 was recorded at Kissy Road in the afternoon and evening hours Figure 1 (b). In Figure 1 (c), it was observed that there is a marked variation of CO between the sites. Higher levels of CO were observed in the afternoon and evening periods at Kissy Road relative to Wilkinson Road but this pattern appeared to change in the morning period.

Figure-1. Spatial distributions of air pollutants across the monitoring sites for (a) NO2 concentrations (b) SO2 concentrations and (c) CO concentrations. Black dotted lines represent one hour ambient air quality standards for SO2 and CO but NOT for NO2, as the annual standard for the USEPA was used.

The level, location and duration of pollutant concentration within a region depend on plume height, wind speed, rate of vertical mixing in the atmosphere and distance from source (Naja and Lal, 1996). Hence, the landscape at Kissy Road could have played a part in the relatively high levels of pollutants to that at Wilkinson Road even though higher vehicle flow was observed at Wilkinson Road. This observation contravenes a previous study in Tanzania where higher levels were observed at roadside where vehicular counts are higher (Jackson, 2005).  Further field observations could be attributed to huge tonnes of diesel vehicles that are allowed to enter the city during the day from the interior areas where local goods are produced. Evidently was the street trading at Kissy Road which encourages pedestrians to walk on the same path as that for the vehicles and a consequence of an increase in traffic jams.

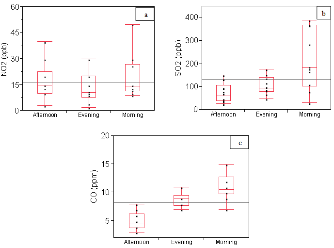
Figure-2. Box plots showing hourly variation at Kissy Road for (a) NO2, p=0.745; (b) SO2, p=0.014 and (c) CO, p=0.0001.

There is no significant variation in NO2 levels during the day as observed in Figure 2 (a) which goes to suggest that release of NO2 during the day seem to be constant even though significant difference was noted in the evening period for the average values. It goes to suggest that one period of significant difference in levels might not be enough to account for the daytime variation. On the contrary, however, there seem to be an apparent and significant variation of SO2 and CO levels during the day as observed in Figure 2 (b) and (c), an indication that emission of these gases may depend on specific factors such as the type of vehicle and duration of traffic jams. It should be emphasized that NO2 plays a critical role in determining ozone concentrations in the troposphere given that photolysis of NO2 is the key initiator of the photochemical formation of ozone. Hence, the observed levels recorded in the afternoon could be strongly ascribed to a tradeoff between the constant release of NO2 from vehicle exhausts due to traffic jams and photochemical reactions. There is a significant decrease in CO exposure in the morning at Kissy Road compared to the other two periods of the days. This marked observation could be explained due to the level of vigilance from the traffic police officers and wardens who are presumed to be full of exuberance at that time of the day. The local air shed at Kissy Road was significantly degraded by sulphur dioxide (SO2) and carbon monoxide (CO) relative to that at Wilkinson Road. Field observation again revealed slow moving traffic of about 5-15 km/h at Kissy Road was a major cause for the relatively higher levels of the air quality indices as compared to 15-40 km/h at Wilkinson Road.

Since our data were collected for just three weeks in August and September 2015, it is of interest to know how this study compares to other studies in developing countries. A study that was conducted along a major road in Lagos, Nigeria (Olajire et al., 2011) showed higher levels of CO relative to the average reported in this study. However, the CO level reported in the evening period at Kissy Road is comparable with the referred study. This suggests as observed in the traffic congestion along Kissy Road that traffic problems are quite apparent and severe in similar developing countries. Results for SO2 for the same study in Nigeria revealed high level of SO2 and could be compared with that reported in this study even though results are reported in µg/m3. For NO2, the levels reported in the same study in Nigeria appeared to be same as this goes to support evidence from WHO that NO2 is on the decline globally in urban areas. In another study looking at the spatial distribution of CO in Ouagadougou Burkinafaso (Jenny et al., 2008) the average levels reported are lower than what the current study reported but evidences of peak CO values showed critical values that exceeded WHO and ambient air quality standards. Another study in Benin (Fanou et al., 2006) reported high levels of organic air pollutants that are confronting the urban atmosphere in Cotonou. In another study in Accra Ghana (Dionisio et al., 2010) indices of ambient air quality were largely in agreement with ambient standards. It must be emphasized that the mode of sampling were different as passive diffusion tubes were used to sample NO2 and SO2 for the latter study. Emphasis should be made on the difference of the sampling regime and mode of collecting the samples or monitoring procedure which would have accounted for such observed variations.

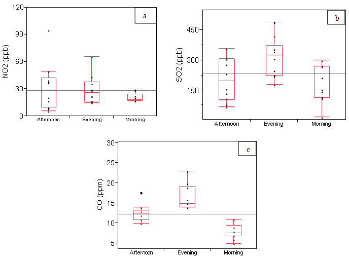
Figure-3. Box plots showing hourly variation at Wilkinson Road for (a) NO2, p=0.425; (b) SO2, p=0.001 and (c) CO, p=0.001.

A similar explanation given for Kissy Road site might be advanced for the observed variation of NO2, SO2 and CO at Wilkinson Road. But CO and SO2 were significantly reduced in the afternoon at Wilkinson Road relative to the morning period which could be explained with respect to the free flow of vehicles. Several earlier studies have shown that pollutant concentration is highly dependent on proximity to source. These variations increase when CO-concentrations increase, and extreme situations such as traffic congestions can produce in-traffic values that are higher than urban background values (Upmanis et al., 2001; Thorsson and Eliasson, 2006).

There was no notable urban transport system observed for both sites. Hence, there is the need for an urgent action by the government to institute urban transport systems and effective transport policy. This is against the backdrop that the road infrastructure that are currently being upgraded in the city would ease the commuting times of people to work and movement to other places across the city. But such improvements would also increase the number of vehicles plying these roads and a possibility of increase in roadside emission. Hence the reason for strong suggestion of developing and implemented urban transports policy for the capital city.  

4. CONCLUSIONS

Measurements of ambient NO2, SO2 and CO were made in the morning, afternoon and evening in Freetown at single and dual carriage roads. Results showed significant variations between the two sites. Elevated levels were observed at single carriage relative to dual carriage roads. Evidence of sulphur compounds in the roadside atmosphere was present in significant amounts.  High variation in average values was observed which would suggest that care must be taken in selecting measurement sites which are crucial for correct evaluation. An urgent call for urban transport policy is strongly recommended. However, for thorough understanding of personal exposure in both short and long term, further measurements, preferably with personal monitors would be necessary to advance good policy on protecting human health.

Funding: This work was fully supported and financed by the Environment Protection Agency Sierra Leone (EPA-SL) as part of their periodic research into the environment.

Competing Interests: The authors declare that they have no competing interests.

Contributors/Acknowledgement: Special thanks again extended to the field assistants; Mr. Joe Milton Beah, student at the Institute of Environmental Management and Quality Control; Mr. James During who also provided security support during the monitoring exercise. 

REFERENCES

Abam, F.I. and G.O. Unachukwu, 2009. Vehicular emissions and air quality standards in Nigeria. European Journal of Scientific Research, 34(4): 550-560.

Abu-Allaban, M., A.W. Gertler and D.H. Lowenthal, 2002. A preliminary apportionment of the sources of ambient PM10, PM2.5 and VOCs in Cairo. Atmospheric Environment, 36(35): 5549-5557.

Dionisio, K.L., R.E. Arku, A.F. Hughes, J. Vallarino, H. Carmichael, J.D. Spengler, S. Agyei-Mensah and M. Ezzati, 2010. Air pollition in Accra neighborhoods: Spatial, socioeconomic and temporal patterns. Environmental Science and Technology, 44(7): 2270-2276.

Fanou, L.A., T.A. Mobio, E.E. Creppy, B. Fayomi, S. Fustoni, P. Møller, S. Kyrtopoulos, P. Georgiades, S. Loft, A. Sanni, H. Skov, S. Øvrebø and H. Autrup, 2006. Survey of air pollution in Cotonou, Benin-air monitoring and biomarkers. Science of the Total Environment, 358(1): 85-96.

Hopkins, J.R., M.J. Evans, J.D. Lee, A.C. Lewis, J.H. Marsham, J.B. McQuaid, D.J. Parker, D.J. Stewart, C.E. Reeves and R.M. Purvis, 2009. Direct estimates of emission from the Megacity of Lagos. Atmospheric Chemistry and Physics, 9(21): 8471-8477.

Jackson, M.M., 2005. Roadside concentration of gaseous and particulate matter pollutants and risk assessment in Dar-Es-Salam. Environmental Monitoring and Assessment, 104(1-3): 385-407.

Jenny, L., T. Sofia and E. Ingegärd, 2008. Carbon monoxide in Ouagadougou, Burkina Faso – a comparison between urban background, roadside and in-traffic measurements. Water Air and Soil Pollution, 188(1-4): 345–353.

Kandasamy, G., S.S. Moodley and G. Suendran, 2011. Passive monitoring of nitrogen dioxide in urban air: A case study of Durban metropolis, South Africa. Journal of Environmental Management, 92(9): 2145-2150.

Lanki, T., J. Pekkanen, P. Aalto, R. Elosua, N. Berglind, D. D’Ippoliti, M. Kulmala, F. Nyberg, A. Peters, S. Picciotto, V. Salomaa, J. Sunyer, P. Tiittanen, S. Von-Klot and F. Forastiere, 2006. Associations of traffic related air pollutants with hospitalization for first acute myocardial infarction: The HEAPSS study. Occupational Environment Medicine, 63(12): 844-851.

Lee, H.S., C.M. Kang, B.W. Kang and H.K. Kim, 1999. Seasonal variations of acidic air pollutants in Seoul, South Korea. Atmospheric Environment, 33(19): 3143–3152

Lee, J.T., H. Kim, H. Song, Y.C. Hong, Y.S. Cho and S.Y. Shin, 2002. Air pollution and asthma among children in Seoul, South Korea. Epidemiology, 13(4): 481-484.

Lin, M., Y. Chen, R.T. Burnett, P.J. Villeneuve and D. Krewski, 2002. The influence of ambient coarse particulate matter on asthma hospitalization in children: Case-crossover and time-series analysis. Environ Health Perspect, 110(6): 578–581.

Naja, M. and S. Lal, 1996. Changes in surface ozone amount and its diurnal and seasonal patterns, from 1954-55 to 1991-93, measured at Ahmedabad (23 N), India. Geophysical Research Letters, 23(1): 81-84.

Olajire, A.A., L. Azeez and E.A. Oluyemi, 2011. Exposure to hazardous air pollutants along Oba Akran road, Lagos–Nigeria. Chemosphere, 84(8): 1044-1051.

Peel, J.L., P.E. Tolbert, M. Klein, K.B. Metzger, W.D. Flanders, K. Todd, J.A. Mulholland, P.B. Ryan and H. Frumkin, 2005. Ambient air pollution and respiratory emergency department visits. Epidemiology, 16(2): 164–174.

Peters, A., D.D. Dockery, J.F. Miller and M.A. Mittelman, 2001. Increased particular matter and the triggering of myocardial infarction. Circulation, 103(23): 2810-2815.

Taylor, E.T. and S. Nakai, 2012. Monitoring the levels of toxic air pollutants in the ambient air of Freetown, Sierra Leone. African Journal of Environmental Science and Technology, 6(7): 283-292.

Thorsson, S. and I. Eliasson, 2006. Passive and active sampling of benzene in different urban environments in Gothenburg, Sweden. Water Air and Soil Pollution, 173(1-4): 39-56.

UNEP, 2010. United nations environment program-urban air pollution. Annual Report.

Upmanis, H., I. Eliasson and Y. Andersson-Sköld, 2001. Case studies of the spatial variations of benzene and toluene concentrations in parks and adjacent built-up areas. Water Air and Soil Pollution, 129(1-4): 61-81.
WHO, 2000. WHO, Air quality guidelines for Europe. In world health organization, R.O.F.E., Copenhagen, Denmark: WHO.

Yang, C.Y., Y.S. Chen, C.H. Yang and S.C. Ho, 2004. Relationship between ambient air pollution and hospital admissions for cardiovascular diseases in Kaohsiung, Taiwan. Journal of Toxicology and Environmental Health, Part A, 67(6): 483-493.

Views and opinions expressed in this article are the views and opinions of the author(s), International Journal of Geography and Geology shall not be responsible or answerable for any loss, damage or liability etc. caused in relation to/arising out of the use of the content.